Numerical Study of Wave-Induced Longshore Current Generation Zones on a Circular Sandy Sloping Topography
Abstract
1. Introduction
2. Mathematical Formulation and Methodology for the Numerical Simulation
2.1. Continuity and Momentum Equations
2.2. Grids Generation
2.3. Discretization of the Governing Equations
3. Numerical Experiments
4. Outline of the Physical Experiment
5. Results and Discussions
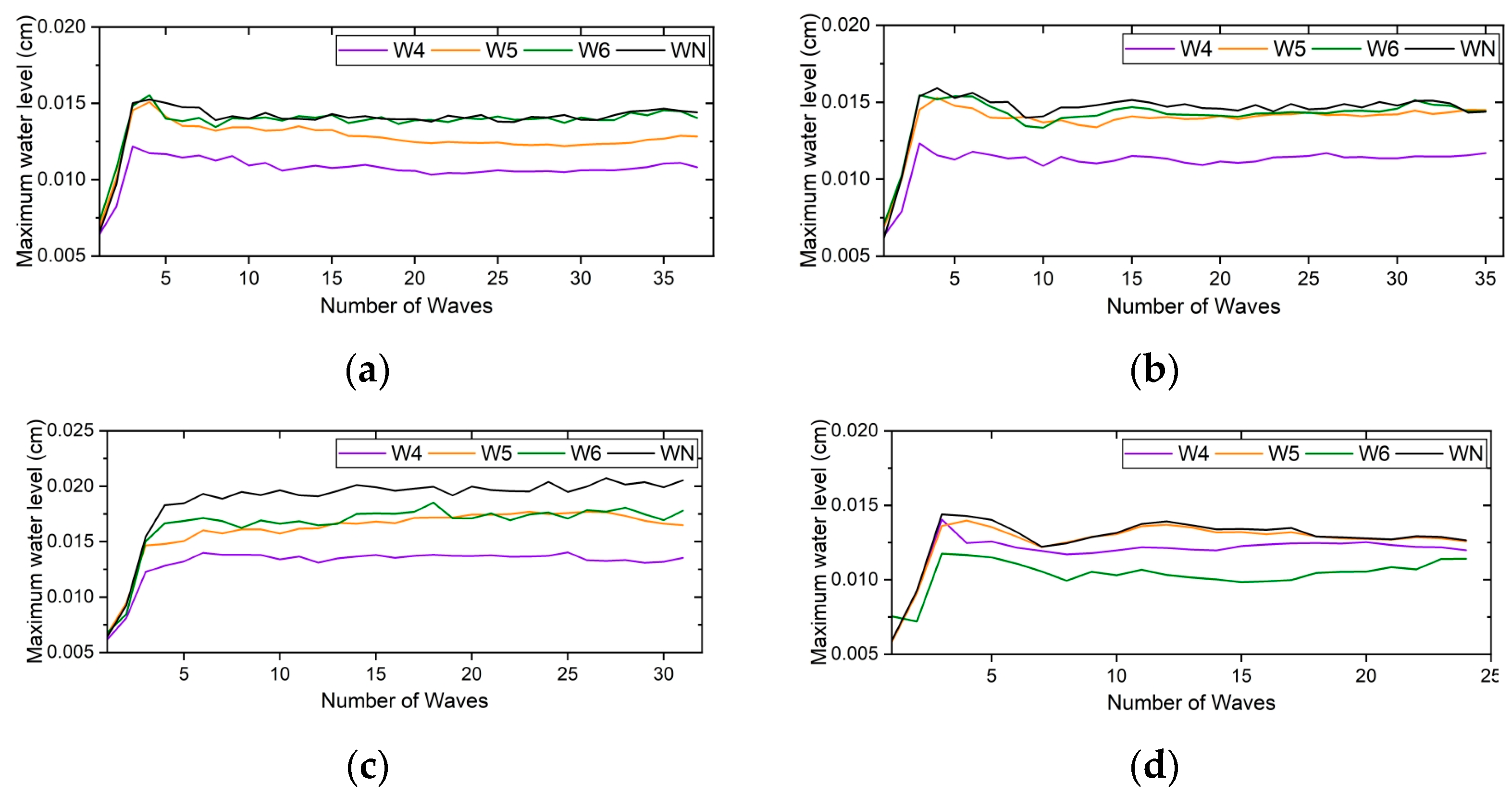
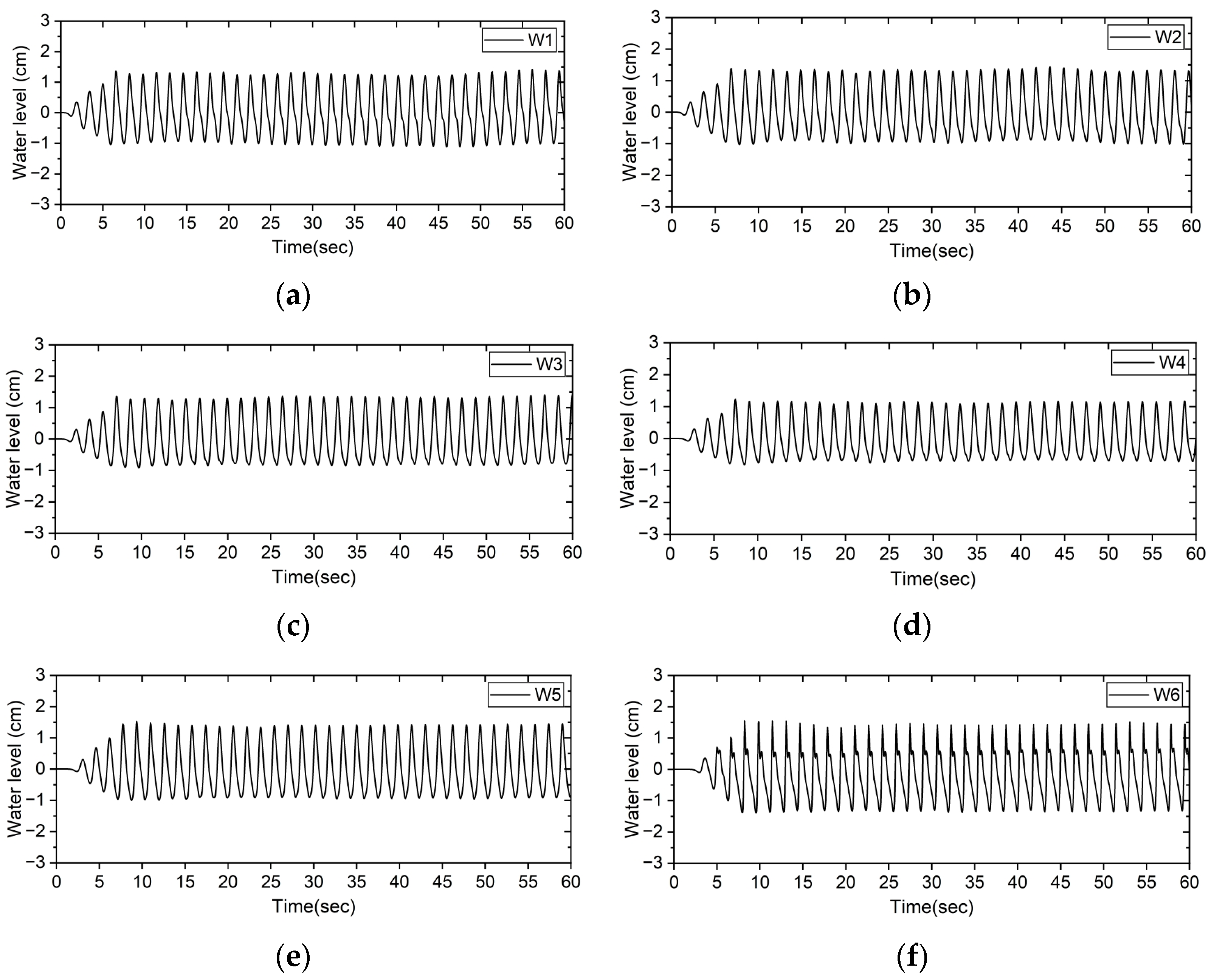
5.1. Characteristics of Water Surface Elevations
5.2. Comparisons Between Measured Cross-Sections
5.3. Model Validation
5.4. Cross-Shore Velocity Distribution
5.5. Longshore Velocity Distribution
5.6. Longshore Current Generation
6. Conclusions
Author Contributions
Funding
Data Availability Statement
Acknowledgments
Conflicts of Interest
Appendix A

References
- Guza, R.T.; Thornton, E.B. Wave set-up on a natural beach. J. Geophys. Res. 1981, 86, 4133–4137. [Google Scholar] [CrossRef]
- Allard, R.; Rogers, E.; Martin, P.; Jensen, T.; Chu, P.; Campbell, T.; Dykes, J.; Smith, T.; Choi, J.; Gravois, U. The US navy coupled ocean-wave prediction system. Ocean 2014, 27, 93–103. [Google Scholar] [CrossRef]
- Battjes, J.A. Modeling of turbulence in the surf zone. In Proceedings of the A Symposium Focused on Modeling Techniques, San Francisco, CA, USA, 3–5 September 1975; ASCE: Reston, VA, USA, 1975; pp. 1050–1061. [Google Scholar]
- Davidson-Arnott, R.G.D.; McDonald, R.A. Nearshore water motion and mean flows in a multiple parallel bar system. Mar. Geol. 1989, 86, 321–338. [Google Scholar] [CrossRef]
- Svendsen, I.A.; Putrevu, V. Nearshore mixing and dispersion. Proc. R. Soc. Lond. Ser. A Math. Phys. Sci. 1994, 445, 561–576. [Google Scholar]
- Fredsoe, J.; Deigaard, R. Mechanics of Coastal Sediment Transport; World Scientific: Singapore, 1992; p. 369. [Google Scholar]
- Li, Z.; Johns, B. A three-dimensional numerical model of surface waves in the surf zone and longshore current generation over a plane beach. Estuar. Coast. Shelf Sci. 1998, 47, 395–413. [Google Scholar] [CrossRef]
- Bever, A.J.; MacWilliams, M.L. Simulating sediment transport processes in San Pablo Bay using coupled hydrodynamic, wave, and sediment transport models. Mar. Geol. 2013, 345, 235–253. [Google Scholar] [CrossRef]
- Bowen, A.J. The generation of longshore currents on a plane beach. J. Mar. Res. 1969, 27, 206–215. [Google Scholar]
- Longuet-Higgins, M.S. Longshore currents generated by obliquely incident sea waves, 1. J. Geophys. Res. 1970, 75, 6778–6789. [Google Scholar] [CrossRef]
- Longuet-Higgins, M.S. Longshore currents generated by obliquely incident sea waves, 2. J. Geophys. Res. 1970, 75, 6790–6801. [Google Scholar] [CrossRef]
- Thornton, E.B. Variation of longshore current across the surf zone. In Proceedings of the 12th International Conference on Coastal Engineering, Washington, DC, USA, 13–18 September 1970; American Society of Civil Engineers: Reston, VA, USA, 1970; pp. 291–308. [Google Scholar]
- Thornton, E.B.; Guza, R.T. Surf zone longshore currents and random waves: Field data and models. J. Phys. Oceanogr. 1986, 16, 1165–1178. [Google Scholar] [CrossRef]
- Komar, P.D.; Inman, D.L. Longshore sand transport on beaches. J. Geophys. Res. 1970, 75, 5914–5927. [Google Scholar] [CrossRef]
- Bayram, A.; Larson, M.; Hanson, H. A new formula for the total longshore sediment transport rate. Coast. Eng. 2007, 54, 700–710. [Google Scholar] [CrossRef]
- Van Rijn, L.C. Unified view of sediment transport by currents and waves I: Initiation of motion, bed roughness and bed-load transport. J. Hydraul. Eng. 2007, 133, 649–667. [Google Scholar] [CrossRef]
- Van Rijn, L.C. Unified view of sediment transport by currents and waves II: Suspended transport. J. Hydraul. Eng. 2007, 133, 668–689. [Google Scholar] [CrossRef]
- Kraus, N.C.; Sasaki, T.O. Effects of wave angle and lateral mixing on the longshore current. Coast. Eng. Jpn. 1979, 22, 59–74. [Google Scholar] [CrossRef]
- Visser, P.J. Uniform longshore current measurement and calculations. In Proceedings of the 19th Conference on Coastal Engineering, Houston, TX, USA, 29 January 1984; pp. 2192–2207. [Google Scholar]
- Visser, P.J. A mathematical model of uniform longshore currents and the comparison with laboratory data. In Communications on Hydraulic Engineering; Report/Department of Civil Engineering, Delft University of Technology: Delft, The Netherlands, 1984; p. 151. [Google Scholar]
- Visser, P.J. Laboratory measurements of uniform longshore currents. Coast. Eng. 1991, 15, 563–593. [Google Scholar] [CrossRef]
- Johns, B.; Jefferson, R.J. The numerical modeling of surface wave propagation in the surf zone. J. Phys. Oceanogr. 1980, 10, 1061–1069. [Google Scholar] [CrossRef]
- Hamilton, D.G.; Ebersole, B.A. Establishing uniform longshore currents in a large-scale sediment transport facility. Coast. Eng. 2001, 42, 199–218. [Google Scholar] [CrossRef]
- Kobayashi, N.; Lawrence, A.R. Cross-shore sediment transport under breaking solitary waves. J. Geophys. Res. Ocean. 2004, 109, C03047. [Google Scholar] [CrossRef]
- Liangduo, S.; Qinqin, G.; Zhili, Z.; Lulu, H.; Wei, C.; Mingtao, J. Experimental study and numerical simulation of mean longshore current for mild slope. Wave Motion 2020, 99, 102651. [Google Scholar] [CrossRef]
- Dalrymple, R.A.; Dean, R.G. The spiral wavemaker for littoral drift studies. In Proceedings of the 13th International Conference on Coastal Engineering, Vancouver, BC, Canada, 10–14 July 1972; American Society of Civil Engineers: Reston, VA, USA, 1972; pp. 689–705. [Google Scholar] [CrossRef]
- Trowbridge, J.; Dalrymple, R.A.; Suh, K. A simplified second-order solution for a spiral wave maker. J. Geophys. Res. Ocean. 1986, 91, 11783–11789. [Google Scholar] [CrossRef]
- Williams, A.N.; McDougal, W.G. Hydrodynamic analysis of variable draft spiral wavemaker. Ocean Eng. 1989, 16, 401–410. [Google Scholar] [CrossRef]
- Suh, K.; Dalrymple, R.A. Offshore Breakwaters in Laboratory and Field. J. Waterw. Port Coast. Ocean Eng. 1987, 113, 105–121. [Google Scholar] [CrossRef]
- Islam, M.S.; Akita, N.; Nakamura, T.; Cho, Y.-H.; Mizutani, N. Experimental Investigation on the Mechanism of Longshore Sediment Transport Using a Circular Wave Basin. J. Mar. Sci. Eng. 2022, 10, 1189. [Google Scholar] [CrossRef]
- Brorsen, M.; Larsen, J. Source generation of nonlinear gravity waves with the boundary integral equation method. Coast. Eng. 1987, 11, 93–113. [Google Scholar] [CrossRef]
- Tanaka, M.; Ohyama, T.; Kiyokawa, T.; Nadaoka, K. Non-reflective multidirectional wave generation by source method. In Proceedings of the 24th International Conference on Coastal Engineering, Kobe, Japan, 23–28 October 1994; American Society of Civil Engineers: Reston, VA, USA, 1994; pp. 650–664. [Google Scholar]
- Naito, S. Wave generation and absorption theory and application. In Proceedings of the 16th International Offshore and Polar Engineering Conference, San Francisco, CA, USA, 28 May–2 June 2006; Volume 2, pp. 81–89. [Google Scholar]
- Ren, X.; Mizutani, N.; Nakamura, T. Development of a numerical circular wave basin based on the two-phase incompressible flow model. Ocean Eng. 2015, 101, 93–100. [Google Scholar] [CrossRef]
- Islam, M.S.; Nakamura, T.; Cho, Y.H.; Mizutani, N. Investigation of the Spiral Wave Generation and Propagation on a Numerical Circular Wave Tank Model. J. Mar. Sci. Eng. 2023, 11, 388. [Google Scholar] [CrossRef]
- Mizutani, N.; McDougal, W.; Mostafa, A. BEM-FEM combined analysis of nonlinear interaction between wave and submerged breakwater. In Proceedings of the 25th International Conference on Coastal Engineering, Orlando, FL, USA, 2–6 September 1996; American Society of Civil Engineers: Reston, VA, USA, 1996; Volume 1, pp. 2377–2390. [Google Scholar]
- Nakamura, T.; Mizutani, N. Numerical simulation of wind-induced drift behavior of shipping container floating on water surface using three-dimensional coupled fluid-structure-sediment interaction model. In Proceedings of the 26th Symposium on Computational Fluid Dynamics, Tokyo, Japan, 18–20 December 2012; 10p. [Google Scholar] [CrossRef]
- Kravchenko, A.G.; Moin, P.; Moser, R. Zonal embedded grids for numerical simulations of wall-bounded turbulent flows. J. Comp. Phys. 1996, 127, 421–423. [Google Scholar] [CrossRef]
- Suh, Y.K.; Yeo, C.H. Finite volume method with zonal-embedded grids for cylindrical coordinates. Int. J. Numer. Methods Fluids 2006, 52, 263–295. [Google Scholar] [CrossRef]
- Harlow, F.; Welch, J.E. Numerical calculation of time-dependent viscous incompressible flow of fluid with free surface. Phys. Fluid 1965, 8, 2182–2189. [Google Scholar] [CrossRef]
- Chorin, A.J. Numerical solution of the Navier-Stokes equations. Math. Comput. 1968, 22, 745–762. [Google Scholar] [CrossRef]
- Ubbink, O.; Issa, R. A method for capturing sharp fluid interfaces on arbitrary meshes. J. Comp. Phys. 1999, 153, 26–50. [Google Scholar] [CrossRef]
- Heyns, J.A.; Malan, A.G.; Harms, T.M.; Oxtoby, O.F. Development of a compressive surface capturing formulation for modelling free-surface flow by using the volume of fluid approach. Int. J. Numer. Methods Fluids 2013, 71, 788–804. [Google Scholar] [CrossRef]
- Kawasaki, K. Numerical simulation of breaking and post-breaking wave deformation process around a submerged breakwater. Coast. Eng. J. 1999, 41, 201–223. [Google Scholar] [CrossRef]
- Lin, P.Z.; Liu, P.L.F. Internal wave-maker for Navier–Stokes equations models. J. Waterw. Port Coast. Ocean Eng. 1999, 125, 207–215. [Google Scholar] [CrossRef]
- Fujiwara, R. A method for modifying a horizontal velocity of irregular waves wave generation by a linear theory. Proc. Civ. Eng. Ocean JSCE 2008, 24, 873–878. [Google Scholar] [CrossRef]





















| Case | 1 | 2 | 3 | 4 | 5 | 6 | 7 |
|---|---|---|---|---|---|---|---|
| Period | 1.25 s | 1.50 s | 1.60 s | 1.82 s | 2.0 s | 2.22 s | 2.50 s |
| Computation | 60 s | ||||||
| Time | 18 cm | ||||||
| Initial Terrain | 1:7 Uniform Slope | ||||||
Disclaimer/Publisher’s Note: The statements, opinions and data contained in all publications are solely those of the individual author(s) and contributor(s) and not of MDPI and/or the editor(s). MDPI and/or the editor(s) disclaim responsibility for any injury to people or property resulting from any ideas, methods, instructions or products referred to in the content. |
© 2025 by the authors. Licensee MDPI, Basel, Switzerland. This article is an open access article distributed under the terms and conditions of the Creative Commons Attribution (CC BY) license (https://creativecommons.org/licenses/by/4.0/).
Share and Cite
Islam, M.S.; Nakamura, T.; Cho, Y.-H.; Mizutani, N. Numerical Study of Wave-Induced Longshore Current Generation Zones on a Circular Sandy Sloping Topography. Water 2025, 17, 2263. https://doi.org/10.3390/w17152263
Islam MS, Nakamura T, Cho Y-H, Mizutani N. Numerical Study of Wave-Induced Longshore Current Generation Zones on a Circular Sandy Sloping Topography. Water. 2025; 17(15):2263. https://doi.org/10.3390/w17152263
Chicago/Turabian StyleIslam, Mohammad Shaiful, Tomoaki Nakamura, Yong-Hwan Cho, and Norimi Mizutani. 2025. "Numerical Study of Wave-Induced Longshore Current Generation Zones on a Circular Sandy Sloping Topography" Water 17, no. 15: 2263. https://doi.org/10.3390/w17152263
APA StyleIslam, M. S., Nakamura, T., Cho, Y.-H., & Mizutani, N. (2025). Numerical Study of Wave-Induced Longshore Current Generation Zones on a Circular Sandy Sloping Topography. Water, 17(15), 2263. https://doi.org/10.3390/w17152263

