Inversion of Hydrogeological Parameters of Polluted Sites Based on Coupled Hydrothermal Salt-Tracer Tests
Abstract
1. Introduction
2. Methods
2.1. Hydrogeological Tests
2.2. Conceptual Model
2.3. Mathematical Model
2.4. Numerical Model
2.5. Inversion of Hydrogeological Parameters
3. Results and Discussion
3.1. Analysis of Groundwater Flow Field Simulation Results
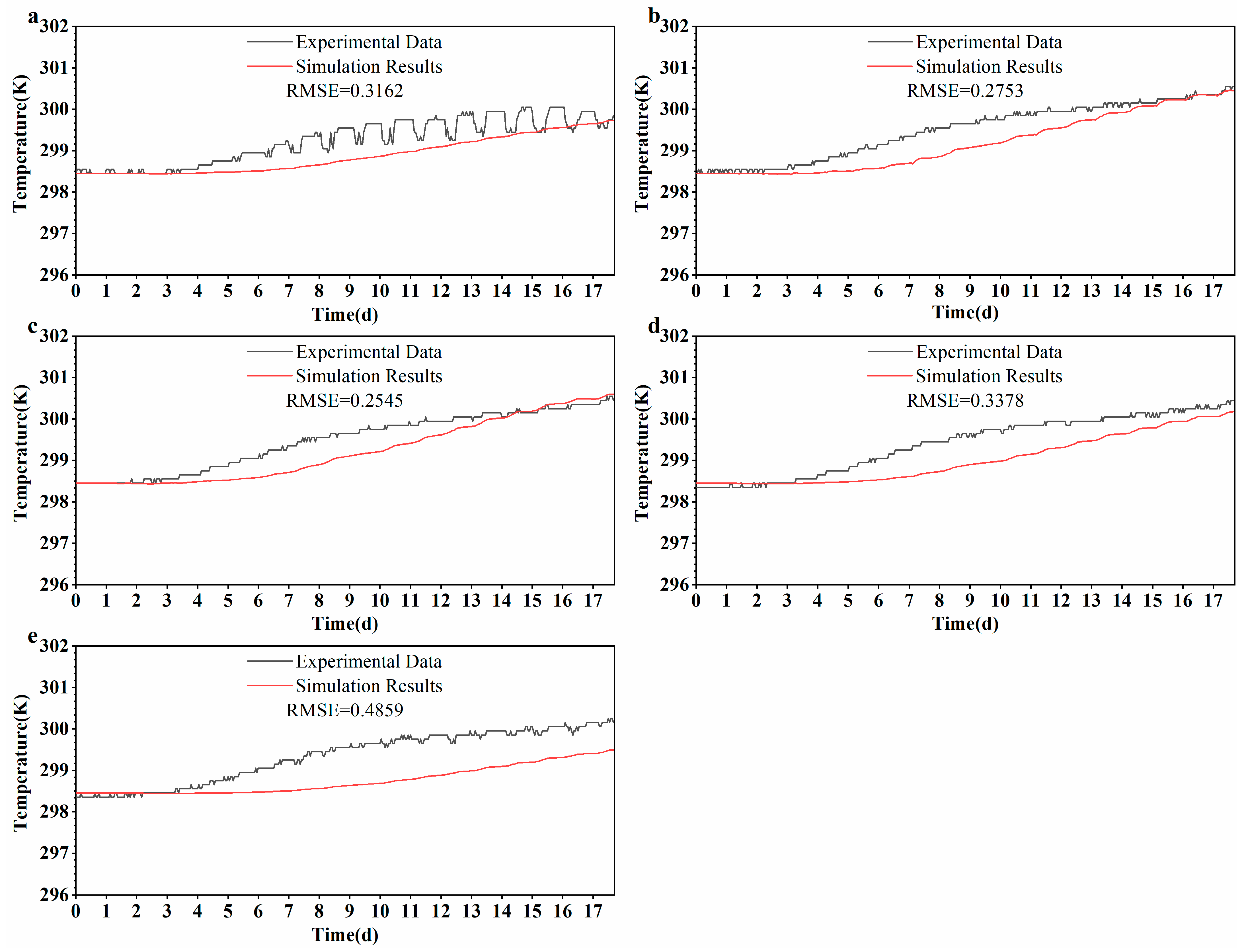
3.2. Analysis of Hydrothermal Coupling Results
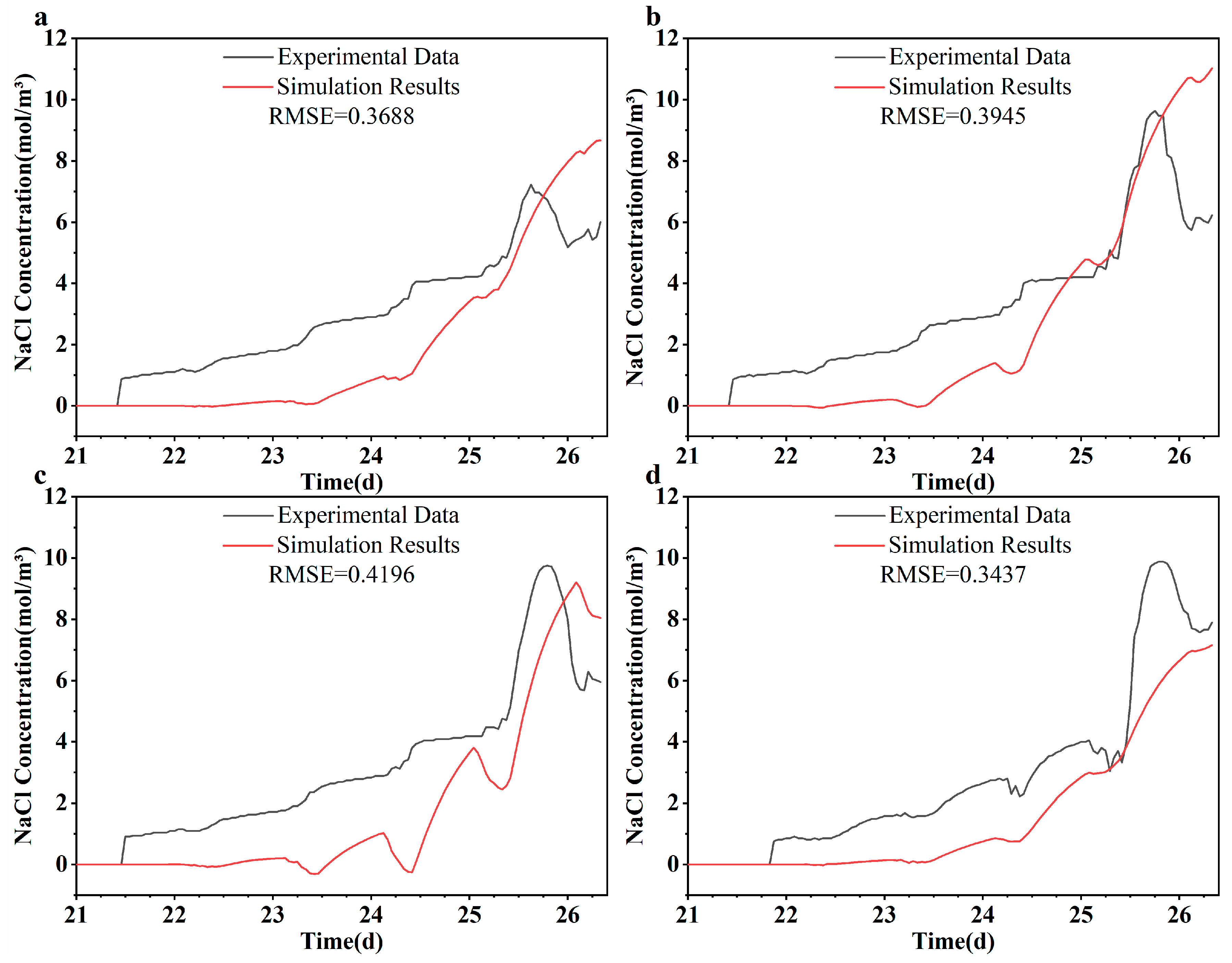
3.3. Analysis of Hydro-Salt Coupling Results
3.4. Analysis of Hydrothermal Salt Coupling Results
4. Conclusions
- (1)
- A comprehensive three-dimensional multiparameter monitoring platform was established at the site, which facilitated the simultaneous measurement of water level, temperature, and conductivity. This platform was also utilized for a coupled water-heat-salt tracer test. During the testing phase, extensive multilevel time-series data were collected, encompassing groundwater level, temperature, and conductivity measurements in observation wells. Notably, the initial alterations in temperature and conductivity were detected in the stratum located at a burial depth of 9 to 11 m, suggesting a significant hydraulic conductivity within the formation at this specific depth.
- (2)
- The RMSE between the simulated water levels in observation wells and the test values derived from the single groundwater flow model is minimal, suggesting a more precise representation of the groundwater flow field and an accurate inversion of the aquifer’s hydraulic conductivity. In the coupled hydrothermal-salt model, the test section is stratified to account for the influences of temperature and solute concentration (specifically NaCl), leading to adjustments in the hydraulic conductivities of the various layers. As a result, the hydraulic conductivity that reflects hydrothermal-salt interactions is determined. Furthermore, the RMSE between the water level data from the observation wells during the coupled tracer test and the simulated values from the coupled model is significantly reduced, indicating a more refined portrayal of the aquifer and enhanced accuracy in the hydraulic conductivities obtained through inversion.
- (3)
- Based on the experimental platform to obtain data on pollutant migration and transformation under the influence of three-dimensional multifield coupling and the numerical model of multiphysical field coupling, physical and numerical simulation experiments on seepage and solvent transport are carried out under the coupling of different physical fields. The inversion results for the hydraulic conductivity of the target aquifer range from 6.72 × 10−6 m/s to 8.52 × 10−6 m/s, with the effective thermal conductivity of 2.2 W/(m·K), the longitudinal diffusivity of 0.554 m, and the transverse dispersion of 0.05 m.
- (4)
- The coupling between the temperature field and solute concentration field arises from the effect of temperature on the salt diffusion coefficient. Changes in temperature influence the salt diffusion coefficient, thereby affecting the rate of salt transport and the degree of dispersion. During the transport of dissolved substances in groundwater, heat is also released or absorbed by the salt transport. Higher salt concentrations in groundwater reduce the specific heat capacity of the groundwater, leading to faster temperature changes.
Author Contributions
Funding
Data Availability Statement
Conflicts of Interest
References
- Cusano, D.; Coda, S.; De Vita, P.; Fabbrocino, S.; Fusco, F.; Lepore, D.; Nicodemo, F.; Pizzolante, A.; Tufano, R.; Allocca, V. A comparison of methods for assessing groundwater vulnerability in karst aquifers: The case study of Terminio Mt. aquifer (Southern Italy). Sustain. Environ. Res. 2023, 33, 42. [Google Scholar] [CrossRef]
- Ma, J.; Li, D.; Wang, M. The Evaluation of the Hydrogeological Parameters of a Field Pumping Test within Multi-layer Unconfined Pebble Aquifers: A Case Study. Ksce J. Civ. Eng. 2021, 25, 4018–4031. [Google Scholar] [CrossRef]
- Li, P.; Qian, H.; Wu, J. Comparison of three methods of hydrogeological parameter estimation in leaky aquifers using transient flow pumping tests. Hydrol. Process. 2014, 28, 2293–2301. [Google Scholar] [CrossRef]
- Demichele, F.; Micallef, F.; Portoghese, I.; Mamo, J.A.; Sapiano, M.; Schembri, M.; Schueth, C. Determining Aquifer Hydrogeological Parameters in Coastal Aquifers from Tidal Attenuation Analysis, Case Study: The Malta Mean Sea Level Aquifer System. Water 2023, 15, 177. [Google Scholar] [CrossRef]
- Xu, Q.; Wang, G.; Liang, X.; Qu, S.; Shi, Z.; Wang, X. Determination of Mining-Induced Changes in Hydrogeological Parameters of Overburden Aquifer in a Coalfield, Northwest China: Approaches Using the Water Level Response to Earth Tides. Geofluids 2021, 2021, 5516997. [Google Scholar] [CrossRef]
- Mejia, N.; Scheytt, T.J.; Murillo, M. Hydrogeological characterization and utilization of the Siguatepeque aquifer, Honduras. Hydrogeol. J. 2024, 32, 557–575. [Google Scholar] [CrossRef]
- Srzic, V.; Lovrinovic, I.; Racetin, I.; Pletikosic, F. Hydrogeological Characterization of Coastal Aquifer on the Basis of Observed Sea Level and Groundwater Level Fluctuations: Neretva Valley Aquifer, Croatia. Water 2020, 12, 348. [Google Scholar] [CrossRef]
- Zhang, H.; Shi, Z.; Wang, G.; Yan, X.; Liu, C.; Sun, X.; Ma, Y.; Wen, D. Different Sensitivities of Earthquake-Induced Water Level and Hydrogeological Property Variations in Two Aquifer Systems. Water Resour. Res. 2021, 57, e2020WR028217. [Google Scholar] [CrossRef]
- Cardiff, M.; Barrash, W. Analytical and Semi-Analytical Tools for the Design of Oscillatory Pumping Tests. Groundwater 2015, 53, 896–907. [Google Scholar] [CrossRef]
- Yu, X.; Zhang, J.; Miao, D. Innovative Closure Law for Pump-Turbines and Field Test Verification. J. Hydraul. Eng. 2015, 141, 05014010. [Google Scholar] [CrossRef]
- Zech, A.; Attinger, S. Technical note: Analytical drawdown solution for steady-state pumping tests in two-dimensional isotropic heterogeneous aquifers. Hydrol. Earth Syst. Sci. 2016, 20, 1655–1667. [Google Scholar] [CrossRef]
- Chen, J.-L.; Wen, J.-C.; Yeh, T.-C.J.; Lin, K.-Y.A.; Wang, Y.-L.; Huang, S.-Y.; Ma, Y.; Yu, C.-Y.; Lee, C.-H. Reproducibility of hydraulic tomography estimates and their predictions: A two-year case study in Taiwan. J. Hydrol. 2019, 569, 117–134. [Google Scholar] [CrossRef]
- Huang, S.-Y.; Wen, J.-C.; Yeh, T.-C.J.; Lu, W.; Juan, H.-L.; Tseng, C.-M.; Lee, J.-H.; Chang, K.-C. Robustness of joint interpretation of sequential pumping tests: Numerical and field experiments. Water Resour. Res. 2011, 47, W10530. [Google Scholar] [CrossRef]
- Zech, A.; Mueller, S.; Mai, J.; Hesse, F.; Attinger, S. Extending Theis’ solution: Using transient pumping tests to estimate parameters of aquifer heterogeneity. Water Resour. Res. 2016, 52, 6156–6170. [Google Scholar] [CrossRef]
- Deng, R.; Wu, D.; Zhao, S. Numerical simulation of ground and groundwater factors affecting NMR probe. Desalination Water Treat. 2018, 121, 118–125. [Google Scholar] [CrossRef]
- Dong, L.; Luo, Z.; Guo, H.; Cheng, L.; Wang, X.; Zhao, Q. The impact of developing a regional multiwell groundwater heat pump system on the geological environment: A case study in Haimen, China. Hydrogeol. J. 2025, 33, 257–277. [Google Scholar] [CrossRef]
- Hayley, K. The Present State and Future Application of Cloud Computing for Numerical Groundwater Modeling. Groundwater 2017, 55, 678–682. [Google Scholar] [CrossRef]
- Miao, T.; Guo, J. Application of artificial intelligence deep learning in numerical simulation of seawater intrusion. Environ. Sci. Pollut. Res. 2021, 28, 54096–54104. [Google Scholar] [CrossRef]
- Szabó, N.P. A genetic meta-algorithm-assisted inversion approach: Hydrogeological study for the determination of volumetric rock properties and matrix and fluid parameters in unsaturated formations. Hydrogeol. J. 2018, 26, 1935–1946. [Google Scholar] [CrossRef]
- Moharir, K.; Pande, C.; Patil, S. Inverse modelling of aquifer parameters in basaltic rock with the help of pumping test method using MODFLOW software. Geosci. Front. 2017, 8, 1385–1395. [Google Scholar] [CrossRef]
- Tang, L.; Cheng, Z.; Li, G.; Chen, Y.; Wang, Y. Permeability coefficient of waterproof curtain by borehole packer test. J. Hydrol. 2023, 625, 130023. [Google Scholar] [CrossRef]
- Wagner, V.; Bayer, P.; Bisch, G.; Kuebert, M.; Blum, P. Hydraulic characterization of aquifers by thermal response testing: Validation by large-scale tank and field experiments. Water Resour. Res. 2014, 50, 71–85. [Google Scholar] [CrossRef]
- Scorpo, A.L.; Nordell, B.; Gehlin, S. A Method to Estimate the Hydraulic Conductivity of the Ground by TRT Analysis. Groundwater 2017, 55, 110–118. [Google Scholar] [CrossRef] [PubMed]
- Qi, C.; Zhou, R.; Zhan, H. Analysis of heat transfer in an aquifer thermal energy storage system: On the role of two-dimensional thermal conduction. Renew. Energy 2023, 217, 119156. [Google Scholar] [CrossRef]
- Canul-Macario, C.; Gonzalez-Herrera, R.; Sanchez-Pinto, I.; Graniel-Castro, E. Contribution to the evaluation of solute transport properties in a karstic aquifer (Yucatan, Mexico). Hydrogeol. J. 2019, 27, 1683–1691. [Google Scholar] [CrossRef]
- List, E.J. Contaminant Dispersion and Breakthrough in Groundwater Flow: Case Study in Maui, Hawaii. J. Hydraul. Eng. 2022, 148, 05022006. [Google Scholar] [CrossRef]
- Yan, C.; Xie, X.; Ren, Y.; Ke, W.; Wang, G. A FDEM-based 2D coupled thermal-hydro-mechanical model for multiphysical simulation of rock fracturing. Int. J. Rock Mech. Min. Sci. 2022, 149, 104964. [Google Scholar] [CrossRef]
- Beyer, C.; Popp, S.; Bauer, S. Simulation of temperature effects on groundwater flow, contaminant dissolution, transport and biodegradation due to shallow geothermal use. Environ. Earth Sci. 2016, 75, 1244. [Google Scholar] [CrossRef]
- Huang, J.; Zhang, C. Role of Temperature and Flow in Biomass Transporting in Porous Media. In Proceedings of the 2nd International Conference on Civil Engineering, Architecture and Building Materials (CEABM 2012), Yantai, China, 25–27 May 2012; pp. 80–87. [Google Scholar]
- Wei, Y.; Chen, Y.; Cao, X.; Xiang, M.; Huang, Y.; Li, H. A Critical Review of Groundwater Table Fluctuation: Formation, Effects on Multifields, and Contaminant Behaviors in a Soil and Aquifer System. Environ. Sci. Technol. 2024, 58, 2185–2203. [Google Scholar] [CrossRef]
- Chen, Z.-G.; Tang, C.-S.; Shen, Z.; Liu, Y.-M.; Shi, B. The geotechnical properties of GMZ buffer/backfill material used in high- level radioactive nuclear waste geological repository: A review. Environ. Earth Sci. 2017, 76, 270. [Google Scholar] [CrossRef]
- Cuiuli, E.; Procopio, S. Hydrogeological Survey, Radiometric Analysis and Field Parametric Measurements: A Combined Tool for the Study of Porous Aquifers. Water 2022, 14, 2173. [Google Scholar] [CrossRef]
- Barlebo, H.C.; Hill, M.C.; Rosbjerg, D. Investigating the Macrodispersion Experiment (MADE) site in Columbus, Mississippi, using a three-dimensional inverse flow and transport model. Water Resour. Res. 2004, 40, W04211. [Google Scholar] [CrossRef]
- Bowling, J.C.; Zheng, C.M.; Rodriguez, A.B.; Harry, D.L. Geophysical constraints on contaminant transport modeling in a heterogeneous fluvial aquifer. J. Contam. Hydrol. 2006, 85, 72–88. [Google Scholar] [CrossRef] [PubMed]
- Qiao, X.; Xiao, P.; Wang, J.; Li, J.; Wang, L. Reconstruction project of Zhengzhou groundwater balance experiment site: Promotion of the key application problems of experiment site monitoring data. Hydrogeol. Eng. Geol. 2020, 47, 46–52. [Google Scholar]
- Chen, Z.; Yue, R.; Liu, L.; Yin, L.; Mao, X. Modeling of the heat transfer of in-situ electrical resistance heating remediation and numerical simulation. Chin. J. Environ. Eng. 2022, 16, 2653–2662. [Google Scholar]
- Rastorguev, I.A. Two-Dimensional Flow and Mass Transport through Variably Saturated Porous Media from a Surface Waste Storage. Water Resour. 2020, 47, 211–221. [Google Scholar] [CrossRef]
- Karmakar, S.; Tatomir, A.; Oehlmann, S.; Giese, M.; Sauter, M. Numerical Benchmark Studies on Flow and Solute Transport in Geological Reservoirs. Water 2022, 14, 1310. [Google Scholar] [CrossRef]
- Jafari, A.; Vahab, M.; Broumand, P.; Khalili, N. An eXtended finite element method implementation in COMSOL multiphysics: Thermo-hydro-mechanical modeling of fluid flow in discontinuous porous media. Comput. Geotech. 2023, 159, 105458. [Google Scholar] [CrossRef]
- Zlotnik, V.; Rabinovich, A.; Cardiff, M. The Bredehoeft problem: Evaluating salvage during groundwater pumping in unconfined aquifers. J. Hydrol. 2024, 637, 131293. [Google Scholar] [CrossRef]
- Mohamed, Y.S.; Hozien, O.; Sorour, M.M.; El-Maghlany, W.M. Heat transfer simulation of nanofluids heat transfer in a helical coil under isothermal boundary conditions using COMSOL multiphysics. Int. J. Therm. Sci. 2023, 192, 108396. [Google Scholar] [CrossRef]
- Colombani, N.; Giambastiani, B.M.S.; Mastrocicco, M. Combined use of heat and saline tracer to estimate aquifer properties in a forced gradient test. J. Hydrol. 2015, 525, 650–657. [Google Scholar] [CrossRef]
- Ptak, T.; Piepenbrink, M.; Martac, E. Tracer tests for the investigation of heterogeneous porous media and stochastic modelling of flow and transport—A review of some recent developments. J. Hydrol. 2004, 294, 122–163. [Google Scholar] [CrossRef]
- Qiao, F.; Wang, J.; Chen, Z.; Zheng, S.; Kwaw, A.K.; Zhao, Y.; Huang, J. Experimental research on the transport-transformation of organic contaminants under the influence of multi-field coupling at a site scale. J. Hazard. Mater. 2024, 470, 134222. [Google Scholar] [CrossRef] [PubMed]
















| Model Layer | Initial Value of the Hydraulic Conductivity (m/s) | Corrected Hydraulic Conductivity Value (m/s) | Specific Storage (1/m) | Porosity | |
|---|---|---|---|---|---|
| Layer 1 | Filler | 4.62 × 10−5 | 4.62 × 10−5 | 0.002 | 0.469 |
| Layer 2 | Clay layer | 5.53 × 10−6 | 7.22 × 10−6 | 0.0012 | 0.33 |
| Layers 3–7 | Clay layer (test section) | 5.53 × 10−6 | 7.22 × 10−6 | 0.0012 | 0.3 |
| Layer 8 | bedrock layer | 5.26 × 10−7 | 5.26 × 10−7 | 0.0008 | 0.13 |
| Model Layer | Depths/(m) | Longitudinal Thermal Conductivity/(W/(m·K)) | Transverse Thermal Conductivity/(W/(m·K)) | Vertical Thermal Conductivity/(W/(m·K)) | Dry Density/(kg/m3) | Constant Pressure Heat Capacity/(J/(kg·K)) |
|---|---|---|---|---|---|---|
| clay layer | 8.5~13.5 | 2.2 | 0.45 | 1.25 | 1700 | 1065 |
| Model Layer | Depths/(m) | Fluid Diffusion Coefficient/(m2/s) | Longitudinal Dispersion/(m) | Transverse Dispersion/(m) |
|---|---|---|---|---|
| clay layer | 8.5~13.5 | 1.9 × 10−6 | 0.554 | 0.05 |
| Model Layer | Depths/(m) | Hydraulic Conductivity/(m/s) | Specific Storage/(1/m) | Porosity | |
|---|---|---|---|---|---|
| Initial Value | Correction Value | ||||
| Model Layer 3 | 8~9 | 7.22 × 10−6 | 7.22 × 10−6 | 0.0012 | 0.3 |
| Model Layer 4 | 9~10 | 7.22 × 10−6 | 8.23 × 10−6 | 0.0012 | 0.3 |
| Model Layer 5 | 10~11 | 7.22 × 10−6 | 8.52 × 10−6 | 0.0012 | 0.3 |
| Model Layer 6 | 11~12 | 7.22 × 10−6 | 8.28 × 10−6 | 0.0012 | 0.3 |
| Model Layer 7 | 12~13 | 7.22 × 10−6 | 6.72 × 10−6 | 0.0012 | 0.3 |
Disclaimer/Publisher’s Note: The statements, opinions and data contained in all publications are solely those of the individual author(s) and contributor(s) and not of MDPI and/or the editor(s). MDPI and/or the editor(s) disclaim responsibility for any injury to people or property resulting from any ideas, methods, instructions or products referred to in the content. |
© 2025 by the authors. Licensee MDPI, Basel, Switzerland. This article is an open access article distributed under the terms and conditions of the Creative Commons Attribution (CC BY) license (https://creativecommons.org/licenses/by/4.0/).
Share and Cite
Yang, J.; Chen, C.; Huang, G.; Huang, J.; Chen, Z. Inversion of Hydrogeological Parameters of Polluted Sites Based on Coupled Hydrothermal Salt-Tracer Tests. Water 2025, 17, 1607. https://doi.org/10.3390/w17111607
Yang J, Chen C, Huang G, Huang J, Chen Z. Inversion of Hydrogeological Parameters of Polluted Sites Based on Coupled Hydrothermal Salt-Tracer Tests. Water. 2025; 17(11):1607. https://doi.org/10.3390/w17111607
Chicago/Turabian StyleYang, Junwei, Changsheng Chen, Guojiao Huang, Jintao Huang, and Zhou Chen. 2025. "Inversion of Hydrogeological Parameters of Polluted Sites Based on Coupled Hydrothermal Salt-Tracer Tests" Water 17, no. 11: 1607. https://doi.org/10.3390/w17111607
APA StyleYang, J., Chen, C., Huang, G., Huang, J., & Chen, Z. (2025). Inversion of Hydrogeological Parameters of Polluted Sites Based on Coupled Hydrothermal Salt-Tracer Tests. Water, 17(11), 1607. https://doi.org/10.3390/w17111607
