A Hybrid Treatment System of the Coagulation/Flocculation/Settling Stage Followed by a Membrane Bioreactor (CFS-MBR) for Superior Removal of Cr and Nutrient Pollutants from Tannery Wastewater
Abstract
1. Introduction
2. Materials and Methods
2.1. Tannery Wastewater
2.2. The Hybrid System (Coagulation/Flocculation/Settling Stage Followed by Membrane Bioreactor)
2.2.1. Coagulation Section
Preparation of Coagulants
Coagulation Studies
2.2.2. MBR Filtration Experiment
2.3. Analysis
2.3.1. Measurement of MLSS and MLVSS
2.3.2. Chromium, Turbidity, and COD Measurements
2.3.3. pH Measurement
2.3.4. Monitoring Transmembrane Pressure (TMP)
2.4. Statistical Modeling, Data Analysis, and Optimization
3. Results and Discussion
3.1. Performance of Coagulation/Flocculation Treatment
3.2. Membrane Bioreactor (MBR) Treatment
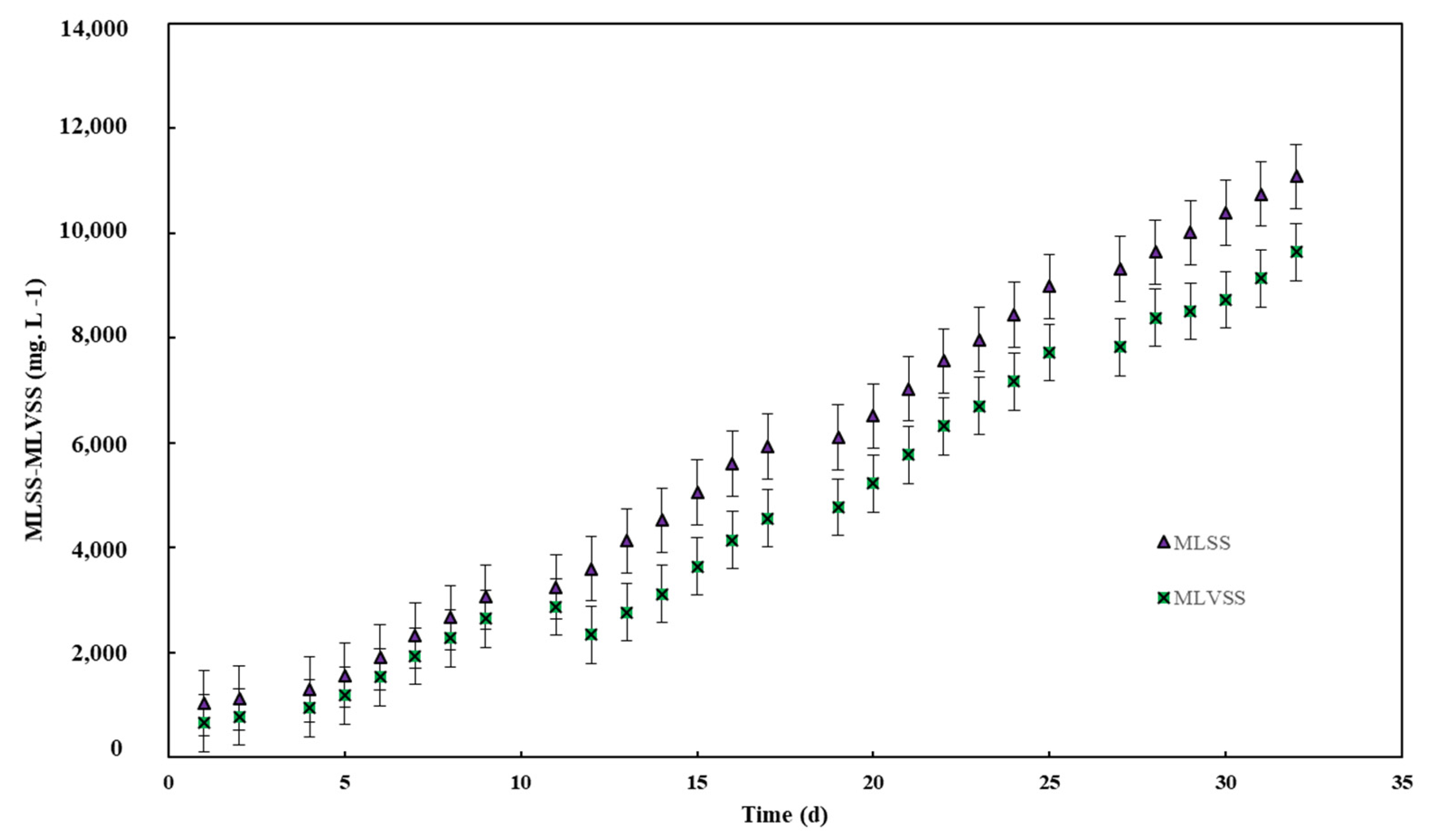
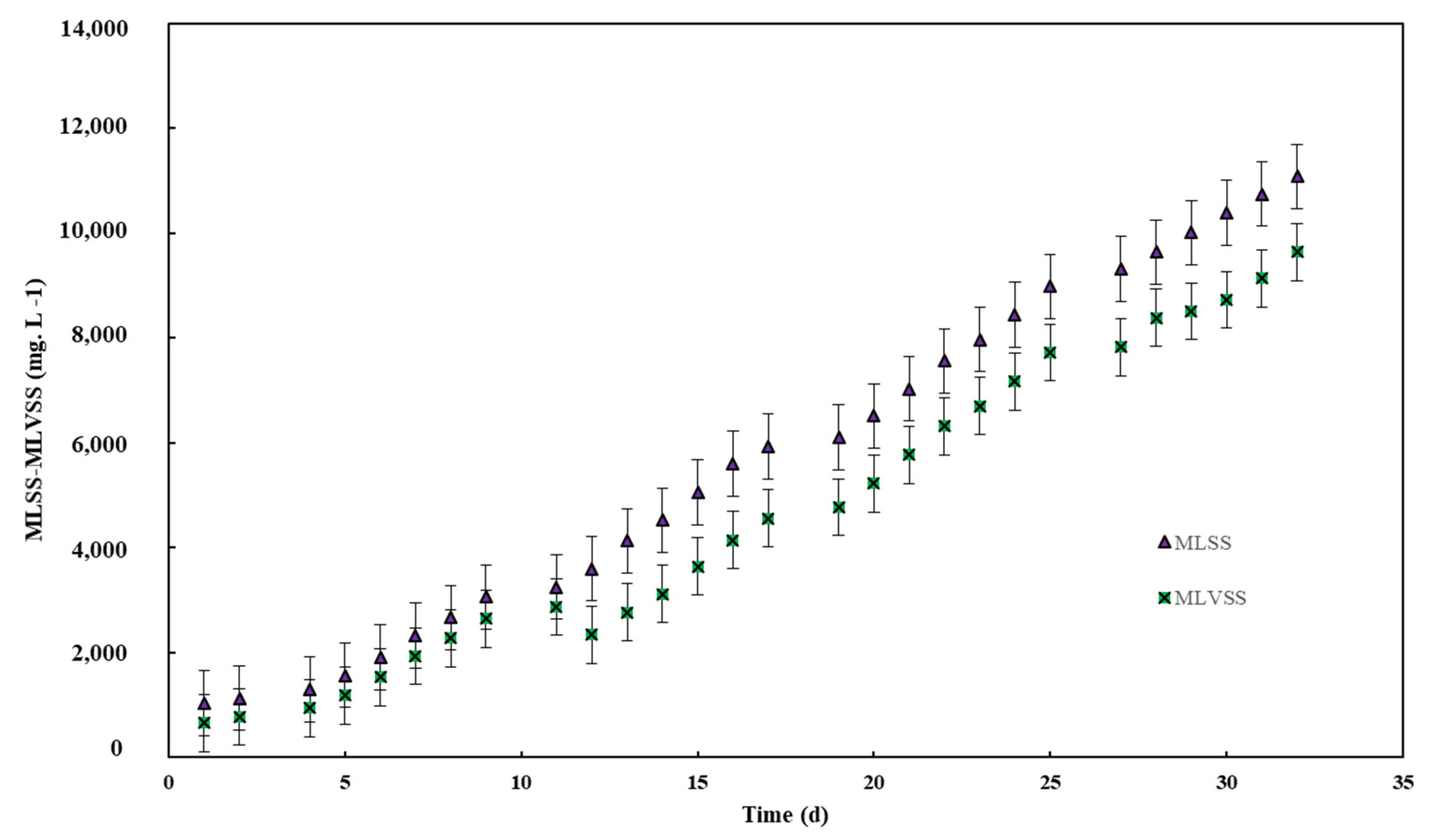
3.2.1. MLSS and MLVSS Variation in MBR
3.2.2. COD Removal
3.2.3. Turbidity Removal
3.2.4. Cr Removal Performance
4. Conclusions
Author Contributions
Funding
Data Availability Statement
Acknowledgments
Conflicts of Interest
References
- Hashem, A.; Mim, M.W.; Noshin, N.; Maoya, M. Chromium Adsorption Capacity from Tannery Wastewater on Thermally Activated Adsorbent Derived from Kitchen Waste Biomass. Clean. Water 2024, 1, 100001. [Google Scholar] [CrossRef]
- Sawalha, H.; Alsharabaty, R.; Sarsour, S.; Al-Jabari, M. Wastewater from Leather Tanning and Processing in Palestine: Characterization and Management Aspects. J. Environ. Manag. 2019, 251, 109596. [Google Scholar] [CrossRef] [PubMed]
- Gil, R.A.; Cerutti, S.; Gásquez, J.A.; Olsina, R.A.; Martinez, L.D. Preconcentration and Speciation of Chromium in Drinking Water Samples by Coupling of On-Line Sorption on Activated Carbon to ETAAS Determination. Talanta 2006, 68, 1065–1070. [Google Scholar] [CrossRef] [PubMed]
- Hussain, C.M.; Keçili, R. Modern Environmental Analysis Techniques for Pollutants; Elsevier: Amsterdam, The Netherlands, 2020; pp. 1–36. [Google Scholar]
- Daneshvar, N.; Salari, D.; Aber, S. Chromium Adsorption and Cr(VI) Reduction to Trivalent Chromium in Aqueous Solutions by Soya Cake. J. Hazard. Mater. 2002, 94, 49–61. [Google Scholar] [CrossRef]
- Long, Z.; Zhang, G.; Du, H.; Zhu, J.; Li, J. Preparation and Application of BiOBr-Bi2S3 Heterojunctions for Efficient Photocatalytic Removal of Cr(VI). J. Hazard. Mater. 2021, 407, 124394. [Google Scholar] [CrossRef]
- Zhao, Y.; Kang, D.; Chen, Z.; Zhan, J.; Wu, X. Removal of Chromium Using Electrochemical Approaches: A Review. Int. J. Electrochem. Sci. 2018, 13, 1250–1259. [Google Scholar] [CrossRef]
- Tolkou, A.K.; Trikalioti, S.; Makrogianni, O.; Xanthopoulou, M.; Deliyanni, E.A.; Katsoyiannis, I.A.; Kyzas, G.Z. Chromium(VI) Removal from Water by Lanthanum Hybrid Modified Activated Carbon Produced from Coconut Shells. Nanomaterials 2022, 12, 1067. [Google Scholar] [CrossRef]
- Mamais, D.; Noutsopoulos, C.; Kavallari, I.; Nyktari, E.; Kaldis, A.; Panousi, E.; Nikitopoulos, G.; Antoniou, K.; Nasioka, M. Biological Groundwater Treatment for Chromium Removal at Low Hexavalent Chromium Concentrations. Chemosphere 2016, 152, 238–244. [Google Scholar] [CrossRef]
- Imdad, S.; Dohare, R.K.; Agarwal, M.; Srivastava, A. Efficient Removal of Cr (VI) from Wastewater Using Recycled Polymer-Based Supported Ionic Liquid Membrane Technology. Sep. Purif. Technol. 2023, 327, 124908. [Google Scholar] [CrossRef]
- Ji, J.; Kulshreshtha, S.; Kakade, A.; Majeed, S.; Li, X.; Liu, P. Bioaugmentation of Membrane Bioreactor with Aeromonas Hydrophila LZ-MG14 for Enhanced Malachite Green and Hexavalent Chromium Removal in Textile Wastewater. Int. Biodeterior. Biodegrad. 2020, 150, 104939. [Google Scholar] [CrossRef]
- Ghangrekar, M.M.; Sathe, S.M.; Chakraborty, I. Situ Bioremediation Techniques for the Removal of Emerging Contaminants and Heavy Metals Using Hybrid Microbial Electrochemical Technologies. In Emerging Technologies in Environmental Bioremediation; Shah, M.P., Couto, S.R., Şengör, S.S., Eds.; Elsevier: Amsterdam, The Netherlands, 2020; pp. 233–255. [Google Scholar]
- Lugo, L.; Martín, A.; Diaz, J.; Pérez-Flórez, A.; Celis, C. Implementation of Modified Acacia Tannin by Mannich Reaction for Removal of Heavy Metals (Cu, Cr and Hg). Water 2020, 12, 352. [Google Scholar] [CrossRef]
- Atallah, C.; Mosadeghsedghi, S.; Dashtban Kenari, S.L.; Hudder, M.; Morin, L.; Volchek, K.; Mortazavi, S.; Ben Salah, I. Removal of Heavy Metals from Mine Water Using a Hybrid Electrocoagulation-Ceramic Membrane Filtration Process. Desalination Water Treat. 2024, 320, 100730. [Google Scholar] [CrossRef]
- Costa, F.C.R.; Moreira, V.R.; Guimarães, R.N.; Moser, P.B.; Santos, L.V.S.; De Paula, E.C.; Amaral, M.C.S. Pre-Oxidation and Coagulation-Flocculation as a Pretreatment to UF-RO Applied for Surface Water Treatment and Arsenic Removal. Desalination 2024, 586, 117855. [Google Scholar] [CrossRef]
- Esteki, S.; Karsaz, M.; Ghofrani, B.; Yegani, R.; Majidi, S. Combination of Membrane Bioreactor with Chemical Coagulation for the Treatment of Real Pharmaceutical Wastewater: Comparison of Simultaneous and Consecutive Pre-Treatment of Coagulation on MBR Performance. J. Water Process. Eng. 2024, 60, 105108. [Google Scholar] [CrossRef]
- Keyvan Hosseini, M.; Liu, L.; Keyvan Hosseini, P.; Bhattacharyya, A.; Lee, K.; Miao, J.; Chen, B. Review of Hollow Fiber (HF) Membrane Filtration Technology for the Treatment of Oily Wastewater: Applications and Challenges. J. Mar. Sci. Eng. 2022, 10, 1313. [Google Scholar] [CrossRef]
- Izadi, A.; Hosseini, M.; Darzi, G.N.; Bidhendi, G.N.; Shariati, F.P. Performance of an Integrated Fixed Bed Membrane Bioreactor (FBMBR) Applied to Pollutant Removal from Paper-Recycling Wastewater. Water Resour. Ind. 2019, 21, 100111. [Google Scholar] [CrossRef]
- Iorhemen, O.T.; Hamza, R.A.; Tay, J.H. Membrane Bioreactor (Mbr) Technology for Wastewater Treatment and Reclamation: Membrane Fouling. Membranes 2016, 6, 33. [Google Scholar] [CrossRef]
- Sanchez, L.; Vinardell, S.; Charreton, J.; Heran, M.; Lesage, G. Assessing the Impact of Granular Anaerobic Membrane Bioreactor 1 Intensification on Treatment Performance, Membrane Fouling and 2 Economic Balance. J. Environ. Chem. Eng. 2023, 11, 109369. [Google Scholar] [CrossRef]
- Mannina, G.; Alliet, M.; Brepols, C.; Comas, J.; Heran, M.; Robles, A.; Rodriguez-Roda, I.; Ruano, M.V.; Garcia, V.S.; Smets, I.; et al. Optimization of MBRs through Integrated Modelling: A State of the Art. J. Env. Manag. 2024, 370, 122720. [Google Scholar] [CrossRef]
- Keerthi; Vinduja, V.; Balasubramanian, N. Electrocoagulation-Integrated Hybrid Membrane Processes for the Treatment of Tannery Wastewater. Environ. Sci. Pollut. Res. Int. 2013, 20, 7441–7449. [Google Scholar] [CrossRef]
- Sarup, R.; Behl, K.; Joshi, M.; Nigam, S. Heavy Metal Removal by Cyanobacteria. In New Trends in Removal of Heavy Metals from Industrial Wastewater; Shah, M.P., Couto, S.R., Kumar, V., Eds.; Elsevier: Amsterdam, The Netherlands, 2021; pp. 441–466. [Google Scholar]
- Keyvan Hosseini, M.; Keyvan Hosseini, P.; Helchi, S.; Pajoum Shariati, F. The comparison between two methods of membrane cleaning to control membrane fouling in a hybrid membrane photobioreactor (HMPBR). Prep. Biochem. Biotechnol. 2023, 53, 394–400. [Google Scholar] [CrossRef] [PubMed]
- Martín-Domínguez, A.; Rivera-Huerta, M.L.; Pérez-Castrejón, S.; Garrido-Hoyos, S.E.; Villegas-Mendoza, I.E.; Gelover-Santiago, S.L.; Drogui, P.; Buelna, G. Chromium Removal from Drinking Water by Redox-Assisted Coagulation: Chemical versus Electrocoagulation. Sep. Purif. Technol. 2018, 200, 266–272. [Google Scholar] [CrossRef]
- Lee, G.; Hering, J.G. Removal of Chromium(VI) from Drinking Water by Redox-Assisted Coagulation with Iron(II). J. Water Supply: Res. Technol.—AQUA 2003, 52, 319–322. [Google Scholar] [CrossRef]
- Clark, T.; Stephenson, T. Effects of Chemical Addition on Aerobic Biological Treatment of Municipal Wastewater. Environ. Technol. 1998, 19, 579–590. [Google Scholar] [CrossRef]
- Shen, X.; Gao, B.; Guo, K.; Yue, Q. Characterization and Influence of Floc under Different Coagulation Systems on Ultrafiltration Membrane Fouling. Chemosphere 2020, 238, 124659. [Google Scholar] [CrossRef]
- Mosaddeghi, M.R.; Pajoum Shariati, F.; Vaziri Yazdi, S.A.; Nabi Bidhendi, G. Application of Response Surface Methodology (RSM) for Optimizing Coagulation Process of Paper Recycling Wastewater Using Ocimum basilicum. Environ. Technol. 2020, 41, 100–108. [Google Scholar] [CrossRef]
- O’Dell, J.W. Method 180.1, Revision 2.0: The Determination of Turbidity by Nephelometry. U.S. Environmental Protection Agency (EPA), Environmental Monitoring Systems Laboratory, Office of Research and Development, Cincinnati, Ohio, August 1993. Available online: https://www.epa.gov/ (accessed on 1 August 1993).
- Kumar, K.; Singh, G.K.; Dastidar, M.G.; Sreekrishnan, T.R. Effect of Mixed Liquor Volatile Suspended Solids (MLVSS) and Hydraulic Retention Time (HRT) on the Performance of Activated Sludge Process during the Biotreatment of Real Textile Wastewater. Water Resour. Ind. 2014, 5, 1–8. [Google Scholar] [CrossRef]
- Environmental Protection Agency (EPA), Method 6020A, Revision 1: Inductively Coupled Plasma-Mass Spectrometry. EPA SW-846, Office of Solid Waste, February 2007. Available online: https://www.epa.gov/ (accessed on 1 January 1998).
- O’Dell, J.W. Method 410.4, Revision 2.0: The Determination of Chemical Oxygen Demand by Semi-Automated Colorimetry. U.S. Environmental Protection Agency (EPA), Environmental Monitoring Systems Laboratory, Office of Research and Development, Cincinnati, Ohio, August 1993. Available online: https://www.epa.gov/ (accessed on 1 August 1993).
- Chatzikonstantinou, K.; Tzamtzis, N.; Pappa, A.; Liodakis, S. Membrane Fouling Control Using High-Frequency Power Vibration, in an SMBR Pilot System—Preliminary Studies. Desalination Water Treat. 2016, 57, 11550–11560. [Google Scholar] [CrossRef]
- Ugarte, P.; Ramo, A.; Quílez, J.; Bordes, M.d.C.; Mestre, S.; Sánchez, E.; Peña, J.Á.; Menéndez, M. Low-Cost Ceramic Membrane Bioreactor: Effect of Backwashing, Relaxation and Aeration on Fouling. Protozoa and Bacteria Removal. Chemosphere 2022, 306, 135587. [Google Scholar]
- Bhagawan, D.; Poodari, S.; Pothuraju, T.; Srinivasulu, D.; Shankaraiah, G.; Yamuna Rani, M.; Himabindu, V.; Vidyavathi, S. Effect of Operational Parameters on Heavy Metal Removal by Electrocoagulation. Environ. Sci. Pollut. Res. Int. 2014, 21, 14166–14173. [Google Scholar] [CrossRef]
- Arukula, D.; Prem, P.; Tanwi, P.; Hariraj, S.; Vijay, L.M.; Brijesh, K.M. Treatment of Tannery Wastewater Using Aluminium Formate: Influence of the Formate over Sulphate-Based Coagulant. Glob. NEST J. 2018, 20, 458–464. [Google Scholar]
- Ogunfowokan, A.O.; Durosinmi, L.M.; Oyekunle, J.A.O.; Ogunkunle, O.A.; Igbafe, I.T. Removal of Heavy Metals from Industrial Wastewaters Using Local Alum and Other Conventional Coagulants—A Comparative Study. J. Appl. Sci 2007, 7, 1416–1421. [Google Scholar] [CrossRef]
- Zhang, J.; Chuan, C.H.; Zhou, J.; Fane, A.G. Effect of sludge retention time on membrane bio-fouling intensity in a submerged membrane bioreactor. Sep. Sci. Technol. 2006, 41, 1313–1329. [Google Scholar]
- Malik, A.; Hussain, M.; Uddin, F.; Raza, W.; Hussain, S.; Habiba, U.E.; Malik, T.; Ajmal, Z. Investigation of textile dyeing effluent using activated sludge system to assess the removal efficiency. Water Environ. Res. 2021, 93, 2931–2940. [Google Scholar] [CrossRef]
- Mlaik, N.; Bouzid, J.; Belbahri, L.; Woodward, S.; Mechichi, T. Combined Biological Processing and Microfiltration in the Treatment of Unhairing Wastewater. Environ. Sci. Pollut. Res. Int. 2012, 19, 226–234. [Google Scholar] [CrossRef]
- Malamis, S.; Katsou, E.; Chazilias, D.; Loizidou, M. Investigation of Cr(III) Removal from Wastewater with the Use of MBR Combined with Low-Cost Additives. J. Memb. Sci. 2009, 333, 12–19. [Google Scholar] [CrossRef]
- Narayani, M.; Shetty, K.V. Chromium-resistant bacteria and their environmental condition for hexavalent chromium removal: A review. Crit. Rev. Environ. Sci. Technol. 2013, 43, 955–1009. [Google Scholar] [CrossRef]
- Kookhaee, F.; Bafroee, A.S.; Jabalameli, L. Isolation and characterization of chromium (VI) tolerant bacteria from tannery effluents. J. Environ. Health Sci. Eng. 2022, 20, 443–458. [Google Scholar] [CrossRef]








| Parameters | Chromium (III) (mg.L−1) | COD (mg.L−1) | Turbidity (NTU) | pH Value | Temperature (°C) |
|---|---|---|---|---|---|
| Raw Wastewater | 2860 ± 15 | 5465 ± 25 | 1152 ± 15 | 6.5–8 | 20–25 |
| CFS * Outlet (1635 mgAl.L−1, 1503 mgSeed.L−1) | 102–124 | 2015–2028 | 115–230 | 6.5–8 | 20–25 |
| MBR ** Outlet | 0.85–2.2 | 80–100 | 2–2.3 | 6.5–8 | 20–25 |
| Parameters | Amount |
|---|---|
| Hydraulic Retention Time (HRT) | 24 (h) |
| pH | 6.5–8 |
| Membrane flux (Jw) | 15 (LMH *) |
| Solid Retention Time (SRT) | ∞ |
| Temperature (°C) | 20–25 |
| Experimental Run | pH | Alum Concentration (mg.L−1) | Mucilage Concentration (mg.L−1) | Cr Removal Efficiency (%) | COD Removal Efficiency (%) | Turbidity Removal Efficiency (%) |
|---|---|---|---|---|---|---|
| 1 | 8 | 1100 | 200 | 72.2 | 52.5 | 55.7 |
| 2 | 6 | 1100 | 1100 | 17.3 | 12 | 24.16 |
| 3 | 9.1 | 1635.1 | 564.8 | 90 | 62 | 80 |
| 4 | 8 | 1100 | 1100 | 82.3 | 58 | 63 |
| 5 | 10 | 1100 | 1100 | 92.5 | 58.7 | 81.7 |
| 6 | 8 | 1100 | 1100 | 79.3 | 54.3 | 69 |
| 7 | 9.1 | 564.8 | 1635.1 | 83.7 | 57.7 | 70.7 |
| 8 | 8 | 1100 | 1100 | 75.3 | 61 | 61 |
| 9 | 6.8 | 1635.1 | 1635.1 | 39.5 | 24.5 | 50 |
| 10 | 8 | 2000 | 1100 | 73.8 | 54.5 | 75 |
| 11 | 8 | 200 | 1100 | 59 | 47.3 | 54 |
| 12 | 6.8 | 564.8 | 564.8 | 30.9 | 23 | 37 |
| 13 | 8 | 1100 | 2000 | 75.8 | 51.5 | 70 |
| 14 | 6.8 | 564.8 | 1635.1 | 28 | 22 | 44 |
| 15 | 8 | 1100 | 1100 | 81.3 | 59.3 | 65 |
| 16 | 6.8 | 1635.1 | 564.8 | 35.1 | 27.6 | 38.7 |
| 17 | 8 | 1100 | 1100 | 84.3 | 58 | 64 |
| 18 | 8 | 1100 | 1100 | 78.3 | 56 | 68 |
| 19 | 9.1 | 1635.1 | 1635.1 | 97.1 | 62.9 | 90 |
| 20 | 9.1 | 564.8 | 564.8 | 83.8 | 57.3 | 70 |
Disclaimer/Publisher’s Note: The statements, opinions and data contained in all publications are solely those of the individual author(s) and contributor(s) and not of MDPI and/or the editor(s). MDPI and/or the editor(s) disclaim responsibility for any injury to people or property resulting from any ideas, methods, instructions or products referred to in the content. |
© 2025 by the authors. Licensee MDPI, Basel, Switzerland. This article is an open access article distributed under the terms and conditions of the Creative Commons Attribution (CC BY) license (https://creativecommons.org/licenses/by/4.0/).
Share and Cite
Saeedikia, H.; Ghanbarzadeh, M.; Mahmoudzadeh, M.; Khorsi, M.; Barani, M.; Bazgir, S.; Tavakoli, O.; Heidarinasab, A.; Lesage, G.; Heran, M.; et al. A Hybrid Treatment System of the Coagulation/Flocculation/Settling Stage Followed by a Membrane Bioreactor (CFS-MBR) for Superior Removal of Cr and Nutrient Pollutants from Tannery Wastewater. Water 2025, 17, 1432. https://doi.org/10.3390/w17101432
Saeedikia H, Ghanbarzadeh M, Mahmoudzadeh M, Khorsi M, Barani M, Bazgir S, Tavakoli O, Heidarinasab A, Lesage G, Heran M, et al. A Hybrid Treatment System of the Coagulation/Flocculation/Settling Stage Followed by a Membrane Bioreactor (CFS-MBR) for Superior Removal of Cr and Nutrient Pollutants from Tannery Wastewater. Water. 2025; 17(10):1432. https://doi.org/10.3390/w17101432
Chicago/Turabian StyleSaeedikia, Hadis, Minoo Ghanbarzadeh, Milad Mahmoudzadeh, Manijeh Khorsi, Masoud Barani, Saeed Bazgir, Omid Tavakoli, Amir Heidarinasab, Geoffroy Lesage, Marc Heran, and et al. 2025. "A Hybrid Treatment System of the Coagulation/Flocculation/Settling Stage Followed by a Membrane Bioreactor (CFS-MBR) for Superior Removal of Cr and Nutrient Pollutants from Tannery Wastewater" Water 17, no. 10: 1432. https://doi.org/10.3390/w17101432
APA StyleSaeedikia, H., Ghanbarzadeh, M., Mahmoudzadeh, M., Khorsi, M., Barani, M., Bazgir, S., Tavakoli, O., Heidarinasab, A., Lesage, G., Heran, M., & Pajoum Shariati, F. (2025). A Hybrid Treatment System of the Coagulation/Flocculation/Settling Stage Followed by a Membrane Bioreactor (CFS-MBR) for Superior Removal of Cr and Nutrient Pollutants from Tannery Wastewater. Water, 17(10), 1432. https://doi.org/10.3390/w17101432

