Abstract
Groundwater is crucial for human survival and social development. In this study, ArcGIS 10.8, Origin 2024, and Excel were employed to investigate the hydrochemical properties of groundwater in the Rizhao reservoir (RZR) through statistical analysis, Durov plots, ion ratio analysis, and the entropy weight water quality index (EWQI). The analysis is based on monitoring data from six sites located both upstream and downstream of RZR, focusing on dynamic changes in groundwater quality and major ion concentrations. The findings suggest that the groundwater in RZR exhibits weak alkalinity and is categorized as hard freshwater. The predominant anion and cation are HCO3− and Ca2+, which together determine that the dominant water chemistry type in RZR is HCO3-Ca type. Groundwater ions predominantly stem from the dissolution of silicate and evaporite rocks. In comparison to the dry season, the fluctuations in groundwater parameters are more pronounced during the wet season. Between 2020 and 2022, the concentrations of most ions exhibited an upward trend. Notably, nitrate (NO3−) experienced significant fluctuations and relatively high concentrations, peaking in the wet season of 2023. The primary source of nitrate in RZR is agricultural activities. Overall, the quality of groundwater in RZR is good and suitable for human consumption. Nevertheless, the EWQI values are increasing at most monitoring sites, with the most significant rise observed at site R02. Moreover, while the upstream monitoring point exhibits better water quality, its EWQI value has increased significantly, and ion concentrations display substantial fluctuations. Local authorities are advised to adopt active measures to manage groundwater quality in RZR to ensure its sustainable use.
1. Introduction
Water is a critical natural resource essential for human survival. Groundwater is characterized by its extensive distribution, stability, and reliability. It holds substantial reserves, constituting nearly 99% of the Earth’s liquid freshwater [1]. Groundwater, which is stored at a certain depth, is relatively easy to extract and less susceptible to pollution, making it a preferred source for residential and industrial water supply. However, with the rapid increase in population and the swift development of the social economy, the consumption of resources, including groundwater, has increased significantly [2]. This has consequently resulted in the overexploitation of groundwater resources and a significant increase in water pollution incidents. Groundwater scarcity, coupled with deteriorating water quality and uneven distribution, poses a significant challenge to the sustainable development of human society. Over the past decades, these issues have given rise to a range of severe problems, including the uneven distribution of water resources, heightened risks to human health, groundwater contamination, and the degradation of aquatic ecosystems [3,4,5]. To achieve sustainable management of water resources and promote the integration of ecological, social, and economic development, it is essential to understand the water chemical signatures of groundwater and their underlying causes. Based on this understanding, groundwater resources can be developed and utilized in a scientific and rational manner to ensure that water resources meet current needs while preserving them for future generations [6,7,8,9].
Groundwater acts as a crucial intermediary between the lithosphere, biosphere, and atmosphere, facilitating energy exchange and material transfer in diverse chemical, physical, and biological processes both within the Earth and on its surface [10]. The hydrochemical composition of groundwater is dynamic, evolving over time under long-term environmental influences [11,12,13]. As groundwater migrates, it continuously interacts with surrounding soil and rock, undergoing processes such as dissolution, precipitation, and ion exchange, which significantly influence its chemical composition [14,15,16]. Groundwater functions as a primary source of drinking water in many regions, and its quality directly impacts public health. The quality of groundwater is dictated by its chemical composition, which is shaped by ongoing interactions with both the natural environment and human activities throughout the water cycle. Assessing groundwater quality is essential for broader groundwater management and protection efforts. Scientific evaluation of groundwater quality through the analysis of its hydrochemical properties offers a foundation for sustainable groundwater management [17,18,19,20,21].
Groundwater quality evaluation methods are mainly categorized into single-factor and comprehensive evaluation approaches. The single-factor evaluation method assesses groundwater quality by analyzing a single index. While this method is simple and intuitive, it cannot fully reflect the overall quality of groundwater and is easily influenced by extreme indicators [22]. Basharat et al. utilized a WQI combined with advanced remote sensing (RS) and geographic information system (GIS) technologies to perform an in-depth analysis of groundwater dynamics in Islamabad [23]. This research offered significant guidance for urban planners and policymakers. Li et al. utilized EWQI to assess groundwater quality in the North China Plain for the years 2016 and 2017. Their findings indicated that the extent of areas with very poor groundwater quality in 2017 had significantly increased compared with 2016 [24]. The EWQI calculates the weight of each water quality parameter based on information entropy. This enhances the reliability of the assessment outcomes and reduces errors associated with subjective judgment [25]. Although the application of entropy theory has shown several benefits, it still faces several limitations that need to be addressed, including: (1) entropy weights are overly dependent on objective data and do not account for the practical experience of experts [26]; (2) entropy weights are unstable and can fluctuate with changes in sample sizes and values; (3) the relationship indicators and objectives are frequently neglected when calculating weights, resulting in evaluations that are difficult to interpret and explain [26,27].
Wang et al. (2017) conducted extensive water quality surveys and monitoring over multiple years to assess the current status and trends of water quality in the RZR water source [28]. They analyzed the water quality conditions in the study area and the eutrophication levels of the water bodies and explored the trends and dynamic patterns of water quality changes. Their findings indicated that the eutrophication levels in the intake area of the Rizhao Reservoir water source have been increasing annually [28]. Wang et al. (2012), based on the current situation and pattern of water environment pollution in RZR, carried out a water quality evolution trend and pollutant control analysis and discussed the water environment impact assessment and protection of centralized water supply source type surface water bodies [29]. In the Rizhao reservoir, groundwater functions as a critical water source and a key element of the ecological environment, significantly influencing the lives and economic development of local communities. However, a few recent studies have examined the dynamic changes in groundwater quality in the Rizhao reservoir.
This research employs long-term monitoring data from six monitoring points situated both upper and lower of the RZR. By integrating mathematical statistics and water chemistry analysis, this study aims to achieve the following objectives: (1) to thoroughly investigate the water chemical signatures and main sources of ions in groundwater in RZR; (2) to elucidate the dynamic change in primary ion contents in groundwater; and (3) to assess the quality of groundwater and its dynamic changes over time. This research provides valuable insights into the sustainable use, management, and protection of groundwater resources in the RZR.
2. Study Area
Figure 1 presents a location map of the Rizhao reservoir produced by ArcGIS 10.8. The Rizhao reservoir is located in Donggang District, Rizhao City, with geographical coordinates spanning from 35°25′ N to 35°40′ N and from 119°00′ E to 119°15′ E. In the middle and upper reaches of the Futuan River in the coastal water system, the reservoir lies in the western part of Donggang District. The region has a temperate monsoon climate with an average annual temperature of 12.7 °C. Precipitation is on the high side, with a multi-year average of 869.3 mm, which is the high-value area of precipitation in Shandong Province. Precipitation is predominantly concentrated in the summer months. The reservoir’s catchment area spans 548 km2, and its upstream basin consists of a low-mountain hilly area with effective soil and water conservation measures in place. The basin is fed by two main tributaries, the Sanzhuang River and the Shentuan River. The controlled basin area is 56 km2, and the total storage capacity of these reservoirs and ponds is 24.29 million m3.
Figure 1.
Location map and monitoring points in RZR.
From a regional topographical perspective, the reservoir basin has an oval shape, with the overall terrain sloping from higher elevations in the west to lower elevations in the east. The upper reaches, particularly the western and northern parts, consist of shallow mountainous areas that cover approximately 40% of the basin area and have elevations ranging from 200 to 400 m. The highest peak in the northern watershed, Qilian Mountain, reaches an elevation of 695 m. In these mountainous areas, the exposed rock strata are predominantly gneiss, and the soil is mostly sandy. The middle and lower reaches are characterized by hilly terrain, which occupies 20% of the basin area, while the valley plains account for 40%. The reservoir lies in the Jiaonan Platform Arch, where the strata belong to the Ludong stratigraphic subdivision. The distribution of these strata is significantly influenced by the Earth’s tectonic structure, particularly the extensive presence of various types of gneisses from the Neoproterozoic Nanhuaji–Rongcheng sequence. The geotectonic units in this region include the Sulu orogenic belt, the Jiaonan–Weihai uplift area, and the Jiaonan fault ridge, with the Wenlanshan bulge being a notable feature. The orientation of metamorphic rocks in this area is predominantly northeast–southwest, aligning with the dip direction of the anticlinal axes due to the control of compound anticlinal and oblique dipping structures [30].
Based on the hydrological properties of the aquifer and the lithological combinations, the aquifer is categorized into two groups: loose rock aquifers and bedrock aquifers. Further classification is made according to the porosity characteristics of each aquifer group and the nature of the groundwater stored within them, distinguishing between loose rock pore water and bedrock fracture water.
Loose rock pore water in the alluvial sand and gravel layer is confined to the downstream area of the river. The aquifer consists of medium-coarse sand and pebble gravel layers. Due to the small scale of the river, the thickness of the sand layer is relatively thin, typically less than 3 m. The depth of the groundwater level ranges from 1 to 2 m, with seasonal variations of 1 to 2 m annually. The water influx of a single well generally ranges from 500 to 1000 m3/d. Loose rock pore water in the residual slope layer is distributed in the upstream area of the river, in the hills and valleys between mountains, and on the slopes in front of mountains. The thickness of the quaternary system is generally less than 5 m. The aquifers are thin sand interlayers or ginger stone layers, which are the most common types of water. The groundwater level varies significantly with the seasons, with an annual variation of about 2 m. The depth of the water level ranges from 2 to 3 m, and the water-rich nature is weak [30].
Layered rock fracture water is found in the low hills surrounding the Rizhao Reservoir. The water-bearing layers are weathered fractures in various types of gneiss and zones of tectonic fracture development. The depth of groundwater ranges from 1 to 5 m, with an annual variation of 1 to 2 m. The water level and volume change significantly with the seasons. Block-type fracture water-bearing rock layers consist of weathered fractures and tectonic fracture zones in diorite, granite, and subvolcanic rocks. The depth of groundwater ranges from 1 to 3 m. The water-bearing layers are weathered fractures and tectonic fracture zones in various types of gneiss [30].
Atmospheric precipitation serves as the main source of groundwater recharge. This is evident in the close correlation between fluctuations in groundwater levels and volumes within the same bedrock of the quaternary system and the spatial and temporal distribution of precipitation, particularly for bedrock fracture water [30]. Under natural conditions, groundwater primarily discharges into surface water bodies such as nearby rivers and streams through lateral runoff. It is also released through soil evaporation and plant transpiration. However, as the region continues to develop economically and socially, the impact of production activities on groundwater is becoming increasingly evident.
3. Materials and Methods
3.1. Collecting and Measuring
This research selected six monitoring points in the upstream and downstream regions of the Rizhao reservoir, with a sampling period spanning from 2018 to 2023. Samples were collected twice annually during the dry and wet seasons. In this study, monitoring wells were drilled at the selected points to depths of 13.7, 15, 7.45, 11.6, 2.65, and 6.5 m. During the dry season, the average groundwater level at these sampling points was 4.06 m, whereas during the wet season, it was 3.33 m. To ensure the freshness of the samples, two 500 milliliter polyethylene bottles were used at each sampling point and drawn steadily for 5 to 10 min before sampling. Each sampling bottle was rinsed at least three times with the groundwater to be sampled, ensuring that the water samples were free of impurities. After filling the bottles completely and removing any air bubbles, they were labeled, refrigerated, and transported to the laboratory for water quality testing within a week. Comprehensive water quality analyses were conducted in the laboratory. The pH value was determined with an acidity meter (PHS-3C, REX, Shanghai, China), while cations (e.g., Na+, Ca2+, etc.), total dissolved solids (TDS), and total hardness (TH) were analyzed using an inductively coupled plasma emission spectrometer (ICP, Optima 7000DV, PerkinElmer, Waltham, MA, USA). Inductively coupled plasma emission spectroscopy does not directly yield TDS and TH values. However, these parameters can be calculated from data obtained through ICP measurements. Anions (e.g., Cl−, SO42−, etc.) were measured using an ion chromatograph (ICS-600, Thermo Fisher, Waltham, MA, USA), with bicarbonate (HCO3−) determined by titration. To ensure data accuracy, charge balance error (CBE) calculations were conducted on all water samples. The results showed that the CBE values for all samples were within ±5%, thereby validating the reliability of the groundwater monitoring in this study [31].
3.2. Water Quality Assessment
In this research, EWQI was utilized to evaluate the groundwater quality in RZR over recent years. Unlike the traditional WQI, EWQI employs information entropy to assign weights to individual parameters. This method reduces the impact of human subjectivity in weight allocation, thereby enhancing the objectivity of the evaluation outcomes [32]. In contrast to traditional single-factor evaluation methods, the EWQI takes into account multiple water quality parameters and offers a more comprehensive assessment of overall water quality. As a result, the EWQI was selected for this study to enhance the reliability and accuracy of groundwater quality evaluation.
The key indicators selected for this study include pH, Na+, TDS, NO3−, SO42−, TH, Cl−, and F−. The detailed process is outlined below [33]:
- 1.
- Construct an initial water quality matrix:
- 2.
- Normalize data:
- 3.
- Here, min(xij) and max(xij) denote the minimum and maximum values of the corresponding water quality parameter across all samples.
- 4.
- Calculate the ratio, information entropy, and weight. The next steps involve calculating the information entropy (Ej), and the entropy weight (wj) using the following equations:
- 5.
- Determine the level of groundwater quality:where cij is the jth index measured in the ith sample, sj is the standard allowable value of the jth index of China’s groundwater quality standard, and qj is the quality evaluation quantity.
- 6.
- Calculate EWQI:
4. Results and Discussion
4.1. Statistical Characterisation
Table 1 and Figure 2 present the findings of monitoring points in RZR from 2018 to 2023. The pH in RZR varied between 6.52 and 8.79, with a mean of 7.46, indicative of a weakly alkaline groundwater environment. TH values spanned from 78.18 mg/L to 586.47 mg/L, averaging 300.90 mg/L.TDS varied between 149.62 mg/L and 1130.02 mg/L, averaging 519.17 mg/L. Based on classifications of TDS and TH, the majority of groundwater samples from RZR are categorized as freshwater (TDS < 1000 mg/L), with only one sample from 2018 exceeding this threshold, classifying it as brackish water. In terms of hardness, the majority of samples were categorized as microhard or hard water. Although the distribution of water samples in the graph shows minor annual variations, the overall stability suggests that the chemical properties of the groundwater have remained relatively consistent over the study period.
Table 1.
Groundwater chemical composition statistics.
Figure 2.
(a) Chemical composition box plot (b) TH vs. TDS.
The groundwater in RZR exhibited distinct ionic compositions, with Ca2+ being the dominant cation, showing concentrations varying between 18.05 mg/L and 149.50 mg/L, with an average of 79.91 mg/L. Na+ was the second most prevalent cation, with concentrations varying between 4.96 mg/L and 141.00 mg/L, averaging 38.47 mg/L. Among the anions, HCO3− exhibited the highest concentrations, which ranged from 70.06 mg/L to 569.05 mg/L, with an average concentration of 199.35 mg/L. This was followed by SO42−, which had concentrations between 19.99 mg/L and 160.99 mg/L. The concentrations of cations followed the sequence Ca2+ > Na+ > Mg2+ > K+, whereas those of anions were ordered as HCO3− > SO42− > NO3− > Cl−. Notably, nitrate concentrations ranged from 2.2 mg/L to 272.72 mg/L, with an average concentration of 87.45 mg/L. This elevated nitrate level indicates substantial anthropogenic influence on the groundwater, reflecting significant environmental degradation.
The Durov diagram, introduced by Durov in 1948, is a widely used tool for characterizing the chemical composition of groundwater. Unlike the Piper trilinear diagram, the Durov diagram offers additional insights by not only illustrating the chemical type of water but also displaying TDS content and the pH values of the samples. This provides a more comprehensive understanding of the water’s chemical properties. As illustrated in Figure 3, the majority of samples are located in zone ②, with a few in zone ① and only a minority in zone ④. Based on Figure 3, the dominant chemical type of groundwater in RZR is Ca-HCO3.
Figure 3.
Durov water chemistry type diagram.
4.2. Factors Controlling Groundwater Hydrochemistry
Ion Ratio Analysis
The analysis of the properties and interrelationships of major ions in groundwater is a crucial tool for identifying their sources [34]. The primary origin of Na+ and Cl− ions in groundwater is the dissolution of halite within sedimentary rocks. Theoretically, if the dissolution of halite is the main source of these ions, the concentration ratio of Na+ to Cl− would be expected to be 1:1 [35]. However, data from groundwater monitoring in RZR between 2018 and 2023 reveal a different pattern (as shown in Figure 4a). Most samples exhibit Na/Cl ratios exceeding 1, with some data points clustering near or straddling the Na/Cl = 1 line. Na+ and Cl− in water samples located on the 1:1 line primarily originate from the dissolution of halite. For water samples positioned to the right of the 1:1 line, the relatively high Na+ content may stem from the dissolution of silicate rocks or sodium ion exchange processes. Conversely, Cl− ions in samples on the left side of the line are likely influenced by anthropogenic activities. However, the relatively small number of water sample points falling on the 1:1 line suggests that salt-rock dissolution is not a major source of these ions. Therefore, changes in the concentrations of Na+ and Cl− in groundwater are likely the result of multiple interacting factors. Therefore, the variations in sodium and chloride ion concentrations in groundwater are likely the result of multiple interacting factors.
Figure 4.
Plot of ionic ratios in groundwater in RZR, (a) Cl− vs. Na+, (b) (SO42−+HCO3−)/(Ca2++Mg2+), (c) SO42− vs. Ca2+, (d) variations in Cl−/Na+ with NO3−/Na+.
If gypsum dissolution were the sole source of Ca2+ and SO42− in groundwater, the [Ca2+]/[SO42−] ratio would theoretically equal 1 [36]. However, the distribution of groundwater samples in RZR is predominantly on either side of the 1:1 line (Figure 4b). This suggests that gypsum dissolution may not be the only source of Ca2+ and SO42−.
The source of Ca2+ and Mg2+ can be deduced based on the milligram equivalent ratio of (Ca2+ + Mg2+) to (HCO3− + SO42−). Specifically, a ratio of (Ca2+ + Mg2+) to (HCO3− + SO42−) greater than 1 indicates that Ca2+ and Mg2+ mainly originate from the weathering of silicate and evaporite saline rocks. In contrast, if the ratio is less than 1, it suggests that these ions primarily originate from the weathering of carbonate rocks [37]. As depicted in Figure 4c, from 2018 to 2023, the majority of monitoring sites in RZR exhibited a (Ca2+ + Mg2+)/(HCO3− + SO42−) ratio greater than 1. This distribution pattern indicates that Ca2+ and Mg2+ ions in the RZR are predominantly sourced from the dissolution of silicate and evaporite rocks. Only a few water sample points were influenced by carbonate dissolution.
In the Cl−/Na+ versus NO3−/Na+ ratio maps, distinct regions reflect varying groundwater chemistry characteristics and their influencing factors. Specifically, the upper right-hand corner typically represents areas significantly impacted by agricultural activities, while the lower left-hand corner indicates regions dominated by carbonate and silicate weathering. The lower right-hand corner, in contrast, signifies areas influenced by urban development and evaporite dissolution. These ratio maps are commonly utilized to identify the sources of Cl− and NO3− in groundwater and their dominant factors [2,38]. As depicted in Figure 4d, the Cl−/Na+ to NO3−/Na+ ratios in groundwater samples from RZR are generally high, with sampling sites primarily concentrated in areas influenced by agricultural activities. This distribution pattern suggests that the groundwater in RZR is significantly affected by human activities, particularly agricultural production, such as fertilizer use and agricultural drainage, which are the main sources of NO3−. Meanwhile, a portion of the Cl− originates from the dissolution of evaporite rocks.
4.3. Characterization of Changes in the Content of Major Ions in Groundwater
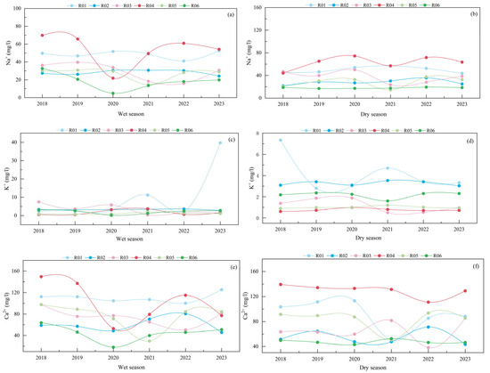
Regular monitoring of groundwater indicators facilitates the rapid identification of water quality trends and enables in-depth analysis of groundwater quality conditions [39]. These analyses furnish vital scientific evidence for the rational utilization of groundwater. In this study, data from six monitoring sites (R01, R02, R03, R04, R05, and R06) in RZR were analyzed over the period from 2018 to 2023. The dynamic changes in the concentrations of major ions during both wet and dry seasons were examined, as illustrated in Figure 5 and Figure 6. Figure 5 specifically depicts the dynamic changes in major cations in groundwater within RZR.

Figure 5.
Dynamic curves of major cation contents in groundwater, (a,c,e,g) wet season, (b,d,f,h) dry season.

Figure 6.
Dynamic curves of major anions content in groundwater, (a,c,e,g) wet season, (b,d,f,h) dry season.
Overall, the volatility of groundwater parameters is significantly higher during the wet season compared with the dry season. Higher volatility in a given year typically indicates a deterioration in water quality. Na+ and Mg2+ concentrations remained relatively stable, with only a few years exhibiting high volatility. In contrast, K+ showed a linear increase during the wet season starting from 2022 (Figure 5c), while during the dry season, it decreased linearly after 2018 before gradually increasing (Figure 5d). Ca2+ exhibited a pattern of decreasing and then increasing, with a gradual decline from 2018 to 2020, followed by a gradual rebound from 2020 to 2022.
Cl− exhibited a pattern of gradual decrease followed by an increase, with a slow decline in concentration from 2018 to 2020 and a subsequent slow rise from 2020 to 2022. The temporal variation in SO42− exhibited distinct characteristics compared with other parameters, with more pronounced fluctuations observed during the dry season than during the wet season. This pattern may be related to human activities (e.g., see Figure 6c,d). In contrast, HCO3− exhibited relatively stable fluctuations during both the wet and dry season (Figure 6e,f). NO3− displayed significant fluctuations, with relatively high concentrations peaking in 2023 (wet season) and 2018 (dry season). The primary sources of NO3− were domestic sewage discharge and the development of agriculture and animal husbandry.
A comparison of the two upstream monitoring points, R05 and R06, in the Rizhao reservoir revealed that, from 2018 to 2023, most ion concentrations in R05 were higher and exhibited greater fluctuations than those in R06, with the exception of potassium (K+), which was lower in R05 than in R06. When comparing the upstream monitoring points (R05 and R06) with the downstream points (R01, R02, R03, and R04), the ion concentrations in the upstream points were generally lower than those in the downstream points, particularly for R06. Notably, R01 and R04 consistently had higher ion concentrations than the other monitoring points.
In summary, the primary factors contributing to temporal variations in groundwater quality in RZR are seasonal changes in atmospheric precipitation, which influence groundwater recharge and human activities, including domestic sewage discharge, agricultural and livestock development, and urban construction. Additionally, seasonal climatic conditions impact groundwater circulation and water quality. For instance, during the wet season, increased precipitation enhances groundwater recharge, potentially altering the concentrations of certain ions. Conversely, in the dry season, reduced precipitation diminishes groundwater recharge, slowing the rate of groundwater circulation and thereby affecting the stability of water quality parameters [40].
4.4. Variation Characteristics of Groundwater Quality
Groundwater quality in RZR is classified into five categories ranging from “very poor” to “very good”, based on the calculated EWQI values, as shown in Table 2. Typically, an EWQI value above 100 suggests that the water is unfit for drinking [41,42].
Table 2.
The classification chart of EWQI.
Based on comprehensive groundwater dynamic monitoring data, this study used EWQI to evaluate the groundwater quality of six monitoring points (R01, R02, R03, R04, R05, and R06) in RZR. The results show that the EWQI values range from 8.96 to 82.33, with a mean value of 42.16. Specifically, 21.43% of the groundwater samples were categorized as very good (15 samples), 44.29% as good (31 samples), and 34.29% as medium water (24 samples). Collectively, the groundwater quality in RZR is excellent and suitable for drinking purposes.
Figure 7 illustrates the temporal variations in EWQI values at each monitoring site from 2018 to 2022. As depicted in Figure 1, four water sampling points—R01, R02, R03, and R04—are located downstream of the Rizhao Reservoir, while R05 and R06 are situated upstream. Figure 7 shows that EWQI values at most monitoring points exhibited an increasing trend. Notably, R02 displayed the most significant increase, while R03 experienced a slight decrease, and R01 showed minimal fluctuation. On average, the water quality at R02 and R06 was slightly better than at other sites. However, the EWQI value of R02 increased annually, and that of R04, although generally increasing, showed substantial fluctuation. The EWQI value of R05 initially remained stable, then decreased and subsequently increased, aligning closely with the trend of its main ion content. Similarly, the EWQI value of R06 fluctuated significantly, mirroring the trend of its ion content. In contrast, changes at R01 were relatively stable and minimal. Overall, despite the excellent overall groundwater quality in RZR, the increasing trend in water quality at some monitoring locations is concerning, particularly given the gradual increase in ionic content at these sites.
Figure 7.
Temporal variation in the EWQI values in groundwater, (a) R01, (b) R02, (c) R03, (d) R04, (e) R05 (upstream water sampling point), (f) R06 (upstream water sampling point).
Compared with another upstream monitoring point (R05) in the Rizhao Reservoir, R06 exhibited a relatively lower EWQI value, indicating better water quality. However, R06 showed significant fluctuations and an overall upward trend in EWQI values, suggesting that groundwater quality in this area requires careful management and control. When comparing upstream and downstream monitoring points, it was observed that despite better water quality at the upstream points, the EWQI values increased markedly. These upstream points, particularly those with rising EWQI values, warrant special attention for groundwater quality management.
4.5. Results
Statistical analyses reveal that the average pH value in RZR is 7.46, indicating a weakly alkaline groundwater environment. The primary cations and anions in the RZR groundwater are Ca2+ and HCO3−, respectively, which characterize the groundwater as predominantly of the Ca-HCO3. The ions in the RZR groundwater primarily stem from the dissolution of silicate and evaporite rocks. Agricultural activities are the primary source of nitrate concentration in the RZR. Groundwater parameter fluctuations are more pronounced in the rainy season than in the dry season. Ion concentrations at most monitoring sites exhibit a trend of initially decreasing and then increasing, with an overall upward trend from 2020 to 2023. Upstream sites generally have lower ion concentrations than downstream sites, especially at R06. NO3− concentrations show significant fluctuations and relatively high values, peaking during the 2023 wet season. EWQI values in the RZR are on the rise at most sites, with the most notable increase observed at R02, which warrants attention.
4.6. Suggestions on Management, Utilization, and Protection of Groundwater Resources
Groundwater serves as the primary source of drinking and production water in RZR, playing a crucial role in supporting daily life, industrial production, and agricultural development. To ensure effective management and utilization of groundwater resources and to achieve their sustainable use, the following measures are proposed:
- (1)
- Strengthen groundwater monitoring and resource assessment: clarify the objectives and tasks of groundwater monitoring. Scientifically plan the layout of the monitoring network, establishing groundwater monitoring wells in key areas and around urban centers. Regularly monitor groundwater levels, water quality, and other relevant indicators to promptly track dynamic changes in groundwater conditions [43]. Conduct comprehensive assessments of groundwater resources on a regular basis, covering aspects such as reserves, recharge, and extraction, to offer a scientific foundation for rational development and utilization [44].
- (2)
- Rational planning and management of groundwater: develop groundwater protection and utilization plans based on the carrying capacity of water resources and clearly define extraction restrictions and protection goals [44]. In areas with over-exploitation of groundwater and ecologically sensitive regions, delineate restricted and prohibited extraction zones to strictly control groundwater exploitation.
- (3)
- Strengthen pollution prevention and control: to address agricultural pollution, promote the adoption of scientific planting techniques, and minimize the application of chemical fertilizers and pesticides. For industrial pollution, enhance regulatory oversight to prevent the discharge of untreated wastewater [45]. Employ bioremediation and chemical remediation technologies to treat contaminated groundwater. Additionally, delineate key areas for groundwater pollution prevention and control, implement zoning management and graded prevention strategies, improve the groundwater environmental monitoring network, and conduct surveys and assessments of pollution status and risk mitigation.
- (4)
- Promote scientific and technological innovation: Increase investment in the research and development of technologies for groundwater monitoring, protection, and remediation to enhance groundwater management. Leverage big data and the Internet of Things to achieve the informatization and intelligent management of groundwater resources [46].
Groundwater is a critical component of the ecosystem and a primary source of drinking water, playing a vital role in both agriculture and industry. Effective management and sustainable utilization of groundwater resources are essential for maintaining ecological balance, ensuring water security, promoting economic development, protecting human health, and achieving social equity and sustainable development. These objectives are not only urgent tasks but also necessary to realize the harmonious coexistence between humans and nature.
5. Conclusions
In the Rizhao Reservoir, groundwater significantly influences the livelihoods and economic development of the local community. However, existing research on the hydrochemistry and water quality of groundwater in RZR remains inadequate. Fewer studies have analyzed the dynamics of its chemical content and water quality. Using statistical analyses, Durov diagrams, ion ratio analyses, and EWQI, this study aims to investigate the hydrochemical characteristics and major ion sources of groundwater in the RZR and to elucidate the dynamic changes in major ion contents and groundwater quality. The following key conclusions were obtained:
- (1)
- In RZR, the average groundwater pH was 7.46, indicating a weakly alkaline condition. According to water quality classification, the majority of water samples were categorized as hard freshwater. The dominant cations and anions were Ca2+ and HCO3−, characterizing the groundwater as primarily of the Ca-HCO3 type.
- (2)
- The ions in groundwater in RZR primarily originate from the dissolution of silicate and evaporite rocks. The elevated nitrate concentrations in RZR are mainly attributed to agricultural activities.
- (3)
- Ion concentrations at most monitoring sites exhibited a trend of initial decrease followed by an increase, with an overall upward trend from 2020 to 2023. Fluctuations in groundwater parameters were more pronounced during the wet season compared with the dry season. Upstream sites generally had lower ion concentrations than downstream sites, particularly at R06. NO3− concentrations showed significant fluctuations, reaching relatively high values that peaked during the 2023 wet season.
- (4)
- Although the overall EWQI values indicate that the water quality in the RZR is relatively good, an increasing trend in EWQI values was observed at most monitoring sites, with the most significant rise at R02. This trend warrants attention.
In this study, the temporal variation in groundwater hydrochemical characteristics and drinking water quality was studied, and the spatial distribution was slightly lacking. In the follow-up study, we should pay attention to this part and continue to monitor and analyze data from the past two years. Moreover, based on the study’s results, proactive measures to manage groundwater quality in RZR are recommended. These measures provide valuable insights into the sustainable utilization, management, and protection of groundwater resources in the RZR.
Author Contributions
Y.L.: Conceptualization, methodology, writing-original draft. X.L.: Formal analysis, investigation, methodology, writing-draft. J.Y.: Investigation, supervision, writing-review and editing. H.T.: Resources. T.W.: Resources. M.W.: Supervision, resources. Y.D.: Resources. J.F.: Methodology. Y.Z.: Resources. P.Y.: Supervision. All authors have read and agreed to the published version of the manuscript.
Funding
This research was funded by the Basic Survey and Monitoring of Water Resources in the Rizhao Reservoir, grant number [DZG202402].
Data Availability Statement
The datasets used and/or analyzed during the current study are available from the corresponding author upon reasonable request.
Conflicts of Interest
The authors declare no competing interests.
References
- Thierry, P. The United Nations World Water Development Report 2022, on groundwater, a synthesis. LHB 2022, 108, 2090867. [Google Scholar]
- Lu, Y.; Dai, L.; Yan, G.; Hu, T.; Chen, W.; Lan, J.; Zhang, C.; Xu, Q.; Deng, S.; Chen, J. Effects of various land utilization types on groundwater at different temporal scales: A case study of Huocheng plain, Xinjiang, China. Front. Environ. Sci. 2023, 11, 1225916. [Google Scholar] [CrossRef]
- Zhang, Q.; Sun, J.; Dai, C.; Zhang, G.; Wu, Y. Sustainable development of groundwater resources under the large-scale conversion of dry land into rice fields. Agric. Water Manag. 2024, 298, 108851. [Google Scholar] [CrossRef]
- Sidiropoulos, P. Groundwater Pollution: Sources, Mechanisms, and Prevention. Hydrology 2024, 11, 98. [Google Scholar] [CrossRef]
- Lv, X.; Liu, J.; Han, Z.; Zhu, L.; Li, H. Characteristics and Causes of High-manganese Groundwater in Pearl River Delta During Urbanization. Huan Jing Ke Xue 2022, 43, 4449–4458. [Google Scholar]
- Aghazadeh, N.; Chitsazan, M.; Golestan, Y. Hydrochemistry and quality assessment of groundwater in the Ardabil area, Iran. Appl. Water Sci. 2017, 7, 3599–3616. [Google Scholar] [CrossRef]
- Mainuddin, M.; Gaydon, D.; Janardhanan, S.; Kirby, J.; Mojid, M.; Kumar, S.; Davies, P.; Singh, S.; Penton, D. Sustainable groundwater use in the Eastern Gangetic Plains requires region-specific solutions. Groundw. Sustain. Dev. 2022, 18, 100798. [Google Scholar] [CrossRef]
- Aghamir, F. Priorities and potential challenges of sustainable management of ultra-deep groundwater resources in Iran. Groundw. Sustain. Dev. 2024, 26, 101192. [Google Scholar] [CrossRef]
- Li, B.; Xiang, X.; Wu, Q.; Wang, J.; Zeng, Y.; Li, T. Comparison of multiple methods for identifying water sources of mine water inrush and quantitative analysis of mixed water sources based on isotope theory. Earth Sci. Inform. 2024, 18, 26. [Google Scholar] [CrossRef]
- Liu, J.; Gao, Z.; Feng, J.; Wang, M. Identifification of the hydrochemical features, genesis, water quality and potential health hazards of groundwater in Dawen River Basin, North China. Ecol. Indic. 2023, 149, 110175. [Google Scholar] [CrossRef]
- Adamidis, A.; Gkiougkis, I.; Kallioras, A.; Angelidis, P.; Pliakas, F. Hydrochemical Assessment of Groundwater and Dominant Water-Rock Interactions in Ooeides Aquifer System, North Greece. J. Geosci. Environ. Prot. 2024, 12, 73–101. [Google Scholar] [CrossRef]
- Li, C.; Men, B.; Yin, S. Analysis of Groundwater Chemical Characteristics and Spatiotemporal Evolution Trends of Influencing Factors in Southern Beijing Plain. Front. Environ. Sci. 2022, 10, 913542. [Google Scholar] [CrossRef]
- Yang, J.; Tao, Y.; Gao, Y.; Wang, L.; Kang, B. Experimental study on the water–rock interaction mechanism in a groundwater heat pump reinjection process. J. Water Clim. Chang. 2022, 13, 1516–1533. [Google Scholar] [CrossRef]
- Zhu, M.; Chen, J.; He, C.; Ren, S.; Liu, G. Multi-method characterization of groundwater nitrate and sulfate contamination by karst mines in southwest China. Sci. Total Environ. 2024, 946, 174375. [Google Scholar] [CrossRef]
- Liu, W.; Xing, X.; Zou, Y.; Li, X.; Gao, Y.; Liu, Y.; Zhu, X.; Qi, S. Novel insights into PAHs accumulation and multi-method characterization of interaction between groundwater and surface water in middle Yangtze River: Hydrochemistry, isotope hydrology and fractionation effect. Sci. Total Environ. 2024, 958, 178023. [Google Scholar] [CrossRef]
- Ismail, A.H.; Shareef, M.A.; Hassan, G.; Alatar, F.M. Hydrochemistry and water quality of shallow groundwater in the Tikrit area of Salah Al Din Province, Iraq. Appl. Water Sci. 2023, 13, 197. [Google Scholar] [CrossRef]
- Yarlanki, K.; Vadithya, G.; Etikala, B.; Golla, V. Hydrogeochemical Characterization and Source Evaluation of Groundwater Contamination in Parts of the Uddanam CKDu Area, Southern India: Integrating Statistical, Geochemical Modeling, Pollution, and Health Indices. Int. J. Environ. Res. 2025, 19, 68. [Google Scholar] [CrossRef]
- Zhang, B.; Hu, X.; Yang, Y.; Deng, X.; Li, B.; Gong, X.; Xiang, X.; Cai, X.; Liu, T. Comprehensive evaluation of groundwater quality in population-dense and extensive agricultural regions and study on its relationship with agricultural production and human activities. Environ. Geochem. Health 2025, 47, 62. [Google Scholar] [CrossRef] [PubMed]
- Azat, S.; Kuldeyev, E.; Khalkhabay, B.; Baikadamova, A.; Sultakhan, S.; Berndtsson, R. Pathogen Contamination of Groundwater Affecting Drinking Water Quality with Potential Health Effects in Pavlodar Region, Kazakhstan. Water 2024, 16, 2970. [Google Scholar] [CrossRef]
- Das, C.; Das, S. Acceptability of MEREC criteria compared to existing weighted WQI models to assess coastal groundwater quality in eastern India. J. Coast. Conserv. 2023, 27, 44. [Google Scholar] [CrossRef]
- Al Saleh, H.; Nehaba, S. Evaluating groundwater vulnerability and assessing its quality for sustainable management, South African. J. Chem. Eng. 2024, 50, 291–298. [Google Scholar]
- Pan, L.; Huang, X.; Wei, X.; Zhang, L. A Comparative Analysis of Three Common Water Quality Evaluation Methods. China Rural. Water Hydropower 2019, 0, 51–55. [Google Scholar]
- Basharat, H.; Ahmed, T.; Ahmad, S.; Zahir, M.; Scholz, M. Integrating Water Quality Index and Advanced Geographic Information System for Groundwater Quantity and Quality Mapping: Insights from Islamabad’s Aquifer. Sustainability 2025, 17, 1373. [Google Scholar] [CrossRef]
- Li, C.; Gao, Z.; Chen, H.; Wang, J.; Liu, J.; Li, C.; Teng, Y.; Liu, C.; Xu, C. Hydrochemical analysis and quality assessment of groundwater in southeast North China Plain using hydrochemical, entropy-weight water quality index, and GIS techniques. Environ. Earth Sci. 2021, 80, 523. [Google Scholar] [CrossRef]
- Ahmad, S.; Umar, R.; Ahmad, I. Assessment of groundwater quality using Entropy-Weighted Quality Index (EWQI) and multivariate statistical techniques in Central Ganga plain, India. Environ. Dev. Sustain. 2024, 26, 1615–1643. [Google Scholar] [CrossRef]
- Xu, H.; Ma, C.; Lian, J.; Xu, K.; Chaima, E. Urban flooding risk assessment based on an integrated k-means cluster algorithm and improved entropy weight method in the region of Haikou, China. J. Hydrol. 2018, 563, 975–986. [Google Scholar] [CrossRef]
- Gao, Y.; Qian, H.; Ren, W.; Wang, H.; Liu, F.; Yang, F. Hydrogeochemical characterization and quality assessment of groundwater based on integrated-weight water quality index in a concentrated urban area. J. Clean. Prod. 2020, 260, 121006. [Google Scholar] [CrossRef]
- Wang, X.; Li, H.; Huang, L.; Zheng, Z. Study on the current status and changing trend of water quality in the Rizhao Reservoir water source. Anhui Agric. Sci. Bull. 2017, 23, 88–91. [Google Scholar]
- Wang, J.; Zhang, L.; Zhang, H.; Qin, P. Environmental impact assessment and protection of the Rizhao Reservoir. Shandong Land Resour. 2012, 28, 13–15+21. [Google Scholar]
- Ge, W.; Wang, J.; Xun, Z.; He, Z. Comprehensive geological analysis of the Rizhao Reservoir and surrounding areas. Shandong Land Resour. 2015, 31, 46–49+54. [Google Scholar]
- Wu, D.; Li, B.; Li, Y.; Li, Q.; Sheng, C.; Liu, J.; Wang, M.; Min, Y.; Feng, J.; Zhang, Y.; et al. Characterization of Groundwater Hydrochemistry and Temporal Dynamics of Water Quality in the Northern Baiquan Spring Basin. Water 2024, 16, 2519. [Google Scholar] [CrossRef]
- Nisar, U.; Rehman, W.; Saleem, S.; Taufail, K.; Rehman, F.; Farooq, M.; Ehsan, S. Assessment of water quality using entropy-weighted quality index, statistical methods and electrical resistivity tomography, Moti village, northern Pakistan. J. Contam. Hydrol. 2024, 264, 104368. [Google Scholar] [CrossRef]
- Liu, N.; Chen, M.; Gao, D.; Wu, Y.; Wang, X. Identification of hydrogeochemical processes in shallow groundwater using multivariate statistical analysis and inverse geochemical modeling. Environ. Monit. Assess. 2025, 197, 135. [Google Scholar] [CrossRef] [PubMed]
- Li, X.; Li, K.; Li, S.; Li, Z.; Wang, L.; Guo, W. Source tracing analysis of the exceedance of NH3-N and CODMn in shallow groundwater in the central typical area of the Yangtze River Delta. Sci. Rep. 2024, 14, 28544. [Google Scholar] [CrossRef]
- Alezabawy, K.; Eissa, M.; Salem, Z. Hydrogeochemical and isotopic investigations of groundwater in the reclaimed desert located between EL Nasr canal and Mariut Tableland, NW Coast, Egypt. Sci. Rep. 2024, 14, 21172. [Google Scholar] [CrossRef]
- He, Q.; Pan, Y.; Zeng, M.; Wang, S.; Shi, H.; Huang, C.; Peng, H. Assessment of groundwater hydrochemistry, water quality, and health risk in Hainan Island, China. Sci. Rep. 2023, 13, 12104. [Google Scholar]
- Zhou, Z.; Huang, Q.; Wang, Y.; Li, F.; Liang, J.; Xiong, J. Recharge Sources and Hydrochemical Evolution Mechanism of Surface Water and Groundwater in Typical Karst Mining Area. Huanjing Kexue 2024, 45, 5264–5276. [Google Scholar]
- Hua, K.; Xiao, J.; Li, S.; Li, Z. Analysis of hydrochemical characteristics and their controlling factors in the Fen River of China. Sustain. Cities Soc. 2020, 52, 101827. [Google Scholar] [CrossRef]
- Xiao, J.; Wang, L.; Chai, N.; Liu, T.; Jin, Z.; Rinklebe, J. Groundwater hydrochemistry, source identification and pollution assessment in intensive industrial areas, eastern Chinese loess plateau. Environ. Pollut. 2021, 278, 116930. [Google Scholar] [CrossRef]
- Reading, L.; Gurieff, L.; Catania, S. Sustainable Groundwater Management through Collaborative Local Scale Monitoring. Water Resour. Manag. 2024, 39, 725–740. [Google Scholar] [CrossRef]
- Neidhardt, H.; Shao, W. Impact of climate change-induced warming on groundwater temperatures and quality. Appl. Water Sci. 2023, 13, 235. [Google Scholar] [CrossRef]
- Yang, Y.; Li, P.; Elumalai, V.; Ning, J.; Xu, F.; Mu, D. Groundwater Quality Assessment Using EWQI With Updated Water Quality Classification Criteria: A Case Study in and Around Zhouzhi County, Guanzhong Basin (China). Expo. Health 2022, 15, 825–840. [Google Scholar] [CrossRef]
- Ge, A. Strategies for the sustainable development and utilization of groundwater resources in Yanggu County. Groundwater 2024, 46, 90–92. [Google Scholar]
- Yu, H. Discussion on Sustainable Development and Utilization of Groundwater Resources. Water Saf. 2024, 13, 98–100. [Google Scholar]
- Gao, H. Strategies for the sustainable utilization of groundwater resources. Agric. Disaster Res. 2024, 14, 246–248. [Google Scholar]
- Xu, D.; Guan, X.; Xu, S. Applications of big data analysis in water resource management. Inf. Syst. Eng. 2025, 1, 129–132. [Google Scholar]
Disclaimer/Publisher’s Note: The statements, opinions and data contained in all publications are solely those of the individual author(s) and contributor(s) and not of MDPI and/or the editor(s). MDPI and/or the editor(s) disclaim responsibility for any injury to people or property resulting from any ideas, methods, instructions or products referred to in the content. |
© 2025 by the authors. Licensee MDPI, Basel, Switzerland. This article is an open access article distributed under the terms and conditions of the Creative Commons Attribution (CC BY) license (https://creativecommons.org/licenses/by/4.0/).








