Effects of Straw Mulching on Nonpoint Source Pollutant Runoff During Snowmelt in Korean Highland Agricultural Areas
Abstract
1. Introduction
2. Materials and Methods
2.1. Study Area
2.2. Field Monitoring and Analytical Methods
2.3. Meteorological Data Collection
2.4. Comparison with Previous Studies
3. Results and Discussion
3.1. Temperature and Snow Depth Variations in the Study Area
3.2. Interannual Variations in Water Quality During the Snowmelt Period
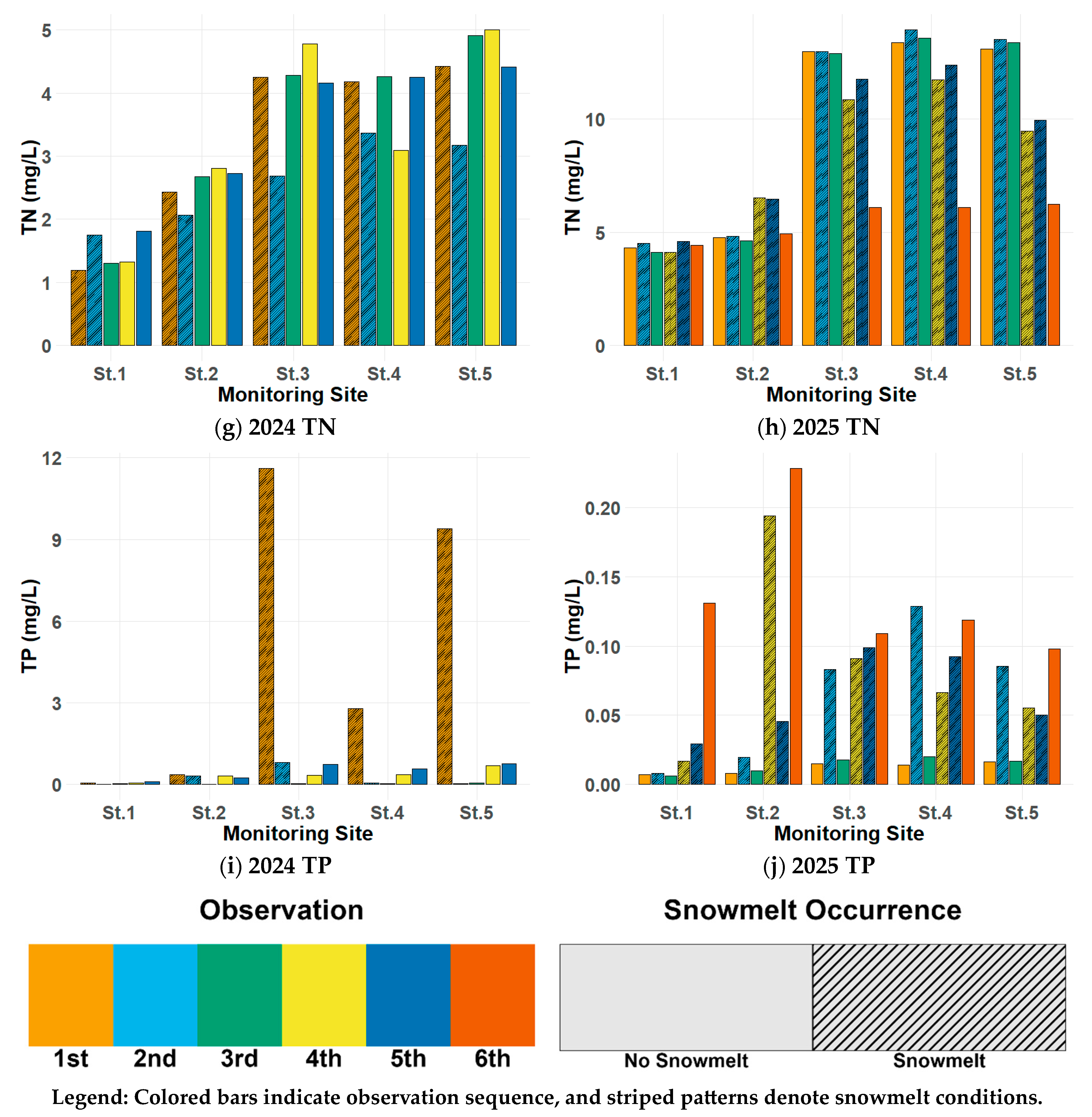
3.3. Spatial Variability of NPS Pollutants and BMP Effectiveness During Snowmelt
3.4. Comparative Analysis of Seasonal Runoff
4. Conclusions
Author Contributions
Funding
Data Availability Statement
Conflicts of Interest
Appendix A
Appendix A.1
| DATE (DD.MM.YY) | Site | Temp | Cond | Turb (NTU) | TN | TP | TSS | TOC |
|---|---|---|---|---|---|---|---|---|
| °C | µS/cm | NTU | mg/L | |||||
| 14 February 2024 (Snowmelt) | St.1 | 2.3 | 24.0 | 1.81 | 1.193 | 0.052 | 1.7 | 2.48 |
| St.2 | 3.8 | 30.4 | 14.7 | 2.427 | 0.363 | 31.8 | 3.20 | |
| St.3 | 3.9 | 65.3 | 92.0 | 4.250 | 11.599 | 114.0 | 8.77 | |
| St.4 | 3.1 | 72.7 | 32.0 | 4.182 | 2.801 | 57.0 | 5.76 | |
| St.5 | 3.4 | 65.2 | 114.0 | 4.418 | 9.399 | 120.0 | 9.35 | |
| 20 February 2024 (Snowmelt) | St.1 | 3.1 | 23.4 | 1.44 | 1.747 | 0.001 | 1.5 | 1.28 |
| St.2 | 2.9 | 26.4 | 5.52 | 2.069 | 0.308 | 13.9 | 1.76 | |
| St.3 | 2.8 | 39.6 | 8.78 | 2.689 | 0.821 | 12.8 | 1.85 | |
| St.4 | 2.8 | 42.0 | 9.88 | 3.361 | 0.052 | 15.8 | 2.26 | |
| St.5 | 3.0 | 45.8 | 9.34 | 3.176 | 0.032 | 8.4 | 2.02 | |
| 27 February 2024 | St.1 | 2.1 | 25.1 | 0.56 | 1.304 | 0.033 | 0.6 | 1.26 |
| St.2 | 2.5 | 41.0 | 4.08 | 2.676 | 0.019 | 7.8 | 1.29 | |
| St.3 | 2.9 | 67.0 | 1.38 | 4.279 | 0.022 | 2.3 | 0.98 | |
| St.4 | 3.0. | 71.8 | 1.84 | 4.265 | 0.022 | 1.9 | 1.15 | |
| St.5 | 2.7 | 72.3 | 1.82 | 4.913 | 0.066 | 1.6 | 1.28 | |
| 11 March 2024 | St.1 | 2.0 | 48.1 | 0.44 | 1.327 | 0.047 | 0.3 | 1.06 |
| St.2 | 2.6 | 60.3 | 6.35 | 2.805 | 0.319 | 13.2 | 1.86 | |
| St.3 | 3.2 | 74.4 | 1.61 | 4.779 | 0.345 | 1.0 | 0.78 | |
| St.4 | 3.6 | 81.1 | 0.92 | 3.095 | 0.352 | 1.3 | 1.10 | |
| St.5 | 3.3 | 78.2 | 3.71 | 4.997 | 0.693 | 8.4 | 1.59 | |
| 18 March 2024 | St.1 | 5.4 | 31.5 | 1.82 | 1.810 | 0.094 | 1.1 | 1.00 |
| St.2 | 6.7 | 40.7 | 3.48 | 2.727 | 0.235 | 5.4 | 1.23 | |
| St.3 | 8.9 | 71.0 | 1.70 | 4.156 | 0.744 | 1.7 | 1.23 | |
| St.4 | 8.9 | 74.9 | 4.38 | 4.249 | 0.583 | 6.6 | 1.63 | |
| St.5 | 9.2 | 77.1 | 5.70 | 4.410 | 0.755 | 10.0 | 1.71 | |
| 27 February 2025 | St.1 | 1.4 | 54.0 | 0.42 | 4.303 | 0.007 | 0.4 | 0.85 |
| St.2 | 1.3 | 56.7 | 0.56 | 4.765 | 0.008 | 0.4 | 1.01 | |
| St.3 | 1.0 | 146.0 | 3.02 | 12.955 | 0.015 | 2.3 | 1.09 | |
| St.4 | 0.8 | 151.9 | 2.54 | 13.376 | 0.014 | 5.2 | 1.45 | |
| St.5 | 1.2 | 147.9 | 3.10 | 13.092 | 0.016 | 2.7 | 2.19 | |
| 28 February 2025 (Snowmelt) | St.1 | 2.6 | 54.2 | 1.63 | 4.519 | 0.008 | 1.0 | 1.12 |
| St.2 | 3.0 | 56.3 | 1.62 | 4.810 | 0.020 | 1.5 | 1.13 | |
| St.3 | 3.5 | 153.9 | 47.1 | 12.973 | 0.0833 | 32.4 | 1.81 | |
| St.4 | 4.0 | 166.3 | 83.8 | 13.917 | 0.1286 | 61.8 | 2.15 | |
| St.5 | 3.6 | 159.3 | 54.1 | 13.510 | 0.086 | 32.6 | 2.24 | |
| 7 March 2025 | St.1 | 2.7 | 50.9 | 0.69 | 4.110 | 0.006 | 0.2 | 0.89 |
| St.2 | 2.9 | 54.1 | 0.7 | 4.620 | 0.010 | 0.8 | 0.84 | |
| St.3 | 5.0 | 147.3 | 1.59 | 12.882 | 0.018 | 1.8 | 1.28 | |
| St.4 | 5.3 | 155.8 | 2.58 | 13.565 | 0.020 | 6.4 | 1.30 | |
| St.5 | 5.3 | 155.4 | 1.72 | 13.360 | 0.017 | 1.5 | 1.35 | |
| 12 March 2025 (Snowmelt) | St.1 | 5.0 | 47.5 | 3.23 | 4.102 | 0.017 | 3.9 | 1.33 |
| St.2 | 5.2 | 71.5 | 36.1 | 6.519 | 0.194 | 11.8 | 3.69 | |
| St.3 | 6.7 | 120.8 | 13.4 | 10.833 | 0.091 | 14.8 | 1.99 | |
| St.4 | 6.9 | 128.2 | 12.5 | 11.722 | 0.067 | 14.1 | 1.83 | |
| St.5 | 6.7 | 122.0 | 10.9 | 9.446 | 0.056 | 14.6 | 1.91 | |
| 21 March 2025 (Snowmelt) | St.1 | 6.3 | 51.3 | 6.61 | 4.600 | 0.030 | 32.9 | 1.46 |
| St.2 | 7.5 | 65.4 | 12.4 | 6.468 | 0.046 | 2.6 | 1.57 | |
| St.3 | 10.0 | 130.6 | 41.9 | 11.758 | 0.099 | 43.0 | 2.16 | |
| St.4 | 10.2 | 145.3 | 46.8 | 12.364 | 0.093 | 8.6 | 2.38 | |
| St.5 | 10.0 | 128.0 | 19.9 | 9.927 | 0.050 | 12 | 1.88 | |
| 27 March 2025 | St.1 | 6.0 | 58.4 | 5.33 | 4.412 | 0.131 | 4.6 | 1.30 |
| St.2 | 6.7 | 57.7 | 2.62 | 4.932 | 0.228 | 2.2 | 1.34 | |
| St.3 | 7.7 | 97.7 | 5.18 | 6.092 | 0.109 | 3.3 | 1.54 | |
| St.4 | 7.7 | 100.9 | 5.61 | 6.086 | 0.119 | 3.8 | 1.50 | |
| St.5 | 7.6 | 102.7 | 4.06 | 6.234 | 0.098 | 4.4 | 1.79 | |
Appendix A.2
| DATE (DD.MM.YY) | Average Temperature | Minimum Temperature | Maximum Temperature | Two-Day Total Snow Depth Reduction |
|---|---|---|---|---|
| °C | cm | |||
| 14 February 2024 (Snowmelt) | 6.2 | 2.2 | 10.4 | 23.3 |
| 20 February 2024 (Snowmelt) | 1.0 | −0.4 | 3.4 | 13.0 |
| 27 February 2024 | −8.8 | −9.1 | 2.9 | 1.5 |
| 11 March 2024 | 0.5 | −4.5 | 6.0 | 1.1 |
| 18 March 2024 | 2.3 | −5.1 | 9.5 | 4.4 |
| 27 February 2025 | −2.1 | 7.9 | 10.9 | 0 |
| 28 February 2025 (Snowmelt) | −0.23 | −6.3 | 8.2 | 4.9 |
| 7 March 2025 | −0.69 | −8.2 | 5.6 | 6.4 |
| 12 March 2025 (Snowmelt) | 4.24 | −1.9 | 9.7 | 11.9 |
| 21 March 2025 (Snowmelt) | 7.4 | 0.2 | 15.5 | 40.7 |
| 27 March 2025 | 9.7 | 2.2 | 18.3 | 0 |
References
- U.S. Environmental Protection Agency. Basic Information About Nonpoint Source (NPS) Pollution. Available online: https://www.epa.gov/nps/basic-information-about-nonpoint-source-nps-pollution (accessed on 6 May 2025).
- Hussain, F.; Ahmed, S.; Muhammad Zaigham Abbas Naqvi, S.; Awais, M.; Zhang, Y.; Zhang, H.; Raghavan, V.; Zang, Y.; Zhao, G.; Hu, J. Agricultural Non-Point Source Pollution: Comprehensive Analysis of Sources and Assessment Methods. Agriculture 2025, 15, 531. [Google Scholar] [CrossRef]
- Dowd, B.M.; Press, D.; Huertos, M.L. Agricultural Nonpoint Source Water Pollution Policy: The Case of California’s Central Coast. Agric. Ecosyst. Environ. 2008, 128, 151–161. [Google Scholar] [CrossRef]
- U.S. Environmental Protection Agency. Monitoring Guidance for Determining the Effectiveness of Nonpoint Source Controls; U.S. Environmental Protection Agency: Washington, DC, USA, 1997.
- U.S. Environmental Protection Agency. Protecting Water Quality from Agricultural Runoff; U.S. Environmental Protection Agency: Washington, DC, USA, 2005.
- U.S. Environmental Protection Agency. Monitoring and Evaluating Nonpoint Source Watershed Projects; U.S. Environmental Protection Agency: Washington, DC, USA, 2016.
- U.S. Environmental Protection Agency. Nonpoint Source: Agriculture. Available online: https://www.epa.gov/nps/nonpoint-source-agriculture (accessed on 2 June 2025).
- Zhao, S.; Qiu, C.; Zhang, T.; Hu, X.; Zhao, Y.; Cheng, X.; Ma, Y.; Qie, M.; Chen, C. Effects of Fertilizer on the Quality and Traceability of Tibet Highland Barley (Hordeum Vulgare L.): A Diagnosis Using Nutrients and Mineral Elements. Foods 2022, 11, 3397. [Google Scholar] [CrossRef] [PubMed]
- Lee, S.I.; Shin, J.Y.; Shin, M.H.; Ju, S.-H.; Seo, J.Y.; Park, W.J.; Lee, J.Y.; Choi, J.D. Characteristics of Non-Point Pollutant Runoff in Highland Field Fields through Long-term Monitoring. J. Korean Soc. Agric. Eng. 2017, 59, 85–96. [Google Scholar] [CrossRef]
- Ministry of Environment. Management Plan for Non-Point Pollution Sources in the Soyang Lake Watershed; Ministry of Environment: Sejong, Republic of Korea, 2007.
- Won, C.H.; Shin, M.H.; Choe, Y.-H.; Lim, K.J.; Han, Y.-H.; Kwon, J.-H.; Choi, J.D. Evaluation of NPS Pollutant Reduction of Rice Straw Mats in Field. J. Korean Soc. Agric. Eng. 2013, 55, 37–44. [Google Scholar] [CrossRef]
- Ahn, S.-R.; Kim, S.-J. The Effect of Rice Straw Mulching and No-Tillage Practice in Upland Crop Areas on Nonpoint-Source Pollution Loads Based on HSPF. Water 2016, 8, 106. [Google Scholar] [CrossRef]
- Gholami, L.; Sadeghi, S.H.; Homaee, M. Straw Mulching Effect on Splash Erosion, Runoff, and Sediment Yield from Eroded Plots. Soil Sci. Soc. Am. J. 2013, 77, 268–278. [Google Scholar] [CrossRef]
- van Bochove, E.; Prévost, D.; Pelletier, F. Effects of Freeze–Thaw and Soil Structure on Nitrous Oxide Produced in a Clay Soil. Soil Sci. Soc. Am. J. 2000, 64, 1638–1643. [Google Scholar] [CrossRef]
- Adam, J.C.; Hamlet, A.F.; Lettenmaier, D.P. Implications of Global Climate Change for Snowmelt Hydrology in the Twenty-First Century. Hydrol. Process. 2009, 23, 962–972. [Google Scholar] [CrossRef]
- Redding, T.; Devito, K. Aspect and Soil Textural Controls on Snowmelt Runoff on Forested Boreal Plain Hillslopes. Hydrol. Res. 2011, 42, 250–267. [Google Scholar] [CrossRef]
- McCabe, G.J.; Clark, M.P. Trends and Variability in Snowmelt Runoff in the Western United States. J. Hydrometeorol. 2005, 6, 476–482. [Google Scholar] [CrossRef]
- Lucianetti, G.; Penna, D.; Mastrorillo, L.; Mazza, R. The Role of Snowmelt on the Spatio-Temporal Variability of Spring Recharge in a Dolomitic Mountain Group, Italian Alps. Water 2020, 12, 2256. [Google Scholar] [CrossRef]
- Zappa, M.; Pos, F.; Strasser, U.; Warmerdam, P.; Gurtz, J. Seasonal Water Balance of an Alpine Catchment as Evaluated by Different Methods for Spatially Distributed Snowmelt Modelling. Hydrol. Res. 2003, 34, 179–202. [Google Scholar] [CrossRef]
- Cade-Menun, B.J.; Bell, G.; Baker-Ismail, S.; Fouli, Y.; Hodder, K.; McMartin, D.W.; Perez-Valdivia, C.; Wu, K. Nutrient Loss from Saskatchewan Cropland and Pasture in Spring Snowmelt Runoff. Can. J. Soil Sci. 2013, 93, 445–458. [Google Scholar] [CrossRef]
- Su, J.J.; van Bochove, E.; Thériault, G.; Novotna, B.; Khaldoune, J.; Denault, J.T.; Zhou, J.; Nolin, M.C.; Hu, C.X.; Bernier, M.; et al. Effects of Snowmelt on Phosphorus and Sediment Losses from Agricultural Watersheds in Eastern Canada. Agric. Water Manag. 2011, 98, 867–876. [Google Scholar] [CrossRef]
- Go, H.W.; Joo, J.C.; Lee, D.H.; Kang, E.T.; Choi, S.H. Statistical Analysis and Review of Event Mean Concentrations in Stormwater Runoff from Agricultural Nonpoint Source Pollution among Different Land Use Types. J. Korean Soc. Environ. Eng. 2021, 43, 664–678. [Google Scholar] [CrossRef]
- Cho, J.H. Pollutants Removal Efficiency of Rainfall-runoff from Dense Highland Field Areas in Multistage Sedimentation Basins—Focused on Jaun Area in Upstream Watershed of Lake Soyang. J. Environ. Impact Assess. 2018, 27, 170–180. [Google Scholar] [CrossRef]
- Choi, Y.-H. Effects of Agricultural Land Management on Turbid Water Reduction in the Soyang Lake Watershed. Ph.D. Dissertation, Kangwon National University, Graduate School, Chuncheon, Gangwon-do, Republic of Korea, 2013. [Google Scholar]
- Kwon, H.; Hong, D.; Byeon, S.; Lim, K.; Kim, J.; Nam, C.; Hong, E. Water Quality Monitoring by Snowmelt in Songcheon, Doam Lake Watershed. J. Korean Soc. Agric. Eng. 2021, 63, 87–95. [Google Scholar] [CrossRef]
- Jung, C.G.; Moon, J.W.; Jang, C.H.; Lee, D.R. Assessment of Climate Change Impacts on Hydrology and Snowmelt by Applying RCP Scenarios using SWAT Model for Hanriver Watersheds. J. Korean Soc. Agric. Eng. 2013, 55, 37–48. [Google Scholar] [CrossRef][Green Version]
- Jung, C.G.; Ahn, S.R.; Kim, S.J.; Yang, H.J.; Lee, H.J.; Park, G.A. HSPF and SWAT Modelling for Identifying Runoff Reduction Effect of Nonpoint Source Pollution by Rice Straw Mulching on Upland Crops. J. Korean Soc. Agric. Eng. 2013, 55, 47–57. [Google Scholar] [CrossRef][Green Version]
- Kim, N.-W.; Chung, I.-M. Analysis on the Hydrologic Behavior of Heavy Snowfall in East Coast Region. KSCE J. Civ. Environ. Eng. Res. 2019, 39, 257–262. [Google Scholar] [CrossRef]
- Wonju Regional Environmental Office. Final Report on Monitoring and Evaluation of Non-Point Pollution Management Area (Mandae, Gaa, Jaun Districts and Doam Lake Watershed) for 2019; Wonju Regional Environmental Office: Wonju, Republic of Korea, 2020. [Google Scholar]
- Wonju Regional Environmental Office. Final Report on Monitoring and Evaluation of Non-Point Pollution Management Area (Mandae, Gaa, Jaun Districts and Doam Lake Watershed) for 2020; Wonju Regional Environmental Office: Wonju, Republic of Korea, 2021. [Google Scholar]
- Wonju Regional Environmental Office. Final Report on Monitoring and Evaluation of Non-Point Pollution Management Area (Mandae, Gaa, Jaun Districts and Doam Lake Watershed) for 2021; Wonju Regional Environmental Office: Wonju, Republic of Korea, 2022. [Google Scholar]
- Wonju Regional Environmental Office. Final Report on Monitoring and Evaluation of Non-Point Pollution Management Area (Mandae, Gaa, Jaun Districts and Doam Lake Watershed) for 2022; Wonju Regional Environmental Office: Wonju, Republic of Korea, 2023. [Google Scholar]
- Macrae, M.L.; English, M.C.; Schiff, S.L.; Stone, M. Influence of Antecedent Hydrologic Conditions on Patterns of Hydrochemical Export from a First-Order Agricultural Watershed in Southern Ontario, Canada. J. Hydrol. 2010, 389, 101–110. [Google Scholar] [CrossRef]
- Iwata, Y.; Hayashi, M.; Suzuki, S.; Hirota, T.; Hasegawa, S. Effects of Snow Cover on Soil Freezing, Water Movement, and Snowmelt Infiltration: A Paired Plot Experiment. Water Resour. Res. 2010, 46, W09504. [Google Scholar] [CrossRef]
- Yu, G.; Yang, Z.-L.; Dickinson, R.E.; Gulden, L.E.; Su, H. Effects of Frozen Soil on Snowmelt Runoff and Soil Water Storage at a Continental Scale. J. Hydrometeorol. 2006, 7, 937–952. [Google Scholar] [CrossRef]
- Hammond, J.C.; Harpold, A.A.; Weiss, S.; Kampf, S.K. Partitioning Snowmelt and Rainfall in the Critical Zone: Effects of Climate Type and Soil Properties. Hydrol. Earth Syst. Sci. 2019, 23, 3553–3570. [Google Scholar] [CrossRef]
- Laudon, H.; Seibert, J.; Köhler, S.; Bishop, K. Hydrological Flow Paths during Snowmelt: Congruence between Hydrometric Measurements and Oxygen 18 in Meltwater, Soil Water, and Runoff. Water Resour. Res. 2004, 40, W03102. [Google Scholar] [CrossRef]
- Guo, L.; Ping, C.-L.; Macdonald, R.W. Mobilization Pathways of Organic Carbon from Permafrost to Arctic Rivers in a Changing Climate. Geophys. Res. Lett. 2007, 34, L13603. [Google Scholar] [CrossRef]
- Neff, J.C.; Asner, G.P. Dissolved Organic Carbon in Terrestrial Ecosystems: Synthesis and a Model. Ecosystems 2001, 4, 29–48. [Google Scholar] [CrossRef]
- Kalbitz, K.; Solinger, S.; Park, J.-H.; Michalzik, B.; Matzner, E. Controls on the Dynamics of Dissolved Organic Matter in Soils: A Review. Soil Sci. 2000, 165, 277. [Google Scholar] [CrossRef]
- Croghan, D.; Ala-Aho, P.; Welker, J.; Mustonen, K.-R.; Khamis, K.; Hannah, D.M.; Vuorenmaa, J.; Kløve, B.; Marttila, H. Seasonal and Interannual Dissolved Organic Carbon Transport Process Dynamics in a Subarctic Headwater Catchment Revealed by High-Resolution Measurements. Hydrol. Earth Syst. Sci. 2024, 28, 1055–1070. [Google Scholar] [CrossRef]
- Oh, K.-Y.; Kim, J.-S.; Jiang, J. Characteristics of Nutrient Concentrations of Outflow during Storms in a Rural Watershed. In Proceedings of the Republic of Korea Water Resources Association Conference, Busan, Republic of Korea, 17–18 November 2006; pp. 457–461. [Google Scholar]
- Tiwari, T.; Sponseller, R.A.; Laudon, H. Extreme Climate Effects on Dissolved Organic Carbon Concentrations During Snowmelt. J. Geophys. Res. Biogeosci. 2018, 123, 1277–1288. [Google Scholar] [CrossRef]
- Liu, Y.; Engel, B.A.; Flanagan, D.C.; Gitau, M.W.; McMillan, S.K.; Chaubey, I. A Review on Effectiveness of Best Management Practices in Improving Hydrology and Water Quality: Needs and Opportunities. Sci. Total Environ. 2017, 601–602, 580–593. [Google Scholar] [CrossRef]
- Bracmort, K.S.; Arabi, M.; Frankenberger, J.R.; Engel, B.A.; Arnold, J.G. Modeling Long-Term Water Quality Impact of Structural BMPs. Trans. ASABE 2006, 49, 367–374. [Google Scholar] [CrossRef]






| Year | 1st (cm) | 2nd (cm) | 3rd (cm) | 4th (cm) | 5th (cm) | 6th (cm) |
|---|---|---|---|---|---|---|
| 2024 | 23.3 | 1.3 | 1.5 | 0 | 1.1 | - |
| 2025 | 0 | 0 * (Snowmelt observed) | 6.4 | 11.9 | 40.7 | 0 |
| Monitoring Date | Turb (NTU) | TP (mg/L) | SS (mg/L) | TOC (mg/L) | |
|---|---|---|---|---|---|
| St.5 | 14 February 2024 | 114.0 | 9.399 | 120.0 | 9.4 |
| Jaun bridge | 1 July 2020 | 116.9 | 0.622 | 123.1 | 10.4 |
| Jaun bridge | 4 July 2021 | 183.8 | 0.887 | 272.6 | 10.2 |
Disclaimer/Publisher’s Note: The statements, opinions and data contained in all publications are solely those of the individual author(s) and contributor(s) and not of MDPI and/or the editor(s). MDPI and/or the editor(s) disclaim responsibility for any injury to people or property resulting from any ideas, methods, instructions or products referred to in the content. |
© 2025 by the authors. Licensee MDPI, Basel, Switzerland. This article is an open access article distributed under the terms and conditions of the Creative Commons Attribution (CC BY) license (https://creativecommons.org/licenses/by/4.0/).
Share and Cite
Lee, S.; Kim, Y.-S.; Bak, M.; Hong, E. Effects of Straw Mulching on Nonpoint Source Pollutant Runoff During Snowmelt in Korean Highland Agricultural Areas. Water 2025, 17, 2675. https://doi.org/10.3390/w17182675
Lee S, Kim Y-S, Bak M, Hong E. Effects of Straw Mulching on Nonpoint Source Pollutant Runoff During Snowmelt in Korean Highland Agricultural Areas. Water. 2025; 17(18):2675. https://doi.org/10.3390/w17182675
Chicago/Turabian StyleLee, Seonah, Yoon-Seok Kim, Mingyeong Bak, and Eunmi Hong. 2025. "Effects of Straw Mulching on Nonpoint Source Pollutant Runoff During Snowmelt in Korean Highland Agricultural Areas" Water 17, no. 18: 2675. https://doi.org/10.3390/w17182675
APA StyleLee, S., Kim, Y.-S., Bak, M., & Hong, E. (2025). Effects of Straw Mulching on Nonpoint Source Pollutant Runoff During Snowmelt in Korean Highland Agricultural Areas. Water, 17(18), 2675. https://doi.org/10.3390/w17182675

