Multitemporal Monitoring of Ecuadorian Andean High Wetlands Using Radar and Multispectral Remote Sensing
Abstract
1. Introduction
2. Materials and Methods
2.1. Study Area and Field Data
2.2. Multiespectral Wetlands (WET_MLTSP)
2.3. Satellite Data
2.3.1. Sentinel-1
2.3.2. Sentinel-2
2.4. Methodology
2.4.1. Radar Wetlands (WET_RADAR)
Masking Sentinel-1 Images
Topographic Wetness Index (TWI)
Multispectral Spectral Indices
Wetland Classification
2.4.2. Soil Moisture Wetlands (WET_SSM)
Principal Component Analysis (PCA)
Water Cloud Model (WCM)
3. Results
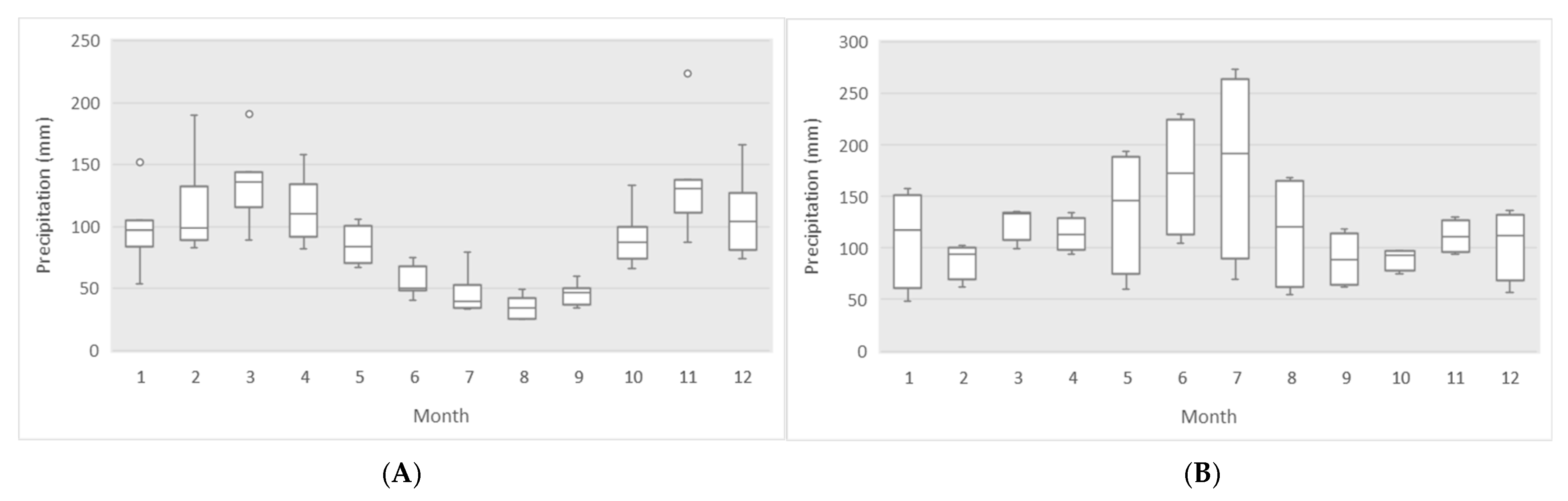
3.1. Precipitation Results
3.2. Wetlands Multispectral (WET_MLTSP)
3.3. Wetlands Radar (WET_RADAR)
3.4. Wetlands Surface Soil Moisture (WET_SSM)
3.4.1. Principal Component Analysis (PCA)
3.4.2. Surface Soil Moisture (SSM) Estimates
3.4.3. WET_SSM
4. Discussion
5. Conclusions
Author Contributions
Funding
Data Availability Statement
Acknowledgments
Conflicts of Interest
Abbreviations
| SSM | Superficial Soil Moisture |
| WCM | Water Cloud Model |
| GEE | Google Earth Engine |
| HUM_OPT | Wetlands identified using multispectral information |
| HUM_RADAR | Wetlands identified using radar information |
| HUM_SSM | Wetlands identified using superficial soil moisture |
| NDVI | Normalized Difference Vegetation Index |
| NDWI | Normalized Difference Water Index |
| SAR | Synthetic Aperture Radar |
| VV | Vertical Transmit, Vertical Receive (Vertical–Vertical Polarization) |
| VH | Vertical Transmit, Horizontal Receive (Vertical–Horizontal Polarization) |
| MNT | Digital Elevation Model |
| EPMAPS | Metropolitan Public Water and Sanitation Company |
| FONAG | Water Protection Fund |
| MAATE | Ministry of the Environment, Water, and Ecological Transition (Ecuador) |
| MDT | Digital Terrain Model |
| RF | Random Forest |
| TWI | Topographic Wetness Index |
Appendix A
| Bands | Identified Entities | Observation |
|---|---|---|
| 4,2,3 | Grasslands, Crops, Infrastructure, Other Lands (Bare Soil) | Differentiation of grasslands and shrubs |
| 3,2,1 | Evergreen Forest, Evergreen Shrubs | Differentiation of forests, height, and shadows that may generate noise |
| 1,2,4 | Snow, Lahars, Sand Fields, Infrastructure, Urban Centers, Herbaceous Wetlands | Identification of various herbaceous wetland or ultra-humid páramo types |
| 1,2,4 B: −20% C: +20% | Shrub Vegetation | Delimitation of shrub vegetation in steep areas of the urban zone |
| 1,2,4 B: −20% C: +20% | Infrastructure | Greenhouses for flowers, Poultry farms |
| 421 B: −32% C: +48% | Semi-dry Forest and Shrubland | Differentiation of dry vegetation and introduced crops |
| 1,3,2 B: −12% C: +50% | Other Lands | Areas in the process of erosion |
| 421 B: −32% C: +48% | Pastures | Differentiation of grazing areas within forests |
| 132 B: −10% C: +50% | Forest Crops | Delimitation of Forest and Sugarcane Crops |
| 421 B: −32% C: +48% | Forest Plantations | Dark brown tones and the geometric form of plantations |
Appendix B
| Ecosystem | Description | Photographic Record |
|---|---|---|
| Forest (58 points) | Evergreen forests distributed between 3200 and 4100 m.a.s.l., with trees ranging from 5 to 8 m in height, featuring twisted and branched trunks covered in bryophytes, lichens, and epiphytes. This ecosystem forms patches in the páramo, located in areas with low wind exposure and steep slopes. It consists of a few tree species from genera such as Polylepis, Buddleja, or Gynoxys. Shrubs and herbs form compact structures. | ![]() |
| Humid Grassland/Ultra-humid Grassland (102 points) | Grasslands scattered in the highest areas of the Andes, above 4200 m.a.s.l. Grasses, prostrate plants, cushion plants, and small, scattered shrubs are common. The landscape shows areas of bare soil. Bryophytes are almost absent in this ecosystem | ![]() |
| Ultra-humid páramos are located between 4400 and 4900 m.a.s.l. on steep and rugged slopes covered by glacial deposits and geliturbated soils. These are characterized by a significant presence of bryophytes and a high diversity of species with restricted distributions. The most represented families are Asteraceae and Poaceae. | ![]() | |
| Páramo Grassland (231 points) | Dense grasslands dominated by grasses, located between 3400 and 4300 m.a.s.l., reaching up to 1 m in height. The dominant genera are Calamagrostis, Agrostis, Festuca, and Stipa. In areas with human intervention, such as burning or grazing, grasslands are shorter, and creeping species are scarce. | ![]() |
| Floodable Páramo Grassland (156 points) | Floodable grasslands with the presence of cushion plants, associated with water bodies and flood-prone areas, found between 3300 and 4500 m.a.s.l. Two types can be distinguished: peat bogs and marshes. Areas dominated by Sphagnum magellanica are common. | ![]() |
References
- Mosquera, G.M.; Hofstede, R.; Bremer, L.L.; Asbjornsen, H.; Carabajo-Hidalgo, A.; Célleri, R.; Crespo, P.; Esquivel-Hernández, G.; Feyen, J.; Manosalvas, R.; et al. Frontiers in páramo water resources research: A multidisciplinary assessment. Sci. Total Environ. 2023, 892, 164373. [Google Scholar] [CrossRef] [PubMed]
- Lazo, P.X.; Mosquera, G.M.; McDonnell, J.J.; Crespo, P. The role of vegetation, soils, and precipitation on water storage and hydrological services in Andean Páramo catchments. J. Hydrol. 2019, 572, 805–819. [Google Scholar] [CrossRef]
- Páez-Bimos, S.; Villacís, M.; Morales, O.; Calispa, M.; Molina, A.; Salgado, S.; de Bievre, B.; Delmelle, P.; Muñoz, T.; Vanacker, V. Vegetation effects on soil pore structure and hydraulic properties in volcanic ash soils of the high Andes. Hydrol. Process. 2022, 36, e14678. [Google Scholar] [CrossRef]
- Fallis, A. Flora del Páramo del Cajas; Don Bosco Printing Press: Makati City, Philippines, 2013; Volume 53, No. 9; Available online: http://dspace.uazuay.edu.ec/handle/datos/8786 (accessed on 3 May 2024).
- Hofstede, R. Los Páramos del Ecuador: Pasado, Presente y Futuro; USFQ Press: Quito, Ecuador, 2023. [Google Scholar] [CrossRef]
- McNamara, J.P.; Tetzlaff, D.; Bishop, K.; Soulsby, C.; Seyfried, M.; Peters, N.E.; Aulenbach, B.T.; Hooper, R. Storage as a Metric of Catchment Comparison. Hydrol. Process. 2011, 25, 3364–3371. [Google Scholar] [CrossRef]
- EPMAPS. Memoria de Sostenibilidad; EPMAPS: Quito, Ecuador, 2020.
- Brück, S.A.; Torres, B.D.M.; de Lourdes Teixeira de Moraes Polizeli, M. The Ecuadorian paramo in danger: What we know and what might be learned from northern wetlands. Glob. Ecol. Conserv. 2023, 47, e02639. [Google Scholar] [CrossRef]
- Mosquera, G.M.; Marín, F.; Stern, M.; Bonnesoeur, V.; Ochoa-Tocachi, B.F.; Román-Dañobeytia, F.; Crespo, P. Progress in understanding the hydrology of high-elevation Andean grasslands under changing land use. Sci. Total Environ. 2022, 804, 150112. [Google Scholar] [CrossRef]
- Berrones, G.; Crespo, P.; Ochoa-Sánchez, A.; Wilcox, B.P.; Célleri, R. Importance of Fog and Cloud Water Contributions to Soil Moisture in the Andean Páramo. Hydrology 2022, 9, 54. [Google Scholar] [CrossRef]
- Ross, A.C.; Mendoza, M.M.; Drenkhan, F.; Montoya, N.; Baiker, J.R.; Mackay, J.D.; Hannah, D.M.; Buytaert, W. Seasonal water storage and release dynamics of bofedal wetlands in the Central Andes. Hydrol. Process. 2023, 37, e14940. [Google Scholar] [CrossRef]
- Asmuß, T.; Bechtold, M.; Tiemeyer, B. On the Potential of Sentinel-1 for High Resolution Monitoring of Water Table Dynamics in Grasslands on Organic Soils. Remote Sens. 2019, 11, 1659. [Google Scholar] [CrossRef]
- MAE. Sistemas Ecológicos y Caracterización Florística de Los Páramos en el Ecuador; MAE: Quito, Ecuador, 2011. [Google Scholar]
- Bott, R. Sistema de clasificación de los ecosistemas de Ecuador Co. Igarss 2014, 2014, 143–145. [Google Scholar]
- FONAG. Pugllohuma Fuente de Agua para Quito; FONAG: Quito, Ecuador, 2022. [Google Scholar]
- Hribljan, J.A.; Suarez, E.; Bourgeau-Chavez, L.; Endres, S.; Lilleskov, E.A.; Chimbolema, S.; Wayson, C.; Serocki, E.; Chimner, R.A. Multidate, multisensor remote sensing reveals high density of carbon-rich mountain peatlands in the páramo of Ecuador. Glob. Change Biol. 2017, 23, 5412–5425. [Google Scholar] [CrossRef] [PubMed]
- Valencia, E.; Changoluisa, I.; Palma, K.; Cruz, P.; Valencia, D.; Ayala, P.; Hidalgo, V.; Quisi, D.; Jara, N.; Puga, D. Wetland monitoring technification for the Ecuadorian Andean region based on a multi-agent framework. Heliyon 2022, 8, e09054. [Google Scholar] [CrossRef] [PubMed]
- Bourgeau-Chavez, L.L.; Endres, S.; Powell, R.; Battaglia, M.J.; Benscoter, B.; Turetsky, M.; Kasischke, E.S.; Banda, E. Mapping boreal peatland ecosystem types from multitemporal radar and optical satellite imagery. Can. J. For. Res. 2017, 47, 545–559. [Google Scholar] [CrossRef]
- Rodriguez-Galiano, V.F.; Chica-Olmo, M.; Abarca-Hernandez, F.; Atkinson, P.M.; Jeganathan, C. Random Forest classification of Mediterranean land cover using multi-seasonal imagery and multi-seasonal texture. Remote Sens. Environ. 2012, 121, 93–107. [Google Scholar] [CrossRef]
- Torres, R.; Snoeij, P.; Geudtner, D.; Bibby, D.; Davidson, M.; Attema, E.; Potin, P.; Rommen, B.; Floury, N.; Brown, M.; et al. GMES Sentinel-1 mission. Remote Sens. Environ. 2012, 120, 9–24. [Google Scholar] [CrossRef]
- Ygorra, B.; Frappart, F.; Wigneron, J.P.; Moisy, C.; Catry, T.; Baup, F.; Hamunyela, E.; Riazanoff, S. Monitoring loss of tropical forest cover from Sentinel-1 time-series: A CuSum-based approach. Int. J. Appl. Earth Obs. Geoinf. 2021, 103, 102532. [Google Scholar] [CrossRef]
- Wang, L.; Gao, Y. Soil Moisture Retrieval from Sentinel-1 and Sentinel-2 Data Using Ensemble Learning over Vegetated Fields. IEEE J. Sel. Top. Appl. Earth Obs. Remote Sens. 2023, 16, 1802–1814. [Google Scholar] [CrossRef]
- Slagter, B.; Tsendbazar, N.-E.; Vollrath, A.; Reiche, J. Mapping wetland characteristics using temporally dense Sentinel-1 and Sentinel-2 data: A case study in the St. Lucia wetlands, South Africa. Int. J. Appl. Earth Obs. Geoinf. 2020, 86, 102009. [Google Scholar] [CrossRef]
- García, E.; Lleellish, M.A. Cartografiado de bofedales usando imágenes de satellite Landsat en una cuenca altoandina del Perú. Rev. Teledeteccion 2012, 38, 92–108. [Google Scholar]
- Chimner, R.A.; Bourgeau-Chavez, L.; Grelik, S.; Hribljan, J.A.; Clarke, A.M.P.; Polk, M.H.; Lilleskov, E.A.; Fuentealba, B. Mapping Mountain Peatlands and Wet Meadows Using Multi-Date, Multi-Sensor Remote Sensing in the Cordillera Blanca, Peru. Wetlands 2019, 39, 1057–1067. [Google Scholar] [CrossRef]
- White, L.; Brisco, B.; Dabboor, M.; Schmitt, A.; Pratt, A. A Collection of SAR Methodologies for Monitoring Wetlands. Remote Sens. 2015, 7, 7615–7645. [Google Scholar] [CrossRef]
- Araya-López, R.A.; Lopatin, J.; Fassnacht, F.E.; Hernández, H.J. Monitoring Andean high altitude wetlands in central Chile with seasonal optical data: A comparison between Worldview-2 and Sentinel-2 imagery. ISPRS J. Photogramm. Remote Sens. 2018, 145, 213–224. [Google Scholar] [CrossRef]
- Aaron, E.; Maxwell, T.A.W.; Fang, F. Implementation of machine-learning classification in remote sensing: An applied review. Int. J. Remote Sens. 2018, 39, 2784–2817. [Google Scholar] [CrossRef]
- García Lino, M.C.; Pfanzelt, S.; Domic, A.I.; Hensen, I.; Schittek, K.; Meneses, R.I.; Bader, M.Y. Carbon dynamics in high-Andean tropical cushion peatlands: A review of geographic patterns and potential drivers. Ecol. Monogr. 2024, 94, e1614. [Google Scholar] [CrossRef]
- Dobson, M.C.; Ulaby, F. Microwave Backscatter Dependence on Surface Roughness, Soil Moisture, and Soil Texture: Part III—Soil Tension. IEEE Trans. Geosci. Remote Sens. 1981, GE-19, 51–61. [Google Scholar] [CrossRef]
- Barrett, B.W.; Dwyer, E.; Whelan, P. Remote Sensing Soil Moisture Retrieval from Active Spaceborne Microwave Observations: An Evaluation of Current Techniques. Remote Sens 2009, 1, 210–242. [Google Scholar] [CrossRef]
- Ulaby, F.; Allen, C.T.; Fung, A.K. Method for Retrieving the True Backscattering Coefficient From Measurements With a Real Antenna. Dig.-Int. Geosci. Remote Sens. Symp. 1982, 2, 308–313. [Google Scholar] [CrossRef]
- Dabrowska-Zielinska, K.; Inoue, Y.; Kowalik, W.; Gruszczynska, M. Inferring the effect of plant and soil variables on C- and L-band SAR backscatter over agricultural fields, based on model analysis. Adv. Space Res. 2007, 39, 139–148. [Google Scholar] [CrossRef]
- Frappart, F.; Wigneron, J.-P.; Li, X.; Liu, X.; Al-Yaari, A.; Fan, L.; Wang, M.; Moisy, C.; Le Masson, E.; Aoulad Lafkih, Z.; et al. Global Monitoring of the Vegetation Dynamics from the Vegetation Optical Depth (VOD): A Review. Remote Sens. 2020, 12, 2915. [Google Scholar] [CrossRef]
- El Hajj, M.; Baghdadi, N.; Wigneron, J.-P.; Zribi, M.; Albergel, C.; Calvet, J.-C.; Fayad, I. First Vegetation Optical Depth Mapping from Sentinel-1 C-band SAR Data over Crop Fields. Remote Sens. 2019, 11, 2769. [Google Scholar] [CrossRef]
- Zhou, Z.; Fan, L.; De Lannoy, G.; Liu, X.; Peng, J.; Bai, X.; Frappart, F.; Baghdadi, N.; Xing, Z.; Li, X.; et al. Retrieval of High-Resolution Vegetation Optical Depth from Sentinel-1 Data over a Grassland Region in the Heihe River Basin. Remote Sens. 2022, 14, 5468. [Google Scholar] [CrossRef]
- Li, Y.; Zhang, F. Surface Soil Moisture Retrieval Using the Improved Water-Cloud Model Based on Sentinel-1A and Sentinel-2 Data. In Environmental Governance, Ecological Remediation and Sustainable Development; Han, D., Bashir, M.J.K., Eds.; Springer Natur: Cham, Switzerland, 2024; pp. 283–294. [Google Scholar]
- Cui, J.; Wang, Y.; Wu, Y.; Li, Z.; Li, H.; Miao, B.; Wang, Y.; Jia, C.; Liang, C. Soil Moisture Inversion in Grassland Ecosystem Using Remote Sensing Considering Different Grazing Intensities and Growing Seasons. Sustainability 2023, 15, 6515. [Google Scholar] [CrossRef]
- Hosseini, M.; McNairn, H. Using multi-polarization C- and L-band synthetic aperture radar to estimate biomass and soil moisture of wheat fields. Int. J. Appl. Earth Obs. Geoinf. 2017, 58, 50–64. [Google Scholar] [CrossRef]
- Kanmani, K.; Vasanthi, P.; Pari, P.; Ahamed, N.S.S. Estimation of Soil Moisture for Different Crops Using SAR Polarimetric Data. Civ. Eng. J. 2023, 9, 1402–1411. [Google Scholar] [CrossRef]
- Luo, D.; Wen, X.; Li, S. An improved method for estimating soil moisture over cropland using SAR and optical data. Earth Sci. Inform. 2023, 16, 1909–1916. [Google Scholar] [CrossRef]
- Moreau, S.; Le Toan, T. Biomass quantification of Andean wetland forages using ERS satellite SAR data for optimizing livestock management. Remote Sens. Environ. 2003, 84, 477–492. [Google Scholar] [CrossRef]
- Muhuri, A.; Goïta, K.; Magagi, R.; Wang, H. Soil Moisture Retrieval During Crop Growth Cycle Using Satellite SAR Time-Series. IEEE J. Sel. Top. Appl. Earth Obs. Remote Sens. 2023, 16, 9302–9319. [Google Scholar] [CrossRef]
- Paloscia, S.; Pettinato, S.; Santi, E.; Notarnicola, C.; Pasolli, L.; Reppucci, A. Soil moisture mapping using Sentinel-1 images: Algorithm and preliminary validation. Remote Sens. Environ. 2013, 134, 234–248. [Google Scholar] [CrossRef]
- Srivastava, H.S.; Sivasankar, T.; Gavali, M.D.; Patel, P. Soil moisture estimation underneath crop cover using high incidence angle C-band Sentinel-1 SAR data. Kuwait J. Sci. 2024, 51, 100101. [Google Scholar] [CrossRef]
- Páez-Bimos, S.; Molina, A.; Calispa, M.; Delmelle, P.; Lahuatte, B.; Villacís, M.; Muñoz, T.; Vanacker, V. Soil–vegetation–water interactions controlling solute flow and chemical weathering in volcanic ash soils of the high Andes. Hydrol. Earth Syst. Sci. 2023, 27, 1507–1529. [Google Scholar] [CrossRef]
- Wen, L.; Mason, T.; Powell, M.; Ling, J.; Ryan, S.; Bernich, A.; Gufu, G. Improved Wetland Mapping of a Highly Fragmented Agricultural Landscape Using Land Surface Phenological Features. Remote Sens. 2024, 16, 1786. [Google Scholar] [CrossRef]
- Pasquarella, V.J.; Brown, C.F.; Czerwinski, W.; Rucklidge, W.J. Comprehensive quality assessment of optical satellite imagery using weakly supervised video learning. In Proceedings of the 2023 IEEE/CVF Conference on Computer Vision and Pattern Recognition Workshops (CVPRW), Vancouver, BC, Canada, 17–24 June 2023; Volume 2023-June, pp. 2125–2135. [Google Scholar] [CrossRef]
- Jackson, C.R.; Thompson, J.A.; Kolka, R.K. Wetland Soils, Hydrology, and Geomorphology. In Ecology of Freshwater and Estuarine Wetlands; University of California Press: Berkeley, CA, USA, 2015; pp. 2–7. [Google Scholar]
- Richter, J.L.; Burras, C.L. Chapter 11—Human-Impacted Catenas in North-Central Iowa, United States: Ramifications for Soil Mapping. In Soil Mapping and Process Modeling for Sustainable Land Use Management; Pereira, P., Brevik, E.C., Muñoz-Rojas, M., Miller, B.A., Eds.; Elsevier: Amsterdam, The Netherlands, 2017; pp. 335–363. [Google Scholar] [CrossRef]
- Stei, E.D.; Mattson, M.; Fetscher, A.E.; Halama, K.J. Influence of geologic setting on slope wetland hydrodynamics. Wetlands 2004, 24, 244–260. [Google Scholar] [CrossRef]
- Hjerdt, K.N.; McDonnell, J.J.; Seibert, J.; Rodhe, A. A new topographic index to quantify downslope controls on local drainage. Water Resour. Res. 2004, 40, W05602. [Google Scholar] [CrossRef]
- Gao, B. NDWI—A normalized difference water index for remote sensing of vegetation liquid water from space. Remote Sens. Environ. 1996, 58, 257–266. [Google Scholar] [CrossRef]
- Tucker, C.J. Red and photographic infrared linear combinations for monitoring vegetation. Remote Sens. Environ. 1979, 8, 127–150. [Google Scholar] [CrossRef]
- Mahdianpari, M.; Salehi, B.; Mohammadimanesh, F.; Homayouni, S.; Gill, E. The First Wetland Inventory Map of Newfoundland at a Spatial Resolution of 10 m Using Sentinel-1 and Sentinel-2 Data on the Google Earth Engine Cloud Computing Platform. Remote Sens. 2019, 11, 43. [Google Scholar] [CrossRef]
- Lees, K.J.; Artz, R.R.E.; Chandler, D.; Aspinall, T.; Boulton, C.A.; Buxton, J.; Cowie, N.R.; Lenton, T.M. Using remote sensing to assess peatland resilience by estimating soil surface moisture and drought recovery. Sci. Total Environ. 2021, 761, 143312. [Google Scholar] [CrossRef]
- Liu, Z.; Li, P.; Yang, J. Soil Moisture Retrieval and Spatiotemporal Pattern Analysis Using Sentinel-1 Data of Dahra, Senegal. Remote Sens. 2017, 9, 1197. [Google Scholar] [CrossRef]
- Bao, Y.; Lin, L.; Wu, S.; Kwal Deng, K.A.; Petropoulos, G.P. Surface soil moisture retrievals over partially vegetated areas from the synergy of Sentinel-1 and Landsat 8 data using a modified water-cloud model. Int. J. Appl. Earth Obs. Geoinf. 2018, 72, 76–85. [Google Scholar] [CrossRef]
- Liu, Q.; Wu, Z.; Cui, N.; Jin, X.; Zhu, S.; Jiang, S.; Zhao, L.; Gong, D. Estimation of Soil Moisture Using Multi-Source Remote Sensing and Machine Learning Algorithms in Farming Land of Northern China. Remote Sens. 2023, 15, 4214. [Google Scholar] [CrossRef]
- Grenier, M.; Demers, A.-M.; Labrecque, S.; Benoit, M.; Fournier, R.A.; Drolet, B. An object-based method to map wetland using RADARSAT-1 and Landsat ETM images: Test case on two sites in Quebec, Canada. Can. J. Remote Sens. 2007, 33, S28–S45. [Google Scholar] [CrossRef]
- Touzi, R.; Deschamps, A.; Rother, G. Wetland characterization using polarimetric RADARSAT-2 capability. Can. J. Remote Sens. 2007, 33, S56–S67. [Google Scholar] [CrossRef]
- Li, J.; Chen, W. A rule-based method for mapping Canada’s wetlands using optical, radar and DEM data. Int. J. Remote Sens. 2005, 26, 5051–5069. [Google Scholar] [CrossRef]
- Buytaert, W.; Beven, K. Models as multiple working hypotheses: Hydrological simulation of tropical alpine wetlands. Hydrol. Process. 2011, 25, 1784–1799. [Google Scholar] [CrossRef]
- Salinas, J.B.G.; Eggerth, M.K.P.; Miller, M.E.; Meza, R.R.B.; Chacaltana, J.T.A.; Acuña, J.R.; Barroso, G.F. Wetland Mapping with Multitemporal Sentinel Radar Remote Sensing in the Southeast Region of Brazil. Int. Arch. Photogramm. Remote Sens. Spat. Inf. Sci. 2020, XLII-3/W12-2020, 237–242. [Google Scholar] [CrossRef]













| Id | Name | Latitude | Longitude | Elevation (m.a.s.l) | Variable |
|---|---|---|---|---|---|
| M5021 | Yuracaccha Oyacachi | 0°11′18.09″ W | 78°6′38.36″ S | 3710 | PREC |
| M5025 | La Virgen Papallacta | 0°20′1.43″ W | 78°11′54.52″ S | 4020 | PREC |
| M5026 | Cotopaxi Control Norte | 0°33′49.76″ W | 78°26′36.04″ S | 3670 | PREC |
| M5124 | Campo Alegre | 0°36′57.99″ W | 78°23′19.1″ S | 3888 | PREC |
| M5126 | Jatunhuayco | 0°29′27.30″ W | 78°13′59.03″ S | 4092 | PREC |
| M5179 | Paluguillo | 0°18′24.13″ W | 78°13′55.72″ S | 3717 | PREC |
| M5028 | Hcda Prado Miranda | 0°28′59.91″ W | 78°23′26.5″ S | 3526 | PREC/SSM |
| M5029 | El Carmen | 0°30′5.97″ W | 78°20′0.12″ S | 4100 | PREC/SSM |
| M5031 | Chumillos | 0°5′40.97″ W | 78°12′38.18″ S | 3750 | PREC/SSM |
| M5074 | Puntas | 0°9′54.64″ W | 78°13′14.47″ S | 4142 | PREC/SSM |
| M5075 | Itulcachi | 0°17′24.99″ W | 78°15′49.97″ S | 4029 | PREC/SSM |
| CU_UP | Jatunhuayco Area | 0°29′1.90″ S | 78°14′38.15″ W | 4197 | SSM |
| CU_UR | Jatunhuayco Area | 0°29′1.69″ S | 78°14′37.69″ W | 4196 | SSM |
| CU_MI | Jatunhuayco Area | 0°29′4.22″ S | 78°14′36.51″ W | 4185 | SSM |
| CU_LO | Jatunhuayco Area | 0°29′6.89″ S | 78°14′35.08″ W | 4174 | SSM |
| TU_UP | Jatunhuayco Area | 0°29′27.94″ S | 78°14′37.07″ W | 4225 | SSM |
| TU_UR | Jatunhuayco Area | 0°29′26.99″ S | 78°14′38.14″ W | 4227 | SSM |
| TU_MI | Jatunhuayco Area | 0°29′22.36″ S | 78°14′34.01″ W | 4186 | SSM |
| TU_LO | Jatunhuayco Area | 0°29′19.08″ S | 78°14′31.42″ W | 4181 | SSM |
| Satellite | Type | Variable | Description | Period of Images |
|---|---|---|---|---|
| Sentinel-1 | SAR | VV | Backscatter value (σ°) for vertically polarized transmission and vertically polarized reception. | Mensual Median 1 January 2019 to 31 May 2024 |
| VH | Backscatter value (σ°) for vertically polarized transmission and horizontally polarized reception. | |||
| VV/VH | Ratio between VV and VH. | |||
| Angle | Incidence Angle. | |||
| Sentinel-2 | Multispectral | NDVI | Normalized Difference Vegetation Index. Indicates the presence of vegetation based on the normalized difference in NIR (band 8) and red (band 4) reflectance. | Annual Median (2019, 2020, 2021, 2022, 2023) |
| NDWI | Modified Normalized Difference Water Index. Indicates the presence of water bodies based on the normalized difference in green (band 3) and SWIR (band 11) reflectance. | |||
| Alos Palsar | SAR | DEM | Digital Elevation Model with a spatial resolution of 12.5 m. | 2022 |
| Satellite | Type | Variable | Description |
|---|---|---|---|
| Sentinel-1 | SAR | VV VH VV/VH Angle | Consists of preprocessed and filtered radar images, meaning images where intervention pixels, water bodies, and areas without coverage have been removed. Additionally, pixels with slopes greater than 25% have been excluded, and pixels between 3147 m and 4343 m have been filtered. For classification, the monthly time period and the creation of monthly mosaics through the calculation of the mean are considered. |
| Sentinel-2 | Multispectral | NDVI | The calculation of vegetation descriptors (NDVI) and water (NDWI) has been performed using Sentinel-2 multispectral images. To remove cloud cover, annual mosaics are created. |
| NDWI | |||
| Alos Palsar | SAR | Slope | The slope calculation has been carried out based on the DEM obtained from Alos Palsar. |
| SAR | TWI | The calculation of the Topographic Index has been carried out based on the DEM obtained from Alos Palsar. |
| Month | Precipitation (mm) | Average | ||||||||||
|---|---|---|---|---|---|---|---|---|---|---|---|---|
| M5021 | M5025 | M5026 | M5028 | M5029 | M5031 | M5074 | M5075 | M5124 | M5126 | M5179 | ||
| January | 158 | 131 | 104 | 152 | 84 | 97 | 105 | 86 | 54 | 48 | 103 | 102 |
| February | 103 | 93 | 132 | 190 | 98 | 92 | 103 | 89 | 83 | 62 | 94 | 104 |
| March | 135 | 133 | 115 | 191 | 123 | 144 | 140 | 136 | 89 | 99 | 134 | 131 |
| April | 134 | 112 | 125 | 158 | 98 | 134 | 110 | 92 | 82 | 94 | 115 | 114 |
| May | 194 | 172 | 87 | 101 | 70 | 106 | 80 | 83 | 67 | 60 | 120 | 104 |
| June | 230 | 208 | 40 | 50 | 48 | 50 | 56 | 75 | 68 | 105 | 137 | 97 |
| July | 274 | 234 | 34 | 36 | 40 | 33 | 50 | 79 | 53 | 70 | 150 | 96 |
| August | 168 | 157 | 37 | 26 | 34 | 25 | 29 | 49 | 42 | 55 | 85 | 64 |
| September | 118 | 104 | 47 | 60 | 47 | 34 | 36 | 47 | 50 | 62 | 73 | 62 |
| October | 98 | 95 | 97 | 133 | 74 | 99 | 88 | 80 | 66 | 74 | 90 | 90 |
| November | 117 | 104 | 131 | 223 | 111 | 136 | 137 | 121 | 87 | 94 | 130 | 127 |
| December | 136 | 121 | 127 | 166 | 81 | 104 | 111 | 95 | 74 | 56 | 104 | 107 |
| Wetlands | Páramo Grassland | Humid/Ultra-Humid Grassland | Forest | |
| Wetlands | 30 | 5 | 6 | 0 |
| Páramo Grassland | 11 | 47 | 5 | 2 |
| Humid/Ultra-Humid Grassland | 0 | 2 | 25 | 0 |
| Forest | 4 | 1 | 0 | 18 |
| Identification | Description | Number of Points | % |
|---|---|---|---|
| Corrected | Refers to polygons initially classified as wetlands but determined during field visits not to be wetlands. Subsequently, the Random Forest training points were adjusted to ensure accurate classification. | 3 | 3.4 |
| Discarded_multispectral | Refers to polygons identified as wetlands by multispectral imagery but discarded based on radar imagery and field validations | 13 | 14.9 |
| Not_identified | Refers to wetlands identified during field visits but not classified in radar imagery. | 1 | 1.1 |
| Radar | Refers to new wetlands identified using radar imagery | 53 | 60.9 |
| Radar_ multi-spectral | Refers to polygons identified as wetlands through a combination of radar and multispectral imagery | 17 | 19.5 |
| TOTAL | 87 | 100 | |
| Item | Description | Area (ha) |
|---|---|---|
| WET_RADAR_MULTISPECTRAL | Corresponds to wetland areas identified by WET_RADAR and WET_MLTSP. | 7040 |
| WET_RADAR_NEW | Corresponds to new wetland areas identified by WET_RADAR | 20,001 |
| WET_MULTISPECTRAL_DISCARDED | Corresponds to wetland areas identified by WET_MLTSP that have been discarded through WET_RADAR. | 11,879 |
| Month (2019–2024) | Average Rainfall (mm) | Precipitation Pacific Basin (mm) | Precipitation Amazon Basin (mm) | Area of Study (ha) | WET_RADAR | |
|---|---|---|---|---|---|---|
| Area (Ha) | % | |||||
| January | 102 | 97 | 110 | 401,531 | 26,246 | 6.5 |
| February | 104 | 112 | 88 | 401,531 | 25,511 | 6.4 |
| March | 131 | 134 | 125 | 401,531 | 25,960 | 6.5 |
| April | 114 | 114 | 114 | 401,531 | 27,041 | 6.7 |
| May | 104 | 85 | 136 | 401,531 | 25,109 | 6.3 |
| June | 97 | 55 | 170 | 401,531 | 24,754 | 6.2 |
| July | 96 | 46 | 182 | 401,531 | 24,817 | 6.2 |
| August | 64 | 34 | 116 | 401,531 | 25,453 | 6.3 |
| September | 62 | 46 | 89 | 401,531 | 24,469 | 6.1 |
| October | 90 | 91 | 89 | 401,531 | 23,906 | 6.0 |
| November | 127 | 135 | 111 | 401,531 | 24,269 | 6.0 |
| December | 107 | 108 | 104 | 401,531 | 24,898 | 6.2 |
| ID | SSM—VH—NDVI | SSM—VV—NDVI | ||||||||
|---|---|---|---|---|---|---|---|---|---|---|
| R | MAE | RMSE | BIAS | ubRMSE | R | MAE | RMSE | BIAS | ubRMSE | |
| M5074 | 0.67 | 3.81 | 4.68 | 0.67 | 4.94 | 0.61 | 3.97 | 5.03 | −0.60 | 5.51 |
| M5075 | 0.31 | 2.85 | 3.77 | 0.20 | 1.23 | 0.48 | 2.59 | 3.49 | 0.31 | 1.39 |
| M5031 | 0.72 | 5.73 | 7.04 | 1.17 | 7.97 | 0.82 | 5.00 | 5.82 | 0.22 | 8.92 |
| M5029 | 0.39 | 4.37 | 4.85 | 0.50 | 2.49 | 0.52 | 3.99 | 4.50 | 0.39 | 2.57 |
| M5028 | -- | 6.29 | 7.74 | 1.50 | 3.69 | 0.22 | 6.08 | 7.50 | 1.26 | 4.28 |
| 5 Stations | 0.57 | 6.50 | 8.33 | 0.16 | 5.70 | 0.52 | 6.68 | 8.68 | 0.07 | 5.85 |
| Jatunhuayco area | 0.78 | 1.41 | 1.85 | −0.05 | 2.34 | 0.79 | 1.39 | 1.82 | −0.04 | 2.44 |
| Month (2019–2024) | WET_RADAR | WET_SSM | ||
|---|---|---|---|---|
| Área (Ha) | % | Área (Ha) | % | |
| January | 4275 | 22.1 | 3065 | 15.9 |
| February | 4004 | 20.7 | 3061 | 15.9 |
| March | 4609 | 23.9 | 3059 | 15.8 |
| April | 4487 | 23.2 | 3052 | 15.8 |
| May | 3874 | 20.1 | 3037 | 15.7 |
| June | 4353 | 22.6 | 2990 | 15.5 |
| July | 4318 | 22.4 | 3008 | 15.6 |
| August | 4379 | 22.7 | 2958 | 15.3 |
| September | 4449 | 23.1 | 2978 | 15.4 |
| October | 4235 | 21.9 | 2960 | 15.3 |
| November | 4372 | 22.7 | 3029 | 15.7 |
| December | 4108 | 21.3 | 2959 | 15.3 |
Disclaimer/Publisher’s Note: The statements, opinions and data contained in all publications are solely those of the individual author(s) and contributor(s) and not of MDPI and/or the editor(s). MDPI and/or the editor(s) disclaim responsibility for any injury to people or property resulting from any ideas, methods, instructions or products referred to in the content. |
© 2025 by the authors. Licensee MDPI, Basel, Switzerland. This article is an open access article distributed under the terms and conditions of the Creative Commons Attribution (CC BY) license (https://creativecommons.org/licenses/by/4.0/).
Share and Cite
Huaraca, L.; Bourrel, L.; Zapata-Ríos, X.; Páez-Bimos, S.; Lahuatte, B.; Galeas, R.; Fuentes, P.; Frappart, F. Multitemporal Monitoring of Ecuadorian Andean High Wetlands Using Radar and Multispectral Remote Sensing. Water 2025, 17, 1637. https://doi.org/10.3390/w17111637
Huaraca L, Bourrel L, Zapata-Ríos X, Páez-Bimos S, Lahuatte B, Galeas R, Fuentes P, Frappart F. Multitemporal Monitoring of Ecuadorian Andean High Wetlands Using Radar and Multispectral Remote Sensing. Water. 2025; 17(11):1637. https://doi.org/10.3390/w17111637
Chicago/Turabian StyleHuaraca, Luis, Luc Bourrel, Xavier Zapata-Ríos, Sebastián Páez-Bimos, Braulio Lahuatte, Raúl Galeas, Paola Fuentes, and Frédéric Frappart. 2025. "Multitemporal Monitoring of Ecuadorian Andean High Wetlands Using Radar and Multispectral Remote Sensing" Water 17, no. 11: 1637. https://doi.org/10.3390/w17111637
APA StyleHuaraca, L., Bourrel, L., Zapata-Ríos, X., Páez-Bimos, S., Lahuatte, B., Galeas, R., Fuentes, P., & Frappart, F. (2025). Multitemporal Monitoring of Ecuadorian Andean High Wetlands Using Radar and Multispectral Remote Sensing. Water, 17(11), 1637. https://doi.org/10.3390/w17111637






