Mussels as Bioindicators for the Rapid Detection of Heavy Metal Fluctuations in Marine Coastal Waters: A Case Study of Seasonal Bioaccumulation Monitoring and Assessment of Perna viridis from the Gulf of Tonkin Coastline, Hai Phong, Vietnam
Abstract
1. Introduction
2. Materials and Methods
2.1. Sampling
2.2. Analytical Methods
2.3. Estimates of Target Hazard Quotients (THQ) and Hazard Index (HI)
2.4. Statistical Analysis
3. Results and Discussion
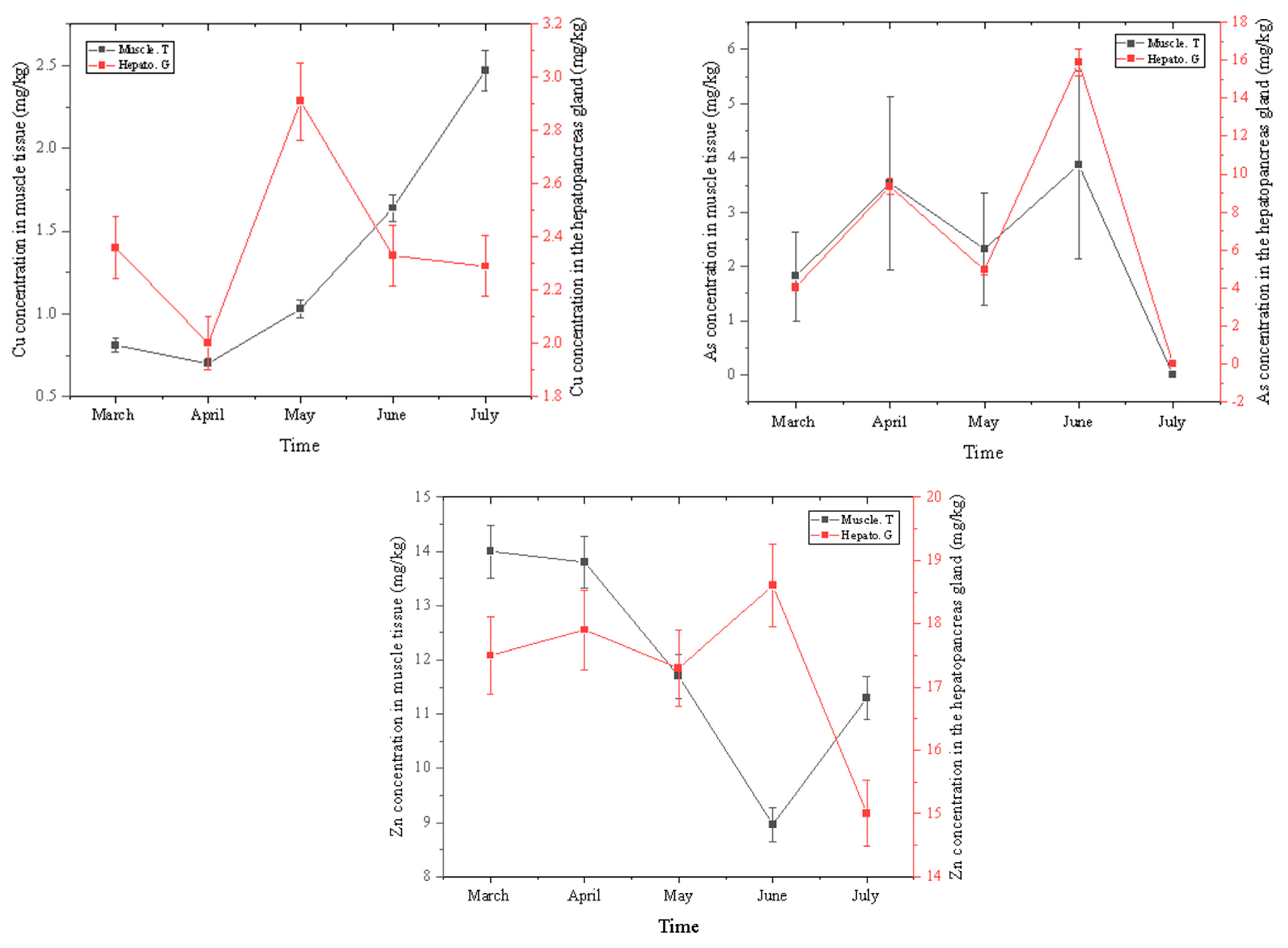
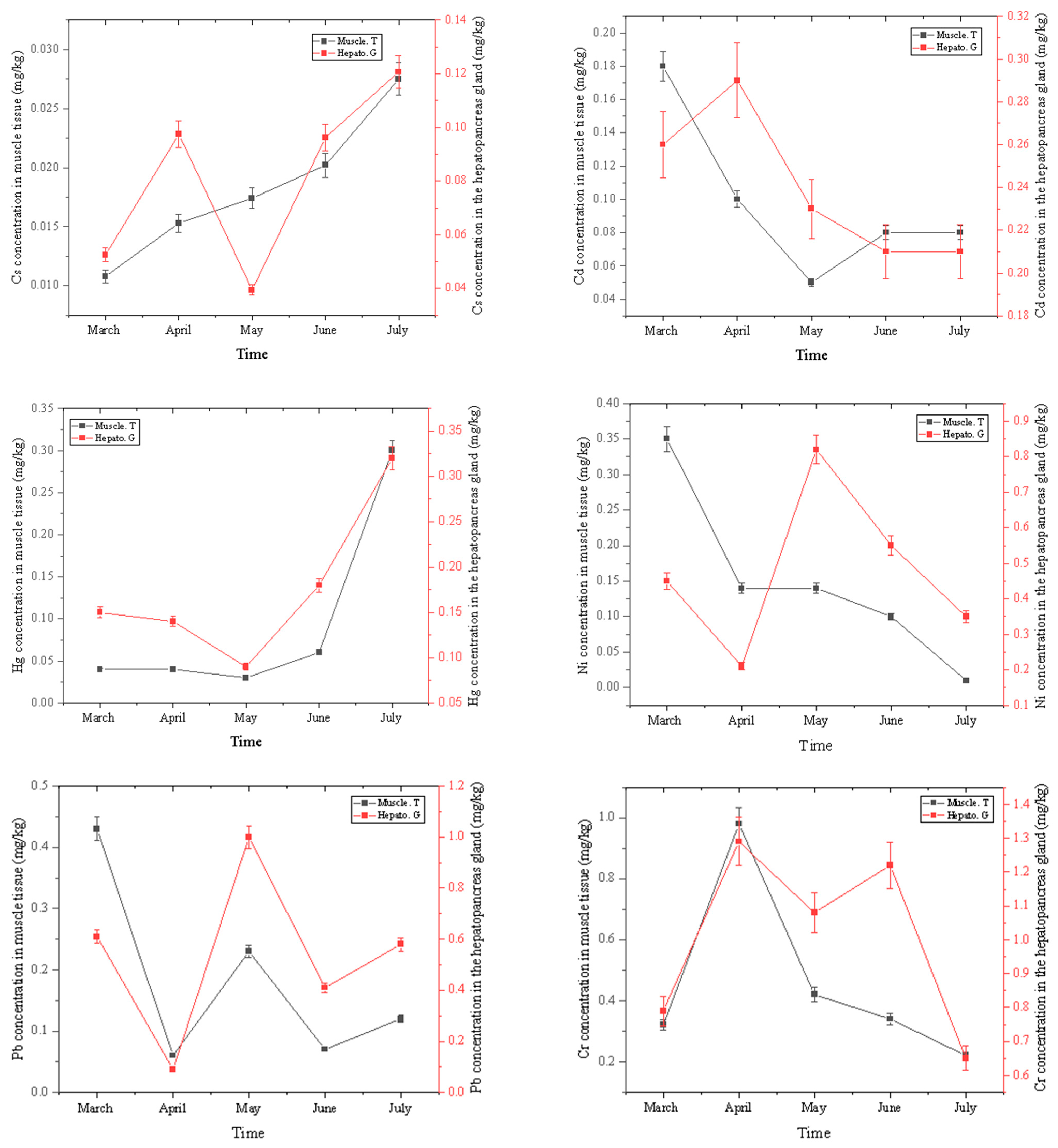
3.1. Characteristics of the Selected Heavy Metal Distributions in Two Organs of Asian Green Mussel
3.2. Seasonal and Monthly Variations in Heavy Metal Concentrations
3.3. Health Risk Assessment Through Target Hazard Quotients and the Hazard Index
4. Conclusions
Supplementary Materials
Author Contributions
Funding
Institutional Review Board Statement
Data Availability Statement
Acknowledgments
Conflicts of Interest
References
- Nhu, T.N.; Van, N.B.; Le, D.-A.; Thi, T.H.T.; Nguyen, T.-D.; Xuan, T.D.; Tran, H.-N.; Sang, P.N.; Musthafa, M.S.; Duong, V.-H. Characteristics of heavy metals in surface sediments of the Van Don-Tra Co coast, northeast Vietnam. Reg. Stud. Mar. Sci. 2024, 73, 103459. [Google Scholar] [CrossRef]
- Santhanabharathi, B.; Suhail Ahmed, M.; Pradhoshini, K.P.; Priyadharshini, M.; Sangunathan, U.; Alappat, L.; Neetha, V.; George, A.; Kumar, S.; Amina, S. Ecological risk assessment due to heavy metals prevalence in the sediments of Kayamkulam estuary, Kerala, India. Int. J. Environ. Anal. Chem. 2024, 1–21. [Google Scholar] [CrossRef]
- Shafeeka Parveen, M.H.; Ud Din War, M.; Suhail Ahmed, M.; Santhanabharathi, B.; Mohammed Ibrahim, S.; Mohammed Ibrahim, N.; Ruban Hentry, A.; Pradhoshini, K.P.; Priyadharshini, M.; Saiyad Musthafa, M. Assessment of heavy metal concentration in pelagic fish species and associated health risks along the Kanyakumari coast, India—A baseline study. Int. J. Environ. Anal. Chem. 2024, 1–18. [Google Scholar] [CrossRef]
- Cardellicchio, N.; Buccolieri, A.; Di Leo, A.; Giandomenico, S.; Spada, L. Levels of metals in reared mussels from Taranto Gulf (Ionian Sea, southern Italy). Food Chem. 2008, 107, 890–896. [Google Scholar] [CrossRef]
- Mol, S.; Alakavuk, D.Ü. Heavy metals in mussels (Mytilus galloprovincialis) from Marmara Sea, Turkey. Biol. Trace Elem. Res. 2011, 141, 184–191. [Google Scholar] [CrossRef]
- Azizi, G.; Layachi, M.; Akodad, M.; Yáñez-Ruiz, D.R.; Martín-García, A.I.; Baghour, M.; Mesfioui, A.; Skalli, A.; Moumen, A. Seasonal variations of heavy metals content in mussels (Mytilus galloprovincialis) from Cala Iris offshore (Northern Morocco). Mar. Pollut. Bull. 2018, 137, 688–694. [Google Scholar] [CrossRef] [PubMed]
- Doney, S.C. The growing human footprint on coastal and open-ocean biogeochemistry. Science 2010, 328, 1512–1516. [Google Scholar] [CrossRef]
- Scudiero, R.; Cretì, P.; Trinchella, F.; Esposito, M.G. Evaluation of cadmium, lead and metallothionein contents in the tissues of mussels (Mytilus galloprovincialis) from the Campania coast (Italy): Levels and seasonal trends. Comptes Rendus Biol. 2014, 337, 451–458. [Google Scholar] [CrossRef]
- UN. First Global Integrated Marine Assessment; United Nations: New York, NY, USA, 2016. [Google Scholar]
- Valdés, J. Heavy metal distribution and enrichment in sediments of Mejillones Bay (23 S), Chile: A spatial and temporal approach. Environ. Monit. Assess. 2012, 184, 5283–5294. [Google Scholar] [CrossRef]
- Belivermiş, M.; Kılıç, Ö.; Çotuk, Y. Assessment of metal concentrations in indigenous and caged mussels (Mytilus galloprovincialis) on entire Turkish coastline. Chemosphere 2016, 144, 1980–1987. [Google Scholar] [CrossRef]
- Stankovic, S.; Jovic, M. Health risks of heavy metals in the mediterranean mussels as seafood. Environ. Chem. Lett. 2012, 10, 119–130. [Google Scholar] [CrossRef]
- Stankovic, S.; Jovic, M.; Stankovic, A.R.; Katsikas, L. Heavy metals in seafood mussels. Risks for human health. In Environmental Chemistry for a Sustainable World: Volume 1: Nanotechnology and Health Risk; Springer: Dordrecht, The Netherlands, 2012; pp. 311–373. [Google Scholar] [CrossRef]
- Zhou, Q.; Zhang, J.; Fu, J.; Shi, J.; Jiang, G. Biomonitoring: An appealing tool for assessment of metal pollution in the aquatic ecosystem. Anal. Chim. Acta 2008, 606, 135–150. [Google Scholar] [CrossRef]
- Baki, M.A.; Hossain, M.M.; Akter, J.; Quraishi, S.B.; Shojib, M.F.H.; Ullah, A.A.; Khan, M.F. Concentration of heavy metals in seafood (fishes, shrimp, lobster and crabs) and human health assessment in Saint Martin Island, Bangladesh. Ecotoxicol. Environ. Saf. 2018, 159, 153–163. [Google Scholar] [CrossRef]
- Lu, J.; Lin, Y.; Wu, J.; Zhang, C. Continental-scale spatial distribution, sources, and health risks of heavy metals in seafood: Challenge for the water-food-energy nexus sustainability in coastal regions? Environ. Sci. Pollut. Res. 2021, 28, 63815–63828. [Google Scholar] [CrossRef]
- Rouane-Hacene, O.; Boutiba, Z.; Belhaouari, B.; Guibbolini-Sabatier, M.E.; Francour, P.; Risso-de Faverney, C. Seasonal assessment of biological indices, bioaccumulation and bioavailability of heavy metals in mussels Mytilus galloprovincialis from Algerian west coast, applied to environmental monitoring. Oceanologia 2015, 57, 362–374. [Google Scholar] [CrossRef]
- Salam, M.; Paul, S.; Noor, S.; Siddiqua, S.; Aka, T.; Wahab, R.; Aweng, E. Contamination profile of heavy metals in marine fish and shellfish. Glob. J. Environ. Sci. Manag. 2019, 5, 225–236. [Google Scholar] [CrossRef]
- Bosch, A.C.; O’Neill, B.; Sigge, G.O.; Kerwath, S.E.; Hoffman, L.C. Heavy metals in marine fish meat and consumer health: A review. J. Sci. Food Agric. 2016, 96, 32–48. [Google Scholar] [CrossRef]
- Saha, N.; Zaman, M. Evaluation of possible health risks of heavy metals by consumption of foodstuffs available in the central market of Rajshahi City, Bangladesh. Environ. Monit. Assess. 2013, 185, 3867–3878. [Google Scholar] [CrossRef] [PubMed]
- Priyadharshini, M.; Ahmed, M.S.; Pradhoshini, K.P.; Santhanabharathi, B.; Ahmed, M.F.S.; Alam, L.; Rahman, I.M.; Duong, V.H.; Musthafa, M.S. Human health risk assessment due to consumption of dried fish in Chennai, Tamil Nadu, India: A baseline report. Environ. Sci. Pollut. Res. 2024, 31, 41388–41401. [Google Scholar] [CrossRef] [PubMed]
- Priyadharshini, M.; Pradhoshini, K.P.; Chandrasekaran, A.; Santhanabharathi, B.; Suhail Ahmed, M.; Saikumar, S.; Mani, R.; Duong, V.-H.; Rahman, I.M.; Saiyad Musthafa, M. Evaluation of 210Po, 210Pb, and potentially toxic element concentrations in aquatic environments and polychaetes along the southeast coast of Chennai, Tamil Nadu: A baseline report. Int. J. Environ. Anal. Chem. 2024, 1–24. [Google Scholar] [CrossRef]
- Han, J.-L.; Pan, X.-D.; Chen, Q.; Huang, B.-F. Health risk assessment of heavy metals in marine fish to the population in Zhejiang, China. Sci. Rep. 2021, 11, 11079. [Google Scholar] [CrossRef] [PubMed]
- Saha, N.; Mollah, M.; Alam, M.; Rahman, M.S. Seasonal investigation of heavy metals in marine fishes captured from the Bay of Bengal and the implications for human health risk assessment. Food Control 2016, 70, 110–118. [Google Scholar] [CrossRef]
- Wei, Y.; Zhang, J.; Zhang, D.; Tu, T.; Luo, L. Metal concentrations in various fish organs of different fish species from Poyang Lake, China. Ecotoxicol. Environ. Saf. 2014, 104, 182–188. [Google Scholar] [CrossRef] [PubMed]
- Thu, P.T.S.; Tri, D.Q. Assessing the Impact of Industrial Zones on the Environmental Pollution in Hai Phong’s Coastal Areas, Vietnam. J. Geosci. Environ. Prot. 2023, 11, 11–29. [Google Scholar] [CrossRef]
- Ho, H.H.; Swennen, R.; Cappuyns, V.; Vassilieva, E.; Neyens, G.; Rajabali, M.; Van Tran, T. Assessment on pollution by heavy metals and arsenic based on surficial and core sediments in the Cam River Mouth, Haiphong Province, Vietnam. Soil Sediment Contam. Int. J. 2013, 22, 415–432. [Google Scholar] [CrossRef]
- Hong, S.; Yim, U.; Shim, W.; Oh, J.; Viet, P.; Park, P. Persistent organochlorine residues in estuarine and marine sediments from Ha Long Bay, Hai Phong Bay, and Ba Lat estuary, Vietnam. Chemosphere 2008, 72, 1193–1202. [Google Scholar] [CrossRef]
- Le, Q.; Bach, L.; Arai, T. Monitoring heavy metal contamination using rocky oyster (Saccostrea glomerata) in Haiphong-Halong Coastal area, North Vietnam. Int. J. Environ. Res. 2015, 9, 1373–1378. [Google Scholar]
- Nguyen, T.; Luu, V. Assessment on anthropogenically-induced contaminant loads into the Nam Trieu Mouth. In Proceedings of the Anniversary of the 45th Establishment Day of Haiphong Institute of Oceanography, Haiphong, Vietnam, 17–18 August 2004; pp. 54–63. [Google Scholar]
- Dang, T.T.; Vo, T.A.; Duong, M.T.; Pham, T.M.; Van Nguyen, Q.; Nguyen, T.Q.; Bui, M.Q.; Syrbu, N.N.; Van Do, M. Heavy metals in cultured oysters (Saccostrea glomerata) and clams (Meretrix lyrata) from the northern coastal area of Vietnam. Mar. Pollut. Bull. 2022, 184, 114140. [Google Scholar] [CrossRef]
- Chandrasekaran, T.S.; Milton, J.; Santhanabharathi, B.; Pradhoshini, K.P.; Cojandaraj, L.; Priyadharshini, M.; Ahmed, M.S.; Musthafa, M.S.; Balaji, P.; Faggio, C. Heavy metals toxicity in edible bivalves and risk exposure to humans through its consumption from Adyar Estuary, Tamilnadu, India—A baseline study. Reg. Stud. Mar. Sci. 2024, 79, 103854. [Google Scholar] [CrossRef]
- Davies, I.M.; Vethaak, D. Integrated Marine Environmental Monitoring of Chemicals and Their Effects; ICES Cooperative Research Reports (CRR); International Council for the Exploration of the Sea: Copenhagen, Denmark, 2012. [Google Scholar] [CrossRef]
- Rodrigues, L.C.; Van den Bergh, J.C.; Massa, F.; Theodorou, J.A.; Ziveri, P.; Gazeau, F. Sensitivity of Mediterranean bivalve mollusc aquaculture to climate change, ocean acidification, and other environmental pressures: Findings from a producer survey. J. Shellfish Res. 2015, 34, 1161–1176. [Google Scholar] [CrossRef]
- Yap, C.K.; Cheng, W.H.; Karami, A.; Ismail, A. Health risk assessments of heavy metal exposure via consumption of marine mussels collected from anthropogenic sites. Sci. Total Environ. 2016, 553, 285–296. [Google Scholar] [CrossRef] [PubMed]
- Attig, H.; Kamel, N.; Sforzini, S.; Dagnino, A.; Jamel, J.; Boussetta, H.; Viarengo, A.; Banni, M. Effects of thermal stress and nickel exposure on biomarkers responses in Mytilus galloprovincialis (Lam). Mar. Environ. Res. 2014, 94, 65–71. [Google Scholar] [CrossRef] [PubMed]
- Knopf, B.; Fliedner, A.; Radermacher, G.; Rüdel, H.; Paulus, M.; Pirntke, U.; Koschorreck, J. Seasonal variability in metal and metalloid burdens of mussels: Using data from the German Environmental Specimen Bank to evaluate implications for long-term mussel monitoring programs. Environ. Sci. Eur. 2020, 32, 7. [Google Scholar] [CrossRef]
- Sericano, J.L.; Wade, T.L.; Sweet, S.T.; Ramirez, J.; Lauenstein, G.G. Temporal trends and spatial distribution of DDT in bivalves from the coastal marine environments of the continental United States, 1986–2009. Mar. Pollut. Bull. 2014, 81, 303–316. [Google Scholar] [CrossRef]
- Azizi, G.; Akodad, M.; Baghour, M.; Layachi, M.; Moumen, A. The use of Mytilus spp. mussels as bioindicators of heavy metal pollution in the coastal environment. A review. J. Mater. Env. Sci. 2018, 9, 1170–1181. [Google Scholar]
- Fattorini, D.; Notti, A.; Di Mento, R.; Cicero, A.M.; Gabellini, M.; Russo, A.; Regoli, F. Seasonal, spatial and inter-annual variations of trace metals in mussels from the Adriatic sea: A regional gradient for arsenic and implications for monitoring the impact of off-shore activities. Chemosphere 2008, 72, 1524–1533. [Google Scholar] [CrossRef]
- Devier, M.-H.; Augagneur, S.; Budzinski, H.; Le Menach, K.; Mora, P.; Narbonne, J.-F.; Garrigues, P. One-year monitoring survey of organic compounds (PAHs, PCBs, TBT), heavy metals and biomarkers in blue mussels from the Arcachon Bay, France. J. Environ. Monit. 2005, 7, 224–240. [Google Scholar] [CrossRef]
- Oaten, J.; Hudson, M.; Jensen, A.; Williams, I. Seasonal effects to metallothionein responses to metal exposure in a naturalised population of Ruditapes philippinarum in a semi-enclosed estuarine environment. Sci. Total Environ. 2017, 575, 1279–1290. [Google Scholar] [CrossRef]
- Pisanelli, B.; Benedetti, M.; Fattorini, D.; Regoli, F. Seasonal and inter-annual variability of DNA integrity in mussels Mytilus galloprovincialis: A possible role for natural fluctuations of trace metal concentrations and oxidative biomarkers. Chemosphere 2009, 77, 1551–1557. [Google Scholar] [CrossRef] [PubMed]
- Marigómez, I.; Soto, M.; Cajaraville, M.P.; Angulo, E.; Giamberini, L. Cellular and subcellular distribution of metals in molluscs. Microsc. Res. Tech. 2002, 56, 358–392. [Google Scholar] [CrossRef]
- Pradhoshini, K.P.; Santhanabharathi, B.; Suhail Ahmed, M.; Priyadharshini, M.; Palanivel, M.; Saranya, P.; Prakasheswar, P.; Duong, V.H.; Krishnakumar, S.; Saiyad Musthafa, M. Natural radioactivity estimation and heavy metals concentration in commercial tea brands—A baseline study on human health risk hazards due to tea consumption in Tamilnadu, India. Int. J. Environ. Anal. Chem. 2024, 105, 2174–2192. [Google Scholar] [CrossRef]
- USEPA. Guidance for Assessing Chemical Contaminant Data for Use in Fish Advisories. Vol. 1: Fish Sampling and Analys; EPA-823-B-00-007; Environmental Protection Agency: Washington, DC, USA, 2000. [Google Scholar]
- WHO. World Health Statistic; World Health Organization: Geneva, Switzerland, 2015. [Google Scholar]
- USEPA. Human Health Risk Assessment. Regional Screening Level (RSL)—Summary Table; Environmental Protection Agency: Washington, DC, USA, 2024. [Google Scholar]
- Wong, C.; Roberts, S.M.; Saab, I.N. Review of regulatory reference values and background levels for heavy metals in the human diet. Regul. Toxicol. Pharmacol. 2022, 130, 105122. [Google Scholar] [CrossRef]
- Jović, M.; Stanković, S. Human exposure to trace metals and possible public health risks via consumption of mussels Mytilus galloprovincialis from the Adriatic coastal area. Food Chem. Toxicol. 2014, 70, 241–251. [Google Scholar] [CrossRef]
- Yap, C.; Mohd Ruszaidi, S.; Cheng, W. Different tissues of rock oyster Saccostrea cucullata as biomonitors of trace metal bioavailabilities in the Penang coastal waters, Malaysia. Res. J. Chem. Environ. 2010, 14, 17–21. [Google Scholar]
- Nguyet, P.N.; Le Luu, T.; Le, N.A.; Ngan, N.T.K.; Trang, N.T.H. Groundwater arsenic pollution in Vietnam: Current opinion on the mobilization and remediation. Curr. Opin. Environ. Sci. Health 2025, 44, 100596. [Google Scholar] [CrossRef]
- AbuQamar, S.F.; El-Saadony, M.T.; Alkafaas, S.S.; Elsalahaty, M.I.; Elkafas, S.S.; Mathew, B.T.; Aljasmi, A.N.; Alhammadi, H.S.; Salem, H.M.; Abd El-Mageed, T.A. Ecological impacts and management strategies of pesticide pollution on aquatic life and human beings. Mar. Pollut. Bull. 2024, 206, 116613. [Google Scholar] [CrossRef] [PubMed]
- Cao, X.; Hao, C.; Wang, G.; Yang, H.; Chen, D.; Wang, X. Sequential extraction combined with HPLC–ICP-MS for As speciation in dry seafood products. Food Chem. 2009, 113, 720–726. [Google Scholar] [CrossRef]
- Peshut, P.J.; Morrison, R.J.; Brooks, B.A. Arsenic speciation in marine fish and shellfish from American Samoa. Chemosphere 2008, 71, 484–492. [Google Scholar] [CrossRef]
- Dung, L. Concentration of trace metals in rocky oyster (Saccostrea glomerata) and hard clam (Meretrix lyrata) in Haiphong coast. Vietnam J. Mar. Sci. Technol. 2013, 13, 268–275. [Google Scholar] [CrossRef][Green Version]
- Liu, C.-W.; Liang, C.-P.; Lin, K.-H.; Jang, C.-S.; Wang, S.-W.; Huang, Y.-K.; Hsueh, Y.-M. Bioaccumulation of arsenic compounds in aquacultural clams (Meretrix lusoria) and assessment of potential carcinogenic risks to human health by ingestion. Chemosphere 2007, 69, 128–134. [Google Scholar] [CrossRef]
- Valette-Silver, N.; Riedel, G.; Crecelius, E.A.; Windom, H.; Smith, R.; Dolvin, S. Elevated arsenic concentrations in bivalves from the southeast coasts of the USA. Mar. Environ. Res. 1999, 48, 311–333. [Google Scholar] [CrossRef]
- EC. Commission regulation (EC) No 188/2006. Off. J. Eur. Union 2006, 49, 10–11. [Google Scholar]
- FAO/WHO. Joint Expert Committee on Food Additives. Summary Evaluations Performed by the Joint FAO/WHO Expert Committee on Food Additives (JECFA1956–2003), (First Through Sixty-First Meetings); ILSI Press International Life Sciences Institute, Food and Agriculture Organization of the United Nations and the World Health Organization: Washington, DC, USA, 2004. [Google Scholar]
- USFDA/CFSAN. National Shellfish Sanitation Program. Guide for the Control of Molluscan Shellfish. Guidance Documents Chapter II. Growing Areas: 04. Action Levels, Tolerances and Guidance Levels for Poisonous or Deleterious Substances in Seafood; US Food and Drug Administration: Silver Spring, MD, USA, 2007. [Google Scholar]
- FDA. Recommendations of the United States Public Health Service Food and Drug Administration; Food and Drug Administration: Silver Spring, MD, USA, 2001. [Google Scholar]
- MFR. Malaysian Law on Food and Drugs; Malaysian Law; Malaysian Food Regulations: Kuala Lumpur, Malaysia, 1985. [Google Scholar]
- Nauen, C.E. Compilation of Legal Limits for Hazardous Substances in Fish and Fishery Products; FAO Fisheries Circular 764; FAO Fisheries Circular 764; FAO: Rome, Italy, 1983; 102p, Available online: https://www.fao.org/4/q5114e/q5114e.pdf (accessed on 18 August 2024).
- Tepe, Y.; Süer, N. The levels of heavy metals in the Mediterranean mussel (Mytilus galloprovincialis Lamarck, 1819); Example of Giresun coasts of the Black Sea, Turkey. Ind. J. Geo-Mar. Sci 2016, 45, 283–289. [Google Scholar]
- Maanan, M. Heavy metal concentrations in marine molluscs from the Moroccan coastal region. Environ. Pollut. 2008, 153, 176–183. [Google Scholar] [CrossRef]
- Besada, V.; Andrade, J.M.; Schultze, F.; Fumega, J.; Cambeiro, B.; González, J.J. Statistical comparison of trace metal concentrations in wild mussels (Mytilus galloprovincialis) in selected sites of Galicia and Gulf of Biscay (Spain). J. Mar. Syst. 2008, 72, 320–331. [Google Scholar] [CrossRef]
- Szefer, P.; Kim, B.-S.; Kim, C.-K.; Kim, E.-H.; Lee, C.-B. Distribution and coassociations of trace elements in soft tissue and byssus of Mytilus galloprovincialis relative to the surrounding seawater and suspended matter of the southern part of the Korean Peninsula. Environ. Pollut. 2004, 129, 209–228. [Google Scholar] [CrossRef]
- Yulianto, B.; Oetari, P.S.; Februhardi, S.; Putranto, T.W.; Soegianto, A. Heavy metals (Cd, Pb, Cu, Zn) concentrations in edible bivalves harvested from northern coast of Central Java, Indonesia. IOP Conf. Ser. Earth Environ. Sci. 2019, 259, 012005. [Google Scholar] [CrossRef]
- Bayen, S.; Thomas, G.O.; Lee, H.K.; Obbard, J.P. Organochlorine pesticides and heavy metals in green mussel, Perna viridis in Singapore. Water Air Soil Pollut. 2004, 155, 103–116. [Google Scholar] [CrossRef]
- Yap, C.; Ismail, A.; Tan, S.; Omar, H. Correlations between speciation of Cd, Cu, Pb and Zn in sediment and their concentrations in total soft tissue of green-lipped mussel Perna viridis from the west coast of Peninsular Malaysia. Environ. Int. 2002, 28, 117–126. [Google Scholar] [CrossRef] [PubMed]
- Chiu, S.; Lam, F.; Tze, W.; Chau, C.; Ye, D. Trace metals in mussels from mariculture zones, Hong Kong. Chemosphere 2000, 41, 101–108. [Google Scholar] [CrossRef]
- de Astudillo, L.R.; Yen, I.C.; Agard, J.; Bekele, I.; Hubbard, R. Heavy metals in green mussel (Perna viridis) and oysters (Crassostrea sp.) from Trinidad and Venezuela. Arch. Environ. Contam. Toxicol. 2002, 42, 410–415. [Google Scholar] [CrossRef]
- Widdows, J.; Donkin, P.; Staff, F.; Matthiessen, P.; Law, R.; Allen, Y.; Thain, J.; Allchin, C.; Jones, B. Measurement of stress effects (scope for growth) and contaminant levels in mussels (Mytilus edulis) collected from the Irish Sea. Mar. Environ. Res. 2002, 53, 327–356. [Google Scholar] [CrossRef]
- Prego, R.; Cobelo-Garcıa, A. Twentieth century overview of heavy metals in the Galician Rias (NW Iberian Peninsula). Environ. Pollut. 2003, 121, 425–452. [Google Scholar] [CrossRef]
- Khan, M.A.A.; Ullah, S.; Alpona, A.A. Potential Health Risks from Heavy Metal in Green Mussels (Perna viridis) from the Southeastern Part of the Bay of Bengal. Biol. Trace Elem. Res. 2025, 203, 4376–4396. [Google Scholar] [CrossRef]
- Fernández, B.; Campillo, J.; Martínez-Gómez, C.; Benedicto, J. Antioxidant responses in gills of mussel (Mytilus galloprovincialis) as biomarkers of environmental stress along the Spanish Mediterranean coast. Aquat. Toxicol. 2010, 99, 186–197. [Google Scholar] [CrossRef]
- Sloth, J.J.; Julshamn, K. Survey of total and inorganic arsenic content in blue mussels (Mytilus edulis L.) from Norwegian fiords: Revelation of unusual high levels of inorganic arsenic. J. Agric. Food Chem. 2008, 56, 1269–1273. [Google Scholar] [CrossRef] [PubMed]
- Riget, F.; Johansen, P.; Asmund, G. Influence of length on element concentrations in blue mussels (Mytilus edulis). Mar. Pollut. Bull. 1996, 32, 745–751. [Google Scholar] [CrossRef]
- Delorme, N.J.; King, N.; Cervantes-Loreto, A.; South, P.M.; Baettig, C.G.; Zamora, L.N.; Knight, B.R.; Ericson, J.A.; Smith, K.F.; Ragg, N.L. Genetics and ontogeny are key factors influencing thermal resilience in a culturally and economically important bivalve. Sci. Rep. 2024, 14, 19130. [Google Scholar] [CrossRef]
- Ansari, T.; Marr, I.; Tariq, N. Heavy metals in marine pollution perspective—A mini review. J. Appl. Sci. 2004, 4, 1–20. [Google Scholar] [CrossRef]
- Richir, J.; Gobert, S. The effect of size, weight, body compartment, sex and reproductive status on the bioaccumulation of 19 trace elements in rope-grown Mytilus galloprovincialis. Ecol. Indic. 2014, 36, 33–47. [Google Scholar] [CrossRef]
- Santos, H.S.D.; Bertollo, J.C.; Creed, J.C. Range extension of the Asian green mussel Perna viridis (Linnaeus, 1758) into a Marine Extractive Reserve in Brazil. BioInvasions Rec. 2023, 12, 208–222. [Google Scholar] [CrossRef]
- Abderrahmani, K. Assessment of Essential Trace Elements Cu, Zn, Mn, and Ni in Mediterranean Mussels (Mytilus galloprovincialis) from the Algerian Coast. Biol. Trace Elem. Res. 2024, 203, 3335–3350. [Google Scholar] [CrossRef]
- Cossa, D. A review of the use of Mytilus spp. as quantitative indicators of cadmium and mercury contamination in coastal waters. Oceanol. Acta 1989, 12, 417–432. [Google Scholar]
- Amiard, J.; Amiard-Triquet, C.; Berthet, B.; Metayer, C. Contribution to the ecotoxicological study of cadmium, lead, copper and zinc in the mussel Mytilus edulis: I. Field study. Mar. Biol. 1986, 90, 425–431. [Google Scholar] [CrossRef]
- Farrington, J.W.; Goldberg, E.D.; Risebrough, R.W.; Martin, J.H.; Bowen, V.T. US “Mussel Watch” 1976–1978: An overview of the trace-metal, DDE, PCB, hydrocarbon and artificial radionuclide data. Environ. Sci. Technol. 1983, 17, 490–496. [Google Scholar] [CrossRef]
- Rainbow, P.; Fialkowski, W.; Sokolowski, A.; Smith, B.; Wolowicz, M. Geographical and seasonal variation of trace metal bioavailabilities in the Gulf of Gdansk, Baltic Sea using mussels (Mytilus trossulus) and barnacles (Balanus improvisus) as biomonitors. Mar. Biol. 2004, 144, 271–286. [Google Scholar] [CrossRef]
- Al-Barwani, S.; Goddard, J. Bioaccumulation of some metals by Green mussel Perna viridis (Linnaeus 1758) from Pekan, Pahang, Malaysia. Int. J. Biol. Chem. 2011, 5, 54–60. [Google Scholar] [CrossRef]
- Sarà, G.; Pusceddu, A. Scope for growth of Mytilus galloprovincialis (Lmk., 1819) in oligotrophic coastal waters (Southern Tyrrhenian Sea, Italy). Mar. Biol. 2008, 156, 117–126. [Google Scholar] [CrossRef]
- Teiba, I.I.; El-Bilawy, E.H.; Abouelsaad, I.A.; Shehata, A.I.; Alhoshy, M.; Habib, Y.J.; Abu-Elala, N.M.; El-Khateeb, N.; Belal, E.B.; Hussain, W.A. The role of marine bacteria in modulating the environmental impact of heavy metals, microplastics, and pesticides: A comprehensive review. Environ. Sci. Pollut. Res. 2024, 31, 64419–64452. [Google Scholar] [CrossRef] [PubMed]
- Marquez, J.E.; Pourret, O.; Faucon, M.-P.; Weber, S.; Hoàng, T.B.H.; Martinez, R.E. Effect of cadmium, copper and lead on the growth of rice in the coal mining region of Quang Ninh, Cam-Pha (Vietnam). Sustainability 2018, 10, 1758. [Google Scholar] [CrossRef]
- Nguyen, T.T.T.; Hoang, A.Q.; Vuong, X.T.; Nguyen, V.D.; Pham, G.H.; Minh, T.B. Comprehensive insight into heavy metal (loid) s in road dust from industrial and urban areas in northern Vietnam: Concentrations, fractionation characteristics, and risk assessment. Int. J. Environ. Anal. Chem. 2024, 104, 4027–4046. [Google Scholar] [CrossRef]
- Pan, K.; Wang, W.-X. Trace metal contamination in estuarine and coastal environments in China. Sci. Total Environ. 2012, 421, 3–16. [Google Scholar] [CrossRef] [PubMed]
- Rainbow, P.S. Trace metal concentrations in aquatic invertebrates: Why and so what? Environ. Pollut. 2002, 120, 497–507. [Google Scholar] [CrossRef] [PubMed]








| Heavy Metals | Organs | Heavy Metal Concentrations (mg/kg Wet Weight) | Guidelines (mg/kg) | Ref. | ||||
|---|---|---|---|---|---|---|---|---|
| (mg/kg) | March (n = 10) | April (n = 10) | May (n = 10) | June (n = 10) | July (n = 10) | |||
| Cs | Muscle. T. | 0.0108 | 0.0153 | 0.0174 | 0.0202 | 0.0275 | ||
| Hepato. G. | 0.0525 | 0.0975 | 0.0394 | 0.0962 | 0.1207 | |||
| Cd | Muscle. T. | 0.18 | 0.1 | 0.05 | 0.08 | 0.08 | 1–2 | [59,60] |
| Hepato. G. | 0.26 | 0.29 | 0.23 | 0.21 | 0.21 | |||
| Hg | Muscle. T. | 0.04 | 0.04 | 0.03 | 0.06 | 0.30 | 0.05–1 | [60] |
| Hepato. G. | 0.15 | 0.14 | 0.09 | 0.18 | 0.32 | |||
| Ni | Muscle. T. | 0.35 | 0.14 | 0.14 | 0.1 | 0.01 | 80 | [61] |
| Hepato. G. | 0.45 | 0.21 | 0.82 | 0.55 | 0.35 | |||
| Pb | Muscle. T. | 0.43 | 0.06 | 0.23 | 0.07 | 0.12 | 1–6 | [60] |
| Hepato. G. | 0.61 | 0.09 | 1.00 | 0.41 | 0.58 | |||
| Cr | Muscle. T. | 0.32 | 0.98 | 0.42 | 0.34 | 0.22 | 13 | [62] |
| Hepato. G. | 0.79 | 1.29 | 1.08 | 1.22 | 0.65 | |||
| Cu | Muscle. T. | 0.81 | 0.7 | 1.03 | 1.64 | 2.47 | 30 | [63,64] |
| Hepato. G. | 2.36 | 2 | 2.91 | 2.33 | 2.29 | |||
| As | Muscle. T. | 1.82 | 3.53 | 2.32 | 3.87 | LLD * | 1–3.5 | [60] |
| Hepato. G. | 4.07 | 9.35 | 4.94 | 15.9 | LLD * | |||
| Zn | Muscle. T. | 14.0 | 13.8 | 11.7 | 8.96 | 11.3 | 100 | [63,64] |
| Hepato. G. | 17.5 | 17.9 | 17.3 | 18.6 | 15.0 | |||
| Country | Species | Concentrations (mg/kg Wet Weight) | References | ||||||||
|---|---|---|---|---|---|---|---|---|---|---|---|
| Cs | Cd | Hg | Ni | Pb | Cr | Cu | As | Zn | |||
| Turkey | M. galloprovincialis | - | - | - | 12.7 | 3.16 | 0.56 | 2.65 | 3.16 | 69.06 | [65] |
| Morocco | M. galloprovincialis | - | 1.33–25.3 | 0.02–2.30 | - | 0.50–34.2 | - | 4.35–142.2 | - | 112.6–612.3 | [66] |
| Spain | M. galloprovincialis | - | 0.46–1.40 | 0.11–0.61 | - | 0.9–3.0 | - | 5.33–7.2 | - | 176–316 | [67] |
| Korea | M. galloprovincialis | - | 0.63–9.98 | 0.029–0.627 | - | 0.44–18.9 | - | 6.99–58.8 | - | 107–279 | [68] |
| Indonesia | P. viridis | - | 0.95 | 1.27 | - | 1.27 | - | - | - | - | [69] |
| Singapore | P. viridis | - | BLD-0.04 | - | 1.6 | 1.2 | 0.4 | 5.6 | 4.2 | 56 | [70] |
| Malaysia | P. viridis | - | 1.1 | - | - | 38 | - | 34 | - | 46 | [71] |
| Hong Kong | P. viridis | - | 2.5 | - | 8.9 | 3.7 | 5.1 | 15.1 | - | - | [72] |
| Venezuela | P. viridis | - | 0.16 | - | 0.65 | - | 0.12 | 1.7 | - | 25 | [73] |
| United Kingdom | M. galloprovincialis | - | 0.77 | - | 1.4 | 3.9 | 1.6 | 7.4 | 14 | 88 | [74] |
| Spain | Mussels | - | 0.3–3.1 | - | 5.2–23.8 | 1.0–30.1 | 3.1–25.8 | 12–292 | - | 190–997 | [75] |
| Indian | P. viridis | - | 0.65–2.99 | - | - | 1.20–4.00 | - | 3.52–23.21 | - | 20.16–117.17 | [76] |
| Vietnam | P. viridis (Muscle. T. 1) | 0.018 | 0.098 | 0.094 | 0.148 | 0.182 | 0.456 | 1.33 | 2.31 | 11.95 | This study |
| P. viridis (Hepato. G. 2) | 0.081 | 0.240 | 0.176 | 0.476 | 0.538 | 1.01 | 2.38 | 6.85 | 17.26 | ||
| Metal | Organs | THQ March (n = 10) | THQ July (n = 10) | ||||
|---|---|---|---|---|---|---|---|
| Average | Min | Max | Average | Min | Max | ||
| Cd | Muscle. T. | 0.01 | <0.01 | 0.02 | <0.01 | <0.01 | <0.01 |
| Hepato. G. | 0.01 | <0.01 | 0.03 | 0.01 | <0.01 | 0.01 | |
| Pb | Muscle. T. | 0.65 | 0.50 | 0.80 | 0.19 | 0.11 | 0.25 |
| Hepato. G. | 0.91 | 0.65 | 1.29 | 0.86 | 0.45 | 1.84 | |
| Hg | Muscle. T. | <0.01 | <0.01 | <0.01 | <0.01 | <0.01 | 0.01 |
| Hepato. G. | <0.01 | <0.01 | <0.01 | <0.01 | <0.01 | 0.01 | |
| Ni | Muscle. T. | <0.01 | <0.01 | <0.01 | <0.01 | <0.01 | <0.01 |
| Hepato. G. | <0.01 | <0.01 | <0.01 | <0.01 | <0.01 | <0.01 | |
| Cr | Muscle. T. | <0.01 | <0.01 | <0.01 | <0.01 | <0.01 | <0.01 |
| Hepato. G. | <0.01 | <0.01 | <0.01 | <0.01 | <0.01 | <0.01 | |
| Cu | Muscle. T. | <0.01 | <0.01 | <0.01 | <0.01 | <0.01 | <0.01 |
| Hepato. G. | <0.01 | <0.01 | <0.01 | <0.01 | <0.01 | <0.01 | |
| As | Muscle. T. | 0.20 | 0.16 | 0.24 | <0.01 | <0.01 | <0.01 |
| Hepato. G. | 0.45 | 0.38 | 0.55 | <0.01 | <0.01 | <0.01 | |
| Zn | Muscle. T. | <0.01 | <0.01 | <0.01 | <0.01 | <0.01 | <0.01 |
| Hepato. G. | <0.01 | <0.01 | <0.01 | <0.01 | <0.01 | <0.01 | |
| HI | 2.25 | 1.70 | 2.93 | 1.08 | 0.58 | 2.14 | |
Disclaimer/Publisher’s Note: The statements, opinions and data contained in all publications are solely those of the individual author(s) and contributor(s) and not of MDPI and/or the editor(s). MDPI and/or the editor(s) disclaim responsibility for any injury to people or property resulting from any ideas, methods, instructions or products referred to in the content. |
© 2025 by the authors. Licensee MDPI, Basel, Switzerland. This article is an open access article distributed under the terms and conditions of the Creative Commons Attribution (CC BY) license (https://creativecommons.org/licenses/by/4.0/).
Share and Cite
Nguyen Thanh Kim, H.; Duong, V.-H.; Chu, T.-T.; Pham-Thi, T.-X.; Nguyen, X.-Q.; Van Vu, S.; Van, T.P.; Ta, D.-T.; Duong, D.-T.; Tursunov, O.; et al. Mussels as Bioindicators for the Rapid Detection of Heavy Metal Fluctuations in Marine Coastal Waters: A Case Study of Seasonal Bioaccumulation Monitoring and Assessment of Perna viridis from the Gulf of Tonkin Coastline, Hai Phong, Vietnam. Water 2025, 17, 2552. https://doi.org/10.3390/w17172552
Nguyen Thanh Kim H, Duong V-H, Chu T-T, Pham-Thi T-X, Nguyen X-Q, Van Vu S, Van TP, Ta D-T, Duong D-T, Tursunov O, et al. Mussels as Bioindicators for the Rapid Detection of Heavy Metal Fluctuations in Marine Coastal Waters: A Case Study of Seasonal Bioaccumulation Monitoring and Assessment of Perna viridis from the Gulf of Tonkin Coastline, Hai Phong, Vietnam. Water. 2025; 17(17):2552. https://doi.org/10.3390/w17172552
Chicago/Turabian StyleNguyen Thanh Kim, Hue, Van-Hao Duong, Trung-Tien Chu, Thanh-Xuan Pham-Thi, Xuan-Quang Nguyen, Sang Van Vu, Thin Pham Van, Duc-Thinh Ta, Duc-Thang Duong, Obid Tursunov, and et al. 2025. "Mussels as Bioindicators for the Rapid Detection of Heavy Metal Fluctuations in Marine Coastal Waters: A Case Study of Seasonal Bioaccumulation Monitoring and Assessment of Perna viridis from the Gulf of Tonkin Coastline, Hai Phong, Vietnam" Water 17, no. 17: 2552. https://doi.org/10.3390/w17172552
APA StyleNguyen Thanh Kim, H., Duong, V.-H., Chu, T.-T., Pham-Thi, T.-X., Nguyen, X.-Q., Van Vu, S., Van, T. P., Ta, D.-T., Duong, D.-T., Tursunov, O., Priyadharshini, M., Musthafa, M. S., Hegedűs, M., Shahrokhi, A., & Kovács, T. (2025). Mussels as Bioindicators for the Rapid Detection of Heavy Metal Fluctuations in Marine Coastal Waters: A Case Study of Seasonal Bioaccumulation Monitoring and Assessment of Perna viridis from the Gulf of Tonkin Coastline, Hai Phong, Vietnam. Water, 17(17), 2552. https://doi.org/10.3390/w17172552

