Urban Geochemical Contamination of Highland Peat Wetlands of Very High Ecological and First Nations Cultural Value
Abstract
1. Introduction
2. Materials and Methods
2.1. Study Area
2.2. Collection of Water Quality Data and Water Samples
2.3. Deriving THPSS Water Quality Guideline Values
2.4. Data Analysis
3. Results
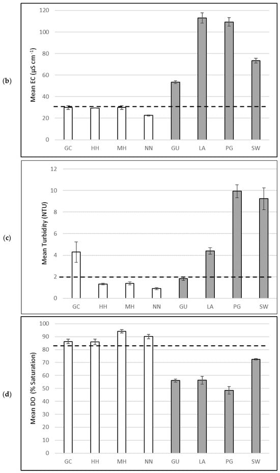
3.1. Water pH, Salinity, Turbidity, Nitrogen, and Dissolved Oxygen
3.2. Ionic Composition
3.3. Other Metals
4. Discussion
5. Conclusions
- This study provides water quality guidelines, such as trigger values, for Blue Mountains Temperate Highland Peat Swamps on Sandstone.
- These are the first water quality guidelines for fragile and vulnerable THPSS wetlands that are being damaged by urban development and climate change.
- These wetlands have legislative protection as endangered ecological communities, but also have important cultural significance for Gundungurra Traditional Custodians.
- The water quality guidelines include physical guidelines (dissolved oxygen, turbidity) and chemical guidelines (pH, barium, strontium, iron, and manganese).
- An important source of urban water quality contamination appears to be linked to the dissolution of concrete materials.
Author Contributions
Funding
Data Availability Statement
Acknowledgments
Conflicts of Interest
Abbreviations
| THPSS | Temperate Highland Peat Swamps on Sandstone |
| FSS | Freshwater Salinisation Syndrome |
| GBMWHA | Greater Blue Mountains World Heritage Area |
| IUCN | International Union for Conservation of Nature |
| GIS | Geographic Information System |
| DO | Dissolved oxygen |
| EC | Electrical conductivity |
References
- Walsh, C.J.; Roy, A.; Feminella, J.; Cottingham, P.; Groffman, P.; Morgan, R., II. The urban stream syndrome: Current knowledge and the search for a cure. J. N. Am. Benthol. Soc. 2005, 24, 706–723. [Google Scholar] [CrossRef]
- Paul, M.J.; Meyer, J.L. Streams in the urban landscape. Annu. Rev. Ecol. Syst. 2001, 32, 333–365. [Google Scholar] [CrossRef]
- Tippler, C.; Wright, I.A.; Hanlon, A. Is catchment imperviousness a keystone factor degrading urban waterways? A case study from a partly urbanised catchment (Georges River, south-eastern Australia). Water Air Soil Pollut. 2012, 223, 5331–5344. [Google Scholar] [CrossRef]
- Davies, P.J.; Wright, I.A.; Jonasson, O.J.; Findlay, S.J. Impact of concrete and PVC pipes on urban water chemistry. Urban Water J. 2010, 7, 233–241. [Google Scholar] [CrossRef]
- Kaushal, S.S.; Wood, K.L.; Galella, J.G.; Gion, A.M.; Haq, S.; Goodling, P.J.; Haviland, K.A.; Reimer, J.E.; Morel, C.J.; Wessel, B.; et al. Making ‘chemical cocktails’–Evolution of urban geochemical processes across the periodic table of elements. Appl. Geochem. 2010, 119, 104632. [Google Scholar] [CrossRef] [PubMed]
- Department of Climate Change, Energy, the Environment and Water. Temperate Highland Peat Swamps on Sandstone. 2005. Available online: https://www.dcceew.gov.au/environment/biodiversity/threatened/assessments/temperate-highland-peat-swamps-2005 (accessed on 17 June 2025).
- Benson, D.; Baird, I.R.C. Vegetation, fauna and groundwater interrelations in low nutrient temperate montane peat swamps in the upper Blue Mountains, New South Wales. Cunninghamia 2012, 12, 267–307. [Google Scholar] [CrossRef]
- Fryirs, K.; Freidman, B.; Williams, R.; Jacobsen, G. Peatlands in eastern Australia? Sedimentology and age structure of Temperate Highland Peat Swamps on Sandstone (THPSS) in the Southern Highlands and Blue Mountains of NSW, Australia. Holocene 2014, 24, 1527–1538. [Google Scholar] [CrossRef]
- Gorissen, S.; Greenlees, M.; Shine, R. Habitat and Fauna of an Endangered Swamp Ecosystem in Australia’s Eastern Highlands. Wetlands 2017, 37, 269–276. [Google Scholar] [CrossRef]
- UNESCO (United Nations Educational, Scientific and Cultural Organization). Greater Blue Mountains Area. 2025. Available online: https://whc.unesco.org/en/list/917 (accessed on 17 June 2025).
- Belmer, N.; Wright, I.A.; Tippler, C. Urban geochemical contamination of high conservation value upland swamps, Blue Mountains Australia. Water Air Soil Pollut. 2015, 226, 332. [Google Scholar] [CrossRef]
- Blue Mountains City Council. A Heritage Study of the Gully Aboriginal Place, Katoomba, New South Wales. 2005. Available online: https://www.bmcc.nsw.gov.au/sites/default/files/document/files/2006-03-21_Item18Enc.pdf (accessed on 17 June 2025).
- Moggridge, B.J.; Thompson, R.M. Cultural value of water and western water management: An Australian Indigenous perspective. Australas. J. Water Resour. 2021, 25, 4–14. [Google Scholar] [CrossRef]
- Macpherson, E.; Turoa, H. Untapping the potential of Indigenous water jurisdiction: Perspectives from Whanganui and Aotearoa New Zealand. Humanit. Soc. Sci. Commun. 2025, 12, 86. [Google Scholar] [CrossRef]
- Christiansen, N.A.; Fryirs, K.A.; Green, T.J.; Hose, G.C. The impact of urbanization on community structure, gene abundance and transcription rates in microbes of upland swamps of Eastern Australia. PLoS ONE 2019, 14, e0213275. [Google Scholar] [CrossRef]
- IUCN (International Union for Conservation of Nature). Greater Blue Mountains Area 2020 Conservation Outlook Assessment. 2020. Available online: https://worldheritageoutlook.iucn.org/explore-sites/greater-blue-mountains-area (accessed on 17 June 2025).
- Carroll, R.; Reynolds, J.K.; Wright, I.A. Loss of soil carbon in a world heritage peatland following a bushfire. Int. J. Wildland Fire 2023, 32, 1059–1070. [Google Scholar] [CrossRef]
- Carroll, R.; Reynolds, J.K.; Wright, I.A. Impact of urban development on endangered wetland ecological communities in the Greater Blue Mountains World Heritage Area. In Proceedings of the 10th Australian Stream Management Conference 2021, Kingscliff, NSW, Australia, 2–4 August 2021; Available online: https://rbms.tempurl.host/wp-content/uploads/2021/08/50-rani-carroll.pdf (accessed on 17 June 2025).
- Carroll, R.; Reynolds, J.K.; Wright, I.A. Signatures of urbanization in Temperate Highland Peat Swamps on Sandstone (THPSS) of the Blue Mountains World Heritage Area. Water J. 2022, 14, 3724. [Google Scholar] [CrossRef]
- Carroll, R.; Reynolds, J.K.; Wright, I.A. Geochemical signature of urbanisation in Blue Mountains Upland Swamps. Sci. Total Environ. 2020, 699, 134393. [Google Scholar] [CrossRef]
- Wright, I.A.; Khoury, R.; Ryan, M.; Belmer, N.; Reynolds, J.K. Laboratory study of impacts of concrete fragment sizes on wetland water chemistry. Urban Water J. 2018, 15, 61–67. [Google Scholar] [CrossRef]
- Purdy, K. Impact of Concrete on Urban Stream Chemistry and Ecosystems. Master’s Thesis, Western Sydney University, Sydney, NSW, Australia, 2019. Available online: https://researchers-admin.westernsydney.edu.au/ws/portalfiles/portal/94926786/uws_58592.pdf (accessed on 17 June 2025).
- Wright, I.A.; Nettle, H.; Franklin, M.J.M.; Reynolds, J.K. Recirculating Water through Concrete Aggregates Rapidly Produced Ecologically Hazardous Water Quality. Water J. 2023, 15, 1705. [Google Scholar] [CrossRef]
- Purdy, K.; Reynolds, J.K.; Wright, I.A. The influence of contamination from concrete materials on the growth and accumulation of metals within an invasive weed (Salix spp.). Water Air Soil Pollut. 2024, 235, 647. [Google Scholar] [CrossRef]
- NSW Environment and Heritage. Blue Mountains Swamps in the Sydney Basin Bioregion-Vulnerable Ecological Community Listing. 2007. Available online: https://www.environment.nsw.gov.au/topics/animals-and-plants/threatened-species/nsw-threatened-species-scientific-committee/determinations/final-determinations/2004-2007/blue-mountains-swamps-sydney-basin-bioregion-vulnerable-ecological-community-listing (accessed on 17 June 2025).
- Kaushal, S.S.; Reimer, J.E.; Mayer, P.M.; Shatkay, R.R.; Maas, C.M.; Nguyen, W.D.; Boger, W.L.; Yaculak, A.M.; Doody, T.R.; Pennino, M.J.; et al. Freshwater Salinization Syndrome Alters Retention and Release of ‘Chemical Cocktails’ along Flowpaths: From Stormwater Management to Urban Streams. Freshw. Sci. 2022, 41, 420–441. [Google Scholar] [CrossRef] [PubMed]
- Maas, C.M.; Kaushal, S.S.; Rippy, M.A.; Mayer, P.M.; Grant, S.B.; Shatkay, R.R.; Malin, J.T.; Bhide, S.V.; Vikesland, P.; Krauss, L.; et al. Freshwater salinization syndrome limits management efforts to improve water quality. Front. Environ. Sci. 2023, 11, 1106581. [Google Scholar] [CrossRef] [PubMed]
- Krogh, K.; Gorissen, S.; Baird, I.R.C.; Keith, D.A. Impacts of the Gospers Mountain Wildfire on the flora and fauna of mining-impacted Newnes Plateau Shrub Swamps in Australia’s Eastern Highlands. Aust. Zool. 2022, 42, 199–216. [Google Scholar] [CrossRef]
- ANZECC (Australian and New Zealand Environment and Conservation Council). Australian and New Zealand Guidelines for Fresh and Marine Waters. In National Water Quality Management Strategy Paper No. 4; Australian and New Zealand Environment and Conservation Council: Canberra, ACT, Australia, 2001. Available online: https://www.waterquality.gov.au/anz-guidelines/resources/previous-guidelines/anzecc-armcanz-2000 (accessed on 17 June 2025).
- Sutherland, R. Methods for Estimating the Effective Impervious Area of Urban Watersheds: The Practice of Watershed Protection; Center for Watershed Protection: Ellicott City, MD, USA, 2000; pp. 193–195. [Google Scholar]
- APHA (American Public Health Association). Standard Methods for the Examination of Water and Wastewater, 20th ed.; American Public Health Association: Washington, DC, USA, 1998. [Google Scholar]
- Clarke, J.U. Evaluation of Censored Data Methods to Allow Statistical Comparisons among Very Small Samples with Below Detection Limit Observations. Environ. Sci. Technol. 1998, 32, 177–183. [Google Scholar] [CrossRef]
- IBM Corporation. SPSS Statistics, Version 30; IBM Corporation: Armonk, NY, USA, 2024. Available online: https://www.ibm.com/support/pages/downloading-ibm-spss-statistics-30 (accessed on 17 June 2025).
- Gibbs, R.J. Mechanisms controlling world water chemistry. Science 1970, 170, 1088–1090. [Google Scholar] [CrossRef]
- Purdy, K.; Reynolds, J.K.; Wright, I.A. Potential water pollution from recycled concrete aggregate material. Mar. Freshwater Res. 2020, 72, 58–65. [Google Scholar] [CrossRef]
- van der Beek, P.; Pulford, A. Cenozoic landscape development in the Blue Mountains (SE Australia): Lithological and tectonic. J. Geol. 2001, 109, 35–56. [Google Scholar] [CrossRef]
- Pickett, J. Layers of time: The Blue Mountains and their geology. In Blue Mountains and Their Geology; Alder, J.D., Ed.; Geological Survey of New South Wales: Sydney, NSW, Australia, 2011. [Google Scholar]
- Kaushal, S.S.; Duan, S.; Doody, T.R.; Haq, S.; Smith, R.M.; Newcomer-Johnson, T.; Delaney-Newcomb, K.; Gorman, J.; Bowman, N.; Mayer, P.M.; et al. Human-accelerated weathering increases salinization, major ions, and alkalinization in fresh water across land use. Appl. Geochem. 2017, 83, 121–135. [Google Scholar] [CrossRef]
- Wright, I.A.; Davies, P.J.; Jonasson, O.J.; Findlay, S.J. A new type of water pollution: Concrete drainage infrastructure and geochemical contamination of urban waters. Mar. Freshw. Res. 2011, 62, 1355–1361. [Google Scholar] [CrossRef]
- Grella, C.; Wright, I.A.; Findlay, S.J.; Jonasson, O.J. Geochemical contamination of urban water by concrete stormwater infrastructure: Applying an epoxy resin coating as a control treatment. Urban Water J. 2016, 13, 212–219. [Google Scholar] [CrossRef]
- Belmer, N.; Wright, I.A.; Tippler, C. Aquatic ecosystem degradation of high conservation value upland swamps, Blue Mountains Australia. Water Air Soil Pollut. 2018, 229, 98. [Google Scholar] [CrossRef]
- Hart, B.T.; Maher, B.; Lawrence, I. New generation water quality guidelines for ecosystem protection. Freshw. Biol. 1999, 41, 347–359. [Google Scholar] [CrossRef]
- King, S.A.; Buckney, R.T. Invasion of exotic plants in nutrient-enriched urban bushland. Austral Ecol. 2002, 27, 573–583. [Google Scholar] [CrossRef]
- Grella, C.; Renshaw, A.; Wright, I.A. Invasive weeds in urban riparian zones: The influence of catchment imperviousness and soil chemistry across an urbanization gradient. Urban Ecosyst. 2018, 21, 505–517. [Google Scholar] [CrossRef]
- Chessman, B.C. Diatom flora of an Australian river system: Spatial patterns and environmental relationships. Freshw. Biol. 1986, 16, 805–819. [Google Scholar] [CrossRef]
- Potapova, M.; Charles, D.F. Distribution of benthic diatoms in US rivers in relation to conductivity and ionic composition. Freshw. Biol. 2003, 48, 1311–1328. [Google Scholar] [CrossRef]








| Name of Swamp (Code) | Location | Urban or Non-Urban | Lattitude (° North) | Longitude (° East) | mASL | Catchment Area and (Size of Swamp) ha | Urban Land in ha (% of Total Catchment) |
|---|---|---|---|---|---|---|---|
| Grand Canyon (GC) | Blackheath | Non-urban | −33.6624 | 150.3198 | 930 | 41.9 (1.46) | 0 (0) * |
| Hat Hill (HH) | Bennetts Creek | Non-urban | −33.5983 | 150.3290 | 920 | 34.9 (2.1) | 0 (0) |
| Mount Hay (MH) | Leura | Non-urban | −33.6686 | 150.3467 | 910 | 11.4 (1.9) | 0 (0) |
| Narrow Neck (NN) | Diamond Creek | Non-urban | −33.7437 | 150.2783 | 950 | 55.5 (1.5) | 0 (0) |
| Popes Glen (PG) | Blackheath | Urban | −33.6335 | 150.2926 | 1015 | 73 (1.0) | 65.5 (89.7%) |
| Garguree (GU) | Katoomba | Urban | −33.7122 | 150.3048 | 970 | 57 (2.9) | 22.2 (38.9%) |
| Scenic World (SW) | Katoomba | Urban | −33.7273 | 150.3012 | 940 | 17.3 (0.6) | 12.8 (74%) |
| Lawson (LA) | Wilson Park | Urban | −33.7159 | 150.4269 | 690 | 73.6 (3.5) | 33.2 (54.9%) |
| Non-Urban THPSS | Urban THPSS | |||||
|---|---|---|---|---|---|---|
| Variable (Unit) | Mann–Whitney U-Test Significance | Min.–Max. | Mean (Median) | Min.–Max. | Mean (Median) | 80th (20th) Percentile |
| pH (pH units) | <0.001 | 4.24–6.21 | 5.31 (5.4) | 5.38–6.86 | 6.19 (6.35) | 5.79 |
| EC (µS cm−1) | <0.001 | 20.4–41.3 | 28 (25.6) | 48–138.2 | 87.3 (90.1) | 33.6 |
| Turbidity (NTU) | <0.001 | 0.43–11.8 | 1.98 (1.39) | 1.12–15.2 | 6.35 (5.15) | 2 |
| DO (% Sat.) | <0.001 | 79.6–103.4 | 89.8 (90.3) | 38.3–75.3 | 58.3 (58.6) | 82 (20th) |
| Calcium (mg L−1) | - | <LOR | - | 3–17 | 7.74 (7.5) | - |
| Potassium (mg L−1) | - | <LOR | - | <LOR–2 | 0.752 (0.7) | - |
| Sodium (mg L−1) | <0.001 | 3–5.4 | 3.98 (4) | 3–9 | 5.36 (5) | - |
| Magnesium (mg L−1) | - | <LOR | <LOR–2 | 0.78 (0.8) | - | |
| Bicarbonate (mg L−1) | <0.001 | <LOR–6 | - | 7–39 | 19.64 (17) | - |
| Sulphate (mg L−1) | <0.001 | <LOR–1 | - | 1–7 | 2.7 (2.5) | - |
| Chloride (mg L−1) | <0.001 | 4–9 | 6.4 (6) | 4–22 | 11.5 (9.5) | - |
| Total N (µg L−1) | <0.001 | <LOR–400 | 60 (<LOR) | <LOR–400 | 210 (200) | - |
| Aluminium (µg L−1) | <0.001 | 50–180 | 101.3 (90) | 5–140 | 47 (40) | - |
| Barium (µg L−1) | <0.001 | <LOR–7 | 2.96 (3) | 12–30 | 17.2 (16) | 5 |
| Iron (µg L−1) | <0.001 | 110–1800 | 414 (265) | 1100–13,000 | 3136 (1800) | 420 |
| Manganese (µg L−1) | <0.001 | <LOR–13 | 4.5 (2.5) | 18–220 | 56.4 (49) | 9 |
| Strontium (µg/L) | <0.001 | <LOR–3.5 | 1.96 (2.5) | 17–48 (29.2) | 28.9 (29) | 2.8 |
| Zinc (µg L−1) | <0.001 | <LOR–17 | 3.9 (2) | 2–34 | 12.4 (11.4) | - |
| Temperature (°C) | 0.189 | 7.8–33.1 | 15.3 (13.4) | 9.4–22.1 | 14.1 (14) | - |
| pH (pH Units) | EC(µS cm−1) | Turbidity (NTU) | DO (% sat.) | Ba (µg L−1) | Sr (µg L−1) | Fe (µg L−1L) | Mn (µg/L) | |||||||||
| Non-Urban | Urban | Non-Urban | Urban | Non-Urban | Urban | Non-Urban | Urban | Non-Urban | Urban | Non-Urban | Urban | Non-Urban | Urban | Non-Urban | Urban | |
| This study | 5.31 | 6.19 | 28 | 87.3 | 1.98 | 6.34 | 89.8 | 58.3 | 2.96 | 17.2 | 1.99 | 29.2 | 414 | 3155 | 5.29 | 57.2 |
| Carroll et al., 2022 [19] | 4.87 | 6.2 | 45.6 | 116.3 | 3.0 | 13.5 | - | - | 5.57 | 18.63 | 3.85 | 37.3 | 282 | 2288 | 9.95 | 68.9 |
| Purdy, 2019 [22] | 5.03 | 6.57 | 36 | 113 | - | - | 83.5 | 68.6 | ||||||||
| Belmer et al., 2015 [11] | 4.7 | 6.6 | 26 | 154 | 1.4 | 3.8 | 71.9 | 69.1 | ||||||||
| 80th %ile | 5.79 | 33.6 | 2.0 | 5.0 | 2.8 | 420 | 9 | |||||||||
| 20th %ile | 82.0 | |||||||||||||||
Disclaimer/Publisher’s Note: The statements, opinions and data contained in all publications are solely those of the individual author(s) and contributor(s) and not of MDPI and/or the editor(s). MDPI and/or the editor(s) disclaim responsibility for any injury to people or property resulting from any ideas, methods, instructions or products referred to in the content. |
© 2025 by the authors. Licensee MDPI, Basel, Switzerland. This article is an open access article distributed under the terms and conditions of the Creative Commons Attribution (CC BY) license (https://creativecommons.org/licenses/by/4.0/).
Share and Cite
Wright, I.A.; Nettle, H.; King, U.D.; Franklin, M.J.M.; Gilpin, A.-M. Urban Geochemical Contamination of Highland Peat Wetlands of Very High Ecological and First Nations Cultural Value. Water 2025, 17, 2385. https://doi.org/10.3390/w17162385
Wright IA, Nettle H, King UD, Franklin MJM, Gilpin A-M. Urban Geochemical Contamination of Highland Peat Wetlands of Very High Ecological and First Nations Cultural Value. Water. 2025; 17(16):2385. https://doi.org/10.3390/w17162385
Chicago/Turabian StyleWright, Ian A., Holly Nettle, Uncle David King, Michael J. M. Franklin, and Amy-Marie Gilpin. 2025. "Urban Geochemical Contamination of Highland Peat Wetlands of Very High Ecological and First Nations Cultural Value" Water 17, no. 16: 2385. https://doi.org/10.3390/w17162385
APA StyleWright, I. A., Nettle, H., King, U. D., Franklin, M. J. M., & Gilpin, A.-M. (2025). Urban Geochemical Contamination of Highland Peat Wetlands of Very High Ecological and First Nations Cultural Value. Water, 17(16), 2385. https://doi.org/10.3390/w17162385

