Next Article in Journal
Study on the Spatio-Temporal Differentiation and Driving Mechanism of Ecological Security in Dongping Lake Basin, Shandong Province, China
Next Article in Special Issue
Synergistic Nitrogen and Phosphorus Elimination via Iron–Carbon Micro-Electrolysis in Constructed Wetlands Treating Low-Pollution Water
Previous Article in Journal
Effective Endotoxin Reduction in Hospital Reverse Osmosis Water Using eBooster™ Electrochemical Technology
Previous Article in Special Issue
Worldwide Research Progress and Trends in Application of Machine Learning to Wastewater Treatment: A Bibliometric Analysis
 
 
Font Type:
Arial Georgia Verdana
Font Size:
Aa Aa Aa
Line Spacing:
Column Width:
Background:
Article

Evaluation and Verification of Starch Decomposition by Microbial Hydrolytic Enzymes

1
Department of Environment Science, Graduate School of Bioresource Sciences, Nihon University, Fujisawa 252-0880, Kanagawa, Japan
2
NPO Ecology Archiscape, Tokyo 171-0021, Japan
3
Department of Marine Science, Graduate School of Bioresource Sciences, Nihon University, Fujisawa 252-0880, Kanagawa, Japan
*
Author to whom correspondence should be addressed.
Water 2025, 17(15), 2354; https://doi.org/10.3390/w17152354
Submission received: 26 June 2025 / Revised: 21 July 2025 / Accepted: 25 July 2025 / Published: 7 August 2025
(This article belongs to the Special Issue Advanced Biological Wastewater Treatment and Nutrient Removal)

Abstract

This study investigates the Enzyme Biofilm Method (EBM), a biological wastewater treatment technology previously developed by the authors. EBM employs microbial-derived hydrolytic enzyme groups in the initial treatment stage to break down high-molecular-weight organic matter—such as starch, proteins, and fats—into low-molecular-weight compounds. These compounds enhance the growth of native microorganisms, promoting biofilm formation on carriers and improving treatment efficiency. Over the past decade, EBM has been practically applied in food factory wastewater facilities handling high organic loads. The enzyme groups used in EBM are derived from cultures of Bacillus mojavensis, Saccharomyces cariocanus, and Lacticaseibacillus paracasei. To clarify the system’s mechanism and ensure its practical viability, this study focused on starch—a prevalent and recalcitrant component of food wastewater—using two evaluation approaches. Verification 1: Field testing at a starch factory showed that adding enzyme groups to the equalization tank effectively reduced biological oxygen demand (BOD) through starch degradation. Verification 2: Laboratory experiments confirmed that the enzyme groups possess both amylase and maltase activities, sequentially breaking down starch into glucose. The resulting glucose supports microbial growth, facilitating biofilm formation and BOD reduction. These findings confirm EBM’s potential as a sustainable and effective solution for treating high-strength food industry wastewater.

1. Introduction

Limitations of Biological Treatment: The activated sludge method is a highly effective aerobic biological wastewater treatment process and is widely used to treat organic wastewater in many food manufacturing facilities. However, the biological treatment of high-load wastewater is challenging. The intermittent flow of such wastewater into a treatment system makes effective biological treatment difficult. Many biological wastewater treatment facilities therefore employ pretreatment methods, such as Dissolved Air Flotation (DAF), to reduce the inflow load to the biological treatment tank when necessary. However, DAF can lead to the formation of scum, complicating the process and requiring the attention of skilled personnel and the addition of more chemicals.
Development of The Enzyme Biofilm Method (EBM): As shown in Figure 1, the authors have implemented the Enzyme Biofilm Method (EBM) for over 10 years to address these problems in food factory wastewater treatment facilities. EBM is a pretreatment method that does not require physicochemical treatments such as DAF and does not adversely affect biological treatment. EBM utilizes groups of enzymes in the initial stage to break down soluble organic matter in wastewater into low-molecular-weight compounds. This activates biofilms composed of endogenous microorganisms suspended in the water or attached to carriers, promoting organic matter decomposition. The advantages of EBM compared to the activated sludge method include compatibility with high-load wastewater without the need for physicochemical pretreatment, and its effectiveness even under high Biochemical Oxygen Demand (BOD) volumetric loads [1,2,3]. The biofilm adhered to the EBM (Enzyme Biological Media) carriers exhibits strong adhesion and is characterized by its resistance to detachment. One of its advantages is its wide acceptable pH range, from pH 4 to 11, as well as a broad operating temperature range of 5 °C to 50 °C. Furthermore, it is capable of treating high concentrations of BOD and fats and oils, accepting influent with BOD levels exceeding 5000 mg/L and oil concentrations over 1000 mg/L. However, since the biofilm adhered to EBM carriers performs more effectively under aerobic conditions than anaerobic ones, it is essential to maintain a well-structured aerobic environment to ensure optimal treatment performance. We have demonstrated that EBM is more effective than the conventional activated sludge treatment method for high-load wastewater [4,5].
Purpose of This Evaluation and Verification: The wastewater from factory A that produces starch from sweet potatoes contains a large amount of starch. It is essential to demonstrate the effectiveness of EBM for treating single-component starch-containing wastewater to support the further development of EBM. This required clarifying the mechanism of degradation in the initial stage of EBM.
This evaluation has two objectives:
Verification 1: To demonstrate that the addition of groups of enzymes to starch-containing wastewater from a food factory breaks down high-molecular-weight compounds into low-molecular-weight compounds that can be utilized by endogenous microorganisms. This pretreatment reduces the BOD. Groups of enzymes were added to the flow adjustment tank of a starch manufacturing plant’s wastewater treatment facility and starch degradation was verified, reducing the BOD.
Verification 2: To experimentally evaluate the starch degradation capabilities of the chosen groups of enzymes. The enzymes degrade high-molecular-weight starch into glucose. Two methods were used to confirm amylase and maltase activities by the enzymes.
First Stage: Verification of amylase activity by the enzymes, degrading starch into low-molecular-weight compounds.
Second Stage: Verification of maltase activity by the enzymes, degrading low-molecular-weight disaccharides into the monosaccharide glucose.
Chigusa reported that high-molecular-weight organic matter is first degraded into low-molecular-weight compounds by extracellular enzymes from endogenous microorganisms (bacteria) and is then ingested by the bacteria, supporting their growth [6]. Hashimoto et al. stated that organic matter is metabolized by microorganisms into carbon dioxide and ammonia [7]. The results of Verification 2 confirmed that the chosen groups of enzymes exhibit amylase and maltase activities, suggesting that the starch-containing wastewater used in the Verification 1 study was degraded into glucose by these enzymes, supporting the growth of endogenous microorganisms and thus reducing the BOD of the wastewater.

2. Materials and Methods

Microbial Sources of Enzyme Mixtures: Enzyme mixtures were prepared from three microbial sources: Bacillus mojavensis (Bacillus), Saccharomyces cariocanus (Saccharomyces), and Lacticaseibacillus paracasei (Lacticaseibacillus). Bacillus species secrete α-amylase and glucoamylase. Saccharomyces secretes isoamylase, a type of amylase, as reported by Taniguchi et al. [8]. Kozaki et al. [9] reported that lactic acid bacteria are involved in the breakdown of starch during rice wine production. The EBM utilizes hydrolytic enzymes from these three types of microorganisms to activate endogenous microorganisms in biofilms and to promote the decomposition of organic matter in wastewater. The enzyme solutions were prepared by shake-culturing each microbial source in a general nutrient medium containing peptone at 30 °C for 24 h, followed by extraction using standard enzyme production methods.
Verification 1: Demonstration at a starch manufacturing factory: The starch manufacturing factory in Wakayama Prefecture faced challenges in treating starch-containing wastewater discharged during production. The wastewater was treated using a modified activated sludge process known as batch treatment. This treatment facility is a semi-underground, closed-system concrete structure.
The daily water volume was consistently around 60 m3/day. The factory operated five days a week (Monday to Friday). The inflow load concentration from the equalization tank to the sequencing batch reaction tank fluctuated significantly, resulting in inconsistent treatment in the sequencing batch reaction tank. Before this verification experiment, the BOD of samples from the equalization tank (Monday to Friday) tended to increase as the weekend approached.
The increased BOD in the inflow towards the weekend was believed to be due to starch accumulating in the equalization tank. The equalization tank stabilizes biological treatment by adjusting the water volume before the inflow is transferred to the sequencing batch reaction tank. The equalization tank alone cannot improve water quality and thus in addition a water treatment technology is required to reduce the inflow load to the sequencing batch reaction tank.
Development of Treatment Technology: The goal was to develop a treatment technology to reduce the load in the equalization tank by adding enzyme mixtures to the single-source starch manufacturing wastewater. The effectiveness of the enzyme mixtures was verified using two methods: a test plant, and an actual wastewater treatment facility.
Test Plant Verification: Figure 2 describes how the effectiveness of the test plant was verified. From June to August 2018, raw wastewater was transferred from the equalization tank to the relay tank (500 L) of the test plant. The relay tank was aerated with air at 8 L/min using a blower to ensure uniform mixing of the wastewater, and then equal volumes were transferred to an intermediate measuring tank. The actual retention time of the wastewater facility is three days. Therefore, the inflow was set at 333 L per day, resulting in 333 L × 3 days = 999 L. Consequently, the tank volume was set to 1 m3 and to a test tank 1 m3 to which enzyme mixtures were added. Both the raw water-specific tank (A) and the test tank (B) were aerated at 30 L/min using a blower. The retention time in both tanks was 3 days. The daily flow rate was 333 L to match the retention time of the equalization tank. Enzyme mixtures were dripped into the test tank at a concentration of 10 mg/L relative to this daily flow rate using an automatic injection device. The water quality analysis parameter for verifying effectiveness was the BOD, following the Japanese Industrial Standards (JIS), since starch manufacturing wastewater was being treated. Samples from the raw water-specific tank and from the test tank were obtained every fourth Wednesday during the three-month test period.
Verification at the A-starch manufacturing factory: Based on the test plant results, enzyme mixtures were dripped into the equalization tank of the A-starch manufacturing factory at a concentration of 10 mg/L of the daily inflow using an automatic injection device. The goal was to verify whether the BOD could be reduced in the equalization tank, similar to that obtained in the test plant (Figure 3).
The maximum capacity of the equalization tank was 200 m3. With a daily inflow of approximately 60 m3, and considering water level fluctuations, the maximum effective volume was 180 m3, resulting in a retention time of 3 days. Enzyme mixtures were added to the equalization tank at a concentration of 10 mg/L relative to the daily inflow of approximately 60 m3. The discharge regulation values, given that the effluent is released into a river, are as follows: pH 5.8–8.6, BOD 120 mg/L, SS 150 mg/L, and n-Hexane (equivalent to FOG) 30 mg/L. As in the test plant study, the water quality analysis parameter for verifying the effectiveness of this treatment was BOD, following JIS.
Verification 2: Two-Stage Evaluation of Starch Decomposition Capability: The above-described verification study confirmed that dripping enzyme mixtures reduced the inflow load to the sequencing batch reaction tank by decomposing soluble organic matter in the wastewater into medium- and low-molecular-weight compounds by utilizing the metabolic activity of endogenous microorganisms in the sequencing batch reaction tank. The main objective of this paper is to evaluate the fact that the BOD concentration in the equalization tank decreased due to the effect of enzyme addition. Therefore, at this stage, it is difficult to clearly demonstrate the effect of enzyme addition. However, that verification study did not evaluate whether the enzyme mixtures adequately decomposed starch-derived BOD compounds into low-molecular-weight compounds to support microbial metabolism. We therefore experimentally confirmed that the enzyme mixtures decomposed starch into low-molecular-weight compounds.
Reason for Selecting Starch as the Evaluation Target: Starch has been extensively studied by researchers such as Kawamura [10], and this high-molecular-weight polysaccharide can support the growth of microorganisms if it is first degraded into low-molecular-weight sugars, as previously demonstrated in studies on the purification mechanisms of activated sludge [11].
Two Types of Enzymes in the Enzyme Mixture: Endogenous bacteria in the sequencing batch reaction tank during starch wastewater treatment secrete hydrolytic enzymes to break down starch into glucose units. The hydrolysis of starch into glucose requires amylase and maltase. Amylase hydrolyzes polysaccharides into disaccharides, and maltase converts the disaccharides into monosaccharides. Here, we verified whether the enzyme mixtures converted high-molecular-weight starch into low-molecular-weight glucose. Detecting glucose in the outflow stream would confirm the presence of amylase and maltase activities in the enzyme mixtures (Figure 4).
Sample Materials: Non-GMO potato starch (sold by the Japanese Consumers’ Cooperative Union) from Hokkaido was used as the test sample. The potato starch comprised 82% carbohydrates, 0.1% protein, and 0.1% lipids. The starch solution prepared for this experiment was 0.1% potato starch.
Two-Stage Evaluation of the Efficacy of Starch Decomposition: This experiment evaluated the efficacy of starch decomposition in two stages.
First Stage: The enzyme mixtures were reacted with a starch–iodine solution, and amylase activity was detected using a multi-plate reader (iodine–starch reaction).
Second Stage: The enzyme mixtures were reacted with a starch solution, treated with phenol–sulfuric acid, and the presence of glucose due to maltase activity was verified using a multi-plate reader (glucose reaction).
Reason for Using the Iodine–Starch Reaction: Several methods are available to detect starch, such as alcohol precipitation, polarography, microscopy, X-rays, and infrared spectroscopy. Many researchers, including Kawamura, commonly use the iodine–starch reaction, which allows the facile determination of starch due to color changes in the starch–iodine solution. The addition of amylase to a starch–iodine solution causes the solution to turn blue-purple upon the addition of iodine, then the color fades due to catalytic hydrolysis of the starch glycosidic bonds. Amylase catalyzes the random cleavage of α1-4 and α1-6 glycosidic bonds in amylose and amylopectin, degrading starch into dextrins, oligosaccharides, and maltose. Hydrolysis of the starch–iodine solution into smaller molecules results in the color fading and eventually disappearing.
Materials for the Iodine–Starch Reaction Experiment: The iodine–starch reaction was verified as follows.
Iodine Concentration: A total of 2.5 mL of iodine was dripped into 1000 mL of a 0.1% starch solution and dissolved using a magnetic stirrer.
pH: Practical applications of EBM do not require pH adjustment if the pH is in the range of 5–8. The starch solution in this experiment was weakly alkaline (pH 7–8) and thus the pH was not adjusted.
Water Temperature: The optimum temperature for enzyme reactions is generally 35–40 °C, but the temperature in wastewater treatment tanks in food factories is often below 30 °C. We therefore set the reaction temperature to 30 °C using an incubator.
Types of Enzyme Mixtures: Four types were used: three enzyme solutions derived from the above-described microbial sources, and a mixture of equal concentrations of the three.
Enzyme Dosage: 0.3 mL of each enzyme solution was added to 100 mL of starch–iodine solution. For the equal mixture, 0.1 mL of each enzyme solution was combined (0.3 mL total).
Reaction Time: The reaction time was set to a maximum of 120 min, with measurements taken at 5, 10, 20, 30, 60, and 120 min.
Reaction Environment: The reaction between the starch–iodine solution and each enzyme mixture was conducted under static conditions.
Method for the Iodine–Starch Reaction Experiment: The optical density (OD) of the starch–iodine solution undergoing color changes was measured at a wavelength of 670 nm using a multi-plate reader. The extent of starch decomposition was evaluated by comparing the results with a calibration curve created by measuring starch–iodine solutions of various concentrations at 670 nm. A calibration curve with R2 = 0.95 was prepared by measuring five concentrations (0.1%, 0.05%, 0.025%, 0.02%, and 0.01%) of starch–iodine solution at 670 nm and converting the absorbance to ppm (Figure 5).
Glucose Reaction: The amylase reaction could be detected using the iodine–starch reaction and a multi-plate reader, and provided quantitative data on starch hydrolysis by the enzyme mixtures. However, it could not confirm whether the reaction products were monosaccharides. We therefore verified the presence of monosaccharides using the phenol–sulfuric acid method, a common method for quantifying monosaccharides developed by [12,13] This method is simple, accurate, and sensitive. The presence of glucose was evaluated by comparing the results with a calibration curve created by measuring glucose solutions of various concentrations.
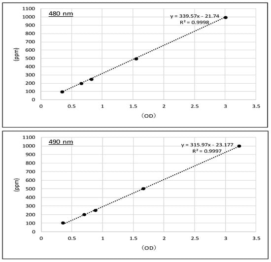
The Phenol–Sulfuric Acid Evaluation Method: The verification conditions for the phenol–sulfuric acid method were similar to those for the iodine–starch reaction, except for the reagents: concentrated sulfuric acid and 5% (w/w) phenol solution. The ratio of sample to phenol to sulfuric acid was 1:1:5. A multi-plate reader was used to measure the samples at 480 nm and 490 nm. The extent of decomposition to glucose was evaluated by comparing the results with calibration curves created by measuring glucose solutions of various concentrations at 480 nm and 490 nm. Calibration curves with R2 = 0.99 were prepared for both wavelengths by measuring five concentrations (0.1%, 0.05%, 0.025%, 0.02%, and 0.01%) of glucose solution and converting the absorbance to ppm (Figure 6).

3. Results and Discussion

Verification 1: Demonstration at A-starch manufacturing factory BOD results for Test Plant: The results for the test plant conducted from June to August 2018 are shown in Table 1. The average raw water BOD of the raw water-specific tank was 587 mg/L, while the average treated water BOD of the test tank with added enzyme mixtures was 307 mg/L. A retention time of 3 days resulted in a 48% reduction in BOD, and thus a daily average 16% reduction in BOD.
The test plant results confirmed that adding enzyme mixtures at 10 mg/L relative to the daily inflow volume reduced the raw water BOD in the flow adjustment tank by an average of 16%. To date, more than five pilot-scale treatment plants have been implemented, and in all cases, BOD removal equivalent to at least 16% of the load in the flow equalization tank has been achieved. The purpose of developing this treatment technology was to reduce the inflow load to the batch tank by degrading soluble organic matter in the wastewater into medium- and low-molecular-weight compounds using enzyme mixtures and leveraging the metabolic activity of endogenous microorganisms in the flow adjustment tank.
The test plant results supported the addition of a treatment function to the flow adjustment tank to mitigate load fluctuations. This was achieved by dripping in an appropriate amount of a suitable enzyme mixture.
Adding an Enzyme Mixture to the equalization tank at the A-starch manufacturing factory: We verified the effectiveness of the proposed approach by removing samples from the flow adjustment tank from Monday to Friday prior to adding the enzyme mixtures. The average BOD values for the samples were calculated. The average BOD from Monday to Friday was 986 mg/L/60 m3/day. Furthermore, we assessed the increased efficacy of wastewater treatment in the equalization tank due to addition of the enzyme mixture. The BOD for the waste stream at the outlet of the equalization tank was measured on a Friday three months after adding the enzyme mixture. The BOD was 680 mg/L, similar to the concentration on the Monday prior to addition of the enzyme mixture (Figure 7).
The BOD on Friday before addition of the enzyme mixture was 1700 mg/L, whereas on the Friday after the addition it was 680 mg/L. This difference of 60% corresponds to a daily average decrease in BOD of approximately 20% over the 3-day retention period. The difference from the daily treatment rate for the test plant was 4%, indicating similar treatment rates.
These results demonstrated that dripping an appropriate amount of a suitable enzyme mixture into the flow adjustment tank used for treating starch manufacturing wastewater enhances the metabolic activity of the endogenous microorganisms and reduces the inflow load to the batch tank.
Verification 2: Two-Stage Experimental Evaluation of Starch Decomposition
The First Stage: Iodine–Starch Reaction Experiment: To a 0.1% starch solution was added a 0.25% iodine solution and the mixture was maintained at 30 °C. Enzyme mixtures derived from Bacillus, Saccharomyces, and Lacticaseibacillus, and a mixture of equal concentrations of the three (Mix), were dripped at 0.3 mL per 100 mL of test sample. The optical density (OD) was measured at 670 nm using a multi-plate reader after various time intervals. The experiment was conducted twice, with six time-based measurements for each of the four enzyme mixtures per experiment.
Eight time-based measurements were obtained using the multi-plate reader and the average and standard deviation were calculated. The OD of the control sample without added enzymes was 1.03 in the first experiment and 0.83 in the second, giving an average of 0.93. These values were used as the starting point (0 min) for each enzyme mixture. A decrease in OD indicated the breakdown of high-molecular-weight starch into low-molecular-weight compounds (Table 2).
In the first experiment, the lowest OD was obtained after 120 min for all four enzyme mixtures. The activity as based on OD after 120 min followed the order: Bacillus-derived (0.81), Mix (0.84), Saccharomyces-derived (0.86), and Lacticaseibacillus-derived (0.89). In the second experiment, the maximum activity for all four enzyme mixtures was also obtained after 120 min, with OD values of the following: Bacillus-derived (0.58), Mix (0.63), Saccharomyces-derived (0.65), and Lacticaseibacillus-derived (0.68). The average OD after 120 min was as follows: Bacillus-derived (0.76), Saccharomyces-derived (0.84), Mix (0.85), and Lacticaseibacillus-derived (0.88) (Table 3).
A graph of the average OD of two experiments is shown in Figure 8. After 120 min, all four enzyme mixtures provided 300–500 ppm, as measured by the starch–iodine solution concentration.
The Bacillus-derived enzyme mixture thus apparently contained a higher amount of amylase compared to the other two enzyme mixtures.
The Second Stage: Phenol–Sulfuric Acid Reaction Experiment: A 0.1% potato starch solution was used as a test sample and was maintained at 30 °C. Enzyme mixtures derived from Bacillus, Saccharomyces, and Lacticaseibacillus, as well as a mixture of equal concentrations of the three mixtures (Mix) were dripped at 0.3 mL per 100 mL of the test sample. The OD was measured at 480 nm and 490 nm using a multi-plate reader at different time intervals. The experiment was conducted twice for each wavelength, with six time-based measurements for each of the four enzyme mixtures per experiment. Time-based measurements using the multi-plate reader were performed eight times, and the average and standard deviation were calculated. The OD of the control sample without any added enzyme mixture was 0.06 on average for both wavelengths, and this OD was used as the starting point (0 min) for each hydrolysis experiment. An increase in OD indicates the presence of monosaccharide sugars and the sample turns orange-yellow. The high-molecular-weight starch solution reacts with amylase in the enzyme mixtures to hydrolyze the starch into disaccharides, which further react with maltase in the enzyme mixtures to break down into monosaccharides. The average OD measurements at 480 nm and 490 nm are shown in Table 4.
At 480 nm, the maximum OD was observed at 20 min for samples treated with the Bacillus-derived enzyme mix (2.73), followed by 5 min for the Lacticaseibacillus-derived enzyme mix (2.72), 20 min for the Saccharomyces-derived (2.71) mix, and 30 min for Mix (2.64). For 490 nm, the maximum OD was observed at 5 min for Lacticaseibacillus-derived (2.91), followed by 20 min for Saccharomyces-derived (2.91), 20 min for Bacillus-derived (2.89), and 30 min for 3-genera Mix (2.88). The OD measurements after 120 min at both wavelengths were highest for Mix, followed by the Bacillus-derived mix (Table 5).
Figure 9 and Figure 10 show the trend in the average OD with time for each enzyme mixture at 480 nm and 490 nm, respectively. All enzyme mixtures provided 500–1000 ppm glucose, regardless of the detection wavelength.
The increase in OD suggests that glucose was generated from the breakdown of starch in the starch solution, although the rate of starch decomposition to glucose differed between the various enzyme mixtures. It was unclear which enzyme mixture most efficiently converted starch to glucose.
The mechanism underlying the rapid generation of monosaccharides during the initial 5 min of the enzyme reaction, and the lack of further reaction thereafter, remains unclear.

4. Conclusions

The EBM has long been used to treat high-load wastewater. The verification study described here differs from previous EBM effectiveness demonstrations because our aim was to establish the effectiveness of enzyme mixtures for treating single-source starch-containing wastewater and to clarify the underlying mechanism.
The study was conducted at a starch-based food factory wastewater treatment facility. The observed reduction in BOD at the pretreatment stage demonstrated the breakdown of starch into low-molecular-weight compounds by enzyme mixtures under practical, industrial conditions.
Laboratory experiments involving the addition of enzyme mixtures derived from Bacillus, Saccharomyces, and Lacticaseibacillus, and an equal concentration mixture of the three enzyme mixtures verified the importance of amylase and maltase activities. The iodine–starch reaction for amylase activity showed that the Bacillus-derived enzyme mixture appeared to be the most effective of the four mixtures studied, but no significant difference was observed in the phenol–sulfuric acid reaction for maltase activity. Regardless, our study demonstrated that these enzyme mixtures exhibit amylase and maltase activities. Dripping these enzyme mixtures into the wastewater pretreatment tank, which lacks biofilm treatment equipment, promotes the breakdown of starch, a high-molecular-weight compound, into low-molecular-weight compounds. As a result, it was revealed that the next stage of treatment using biofilms proceeds efficiently.

Author Contributions

Conceptualization, M.T. and M.U.; methodology, M.T. and M.U.; investigation, M.T.; data curation, M.T.; writing—original draft preparation, M.T.; writing—review and editing, M.U., K.I. and K.A. All authors have read and agreed to the published version of the manuscript.

Funding

This research was funded by Japan Environment Science, Japan, Co., Ltd.

Data Availability Statement

The original contributions presented in this study are included in the article. Further inquiries can be directed to the corresponding author.

Conflicts of Interest

Author Koji Itonaga was employed by the company NPO Ecology Archiscape. The remaining authors declare that the research was conducted in the absence of any commercial or financial relationships that could be construed as a potential conflict of interest. The authors declare that this study received funding from Japan Environment Science, Japan, Co., Ltd. The funder was not involved in the study design, collection, analysis, interpretation of data, the writing of this article or the decision to submit it for publication.

Abbreviations

The following abbreviations are used in this manuscript:
EBMEnzyme Biofilm Method
BODBiological Oxygen Demand
DAFDissolved Air Flotation
JISJapanese Industrial Standards
ODOptical Density

References

  1. Takaya, M.; Uchigasaki, M.; Itonaga, K. Development of a Novel Enzyme Biofilm Method for Treating Wastewater from Food Containing High Concentration of FOG. AIJ J. Technol. Des. 2018, 24, 721–726. [Google Scholar] [CrossRef][Green Version]
  2. Takaya, M.; Uchigasaki, M.; Itonaga, K. Research on the Development of Enzyme Biofilm Method for Treating Food Wastewater with High FOG Concentration, Underthe Conditions of Limited Facility Space and Fluctuating Designing Load. AIJ J. Technol. Des. 2020, 26, 1031–1036. [Google Scholar] [CrossRef]
  3. Takaya, M.; Uchigasaki, M.; Itonaga, K. Development of Improved Technology Under Operation for Treating Waster water with Buttermilk Using EBM. AIJ J. Technol. Des. 2023, 29, 263–268. [Google Scholar] [CrossRef]
  4. Li, N.; Zhu, F.; Wang, Z.; Wu, J.; Gao, Y.; Li, K.; Wang, X. Harnessing corn straw biochar: A breakthrough in eco-friendly Cu (II) wastewater treatment. Waste Manag. 2025, 197, 25–34. [Google Scholar] [CrossRef] [PubMed]
  5. Ren, H.; Quan, Y.; Liu, S.; Hao, J. Effectiveness of ultrasound (US) and slightly acidic electrolyzed water (SAEW) treatments for removing Listeria monocytogenes biofilms. Ultrason. Sonochem. 2025, 112, 107190. [Google Scholar] [CrossRef] [PubMed]
  6. Chigusa, K. Water Quality Management by Microorganisms; Industrial Water Research Institute: Tokyo, Japan, 2010; pp. 22–31. [Google Scholar]
  7. Hashimoto, S.; Sudo, R. New Activated Sludge Process; Industrial Water Research Council: Tokyo, Japan, 2007; pp. 4–7. [Google Scholar]
  8. Taniguchi, H. Enzymatic Decomposition of Starch. Appl. Carbohydr. Sci. 2011, 1, 17–22. [Google Scholar]
  9. Kozaki, M. Microbiological studies on traditional fermented foods in Southeast Asia. J. Jpn. Soc. Food Technol. 1991, 38, 651–661. [Google Scholar]
  10. Kawamura, S. Detection and Quantitation of Starch Problems. J. Starch Ind. Soc. 1968, 6, 24–31. [Google Scholar]
  11. Hayashi, H.; Takii, S. Material balance in activated sludge purification. J. Jpn. Soc. Water Treat. Biol. 1967, 2, 1–4. [Google Scholar]
  12. Kitamura, S.; Nakaya, S. Quantitative methods for sugars. Biotechnology 2012, 90, 790–793. [Google Scholar]
  13. Takeuchi, A.; Ikuma, T.; Takahashi, H.; Saiyosha, K.; Takasawa, T. High-Sensitivity Phenol-Sulfuric Acid Method. Res. Bull. Obihiro Univ. Agric. Vet. Med. 2001, 22, 103–107. [Google Scholar]
Figure 1. Overview of EBM.
Figure 1. Overview of EBM.
Water 17 02354 g001
Figure 2. Schematic diagram of the A-starch manufacturing factory test plant.
Figure 2. Schematic diagram of the A-starch manufacturing factory test plant.
Water 17 02354 g002
Figure 3. Schematic diagram of the A-starch manufacturing factory wastewater treatment flow.
Figure 3. Schematic diagram of the A-starch manufacturing factory wastewater treatment flow.
Water 17 02354 g003
Figure 4. Schematic diagram showing the action of the microbial enzymes on the decomposition of starch.
Figure 4. Schematic diagram showing the action of the microbial enzymes on the decomposition of starch.
Water 17 02354 g004
Figure 5. Calibration curve for starch–iodine solutions.
Figure 5. Calibration curve for starch–iodine solutions.
Water 17 02354 g005
Figure 6. Glucose calibration curves by wavelength.
Figure 6. Glucose calibration curves by wavelength.
Water 17 02354 g006
Figure 7. BOD before and after implementation.
Figure 7. BOD before and after implementation.
Water 17 02354 g007
Figure 8. Average and standard deviation of OD by wavelength with time.
Figure 8. Average and standard deviation of OD by wavelength with time.
Water 17 02354 g008
Figure 9. Trends in the average optical density with time by the four enzyme mixtures, monitored at 480 nm.
Figure 9. Trends in the average optical density with time by the four enzyme mixtures, monitored at 480 nm.
Water 17 02354 g009
Figure 10. Trends in the average optical density with time by the four enzyme.
Figure 10. Trends in the average optical density with time by the four enzyme.
Water 17 02354 g010
Table 1. Implementation results from the A-starch manufacturing factory Test Plant.
Table 1. Implementation results from the A-starch manufacturing factory Test Plant.
BOD IndexThe FirstThe SecondThirdAverage
Raw West Watermg/L660530570587
Treated Watermg/L320280320307
Processing Rate%52%47%44%48%
Table 2. List of OD measurements by enzyme mix type with time.
Table 2. List of OD measurements by enzyme mix type with time.
The First
Elapsed TimeBacillusSaccharomycesLacticaseibacillusMix
minAverage (SD)Average (SD)Average (SD)Average (SD)
01.03 (±0.03)1.03 (±0.03)1.03 (±0.03)1.03 (±0.03)
50.90 (±0.02)0.95 (±0.02)1.03 (±0.05)0.97 (±0.03)
100.93 (±0.02)1.01 (±0.03)1.00 (±0.08)1.02 (±0.05)
200.91 (±0.04)0.97 (±0.03)1.03 (±0.02)1.02 (±0.07)
300.96 (±0.05)0.98 (±0.02)1.01 (±0.03)0.98 (±0.04)
600.89 (±0.03)0.93 (±0.03)1.05 (±0.09)0.98 (±0.03)
1200.81 (±0.01)0.86 (±0.02)0.89 (±0.04)0.84 (±0.03)
The Second
Elapsed TimeBacillusSuccharonycesLacticaseibacillusMix
minAverage (SD)Average (SD)Average (SD)Average (SD)
00.83 (±0.02)0.83 (±0.02)0.83 (±0.02)0.83 (±0.02)
50.75 (±0.01)0.77 (±0.01)0.80 (±0.03)0.78 (±0.02)
100.73 (±0.02)0.77 (±0.01)0.79 (±0.02)0.76 (±0.02)
200.70 (±0.04)0.73 (±0.01)0.74 (±0.02)0.72 (±0.02)
300.71 (±0.02)0.75 (±0.02)0.78 (±0.02)0.73 (±0.02)
600.63 (±0.01)0.69 (±0.02)0.73 (±0.02)0.71 (±0.03)
1200.58 (±0.01)0.65 (±0.02)0.68 (±0.02)0.63 (±0.02)
Average
Elapsed TimeBacillusSuccharonycesLacticaseibacillusMix
minAverage (SD)Average (SD)Average (SD)Average (SD)
00.93 (±0.11)0.93 (±0.11)0.93 (±0.11)0.93 (±0.11)
50.82 (±0.08)0.86 (±0.09)0.91 (±0.13)0.88 (±0.10)
100.90 (±0.10)0.93 (±0.13)0.96 (±0.13)0.94 (±0.14)
200.88 (±0.11)0.92 (±0.12)0.95 (±0.15)0.91 (±0.17)
300.85 (±0.13)0.88 (±0.12)0.90 (±0.12)0.86 (±0.13)
600.85 (±0.14)0.90 (±0.12)0.94 (±0.17)0.89 (±0.14)
1200.76 (±0.12)0.84 (±0.11)0.88 (±0.11)0.85 (±0.11)
Table 3. Maximum and minimum (OD) differences after 120 min in the first and the second experiments.
Table 3. Maximum and minimum (OD) differences after 120 min in the first and the second experiments.
120 minBacillusSaccharomycesLacticaseibacillusMix
The First0.810.860.890.84
The Second0.580.650.680.63
Average0.760.840.880.85
Table 4. List of OD measurements by enzyme source and elapsed time.
Table 4. List of OD measurements by enzyme source and elapsed time.
BacillusSaccaromycesLacticcaseibacillusMix
480 nm2.502.092.462.62
490 nm2.672.232.642.74
Table 5. Optical density (OD) after 120 min at different wavelengths.
Table 5. Optical density (OD) after 120 min at different wavelengths.
Wave Length 480 nm
ElapsedBacillusSaccaromycesLacticcaseibacillusMix
minAverage (SD)Average (SD)Average (SD)Average (SD)
00.06 (±0.02)0.06 (±0.02)0.06 (±0.02)0.06 (±0.02)
52.35 (±0.06)2.67 (±0.05)2.72 (±0.06)2.44 (±0.07)
102.48 (±0.12)2.49 (±0.09)2.60 (±0.08)2.50 (±0.05)
202.73 (±0.06)2.71 (±0.07)2.50 (±0.13)2.45 (±0.10)
302.21 (±0.07)2.32 (±0.04)2.47 (±0.04)2.64 (±0.09)
602.56 (±0.11)1.97 (±0.08)2.10 (±0.09)2.48 (±0.12)
1202.50 (±0.09)2.09 (±0.07)2.46 (±0.09)2.62 (±0.11)
Wave Length 490 nm
ElapsedBacillusSaccaromycesLacticcaseibacillusMix
minAverage (SD)Average (SD)Average (SD)Average (SD)
00.06 (±0.02)0.06 (±0.02)0.06 (±0.02)0.06 (±0.02)
52.53 (±0.07)2.83 (±0.06)2.91 (±0.07)2.65 (±0.08)
102.67 (±0.12)2.72 (±0.10)2.83 (±0.08)2.72 (±0.06)
202.89 (±0.06)2.91 (±0.07)2.76 (±0.15)2.76 (±0.11)
302.53 (±0.08)2.64 (±0.05)2.75 (±0.05)2.88 (±0.10)
602.76 (±0.12)2.24 (±0.09)2.41 (±0.10)2.71 (±0.13)
1202.67 (±0.10)2.23 (±0.08)2.64 (±0.10)2.74 (±0.11)
Disclaimer/Publisher’s Note: The statements, opinions and data contained in all publications are solely those of the individual author(s) and contributor(s) and not of MDPI and/or the editor(s). MDPI and/or the editor(s) disclaim responsibility for any injury to people or property resulting from any ideas, methods, instructions or products referred to in the content.

Share and Cite

MDPI and ACS Style

Takaya, M.; Uchigasaki, M.; Itonaga, K.; Ara, K. Evaluation and Verification of Starch Decomposition by Microbial Hydrolytic Enzymes. Water 2025, 17, 2354. https://doi.org/10.3390/w17152354

AMA Style

Takaya M, Uchigasaki M, Itonaga K, Ara K. Evaluation and Verification of Starch Decomposition by Microbial Hydrolytic Enzymes. Water. 2025; 17(15):2354. https://doi.org/10.3390/w17152354

Chicago/Turabian Style

Takaya, Makoto, Manzo Uchigasaki, Koji Itonaga, and Koichi Ara. 2025. "Evaluation and Verification of Starch Decomposition by Microbial Hydrolytic Enzymes" Water 17, no. 15: 2354. https://doi.org/10.3390/w17152354

APA Style

Takaya, M., Uchigasaki, M., Itonaga, K., & Ara, K. (2025). Evaluation and Verification of Starch Decomposition by Microbial Hydrolytic Enzymes. Water, 17(15), 2354. https://doi.org/10.3390/w17152354

Note that from the first issue of 2016, this journal uses article numbers instead of page numbers. See further details here.

Article Metrics

Back to TopTop