Analysis of Open-Water Changes and Ice Microstructure Characteristics in Different River Channel Types of the Yellow River in Inner Mongolia Based on Satellite Images and Field Sampling
Abstract
1. Introduction
2. Materials and Methods
2.1. Study Area
2.2. Open-Water Change Monitoring
2.3. Ice Sample and Crystal Acquisition Method
3. Results
3.1. Open-Water Observations from Different Sampling Points Based on Sentinel-2
3.2. Ice Crystal Structure Observation Results
3.3. Ice Crystal Distribution
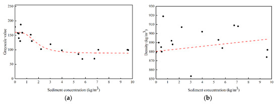
3.4. Ice Density and Sediment Concentration
4. Discussion
5. Conclusions
Author Contributions
Funding
Data Availability Statement
Acknowledgments
Conflicts of Interest
References
- Gao, G.; Deng, Y.; Tian, Z.; Liu, S.; Zhang, B. Brief Introduction and Prospect of Recent Ice Research in the Yellow River. Yellow River 2019, 41, 77–81+108. (In Chinese) [Google Scholar]
- Bhambri, R.; Hewitt, K.; Kawishwar, P.; Kumar, A.; Verma, A.; Tiwari, S.; Misra, A. Ice-dams, outburst floods, and movement heterogeneity of glaciers, Karakoram. Glob. Planet. Change 2019, 180, 100–116. [Google Scholar] [CrossRef]
- Tuo, Y.; Deng, Y.; Li, J.; Li, N.; Li, K.; Wei, L.; Zhao, Z. Effects of dam reconstruction on thermal-ice regime of Fengman Reservoir. Cold Reg. Sci. Technol. 2018, 146, 223–235. [Google Scholar] [CrossRef]
- Zhao, S.; Li, C.; Li, C.; Shi, X.; Zhao, S. Processes of river ice and ice-jam formation in Shensifenzi Bend of the Yellow River. J. Hydraul. Eng. 2017, 48, 351–358. (In Chinese) [Google Scholar] [CrossRef]
- Yang, X.; Pavelsky, T.M.; Allen, G.H. The past and future of global river ice. Nature 2020, 577, 69–73. [Google Scholar] [CrossRef]
- Liu, B.; Ji, H.; Zhai, Y.; Luo, H. Estimation of river ice thickness in the Shisifenzi reach of the Yellow River with remote sensing and air temperature data. IEEE J. Sel. Top. Appl. Earth Obs. Remote Sens. 2023, 16, 5645–5659. [Google Scholar] [CrossRef]
- Wang, T.; Guo, X.; Liu, J.; Chen, Y.; She, Y.; Pan, J. Ice Process Simulation on Hydraulic Characteristics in the Yellow River. J. Hydraul. Eng. 2024, 150, 05024001. [Google Scholar] [CrossRef]
- Huang, W.; Li, Z.; Han, H.; Niu, F.; Lin, Z.; Leppäranta, M. Structural analysis of thermokarst lake ice in Beiluhe Basin, Qinghai–Tibet Plateau. Cold Reg. Sci. Technol. 2012, 72, 33–42. [Google Scholar] [CrossRef]
- Zhang, Y.; Li, Z.; Li, C.; Zhang, B.; Deng, Y. Microstructure characteristics of river ice in Inner Mongolia section of the Yellow River and its influencing factors. J. Hydraul. Eng. 2021, 52, 1418–1429. [Google Scholar] [CrossRef]
- Michel, B.; Ramseier, R.O. Classification of river and lake ice. Can. Geotech. J. 1971, 8, 36–45. [Google Scholar] [CrossRef]
- Eicken, H.; Lange, M.A. Development and properties of sea ice in the coastal regime of the southeastern Weddell Sea. J. Geophys. Res. Ocean. 1989, 94, 8193–8206. [Google Scholar] [CrossRef]
- Langway, C.C. Ice fabrics and the universal stage. In Technical Report 62; Department of Defense, Department of the Army, Corps of Engineers, Snow Ice and Permafrost Research Establishment: Wilmette, IL, USA, 1959. [Google Scholar]
- Wilen, L.A.; Diprinzio, C.L.; Alley, R.B.; Azuma, N. Development, principles, and applications of automated ice fabric analyzers. Microsc. Res. Tech. 2023, 62, 2–18. [Google Scholar] [CrossRef] [PubMed]
- Arnaud, L.; Gay, M.; Barnola, J.M.; Duval, P. Imaging of firn and bubbly ice in coaxial reflected light: A new technique for the characterization of these porous media. J. Glaciol. 1998, 44, 326–332. [Google Scholar] [CrossRef]
- Azuma, N.; Wang, Y.; Yoshida, Y.; Narita, H.; Hondoh, T.; Shoji, H.; Watanabe, O. Crystallographic analysis of the Dome Fuji ice core. In Physics of Ice Core Records; Hokkaido University: Sapporo, Japan, 2000; pp. 45–61. Available online: https://eprints.lib.hokudai.ac.jp/dspace/bitstream/2115/32461/1/P45-61.pdf (accessed on 23 June 2025).
- Kipfstuhl, S.; Hamann, I.; Lambrecht, A.; Freitag, J.; Faria, S.H.; Grigoriev, D.; Azuma, N. Microstructure mapping: A new method for imaging deformation-induced microstructural features of ice on the grain scale. J. Glaciol. 2006, 52, 398–406. [Google Scholar] [CrossRef]
- Li, Z.; Huang, W.; Jia, Q.; Leppäranta, M. Distributions of crystals and gas bubbles in reservoir ice during growth period. Water Sci. Eng. 2011, 4, 204–211. [Google Scholar]
- Kaempfer, T.U.; Schneebeli, M.; Sokratov, S.A. A microstructural approach to model heat transfer in snow. Geophys. Res. Lett. 2005, 32, 1. [Google Scholar] [CrossRef]
- Golden, K.M.; Eicken, H.; Heaton, A.L.; Miner, J.; Pringle, D.J.; Zhu, J. Thermal evolution of permeability and microstructure in sea ice. Geophys. Res. Lett. 2007, 34, L16501. [Google Scholar] [CrossRef]
- Mercier, O.R.; Hunter, M.W.; Callaghan, P.T. Brine diffusion in first-year sea ice measured by Earth’s field PGSE-NMR. Cold Reg. Sci. Technol. 2005, 42, 96–105. [Google Scholar] [CrossRef]
- Cho, H.; Shepson, P.B.; Barrie, L.A.; Cowin, J.P.; Zaveri, R. NMR investigation of the quasi-brine layer in ice/brine mixtures. J. Phys. Chem. B 2002, 106, 11226–11232. [Google Scholar] [CrossRef]
- Schulson, E.M. The brittle compressive fracture of ice. Acta Metall. Mater. 1990, 38, 1963–1976. [Google Scholar] [CrossRef]
- Peng, W.; Zhu, Y.; Zhang, J. Effects of grain size on the unixal compressive strength of polycrystalline ice. Mech. Eng. 1998, 4, 37–39. (In Chinese) [Google Scholar]
- Gao, Z.; Deng, Y.; Zhang, P.; Wang, J. Evaluation of fracture behavior of Yellow River ice based on three-point bending test and PSO-BP model. Theor. Appl. Fract. Mech. 2022, 122, 103644. [Google Scholar] [CrossRef]
- Deng, Y.; Wang, J.; Li, Z. Numerical simulation of uniaxial compression failure process of river ice. J. Hydraul. Eng. 2018, 49, 1339–1345. (In Chinese) [Google Scholar] [CrossRef]
- Liu, H.; Ji, H.; Mou, X.; Gao, G.; Zhang, B. Experimental study on Yellow River ice thickness monitoring testbased on UAV Radar technology. South-to-North Water Transf. Water Sci. Technol. 2020, 18, 217–224. (In Chinese) [Google Scholar]
- Li, Z.; Li, C.; Yang, Y.; Zhang, B.; Deng, Y.; Li, G. Physical scheme and parametrization by using air temperature and ice thickness to improve accuracy of GPR propagation velocity in Yellow River ice. J. Hydraul. Eng. 2022, 53, 902–913. (In Chinese) [Google Scholar] [CrossRef]
- Li, Z.; Jia, Q.; Zhang, B.; Leppäranta, M.; Lu, P.; Huang, W. Influences of gas bubble and ice density on ice thickness measurement by GPR. Appl. Geophys. 2010, 7, 105–113. [Google Scholar] [CrossRef]
- Li, C.; Li, Z.; Huang, W.; Zhang, B.; Deng, Y.; Li, G. Morphology dynamics of ice cover in a river bend revealed by the UAV-GPR and Sentinel-2. Remote Sens. 2023, 15, 3180. [Google Scholar] [CrossRef]
- Cao, X.; Li, C.; Yan, X.; Wu, Y.; Li, Z. Measuring ice thickness around the curve and piers in the Yellow River with ground penetrating radar. South-to-North Water Transf. Water Sci. Technol. 2016, 14, 91–95. (In Chinese) [Google Scholar]
- Huang, W.; Li, Z.; Han, H.; Jia, Q. Seasonal evolution of static freshwater lake ice microstructures and the effects of growth processes. J. Glaciol. Geocryol. 2016, 38, 699–707. (In Chinese) [Google Scholar]
- Huang, W.; Li, Z.; Niu, F.; Lin, Z. Structural features of the rmokarst lake ice in Beiluhe Basin of Qinghai-Tibet Plateau. J. Hydraul. Eng. 2011, 42, 1277–1282. (In Chinese) [Google Scholar] [CrossRef]
- Cole, D.M. The microstructure of ice and its influence on mechanical properties. Eng. Fract. Mech. 2001, 68, 1797–1822. [Google Scholar] [CrossRef]
- Lieb-Lappen, R.M.; Golden, E.J.; Obbard, R.W. Metrics for interpreting the microstructure of sea ice using X-ray micro-computed tomography. Cold Reg. Sci. Technol. 2017, 138, 24–35. [Google Scholar] [CrossRef]
- Li, Z.; Jia, Q.; Huang, W.; Li, C. Characteristics of ice crystals air bubbles and densities of fresh ice in a reservoir. J. Hydraul. Eng. 2009, 40, 1333–1338. [Google Scholar]
- Huang, W.; Lei, R.; Ilkka, M.; Li, Q.; Wang, Y.; Li, Z. The physical structures of snow and sea ice in the Arctic section of 150°-180° W during the summer of 2010. Acta Oceanol. Sin. 2013, 32, 57–67. [Google Scholar] [CrossRef]
- Li, Y.; Kipfstuhl, S.; Huang, M. Ice microstructure and fabric of Guliya ice cap in Tibetan plateau, and comparisons with vostok3G-1, EPICA DML, and north GRIP. Crystals 2017, 7, 97. [Google Scholar] [CrossRef]
- Shi, L.; Li, Z.; Niu, F.; Huang, W.; Lu, P.; Feng, E.; Han, H. Thermal diffusivity of the rmokarst lake ice in the Beiluhe basin of the Qinghai–Tibetan Plateau. Ann. Glaciol. 2014, 55, 153–158. [Google Scholar] [CrossRef]
- Faria, S.H.; Weikusat, I.; Azuma, N. The microstructure of polar ice. Part II: State of the art. J. Struct. Geol. 2014, 61, 21–49. [Google Scholar] [CrossRef]
- Li, Z.; Kang, J. Crystals and Fabrics of an Arctic Multi-Year Ice Sample. J. Glaciol. Geocryol. 2001, 23, 383–388. [Google Scholar]
- Zhang, Y.; Gao, G.; Deng, Y.; Li, Z.; Li, G.; Guo, W. Investigation on Ice Crystal, Density and Sediment Content in Ice at Different Positions in Bayannaoer Section of the Yellow River. Yellow River 2018, 40, 44–48. (In Chinese) [Google Scholar]
- Deng, Y.; Li, Z.; Wang, J.; Xu, L. The microstructure of Yellow River ice in the freezing period. Crystals 2019, 9, 484. [Google Scholar] [CrossRef]
- Beltaos, S. Progress in the study and management of river ice jams. Cold Reg. Sci. Technol. 2008, 51, 2–19. [Google Scholar] [CrossRef]
- Shen, H.T. Mathematical modeling of river ice processes. Cold Reg. Sci. Technol. 2010, 62, 3–13. [Google Scholar] [CrossRef]
- Luo, H.; Ji, H.; Gao, G.; Zhang, B.; Mou, X. Study on the characteristics of flow and ice jam in Shisifenzi bend in the Yellow River during the freeze-up period. J. Hydraul. Eng. 2020, 51, 1089–1100. [Google Scholar] [CrossRef]
- Zhang, Y.; Li, Z.; Xiu, Y.; Li, C.; Zhang, B.; Deng, Y. Microstructural Characteristics of Frazil Particles and the Physical Properties of Frazil Ice in the Yellow River, China. Crystals 2021, 11, 617. [Google Scholar] [CrossRef]
- McFarlane, V.; Loewen, M.; Hicks, F. Measurements of the evolution of frazil ice particle size distributions. Cold Reg. Sci. Technol. 2015, 120, 45–55. [Google Scholar] [CrossRef]
- Morse, B.; Richard, M. A field study of suspended frazil ice particles. Cold Reg. Sci. Technol. 2009, 55, 86–102. [Google Scholar] [CrossRef]












| Sampling Point | Longitude (E) | Latitude (S) | River Channel Type | Ice Thickness (cm) |
|---|---|---|---|---|
| SHHK1# | 108°46′24.70″ | 40°36′23.88″ | Straight River | 38 |
| DXC1# | 110°23′52.49″ | 40°25′33.00″ | Single-track bridge | 52 |
| SSFZ1# | 111°25′58.98″ | 40°17′42.67″ | Bend River | 68 |
| SSFZ2# | 111°26′44.16″ | 40°17′42.12″ | Bend River | 48 |
| SSFZ3# | 111°27′20.81″ | 40°17′40.48″ | Bend River | 32 |
| QFZ1# | 111°20′7.44″ | 40°7′12.48″ | Double-track bridge | 51 |
| QFZ2# | 111°20′8.97″ | 40°7′11.16″ | Double-track bridge | 49 |
| SXT1# | 111°19′19.63″ | 40°7′42.96″ | Shaxintan river channel | 64 |
Disclaimer/Publisher’s Note: The statements, opinions and data contained in all publications are solely those of the individual author(s) and contributor(s) and not of MDPI and/or the editor(s). MDPI and/or the editor(s) disclaim responsibility for any injury to people or property resulting from any ideas, methods, instructions or products referred to in the content. |
© 2025 by the authors. Licensee MDPI, Basel, Switzerland. This article is an open access article distributed under the terms and conditions of the Creative Commons Attribution (CC BY) license (https://creativecommons.org/licenses/by/4.0/).
Share and Cite
Leng, Y.; Li, C.; Lu, P.; Fu, X.; Hu, S. Analysis of Open-Water Changes and Ice Microstructure Characteristics in Different River Channel Types of the Yellow River in Inner Mongolia Based on Satellite Images and Field Sampling. Water 2025, 17, 1898. https://doi.org/10.3390/w17131898
Leng Y, Li C, Lu P, Fu X, Hu S. Analysis of Open-Water Changes and Ice Microstructure Characteristics in Different River Channel Types of the Yellow River in Inner Mongolia Based on Satellite Images and Field Sampling. Water. 2025; 17(13):1898. https://doi.org/10.3390/w17131898
Chicago/Turabian StyleLeng, Yupeng, Chunjiang Li, Peng Lu, Xiang Fu, and Shengbo Hu. 2025. "Analysis of Open-Water Changes and Ice Microstructure Characteristics in Different River Channel Types of the Yellow River in Inner Mongolia Based on Satellite Images and Field Sampling" Water 17, no. 13: 1898. https://doi.org/10.3390/w17131898
APA StyleLeng, Y., Li, C., Lu, P., Fu, X., & Hu, S. (2025). Analysis of Open-Water Changes and Ice Microstructure Characteristics in Different River Channel Types of the Yellow River in Inner Mongolia Based on Satellite Images and Field Sampling. Water, 17(13), 1898. https://doi.org/10.3390/w17131898
