Next Article in Journal
A Review of Water Quality Forecasting Models for Freshwater Lentic Ecosystems
Next Article in Special Issue
A Practical Method for Ecological Flow Calculation to Support Integrated Ecological Functions of the Lower Yellow River, China
Previous Article in Journal
Marker- and Microbiome-Based Microbial Source Tracking and Evaluation of Bather Health Risk from Fecal Contamination in Galveston, Texas
Previous Article in Special Issue
Non-Darcy Seepage Models of Broken Rock Mass Under Changed Hydraulic and Porous Structure
 
 
Font Type:
Arial Georgia Verdana
Font Size:
Aa Aa Aa
Line Spacing:
Column Width:
Background:
Article

Impact Analysis of Inter-Basin Water Transfer on Water Shortage Risk in the Baiyangdian Area

1
School of Civil Engineering, North Minzu University, Yinchuan 750021, China
2
School of Water Conservancy and Transportation, Zhengzhou University, Zhengzhou 450001, China
*
Author to whom correspondence should be addressed.
Water 2025, 17(15), 2311; https://doi.org/10.3390/w17152311
Submission received: 3 June 2025 / Revised: 29 July 2025 / Accepted: 30 July 2025 / Published: 4 August 2025

Abstract

This study quantitatively assesses the risk of water shortage (WSR) in the Baiyangdian area due to the Inter-Basin Water Transfer (IBWT) project, focusing on the impact of water transfer on regional water security. The actual evapotranspiration (ETa) is calculated, and the correlation simulation using Archimedes’ Copula function is implemented in Python 3.7.1, with optimization using the sum of squares of deviations (OLS) and the AIC criterion. The joint distribution model between ETa and three water supply scenarios is constructed. Key findings include (1) ETa increased by 27.3% after water transfer, far exceeding the slight increase in water supply before the transfer; (2) various Archimedean Copulas effectively capture the dependence and joint probability distribution between water supply and ETa; (3) water shortage risk increased after water transfer, with rainfall and upstream water unable to alleviate the problem in Baiyangdian; and (4) cross-basin water transfer reduced risk, with a reduction of 8.90% in the total probability of three key water resource scheduling combinations. This study establishes a Copula-based framework for water shortage risk assessment, providing a scientific basis for water allocation strategies in ecologically sensitive areas affected by human activities.

1. Introduction

In recent years, global climate change and human activities have significantly impacted regional water cycles [1,2]. This is particularly evident in non-closed regions, where climate change increases the uncertainty and extremity of precipitation patterns, and human activities reduce water supply, exacerbating water scarcity challenges [3,4,5]. Enhancing regional water security and reducing water shortage risks are critical for sustainable development.
Among various measures to ensure regional water security, inter-basin water transfer is one of the most direct and effective engineering solutions [6,7,8]. It improves water supply conditions by directly supplementing water-scarce areas, but also significantly alters regional water consumption represented by evapotranspiration. An imbalance between water supply and consumption can lead to increased water shortage risks [9,10,11]. Previous studies have evaluated the impact of inter-basin water transfer on hydrological or water resources elements, focusing on transfer frequency and volume and analyzing its hydrological effects on surface runoff and water demand [12,13,14,15]. Some studies have used hydrological models to analyze the interaction between surface and groundwater, assessing the impact on regional water security [16,17,18,19]. However, there is limited research on analyzing the changes in water shortage risk due to altered water supply and actual evapotranspiration caused by inter-basin water transfer.
In practice, regional water supply and consumption are correlated random variables. Research on regional water shortage risk should consider this correlation to be objective. The widely used Copula function in hydrology can link two hydrological variables with random characteristics and probability distributions, analyzing the occurrence probability of different encounter combinations to explain water resources risk [20,21,22,23].
Baiyangdian is the largest freshwater lake in the North China Plain, located in the central region of the plain [24,25,26]. Since the 1950s and 60s, over 100 reservoirs have been built upstream to support industrial and agricultural development, significantly reducing upstream inflow. By the 1980s, the lake experienced consecutive dry periods due to drought and upstream reservoir retention. To mitigate water shortages, large reservoirs upstream have supplemented Baiyangdian since the early 1990s [27,28]. Despite this, continuous dry periods occurred from 1998 to 2002 due to insufficient upstream water release and high losses. Further solutions included the “Yuejin Lake to Baiyangdian” inter-basin water transfer project starting in 2004 and subsequent projects like the “Yellow River to Baiyangdian” and the South–North Water Transfer Project, preventing prolonged dry periods [29,30]. The establishment of Xiongan New Area in 2017 has increased the ecological and economic importance of Baiyangdian, necessitating higher water supply demands [31,32]. Thus, inter-basin water transfer projects are crucial for Baiyangdian’s high-quality development and regional water management. This study introduces an innovative approach by applying the Copula function. We use it to construct a joint probability distribution model of water supply and consumption. This allows for a quantitative evaluation of the impact of inter-basin water transfer on water shortage risk in the Baiyangdian area. It estimates actual evapotranspiration before and after water transfer, categorizes water supply into three conditions (rainfall, rainfall + upstream inflow, rainfall + upstream inflow + inter-basin transfer), and uses Archimedean Copula functions to build joint and conditional probability distribution models, aiming to assess the water shortage risk before and after water transfer.

2. Materials and Methods

2.1. Study Area

The Baiyangdian, located between latitudes 38°43′~39°02′ N and longitudes 115°35′~116°07′ E, is the largest freshwater lake in the North China Plain [33,34]. It has a continental climate with an average annual rainfall of 552.7 mm, mostly concentrated from June to August, and an average annual temperature of 12.1 °C. The lake covers an area of approximately 366 km2, and it dries up when the water level falls below 6.5 m (measured at Shifangyuan). The study area’s map is shown in Figure 1.

2.2. Data Source

The study uses rainfall and water supply data from 1991 to 2020 for the Baiyangdian area. Rainfall data were obtained from four meteorological stations (Xiongxian, Anxin, Rongcheng, and Renqiu) and calculated using the Thiessen polygon method. Water supply data include upstream inflow, inter-basin transfer volumes, and storage data, sourced from the “Baoding Water Resources Bulletin”.

2.3. Copula Function

The concept of the Copula function was first proposed by Sklar in 1959. It defines a multivariate joint distribution function uniformly distributed on [0, 1] [35,36]. Assuming two time series, X and Y, F(x,y) is the bivariate distribution function, and it can be decomposed into marginal distributions and Copula linking functions. If the marginal distributions are continuous, there exists a unique Copula function satisfying (Equation (1)).
F ( x , y ) = C ( F 1 ( x ) , F 2 ( y ) )
where F 1 ( x ) and F 2 ( y ) are the marginal distributions of X and Y, and F ( x , y ) is a two-dimensional Copula function.
The edge distribution function of variables X and Y was optimized using the K-S test. The parameter θ in the Copula function was determined by calculating the rank correlation coefficient between the variables. The Copula function was then optimized using two criteria: the sum of squares of deviation minimum criterion (OLS) and the AIC criterion.
Let F ( x ) and F ( y ) be the edge distribution function of variables X and Y , respectively, and F ( x , y ) be the joint distribution function. The joint distribution function of two variables based on Copula function can be expressed as (Equation (2)).
F ( x , y ) = P ( X x , Y y ) = C ( F X ( x ) , F Y ( y ) )
According to the actual water supply of Baiyangdian District, the water supply of the underlying surface of Baiyangdian District is divided into three water supply conditions: rainfall ( P ), “rainfall + upstream water supply” ( P + R ), and “rainfall + upstream water inflow + inter-basin water transfer” ( P + R + Q d ). For the period before water transfer, the water supply of the underlying surface is equal to ( P + R ); for the post-transfer period, the underlying surface water supply is equal to ( P + R + Q d ).
Assuming that the water supply sequence is X and E T a sequence is Y , considering the risk of water shortage in Baiyangdian District, this study mainly focuses on the joint and conditional distribution probability of the following two events (Equations (3) and (4)).
P ( X x , Y y ) = F X Y ( X , Y ) = F X ( x ) F ( x , y )
P ( X x | Y y ) = F X | Y ( X , Y ) = F X ( x ) F ( x , y ) 1 F Y ( y )
where P ( X x , Y y ) refers to the joint distribution probability that X is less than a certain value and Y is more than a certain value; P ( X x | Y y ) is the conditional distribution probability that Y exceeds a certain value if X is less than a certain value occurs.

2.4. Water Balance Formula

The water balance formula of Baiyang Lake is shown as Equation (5):
P + R + Q d = q + E T a + W
where P is rainfall, mm; R is the upstream water supply in the period, mm; Qd is inter-basin water transfer, mm, q is downstream water output, mm; W is the storage variable in the period, mm; and E is the actual evapotranspiration. For the pre-interbasin water transfer period, the underlying surface water supply Q = P + R . For the period after inter-basin water transfer, Q = P + R + Q d .

3. Results and Discussions

3.1. Changes in Underlying Surface Water Supply and ETa

The underlying surface water supply in the Baiyangdian area significantly impacts ETa. Based on the water balance equation, ETa is obtained, and the annual variations in underlying surface water supply from 1991 to 2020 are shown in Figure 2.
As shown in Figure 2, 2004 serves as the dividing point for water transfer. Before the water transfer, the underlying surface water supply and ETa in the Baiyangdian area showed a decreasing trend. The multi-year average underlying surface water supply was 833.20 mm, while the multi-year average ETa was 556.31 mm. After the water transfer, both the underlying surface water supply and ETa showed an increasing trend, with a multi-year average underlying surface water supply of 850.38 mm and a multi-year average ETa of 707.98 mm.
The underlying surface water supply (Q) and ETa are two interacting random variables. The underlying surface water supply represents the regional water supply, while ETa represents regional water consumption. When water supply and consumption are not coordinated, water scarcity events are likely to occur, threatening regional water security. Therefore, the Copula function is used in the following sections to construct a joint distribution model of water supply and consumption to analyze the water scarcity risk in the Baiyangdian area before and after the inter-basin water transfer.

3.2. Construction of the Joint Distribution Model of Underlying Surface Water Supply and ETa

For the Baiyangdian area, the underlying surface water supply can be divided into three scenarios: no upstream inflow or inter-basin water transfer (Q = P); no inter-basin water transfer (Q = P + R); and post-water transfer period (Q = P + R + Qd). Thus, the Copula function can be used to construct joint distribution models for “precipitation-actual evapotranspiration” (PETa), “(precipitation + upstream water supply)-actual evapotranspiration” (P + RETa), and “(precipitation + upstream inflow + inter-basin water transfer)-actual evapotranspiration” (P + R + QdETa) before and after the water transfer period.
First, the marginal distribution functions for each variable are selected. Common marginal distribution functions include the generalized extreme value distribution, the Weibull distribution, and normal distribution. The K-S test shows that, except for the “precipitation + upstream water supply” series, where the optimal marginal distribution is the Weibull distribution, the other series have optimal distributions as the generalized extreme value distribution.
The AIC and OLS values for the Frank, Clayton, and Gumbel linking functions of the three joint distributions before and after the water transfer period are shown in Table 1, with * indicating the preferred Copula function.
As shown in Table 1, the optimal linking functions for PETa and (P + R) − ETa in both periods are Clayton functions, while the optimal function for (P + R + Qd) − ETa is the Gumbel function. The parameter values of the optimal linking functions are shown in Table 2.
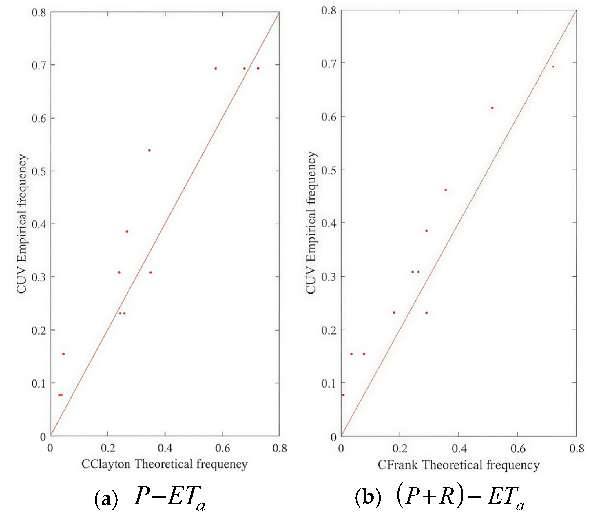
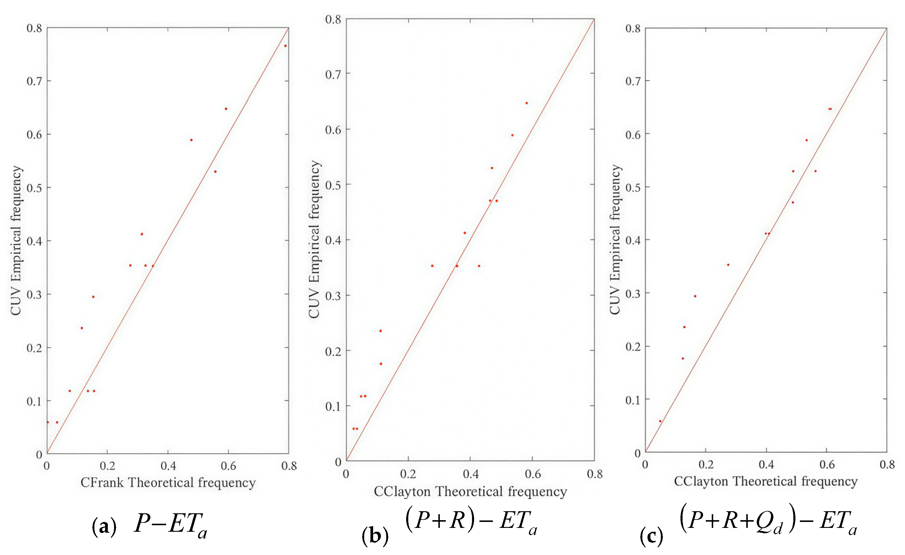
Figure 3 and Figure 4 show scatter plots of the empirical Copula values and theoretical Copula values obtained from the joint distribution models constructed for the three sets of joint distributions before and after the water transfer period. The figures demonstrate good fits between the theoretical and empirical Copula values, indicating their applicability for calculations.

3.3. Joint Probability Analysis

(1)
PETa Joint Probability
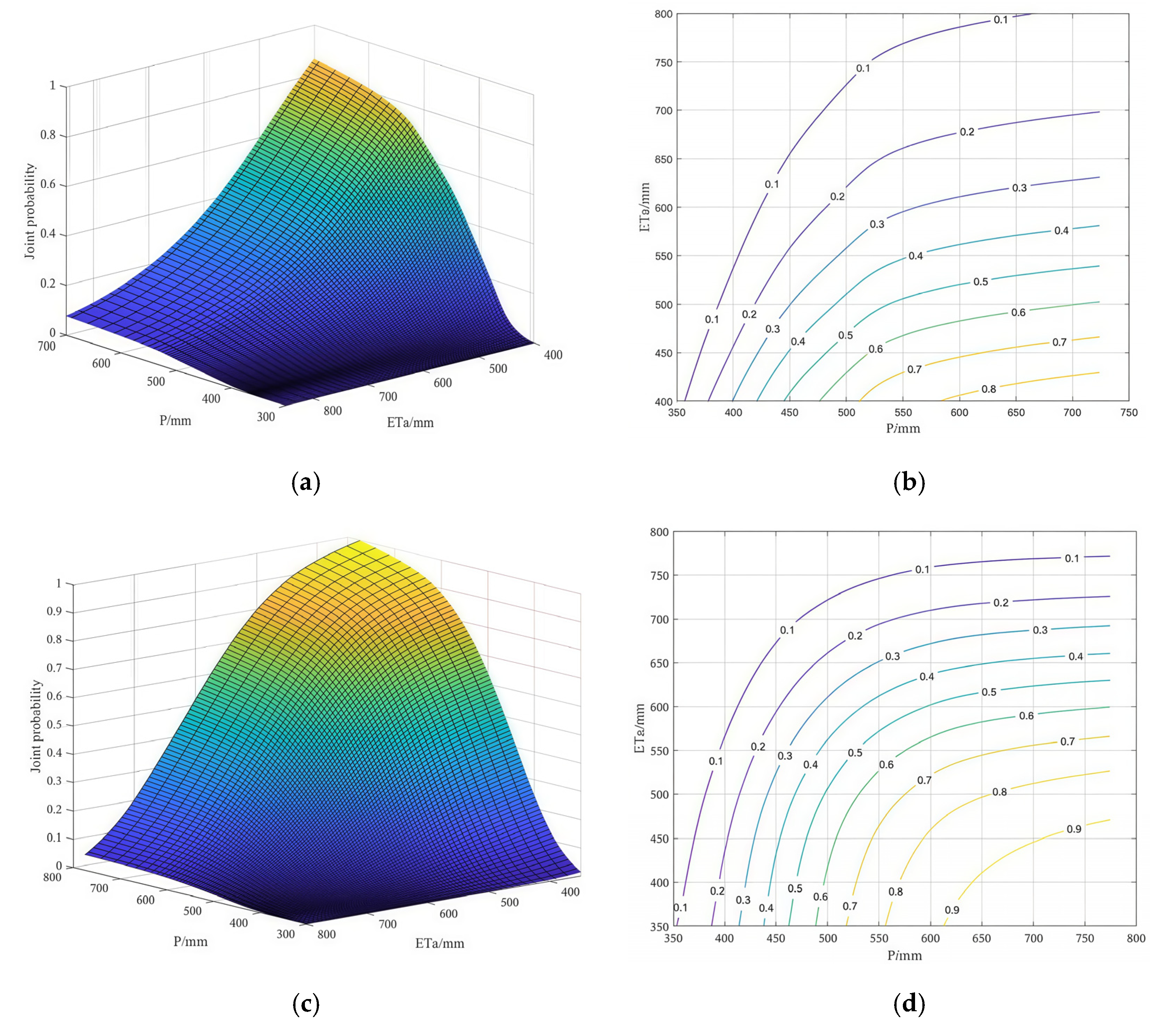
The joint probability distribution and contour maps of annual precipitation and ETa before and after the water transfer periods are shown in Figure 5.
From Figure 5, it can be seen that the contour map for the post-water transfer period shows a greater curvature compared to the pre-water transfer period, indicating a stronger dependency relationship between annual precipitation and ETa in the post-water transfer period. The joint probability values in both periods increase with increasing precipitation and decreasing ETa.
From Figure 5, we can find the combined probability of annual rainfall and annual encounter of different orders in the two periods. The annual average of Baiyangdian District is 614 mm. Therefore, taking P ( P 630 mm , E T a 614 mm ) as an example, the combined probability of annual rainfall and annual encounter before and after water transfer is analyzed. If the pre-water transfer period P ( P 630 mm , E T a 614 mm ) is 0.32 and the post-water transfer period P ( P 630 mm , E T a 614 mm ) is 0.51, the combined probability of the post-water transfer period is increased by 0.19 compared with the pre-water transfer period. In other words, after the water transfer, if external water transfer and upstream water inflow are not considered, annual rainfall increases. However, the increase is small. On the other hand, actual evapotranspiration increases significantly. This leads to an increased risk of water shortage in the Baiyangdian District. It can be seen that when the annual underlying surface moisture in Baiyangdian District is in a dry state, water resources shortage is easy to occur in Baiyangdian District. Without external water sources, natural rainfall can not alleviate the water shortage in Baiyangdian District.
(2)
Joint Probability of P + RETa
The joint probability distribution and contour maps of annual “precipitation + upstream water supply” and ETa before and after the water transfer periods are shown in Figure 6.
From Figure 6, it can be found that the combination probability of year ( P + R ) and year E T a in the two periods of different magnitudes is found. For example, P ( ( P + R ) 630 mm , E T a 614 mm ) in the period before water transfer is 0.08, which decreases by 0.24 compared with 0.32 in the same period P E T a . The period P ( ( P + R ) 630 mm , E T a 614 mm ) after water transfer was 0.22, which decreased by 0.29 compared with the period P E T a of 0.51. This indicates that water supply from upstream reservoirs can effectively alleviate the risk of water shortage in Baiyangdian District. However, the joint probability after the water transfer increased by 0.14 compared to the period before the transfer. This means the risk probability of water shortage in Baiyang Lake still increased after the transfer. The main cause was the sharp decline in upstream water supply after 2004, which led to an increase in water shortage risk. The two factors together led to the increased risk of water shortage in Baiyang Lake. This indicates that rainfall and upstream water supply alone can not meet the demand for water resources in Baiyangdian District, so additional water replenishment measures should be taken.
(3)
The joint probability of ( P + R + Q d ) E T a
( P + R + Q d ) E T a joint distribution and the isogram of the joint distribution after water transfer can be seen in Figure 7.
Figure 7 shows the combination probability of water supply and the encounter of the underlying surface at different orders of magnitude. For example, P ( ( P + R + Q d ) 630 mm , E T a 614 mm ) is 0.05, which is 0.17 lower than ( P + R ) E T a of the same order in the same period. This indicates that the risk of water shortage in Baiyangdian District is reduced after the implementation of the inter-basin water transfer project. In other words, the water shortage problem in Baiyangdian District has been alleviated by the project.

3.4. Conditional Probability and Conditional Recurrence Period Analysis

To analyze the impact of the disharmonious combination of water supply and water consumption on the risk of water shortage in Baiyangdian District, we need to calculate the conditional probability and conditional recurrence period of E T a and different water supply combinations. This is especially important when E T a exceeds a certain value. In such cases, the conditional probability and recurrence period of the underlying surface water supply may be in a dry state.
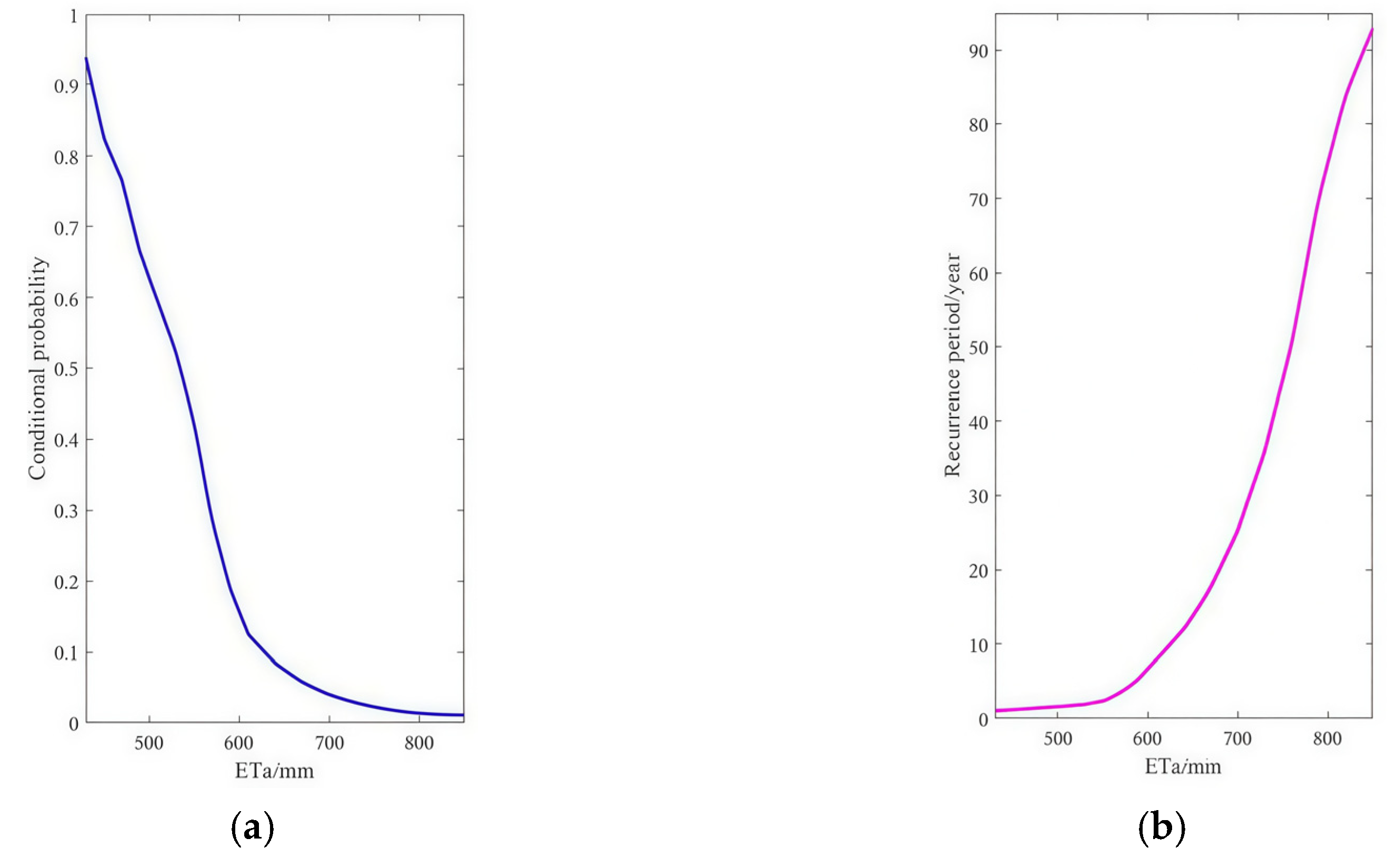
The conditional probability and recurrence period of period P E T a before and after water transfer are shown in Figure 8. The conditional probability and conditional recurrence period of period ( P + R ) E T a before and after water transfer are shown in Figure 9. The conditional probability and recurrence period of period ( P + R + Q d ) E T a after water transfer are shown in Figure 10.
From Figure 8, Figure 9 and Figure 10, the conditional probabilities and recurrence periods of different water supply combinations in a dry state exceeding a certain value can be derived. The analysis is as follows.
(1) From Figure 8, it can be seen that the conditional probability of P E T a before and after water transfer decreases with the increase of E T a , and the conditional recurrence period increases with the increase of E T a . The conditional probability of annual E exceeding 614 mm before water transfer is 0.47, and the corresponding conditional recurrence period is 2.13 years. The conditional probability of E T a exceeding 614 mm after water transfer is 0.60, and the corresponding conditional recurrence period is 1.67 years.
(2) As can be seen from Figure 9, the conditional probability of ( P + R ) E T a before and after water transfer decreases with the increase of E T a , and the conditional recurrence period increases with the increase of E T a . The conditional probability of E T a exceeding 614 mm before water transfer is 0.26, and the corresponding conditional recurrence period is 3.85 years. The conditional probability of E exceeding 614 mm after water transfer is 0.33, and the corresponding conditional recurrence period is 3.03 years.
(3) As can be seen from Figure 10, after the implementation of inter-basin water transfer, the conditional probability of ( P + R + Q d ) E T a decreases with the increase of E T a , and the conditional recurrence period increases with the increase of E T a . The conditional probability of exceeding 614 mm is 0.14, and the corresponding conditional recurrence period is 7.14 years, which decreases by 0.29 and increases the recurrence period by 3.09 years compared with that of ( P + R ) E T a in the same period.
Based on the above conditional probability analysis of water supply and combination in different periods, we can see that (1) in combination P E T a and combination ( P + R ) E T a , the conditional probability of the period after water transfer is higher than that of the period before water transfer, and the conditional recurrence period is also lower, that is, the risk of water shortage is greater in combination P E T a and combination ( P + R ) E T a after water transfer, indicating that rainfall and upstream water supply alone cannot curb the increase in water shortage risk in Baiyangdian District; (2) after the implementation of inter-basin water transfer, the conditional probability value of ( P + R + Q d ) E T a combination is lower and the conditional recurrence period is higher than that of ( P + R ) E T a combination at the same time, that is, the risk of water shortage in Baiyangdian District is reduced, indicating that inter-basin water transfer can effectively alleviate the water shortage problem in Baiyangdian District. After the implementation of inter-basin water transfer, the conditional probability value of the ( P + R + Q d ) E T a combination is lower than that of the B combination. At the same time, the conditional recurrence period for ( P + R ) E T a is higher. This indicates that the risk of water shortage in Baiyangdian District is reduced. Therefore, inter-basin water transfer can effectively alleviate the water shortage problem in the district.

3.5. Probability Analysis of Abundant and Dry Encounters

The annual underlying surface water supply ( Q ) and annual actual evapotranspiration ( E T a ) of Baiyang Lake were divided by pf = 37.5% and pf = 62.5%, respectively, into the period Q = P + R before water transfer and the period Q = P + R + Q d after water transfer. The probability analysis of combination Q E T a is carried out. The abundance and depletion division values of Q and E T a before and after water transfer are shown in Table 3.
For bivariate joint distributions, there are nine possible encounter scenarios, further classified into synchronous and asynchronous abundant and dry states of Q E T a . The probabilities of these encounters before and after the inter-basin water transfer are shown in Table 4 and Table 5.
From Table 4, it can be seen that before the inter-basin water transfer, the probability of synchronous abundant and dry states is greater than that of asynchronous states, with probabilities of 51.78% and 48.22%, respectively. Among synchronous states, the probability of the same abundant state is highest at 22.84%, followed by the same dry state at 18.49%, and the same average state at 10.45%. Among asynchronous states, the probability of QDETaA encounters is highest at 5.90%, followed by QDETaN, and QNETaA encounters, with probabilities of 8.87% and 4.15%, respectively. The total probability of the three most unfavorable combinations for water resource scheduling is 18.92%.
From Table 5, it can be seen that after the inter-basin water transfer, the probability of synchronous abundant and dry states is significantly greater than that of asynchronous states, with probabilities of 75.70% and 24.30%, respectively. Among synchronous states, the probability of the same dry state is highest at 30.95%, followed by the same abundant and average states at 28.45% and 16.30%, respectively. Among asynchronous states, the probability of the QAETaN encounter is highest at 9.14%, while the probability of the QAETaD encounter is lowest at 0.33%. The probability of the QDETaA encounter decreased by 5.52% compared to the pre-water transfer period, while the probabilities of the QDETaN and QNETaA encounters are 3.81% and 5.83%, respectively. The total probability of the three most unfavorable combinations for water resource scheduling decreased by 8.90%.
From the above analysis, the following can be seen: (1) After the inter-basin water transfer, the probability of synchronous abundant and dry states is significantly greater than that of asynchronous states. (2) The probability of QDETaA encounters decreased by 5.52% after the inter-basin water transfer, and the total probability of the three most unfavorable (QDETaA, QDETaN, QNETaA) combinations decreased by 8.90%. This indicates that the inter-basin water transfer project effectively improved the matching degree of water supply and consumption in the Baiyangdian area, reducing the water scarcity risk and necessitating the implementation of additional water replenishment measures for the basin.

4. Discussion

Water transfer projects are important measures for ensuring regional water security through human activities. By adjusting and transferring water resources, they can improve regional water security. The results of this study show that water transfer projects can directly supplement water to water-scarce regions, thereby reducing the risk of water scarcity. This is consistent with the findings of Zhao et al. on the South-to-North Water Diversion project’s impact on regional water security. Additionally, the study found that intra-basin water transfer projects can mitigate water scarcity risk to some extent, but cannot fully meet the water resource demands of the Baiyangdian area. Therefore, future strategies should focus on optimizing a water-saving socio-economic development model to enhance regional water security under water stress conditions. The underlying surface of the Baiyangdian area is a lake wetland. Water supply comes from precipitation, upstream inflow, and inter-basin water transfer. The wetlands and lakes also provide water storage. Future studies should include variables that represent regional water storage. This will help construct a three-dimensional joint distribution model of the underlying surface water supply and water storage. Such a model will provide a more accurate estimation of the water scarcity risk in the Baiyangdian area. Moreover, with climate change and socio-economic development, regional water security issues will become more complex. Therefore, the specific impacts of climate change and human activities on regional water scarcity risk require further investigation.

5. Conclusions

In this study, the Copula function was used to construct joint distribution models of different underlying surface water supply combinations and actual evapotranspiration sequences in the Baiyangdian area before and after the water transfer period to analyze the impact of inter-basin water transfer on the water scarcity risk in the basin. The specific conclusions are as follows.
After the inter-basin water transfer, the underlying surface water supply and actual evapotranspiration in the Baiyangdian area changed significantly and showed the same trend. Both the underlying surface water supply and actual evapotranspiration increased compared to the pre-water transfer period. The increase in underlying surface water supply was small, but the increase in actual evapotranspiration was significant, reaching 27.3%.
The optimal linking functions for the joint distributions of PETa and P + RETa in both periods were Clayton functions, while the optimal linking function for P + R + QdETa was the Gumbel function. The Clayton function accurately captures the asymmetric dependence when evapotranspiration is excessively high during water shortages, which explains the mechanism behind the reduced probability of high-risk combinations after IBWT. The Gumbel function is suitable for analyzing the combined variations of rainfall and upstream inflow, providing a statistical basis for identifying synchronized supply and consumption risks. The two-dimensional joint probability distribution models of different water supply and ETa can quantify the joint probability, the conditional probability, the conditional recurrence period, and the probability of abundant and dry encounters for different periods and water supply amounts.
After the water transfer period, the joint probabilities and conditional probabilities of PETa and P + RETa increased, indicating an increased water scarcity risk in the post-water transfer period. This shows that precipitation and upstream inflow alone cannot alleviate the water scarcity problem in the Baiyangdian area. The joint probability and conditional probability of P + R + QdETa decreased compared to P + RETa in the same period, indicating a reduced water scarcity risk after the inter-basin water transfer.
The probability of abundant and dry encounters, including dry and abundant, dry and average, and average and abundant combinations, was 10.02% in the post-water transfer period, a decrease of 8.90% compared to the pre-water transfer period. This indicates that the inter-basin water transfer project can effectively reduce the water scarcity risk in the Baiyangdian area.

Author Contributions

Conceptualization, methodology, data curation, writing—original draft preparation, Y.S.; methodology, software, formal analysis, writing—review and editing, L.Z.; resources, data curation, supervision, project administration, J.Z. All authors have read and agreed to the published version of the manuscript.

Funding

This research was funded by the Sustainable Land and Water Management for Ecological Restoration in Arid Regions of Ningxia Science and technology innovation team (grant No. 2024CXTD015) and Application research based on the SA-BP algorithm in the prediction of lateral displacement deformation of wet loess foundation pit support structure (grant No. YCX24381).

Data Availability Statement

The data presented in this study are available upon request from the corresponding author.

Conflicts of Interest

The authors declare no conflicts of interest.

References

  1. An, C.; Dou, M.; Zhang, J.; Li, G. Method for analyzing Copula-Based water shortage risk in multisource water supply cities. Water Resour. Manag. 2021, 35, 4877–4894. [Google Scholar] [CrossRef]
  2. Bian, H.; Guo, H.; Zhang, W.; Li, Q.; Bai, S.; Shan, B. Characteristics and environmental significance of organic carbon deposition in Baiyangdian Lake, China, 1969–2020. Ecol. Indic. 2023, 157, 111213. [Google Scholar] [CrossRef]
  3. Kuang, B.; Xiao, R.; Wang, C.; Zhang, L.; Wei, Z.; Bai, J.; Zhang, K.; Campos, M.; Jorquera, M.A. Bacterial community assembly in surface sediments of a eutrophic shallow lake in northern China. Ecohydrol. Hydrobiol. 2022, 24, 828–838. [Google Scholar] [CrossRef]
  4. Chen, L.; Yang, Z.; Liu, H. Assessing the eutrophication risk of the Danjiangkou Reservoir based on the EFDC model. Ecol. Eng. 2016, 96, 117–127. [Google Scholar] [CrossRef]
  5. Du, Z.; Ge, L.; Ng, A.H.-M.; Lian, X.; Zhu, Q.; Horgan, F.G.; Zhang, Q. Analysis of the impact of the South-to-North water diversion project on water balance and land subsidence in Beijing, China between 2007 and 2020. J. Hydrol. 2021, 603, 126990. [Google Scholar] [CrossRef]
  6. Han, Y.L.; Bu, H.M. The impact of climate change on the water quality of Baiyangdian Lake (China) in the past 30 years (1991–2020). Sci. Total Environ. 2023, 870, 161957. [Google Scholar] [CrossRef]
  7. Holding, S.; Allen, M.D. Risk to water security for small islands: An assessment framework and application. Reg. Environ. Chang. 2016, 16, 827–839. [Google Scholar] [CrossRef]
  8. Hu, S.; Liu, C.; Zheng, H.; Wang, Z.; Yu, J. Assessing the impacts of climate variability and human activities on streamflow in the water source area of Baiyangdian Lake. J. Geogr. Sci. 2012, 22, 895–905. [Google Scholar] [CrossRef]
  9. Jiang, Z.; Jiang, W.; Ling, Z.; Wang, X.; Peng, K.; Wang, C. Surface Water Extraction and Dynamic Analysis of Baiyangdian Lake Based on the Google Earth Engine Platform Using Sentinel-1 for Reporting SDG 6.6.1 Indicators. Water 2021, 13, 138. [Google Scholar] [CrossRef]
  10. Kuo, Y.-M.; Liu, W.-W.; Zhao, E.; Li, R.; Muñoz-Carpena, R. Water quality variability in the middle and down streams of Han River under the influence of the Middle Route of South-North Water Diversion Project, China. J. Hydrol. 2018, 569, 218–229. [Google Scholar] [CrossRef]
  11. Li, L.; Chen, X.; Zhang, M.; Zhang, W.; Wang, D.; Wang, H. The spatial variations of water quality and effects of water landscape in Baiyangdian Lake, North China. Environ. Sci. Pollut. Res. Int. 2021, 29, 16716–16726. [Google Scholar] [CrossRef]
  12. Li, L.; Zhang, L.; Xia, J.; Gippel, C.J.; Wang, R.; Zeng, S. Implications of Modelled Climate and Land Cover Changes on Runoff in the Middle Route of the South to North Water Transfer Project in China. Water Resour. Manag. 2015, 29, 2563–2579. [Google Scholar] [CrossRef]
  13. Li, W.; Zhou, J.; Yao, X.; Feng, K.; Luo, C.; Sun, N. Flood Hazard Analysis Based on Copula Connect Function. Nat. Hazards Rev. 2023, 24, 04022041. [Google Scholar] [CrossRef]
  14. Liang, H.; Zhang, D.; Wang, W.; Yu, S.; Wang, H. Quantifying future water and energy security in the source area of the western route of China’s South-to-North water diversion project within the context of climatic and societal changes. J. Hydrol. Reg. Stud. 2023, 47, 101443. [Google Scholar] [CrossRef]
  15. Liu, Y.; Fan, Y.; Fang, Y.; Hou, Y.; Wang, S. Assessing the impact of incentive coordination effect on the equilibrium of agricultural water usage by China’s South-to-North Water Diversion Middle Route Project. Environ. Sci. Pollut. Res. Int. 2024, 31, 17354–17371. [Google Scholar] [CrossRef]
  16. De Luca, D.L.; Ridolfi, E.; Russo, F.; Moccia, B.; Napolitano, F. Climate change effects on rainfall extreme value distribution: The role of skewness. J. Hydrol. 2024, 634, 130958. [Google Scholar] [CrossRef]
  17. Nabi, G.; Ali, M.; Khan, S.; Kumar, S. The crisis of water shortage and pollution in Pakistan: Risk to public health, biodiversity, and ecosystem. Environ. Sci. Pollut. Res. Int. 2019, 26, 10443–10445. [Google Scholar] [CrossRef] [PubMed]
  18. Pang, R.; Zhou, Y.; Chen, G.; Jing, M.; Yang, D. Stochastic Mainshock–Aftershock Simulation and Its Applications in Dynamic Reliability of Structural Systems via DPIM. J. Eng. Mech. 2023, 149, 04022096. [Google Scholar] [CrossRef]
  19. Qian, L.; Zhao, Y.; Wang, H.; Dang, S. Prediction of water shortage loss in situations with small samples based on an improved Gumbel copula. J. Earth Syst. Sci. 2021, 130, 3. [Google Scholar] [CrossRef]
  20. Qian, L.; Wang, H.; Bai, C.; Deng, C. A New Parameter Estimation Method for a Logistic Regression Model of Water Shortage Risk in the Case of Small Sample Numbers. Math. Geosci. 2019, 52, 929–944. [Google Scholar] [CrossRef]
  21. Qiao, C.; Ning, Z.; Wang, Y.; Sun, J.; Lin, Q.; Wang, G. Impact of Climate Change on Water Availability in Water Source Areas of the South-to-North Water Diversion Project in China. Front. Earth Sci. 2021, 9, 747429. [Google Scholar] [CrossRef]
  22. Song, Q.; Wang, Z.; Wu, T. Risk analysis and assessment of water resource carrying capacity based on weighted gray model with improved entropy weighting method in the central plains region of China. Ecol. Indic. 2024, 160, 111907. [Google Scholar] [CrossRef]
  23. Sun, S.; Tang, Q.; Konar, M.; Fang, C.; Liu, H.; Liu, X.; Fu, G. Water transfer infrastructure buffers water scarcity risks to supply chains. Water Res. 2023, 229, 119442. [Google Scholar] [CrossRef]
  24. Sun, T.; Cheng, W.; Bo, Q.; Meng, X.; Liang, D. Analysis on historical flood and countermeasures in prevention and control of flood in Daqing River Basin. Environ. Res. 2021, 1961, 10895. [Google Scholar]
  25. Thomas, T.; Ghosh, N.C.; Sudheer, K.P. Optimal reservoir operation–A climate change adaptation strategy for Narmada basin in central India. J. Hydrol. 2021, 598, 126238. [Google Scholar] [CrossRef]
  26. van der Velde, Y.; Vercauteren, N.; Jaramillo, F.; Dekker, S.C.; Destouni, G.; Lyon, S.W. Exploring hydroclimatic change disparity via the Budyko framework. Hydrol. Process. 2014, 28, 4110–4118. [Google Scholar] [CrossRef]
  27. Wang, J.; Wei, H.; Liang, Z.; Zhan, S.; Jia, H.; Guo, S.; Ge, P. Contamination, risk and quantitative identification of nutrients and potentially toxic elements in the surface sediments of Baiyangdian Lake, North China. Ecotoxicology 2022, 31, 289–298. [Google Scholar] [CrossRef]
  28. Wang, L.H.; Liu, X.M.; Liu, Y.; Li, H.R.; Liu, J.Q.; Yang, L.B.; Maqbool, A. Emergency entity relationship extraction for water diversion project based on pre-trained model and multi-featured graph convolutional network. PLoS ONE 2023, 18, e0292004. [Google Scholar] [CrossRef] [PubMed]
  29. Wang, X.H.; Liu, X.F.; Sun, G.P. Increasing probability of concurrent drought between the water intake and receiving regions of the Hanjiang to Weihe River Water Diversion Project, China. J. Geogr. Sci. 2022, 32, 1998–2012. [Google Scholar] [CrossRef]
  30. Wu, J.; Luo, J.; Du, X.; Zhang, H.; Qin, S. Optimizing water allocation in an inter-basin water diversion project with equity-efficiency tradeoff: A bi-level multiobjective programming model under uncertainty. J. Clean. Prod. 2022, 371, 133606. [Google Scholar] [CrossRef]
  31. Yuan, R.; Wang, S.; Wang, P.; Song, X.; Tang, C. Changes in flow and chemistry of groundwater heavily affected by human impacts in the Baiyangdian catchment of the North China Plain. Environ. Earth Sci. 2017, 76, 571. [Google Scholar] [CrossRef]
  32. Zha, X.; Sun, H.; Jiang, H.; Cao, L.; Xue, J.; Gui, D.; Yan, D.; Tuo, Y. Coupling Bayesian Network and copula theory for water shortage assessment: A case study in source area of the South-to-North Water Division Project (SNWDP). J. Hydrol. 2023, 620, 129434. [Google Scholar] [CrossRef]
  33. Zhang, Q.; Li, Y.; Huang, G.; Wang, H.; Li, Y.; Liu, Y.; Shen, Z. A novel statistical downscaling approach for analyzing daily precipitation and extremes under the impact of climate change: Application to an arid region. J. Hydrol. 2022, 615, 128730. [Google Scholar] [CrossRef]
  34. Zhao, Y.; Han, J.; Zhang, B.; Gong, J. Impact of transferred water on the hydrochemistry and water quality of surface water and groundwater in Baiyangdian Lake, North China. Geosci. Front. 2021, 12, 101086. [Google Scholar] [CrossRef]
  35. Zhu, C.; Li, W. Comparison of GRACE/GRACE-FO Spherical Harmonic Coefficient and Mascon Products in Explaining the Influence of South-to-North Water Transfer Project on Water Reserves in the North China Plain. Water 2023, 15, 2343. [Google Scholar] [CrossRef]
  36. Zhu, H.; Cao, K.; Chen, X.; Liu, X.; Zhang, X. Effects of suspended ecological beds on phytoplankton community structure in Baiyangdian Lake, China. J. Freshw. Ecol. 2022, 37, 189–202. [Google Scholar] [CrossRef]
Figure 1. Baiyangdian area and surrounding water system map.
Figure 1. Baiyangdian area and surrounding water system map.
Water 17 02311 g001
Figure 2. Annual variation of underlying surface water supply.
Figure 2. Annual variation of underlying surface water supply.
Water 17 02311 g002
Figure 3. The fitting of Copula function theory and empirical value before water transfer.
Figure 3. The fitting of Copula function theory and empirical value before water transfer.
Water 17 02311 g003
Figure 4. The fitting of Copula function theory and empirical value after water transfer.
Figure 4. The fitting of Copula function theory and empirical value after water transfer.
Water 17 02311 g004
Figure 5. PETa joint distribution and isogram of joint distribution before water transfer. (a) PETa joint distribution before water transfer, (b) isogram of PETa joint distribution before water transfer, (c) PETa joint distribution after water transfer, (d) isogram of PETa joint distribution after water transfer.
Figure 5. PETa joint distribution and isogram of joint distribution before water transfer. (a) PETa joint distribution before water transfer, (b) isogram of PETa joint distribution before water transfer, (c) PETa joint distribution after water transfer, (d) isogram of PETa joint distribution after water transfer.
Water 17 02311 g005
Figure 6. P + RETa joint distribution and isogram of joint distribution before water transfer. (a) P + RETa joint distribution before water transfer, (b) isogram of P + RETa joint distribution before water transfer, (c) P + RETa joint distribution after water transfer, (d) isogram of P + RETa joint distribution after water transfer.
Figure 6. P + RETa joint distribution and isogram of joint distribution before water transfer. (a) P + RETa joint distribution before water transfer, (b) isogram of P + RETa joint distribution before water transfer, (c) P + RETa joint distribution after water transfer, (d) isogram of P + RETa joint distribution after water transfer.
Water 17 02311 g006
Figure 7. P + R + QdETa joint distribution and isogram of joint distribution before water transfer. (a) P + R + QdETa joint distribution before water transfer, (b) isogram of P + R + QdETa joint distribution before water transfer.
Figure 7. P + R + QdETa joint distribution and isogram of joint distribution before water transfer. (a) P + R + QdETa joint distribution before water transfer, (b) isogram of P + R + QdETa joint distribution before water transfer.
Water 17 02311 g007
Figure 8. PETa conditional probability and recurrence periods before and after water transfer. (a) Conditional Probability before water Transfer, (b) recurrence period before water transfer, (c) conditional probability after water transfer, (d) recurrence period after water transfer.
Figure 8. PETa conditional probability and recurrence periods before and after water transfer. (a) Conditional Probability before water Transfer, (b) recurrence period before water transfer, (c) conditional probability after water transfer, (d) recurrence period after water transfer.
Water 17 02311 g008
Figure 9. P + RETa conditional probability and recurrence periods before and after water transfer. (a) Conditional probability before water transfer, (b) recurrence period before water transfer, (c) conditional probability after water transfer, (d) recurrence period after water transfer.
Figure 9. P + RETa conditional probability and recurrence periods before and after water transfer. (a) Conditional probability before water transfer, (b) recurrence period before water transfer, (c) conditional probability after water transfer, (d) recurrence period after water transfer.
Water 17 02311 g009
Figure 10. P + R + QdETa conditional probability and recurrence periods after water transfer. (a) Conditional probability after water transfer, (b) recurrence period after water transfer.
Figure 10. P + R + QdETa conditional probability and recurrence periods after water transfer. (a) Conditional probability after water transfer, (b) recurrence period after water transfer.
Water 17 02311 g010
Table 1. Optimal Copula linking function selection for each joint distribution.
Table 1. Optimal Copula linking function selection for each joint distribution.
Joint Distribution1991–20032004–2020
Linking FunctionAICOLSLinking FunctionAICOLS
P E T a Frank−62.34770.0842Frank−92.88720.0614
Clayton *−62.78780.0828Clayton *−96.00570.0560
Gumbel−61.35950.0874Gumbel−92.30290.0624
( P + R ) E T a Frank *−67.17250.0699Frank *−91.74120.0631
Clayton−66.73420.0711Clayton−91.01850.0648
Gumbel−67.06540.0702Gumbel−91.73670.0635
( P + R + Q d ) E T a ---------Frank−92.23540.0626
---------Clayton *−96.84390.0546
---------Gumbel−91.45540.0640
* is the marker for the optimal result of the Copula function, used for quickly identifying the best Copula model for the joint distribution of different water supply combinations and evapotranspiration, providing a theoretical basis for subsequent calculations of water shortage risk probability.
Table 2. Parameter values of optimal linking functions for each joint distribution.
Table 2. Parameter values of optimal linking functions for each joint distribution.
Joint DistributionPeriodOptimal Linking Functionθ
P E T a 1991–2003Clayton1.5455
2004–2020Clayton0.8333
( P + R ) E T a 1991–2003Frank5.0770
2004–2020Frank3.3644
( P + R + Q d ) E T a 2004–2020Clayton7.7135
Table 3. Annual underlying surface water supply and annual E T a abundance and depletion division values.
Table 3. Annual underlying surface water supply and annual E T a abundance and depletion division values.
Frequency type37.5%62.5%
Pre-water transfer annual underlying surface water supply (mm)789.70590.97
Pre-water transfer annual E T a (mm)602.40488.40
Post-water transfer annual underlying surface water supply (mm)872.40700.90
Post-water transfer annual E T a (mm)667.80593.50
Table 4. Calculation of abundant and dry frequency Q E T a before inter-basin water transfer.
Table 4. Calculation of abundant and dry frequency Q E T a before inter-basin water transfer.
Synchronous Abundant and Dry Frequency Asynchronous Abundant and Dry Frequency
Q E T a Q E T a Q E T a Total Q A Q A Q N Q N Q D Q DTotal
Same abundantSame normalSame dry E T a N E T a D E T a D E T a A E T a A E T a N
22.84%10.45%18.49%51.78%16.42%3.46%9.42%4.15%5.90%8.87%48.22%
Table 5. Calculation of abundant and dry frequency Q E T a after inter-basin water transfer.
Table 5. Calculation of abundant and dry frequency Q E T a after inter-basin water transfer.
Synchronous Abundant and Dry Frequency Asynchronous Abundant and Dry Frequency
Q E T a Q E T a Q E T a Total Q A Q A Q N Q N Q D Q DTotal
Same abundantSame normalSame dry E T a N E T a D E T a D E T a A E T a A E T a N
28.45%16.30%30.95%75.70%9.14%0.33%4.81%5.83%0.38%3.81%24.30%
Disclaimer/Publisher’s Note: The statements, opinions and data contained in all publications are solely those of the individual author(s) and contributor(s) and not of MDPI and/or the editor(s). MDPI and/or the editor(s) disclaim responsibility for any injury to people or property resulting from any ideas, methods, instructions or products referred to in the content.

Share and Cite

MDPI and ACS Style

Shi, Y.; Zhang, L.; Zhang, J. Impact Analysis of Inter-Basin Water Transfer on Water Shortage Risk in the Baiyangdian Area. Water 2025, 17, 2311. https://doi.org/10.3390/w17152311

AMA Style

Shi Y, Zhang L, Zhang J. Impact Analysis of Inter-Basin Water Transfer on Water Shortage Risk in the Baiyangdian Area. Water. 2025; 17(15):2311. https://doi.org/10.3390/w17152311

Chicago/Turabian Style

Shi, Yuhang, Lixin Zhang, and Jinping Zhang. 2025. "Impact Analysis of Inter-Basin Water Transfer on Water Shortage Risk in the Baiyangdian Area" Water 17, no. 15: 2311. https://doi.org/10.3390/w17152311

APA Style

Shi, Y., Zhang, L., & Zhang, J. (2025). Impact Analysis of Inter-Basin Water Transfer on Water Shortage Risk in the Baiyangdian Area. Water, 17(15), 2311. https://doi.org/10.3390/w17152311

Note that from the first issue of 2016, this journal uses article numbers instead of page numbers. See further details here.

Article Metrics

Back to TopTop