Abstract
Oxygenates removal from wastewater is an actual task for gas- and petrochemical industry. Pervaporation is one of most promising processes for oxygenates recuperation. In this work, pervaporation composite membranes with a polyalkylmethylsiloxane (alkyl substituents: hexyl, heptyl, octyl and decyl) selective layer were developed and studied for the first time during separation of the four-component mixture (1-butanol—1-propanol—ethanol—water). It was shown that an increase in the length of the side substituent of the selective layer leads to an increase in selectivity and a decrease in the permeability of oxygenates and water. The influence of the pore size of the support on the transport and separation properties of the membranes was studied. It was found that an increase in the pore size of the support leads to a decrease in the mass transfer resistance of the composite membrane. For example, for composite membranes based on polyheptylmethylsiloxane, normalized permeability was 33 × 10−3 and 11 × 10−3 molꞏmꞏPa−1ꞏm−2ꞏh−1 for membranes on micro- and ultrafiltration porous supports. The best separation characteristics in comparison with commercial membranes with a selective layer based on silicone rubbers were demonstrated by the polydecylmethylsiloxane and polyheptylmethylsiloxane composite membranes on microfiltration support: selectivities for n-butanol, n-propanol and ethanol were 2.0 and 2.3, 1.8 and 1.8, 1.0 and 0.9, respectively. Normalized permeabilities for n-butanol, n-propanol and ethanol were 33 × 10−3 and 16 × 10−3 molꞏmꞏPa−1ꞏm−2ꞏh−1, 30 × 10−3 and 12 × 10−3 molꞏmꞏPa−1ꞏm−2ꞏh−1, 16 and 6 molꞏmꞏPa−1ꞏm−2ꞏh−1, respectively.
1. Introduction
Purification of wastewater from numerous chemical industries is a major environmental task. Oxygenates are a class of contaminants found in wastewater, such as phenols, ethers, and lower alcohols, etc. []. These substances are found in the waste products of GTL (gas-to-liquid) processes and petrochemical production, such as the effluent from the isomerization process. The traditional method for treating this type of waste is bioremediation []. Despite the advantages of this method, such as a high level of pollutant removal (up to 5 µg/L) and the ability to process a broad spectrum of organic compounds, it is important to maintain certain levels of pH, biological oxygen demand (BOD), biogenic element, and micronutrient content to support the vital activities of microorganisms [,,,]. It is also worth noting the high cost of the microorganisms and the need for careful selection of the type depending on the oxygenate [].
Alcohols play a crucial role in industrial organic synthesis, both as intermediates and resulting products, as well as by-products. For example, water effluents from GTL processes contain significant amounts of lower alcohols with a carbon chain length of 1–5 (22.8 g/L) []. Instead of being separated as a distinct valuable product, these substances are treated together with regular wastewater in a flotation and flocculation unit to eliminate solid particles. The remaining material is then processed in a bioreactor, where the organic matter is reduced to a safe level, allowing the treated wastewater to be released into waterways [,].
When the goal is the targeted production of alcohol, it is often necessary to concentrate it from an aqueous medium. In line with various sources, during the synthesis of alcohol from CO and hydrogen, up to 50–58% of C2-C5 alcohol is formed in the aqueous phase, while the concentration of C2-C4 alcohol reaches 60–70% [,,]. To obtain a commercial product, this resulting alcohol must be concentrated [].
Pervaporation is an attractive technology for separating oxygen-containing organic compounds from water [,,,]. It has several advantages, including the absence of reagents, the ability to separate products at low temperatures, and featuring a modular design for the separation unit []. Compared to bioremediation, pervaporation also has the advantage of producing two streams: one depleted in oxygenates and one enriched in them.
There are many studies on the extraction of organic compounds (including oxygen-containing ones) from aqueous media by the pervaporation method [,,,,,,,,,]. Nevertheless, there are only a few materials available for the removal of oxygenates from water-based solutions. These include hydrophobic silicalites [,,,,], silicone rubbers such as polydimethylsiloxane (PDMS) and polyoctylmethylsiloxane (POMS) [,,,,], and highly permeable polymer glasses like polytrimethylsilylpropyne (PTMSP) and polymers with intrinsic microporosity (PIMs) [,,,,]. Hydrophobic silicalite membranes have the advantages of high selectivity and mechanical strength, but their high cost and susceptibility to fouling by by-products limit their commercial use []. Polymer glasses, such as PTMSP, have high selectivity and permeability, but are subject to “aging” during pervaporation, which reduces their separation characteristics over time. The transport properties of PTMSP can be stabilized by chemical cross-linking or by incorporating porous aromatic frameworks [,]. It is also well known that membranes based on highly permeable materials, such as inorganic membranes, can be prone to contamination during the pervaporation process. This can negatively affect the efficiency of the separation process, as contaminants can interfere with the membrane’s separation ability [,,,].
In contrast to the membranes discussed above, those based on silicone rubber have stable separation properties (permeability and selectivity) over time and are resistant to chemicals []. They are also easy to produce. Of these types of membrane materials, PDMS is the most used for removal of organic compounds by pervaporation [,,,,,,,,,,]. However, PDMS-based membranes have lower selectivity for organic molecules and are less selective than membranes made from hydrophobic silicates and highly permeable polymeric glasses. For example, when separating a 5% solution of 1-butanol from water at 500 °C, the Pervap 4060 membrane has a separation factor of 39. In contrast, when separating a 2% solution of 1-butanol using a PTMSP/PDMSM membrane at 250 °C, the separation factor is 128. The highest separation factor, 692, is achieved with a membrane based on silicate-1 [,,].
Due to the low concentration of the target product (up to 2% by weight), various hydrophobic membrane materials are used for pervaporation separation of butanol from the ABE fermentation mixture. These include PDMS and poly(ether block-amide) (PEBA), as well as highly permeable polymer glasses [,]. Hydrophobic silicone rubbers are the most widely used membrane materials for selective separation of alcohols due to their high permeability and lack of the aging problem associated with polymer glasses []. Commercial membranes for hydrophobic pervaporation are typically composite membranes with a selective layer based on silicone rubber [], mainly based on polydimethylsiloxane due to its high productivity and low cost []. However, the selectivity of these PDMS-based membranes is not sufficient to achieve high concentrations of butanol in the permeate. Accordingly, the task of developing sorption-selective pervaporation membranes based on polysiloxanes, which surpass PDMS in their ability to separate n-butanol, is relevant.
One approach to obtaining these membranes involves chemically modifying polysiloxane by adding functional groups to the side chain []. A wide range of functionalized polysiloxanes have been synthesized and tested in the process of separating organic substances (phenol, chloroform, pyridine, and methyl isobutyl ketone) from water [,]. For example, adding a 10% pyridyl functional group almost doubled the selectivity for separating phenol from water compared to unfunctionalized PDMS []. Comparison of membranes with POMS selective layers and PDMS for separating an ABE fermentation mixture found that octyl functional siloxanes had high values for the n-butanol/water separation factor []. One of the ways to improve the membrane’s selectivity for specific components is by using a more hydrophobic material. For example, polysiloxanes with a long alkyl substituent, such as POMS, can be used []. In a study, it was shown that as the length of the carbon substituent increases from C1 to C8, the hydrophobicity of the membrane material also increases. This leads to an increase in the selectivity towards organic components over water, as seen in the water flux of PDMS-based membranes (117 g m⁻2 h⁻1) compared to POMS-based membranes (85 g m⁻2 h⁻1) []. Therefore, the development of composite membranes with improved separation capacity for the pervaporation separation of oxygenates from aqueous solutions is an important goal for both researchers and membrane module manufacturers.
In this study, composite pervaporation membranes with a selective layer of polyalkylmethylsiloxanes were developed for the first time. To accomplish this goal, we considered the influence of the morphology of the porous support and the length of the side group in the polymer of the selective layer on the pervaporation properties of the composite membrane during separation of water-alcohol mixtures.
2. Materials and Methods
2.1. Materials
For the synthesis of polymethylorganosiloxanes, polymethylhydrosiloxane (PMHS) with number-average molecular weight Mn 1700–3200 g/mol (Sigma-Aldrich, St. Louis, MO, USA), Karstedt’s catalyst (platinum complex of 1,3-divinyl-1,1,3,3-tetramethyldisiloxane in xylene, Sigma-Aldrich, St. Louis, MO, USA), 1-hexene (97%, Sigma-Aldrich, St. Louis, MO, USA), 1-heptene (97%, Sigma-Aldrich, St. Louis, MO, USA), 1-octene (98%, Sigma-Aldrich, St. Louis, MO, USA), 1-decene (94%, Sigma-Aldrich, St. Louis, MO, USA), n-hexane (99%, Chimmed, Podolsk, Russia) without further purification, were used. To obtain polydimethylsiloxane, a vinyl-terminated polydimethylsiloxane (PDMS) was used with Mn 25,000 g/mol (Sigma-Aldrich, St. Louis, MO, USA), polymethylhydrosiloxane (PMHS, Sigma-Aldrich, St. Louis, MO, USA) with Mn 1700–3200 g/mol (Sigma-Aldrich, St. Louis, MO, USA), Karstedt’s catalyst (platinum complex of 1,3-divinyl-1,1,3,3-tetramethyldisiloxane in xylene, Sigma-Aldrich, St. Louis, MO, USA), toluene (99.85%, COMPONENT-REAKTIV, Moscow, Russia) without further purification.
To study the pervaporation properties of membranes, ethanol (96.3%, Ferrein, Moscow, Russia), propanol-1 (chemically pure, EKOS-1, Moscow, Russia), n-butanol (chemically pure, EKOS-1, Moscow, Russia) and distilled water were used.
2.2. Composite Membrane
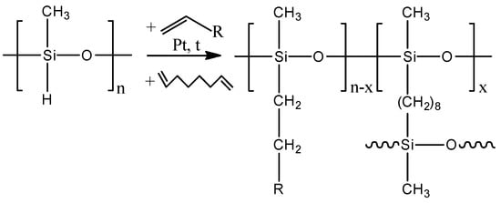
The composite membrane consists of a porous support onto which a polymer selective layer is applied. To obtain such membranes, a polymer solution of polyalkylmethylsiloxane (PAMS) was prepared in advance using the following method []. This involves in situ modification and crosslinking of polymethylhydrosiloxane (PMHS) with an α-olefin (1-hexene, 1-heptene, 1-octene, 1-decene, 1-dodecene, 1-tetradecene) and a diene hydrocarbon (1,7-octadiene) in the presence of a Karstedt’s catalyst by a hydrosilylation reaction. The reaction scheme is shown in Figure 1.

Figure 1.
Synthesis of polymethylsiloxanes substituted at the side group (conditions: constant temperature—60 °C, flux under the reflux, continuous mixing).
The reaction was performed using n-hexane, as described in method []. A 3 wt.% PMHS solution was prepared beforehand. The reaction lasted for 3 h while the solution was constantly stirred at 60 °C beneath a reflux condenser.
Composite membranes were formed using the kiss-coating technique on porous microfiltration support MFFK-1 (Vladipor, Vladimir, Russia) and ultrafiltration support UFFK (Vladipor, Vladimir, Russia). The combination of pre-impregnation of the porous support with water and contact of only one side of the porous support with the polymer solution ensures minimal leakage into the pores []. The filter layer of the MFFK-1 and UFFK membranes is made of a copolymer of tetrafluoroethylene and vinylidene fluoride (fluoroplast F-42L) and is applied to a non-woven support made of polyester. The average pore size for MFFK-1 varies from 250 to 410 nm. For UFFK, the average pore size is even smaller, ranging from 128 to 145 nm. The symbols used to represent the membranes are listed in Table 1 below.

Table 1.
Representations for the specimens of the studied membranes.
2.3. Vacuum Pervaporation
A solution of n-butanol (BuOH), n-propanol (PrOH), and ethanol (EtOH) in water with an organic component content of 1.0, 1.0, and 3.0 wt. %, respectively, was used as the mixture being separated (feed solution). The solution used was prepared from an organic solvent (purity grade—chemically pure) by the gravimetric method. Pervaporation experiments were carried out on the setup shown in Figure 2 and described in detail in []. The feed solution was poured into a 1 L container (1) and circulated using a gear pump (Ismatec, Wertheim, Germany) (2). The feed flow rate was 200 mL/min. The feed mixture passed through a heat exchanger (3) and was fed to a membrane module (4) with an effective membrane area of 13.85 cm2. Permeate vapors were collected in glass traps placed inside Dewar flasks filled with liquid nitrogen at −196 °C (5). Two parallel traps ensured continuous operation during the experiment. A safety trap (8) prevented permeate vapors from entering the vacuum pump, while a LOIP LT-100 liquid thermostat (6) maintained the temperature of the mixture within ±0.1 °C using a LT-100 liquid thermostat (LOIP, Saint-Peterburg, Russia) (6). To create a driving force for mass transfer in the submembrane space, a pressure of approximately 0.05 mBar was maintained using a vacuum pump (Ebara PDV-250, Tokyo, Japan) (7). Pervaporation was performed at a separation mixture temperature of 30 (±0.1)°C.

Figure 2.
Vacuum pervaporation setup. 1—feed container, 2—circulating pump, 3—heat exchanger, 4—membrane module, 5—Dewar vessels, 6—liquid thermostat, 7—vacuum pump, 8—safety trap; I—initial separable mixture; II—retentate; III—permeate; IV—coolant.
The exact concentrations of n-butanol, n-propanol, and ethanol in both the feed mixture and permeate were measured using gas chromatography on a Kristallux-4000M gas chromatograph (“Meta-chrome”, Yoshkar-Ola, Russia) fitted with a thermal conductivity detector. The chromatography settings included an evaporator temperature of 230 °C, a column temperature of 180 °C, and a detector temperature of 230 °C. The analysis was conducted using a 1-m-long column packed with Porapak Q sorbent.
Flux was calculated by measuring the weight of the permeate collected during a specific time interval. Totals permeate flux Jt [kg m−2 h−1] was calculated as []:
where Δm is the weight of the permeate [kg], which passed through the membrane with area S [m2] within a time Δt [h].
There, component flux [kg m−2 h−1] in the permeate were []:
where is the component mass fraction in permeate, JW is the water flux.
The separation factor (β) was determined using Equation (4) [].
where and are the mass fraction of alcohol i and water in permeate, and are the mass fraction of alcohol i and water in feed [g g−1].
Normalized permeability [mol m m−2 Pa−1 h−1] was calculated as []:
where l is the membrane thickness [m], Mi is the molar mass of the component i [kg mol−1], and Δpi is the trans-membrane pressure difference of the component i [Pa].
In order to find the vapor pressure of both the permeate and the initial mixture for binary mixtures of n-propanol and water as well as ethanol and water, the activity coefficients were computed using the Aspen Plus 8.6 software with the NRTL (Non-Random Two-Liquid) model []. In reference [], it was demonstrated that for a binary mixture of n-butanol and water, the approximate 4-parameter Margules equation is the more suitable choice for calculating activity coefficients (Equations (6) and (7)).
Membrane selectivity (αm) was determined using Equation (8).
3. Results
The influence of the length of the alkyl side chain in polymethylsiloxane (PAMS) on the pervaporation properties of composite membranes based on PAMS was investigated for two series: membranes obtained on microfiltration (MFFK-1) and ultrafiltration (UFFK) supports. The use of supports with different pore sizes will allow us to determine the influence of the porous support on the pervaporation properties of the membranes. The supports MFFK-1 and UFFK differ not only in pore size, but also in surface roughness. This results in the thickness of the selective layers being different when the PAMS solution is applied to the surface of these supports using the same method. The selective layer thickness of composite membranes on MFFK-1 and UFFK supports was 9 ± 2 and 3 ± 1 µm, respectively. Figure 3 shows typical SEM photos of a composite membranes cross section for PDecMS, as an example.

Figure 3.
SEM image of a cross section of (a) MC10-1; (b) MC10-0.
The pervaporation characteristics of the obtained composite membranes were investigated by separating a model water-alcohol mixture (1% wt. BuOH, 1% wt. PrOH, 3% wt. EtOH). The results from the pervaporation separation of a four-component model mixture are presented in Figure 4.

Figure 4.
Pervaporation properties of PAMS composite membranes seria MFFK-1 (1) and UFFK (0): (a) Component permeate flux Ji; (b) Separation factor β.
At comparable thicknesses of the selective layer, there is a tendency towards an increase in flux with a decrease in the length of the side substituent of polyalkylmethylsiloxanes. This trend is in good agreement with the data on the hydrocarbon gas permeability of both the membrane materials [] and the composite membranes based on them []. Interestingly, despite the threefold difference in the thickness of the selective layers of the membranes produced on the MFFK-1 and UFFK supports, the resulting flux values are close.
The change in water flux with increasing side chain length tends to decrease, but this relationship is not monotonic. This non-monotonicity may be due to the heterogeneity of the selective layer coating. This is supported by the differences in trends for membranes on microfiltration and ultrafiltration supports.
The highest flux is observed for the MC1-1 membrane, which has a selective layer made from PDMS. PDMS is the most permeable polymer in this series, but its separation factor values are minimal because water transfer is high. In the series of membranes based on MFFK-1 supports, the alcohol-water separation factor tends to increase as the length of the side group increases. Compared to MC1-1, the 1-butanol/water separation factor is three times higher for MC6-1, five times higher for MC7-1 and MC8-1, and six times higher for MC10-1. For membranes on UFFK supports, the separation factors are less dependent on the length of the polyalkylmethylsiloxane side substituent. Except for MC6-0, all membranes based on UFFK exhibit 1.5 to two times smaller separation factors than those on MFFK-1 membranes. This may be due to a decrease in the thickness of the selective layer of the membrane. A similar effect was observed in a previous study [], where there was a decrease in the thickness of the PTMSP membrane, resulting in a decrease in the separation factor for 1-butanol and water from 120 to 20. This was accompanied by a decrease in the continuous PTMSP film thickness from 115 to 16 μm. Another study also investigated the influence of selective layer film thickness on the transport properties of PDMS membranes filled with POSS [].
Nonetheless, the values shown for flux and separation factor are insufficient for a complete characterization of the membrane since they factor in the influence of the process’s driving force. Additionally, given the differences in the thicknesses of the selective layers in the obtained membranes, it is challenging to estimate the effect of the support without normalizing the values to the thickness of the selective layer. Normalized permeability and selectivity for obtained composite membranes are represented in Figure 5.

Figure 5.
Normalized pervaporation properties of obtained composite membranes: (a) Normalized permeability Pi; (b) Selectivity α.
It is evident from Figure 5 that the normalized permeability and selectivity of the composite membranes on the MFFK-1 support are higher than for corresponding composite membranes on the UFFK support. This behavior is associated with the influence of the support. In the case of pervaporation, due to the low vapor pressure of the liquid in the support (less than 1 mmHg), transport in the pores is dominated by diffusion. As a result, a gradient in vapor concentration from the selective layer to the drainage channel arises in the porous support.
Unlike gas permeability for individual components, the properties of membranes during pervaporation, as in separating a gas mixture, depend significantly on the concentration of separated substances in the selective layer. Therefore, an increase in vapor pressure near the selective layer can lead to its swelling and changes in the transport properties of the material.
When siloxane materials swell, permeability coefficients typically increase and selectivity decreases. A decrease in the pore size of the support, when moving from MFFK-1 to UFFK, results in heightened resistance at the interface between the selective layer and the support, and a decrease in the measured permeability coefficient for permeants. A similar phenomenon of decreased flow and permeability of water due to resistance from the support layer was observed in []. Additionally, it was demonstrated that reducing the pore size of a support reduces the membrane’s permeability [].
Thus, it was shown that the effectiveness of membrane applications in pervaporation is influenced not only by the material of the selective layer but also by the porosity of the support. A larger pore size in the support results in decreased overall resistance to mass transfer in the composite membrane, as it enhances transport at the interface between the selective layer and the porous support. This factor depends on the porous structure of the support and not on the material from which it is made.
In light of the findings from this study, it can be inferred that the MFFK-1 support is preferred for creating composite membranes for water-alcohol mixture separation. Table 2 compares the pervaporation properties of the composite membranes prepared in this study on the MFFK-1 support with those of commercial composite membranes containing a selective layer based on silicone rubber in the separation of 1-butanol, 1-propanol, and ethanol from water.

Table 2.
Examining the pervaporation characteristics of composite membranes for the separation of alcohols from water.
It is evident from the data in Table 2 that all commercial membranes have high permeation values and low selectivity. When comparing the membranes, the highest selectivities were shown by MC10-1 and MC7-1: 2.3 for n-butanol, 1.8 for n-propanol, and 0.9 for ethanol. Therefore, the data on the sorption properties of membrane materials allows us to predict with high probability their pervaporation characteristics for hydrophobic pervaporation applications. The high selectivities for EtOH, PrOH, and BuOH suggest that MC10-1 and MC7-1 are promising for isolating them from aqueous solutions. Considering that the selective layer thickness for these membranes is 9 ± 1 μm, reducing it may increase the alcohol permeation while maintaining high selectivities. Thus, while maintaining high selectivity values, this membrane will be the most efficient for the separation of EtOH, PrOH, and BuOH from aqueous media.
4. Conclusions
Pervaporation composite membranes on micro- (MFFK-1) and ultrafiltration (UFFK)-type supports with a polyalkylmethylsiloxane (alkyl substituents: hexyl, heptyl, octyl, and decyl) selective layer were developed and studied for the first time. Pervaporation properties of the composite membranes were studied during separation of a four-component mixture of BuOH-PrOH-EtOH-H2O. When comparing the two types of supports, it was found that the porosity of the support has a significant effect on the pervaporation characteristics of the resulting composite membranes. Thus, an increase in the pore size of the support leads to a decrease in the mass transfer resistance of the composite membrane and an increase in the observed permeability coefficient for penetrants.
The best separation characteristics in comparison with commercial membranes with a selective layer based on silicone rubbers were demonstrated by the MC10-1 and MC7-1 membranes (selectivities for n-butanol, n-propanol, and ethanol are 2.0 and 2.3, 1.8 and 1.8, and 1.0 and 0.9, respectively; normalized permeabilities for n-butanol, n-propanol and ethanol are 33 × 10−3 and 16 × 10−3 molꞏmꞏPa−1ꞏm−2ꞏh−1, 30 × 10−3 and 12 × 10−3 molꞏmꞏPa−1ꞏm−2ꞏh−1, and 16 and 6 molꞏmꞏPa−1ꞏm−2ꞏh−1, respectively). By optimizing the thickness of the selective layer and porous support structure, it will be possible to achieve high permeability values while maintaining high selectivity values of the polyheptylmethylsiloxane and polydecylmethylsiloxane materials. This will allow us to obtain a composite membrane with optimal properties for solving the problem of wastewater purification from oxygen-containing organic compounds.
The development of highly selective pervaporation membranes is the first step towards creating a technology for recovering oxygenates from wastewater through membrane separation. In the future, this technology will not only help maintain an acceptable level of oxygenates in wastewater or provide preliminary treatment for biotreatment, but it will also help preserve valuable products or intermediate products and return them to the production process.
Author Contributions
Conceptualization, E.G. and I.B.; Data curation, E.G. and P.S.; Formal analysis, I.C. and T.A.; Funding acquisition, S.B.; Investigation, T.R. and I.C.; Methodology, E.G. and I.B.; Project administration, S.B.; Resources, P.S.; Writing—original draft, E.G.; Writing—review and editing, T.A., S.B. and I.B. All authors have read and agreed to the published version of the manuscript.
Funding
This research was funded by a grant from the Ministry of Science and Higher Education of the Russian Federation, grant number 075-15-2024-646.
Data Availability Statement
Not applicable.
Acknowledgments
The authors acknowledge Podtynnikov Ivan for assistance in performing pervaporation experiments.
Conflicts of Interest
The authors declare no conflicts of interest.
References
- Eryılmaz, C.; Genç, A. Review of Treatment Technologies for the Removal of Phenol from Wastewaters. J. Water Chem. Technol. 2021, 43, 145–154. [Google Scholar] [CrossRef]
- Surkatti, R.; El-Naas, M.H.; Van Loosdrecht, M.C.M.; Benamor, A.; Al-Naemi, F.; Onwusogh, U. Biotechnology for Gas-to-Liquid (GTL) Wastewater Treatment: A Review. Water 2020, 12, 2126. [Google Scholar] [CrossRef]
- Chen, G.; Ekama, G.A.; van Loosdrecht, M.C.M.; Brdjanovic, D. Biological Wastewater Treatment; IWA Publishing: London, UK, 2020. [Google Scholar]
- Rosal, R.; Rodríguez, A.; Perdigón-Melón, J.A.; Petre, A.; García-Calvo, E.; Gómez, M.J.; Agüera, A.; Fernández-Alba, A.R. Occurrence of Emerging Pollutants in Urban Wastewater and Their Removal through Biological Treatment Followed by Ozonation. Water Res. 2010, 44, 578–588. [Google Scholar] [CrossRef] [PubMed]
- Tijani, J.O.; Fatoba, O.O.; Madzivire, G.; Petrik, L.F. A Review of Combined Advanced Oxidation Technologies for the Removal of Organic Pollutants from Water. Water Air Soil Pollut. 2014, 225, 2102. [Google Scholar] [CrossRef]
- Bibi, A.; Bibi, S.; Abu-Dieyeh, M.; Al-Ghouti, M.A. Towards Sustainable Physiochemical and Biological Techniques for the Remediation of Phenol from Wastewater: A Review on Current Applications and Removal Mechanisms. J. Clean. Prod. 2023, 417, 137810. [Google Scholar] [CrossRef]
- Bouabidi, Z.B.; El-Naas, M.H.; Zhang, Z. Immobilization of Microbial Cells for the Biotreatment of Wastewater: A Review. Environ. Chem. Lett. 2019, 17, 241–257. [Google Scholar] [CrossRef]
- Majone, M.; Aulenta, F.; Dionisi, D.; D’Addario, E.N.; Sbardellati, R.; Bolzonella, D.; Beccari, M. High-Rate Anaerobic Treatment of Fischer–Tropsch Wastewater in a Packed-Bed Biofilm Reactor. Water Res. 2010, 44, 2745–2752. [Google Scholar] [CrossRef]
- Zuhara, S.; Zakaria, Y.; McKay, G. Potential of GTL Biosolids in a Circular Economy: Investigating Blending, Pyrolysis, Activation, and Characterisation. Environ. Technol. 2024, 45, 4017–4027. [Google Scholar] [CrossRef]
- de Klerk, A. Fischer-Tropsch Refining; John Wiley & Sons: Hoboken, NJ, USA, 2011. [Google Scholar]
- Krylova, A.Y.; Kryazhev, Y.G.; Kulikova, M.V.; Kurkin, V.I.; Lyadov, A.S.; Sagitov, S.A. Synthesis of Alcohols from CO and H2 on Iron Catalysts Containing Carbon Fiber. Solid Fuel Chem. 2011, 45, 322–326. [Google Scholar] [CrossRef]
- Krylova, A.Y.; Kurkin, V.I.; Kulikova, M.V.; Lyadov, A.S.; Sagitov, S.A. Synthesis of Monohydric Alcohols from CO and H2 on Fe/Sibunit Catalysts. Solid Fuel Chem. 2011, 45, 281–285. [Google Scholar] [CrossRef]
- Kölbel, H.; Ralek, M. The Fischer-Tropsch Synthesis in the Liquid Phase. Catal. Rev. 1980, 21, 225–274. [Google Scholar] [CrossRef]
- Ahmed, S.A.; Surkatti, R.; Ba-Abbad, M.M.; El-Naas, M.H. Optimization of the Biotreatment of GTL Process Water Using Pseudomonas Aeruginosa Immobilized in PVA Hydrogel. Processes 2022, 10, 2568. [Google Scholar] [CrossRef]
- Farhan, N.M.; Ibrahim, S.S.; Alsalhy, Q.F. Modeling and Simulation of Pervaporation (PV) Separation for Alcohol Dehydration. Heliyon 2023, 9, e13713. [Google Scholar] [CrossRef]
- Ezeji, T.C.; Qureshi, N.; Blaschek, H.P. Butanol Fermentation Research: Upstream and Downstream Manipulations. Chem. Rec. 2004, 4, 305–314. [Google Scholar] [CrossRef]
- Rachipudi, P.S.; Kittur, A.A.; Sajjan, A.M.; Kamble, R.R.; Kariduraganavar, M.Y. Solving the Trade-off Phenomenon in Separation of Water–Dioxan Mixtures by Pervaporation through Crosslinked Sodium–Alginate Membranes with Polystyrene Sulfonic Acid-Co-Maleic Acid. Chem. Eng. Sci. 2013, 94, 84–92. [Google Scholar] [CrossRef]
- Sajjan, A.M.; Premakshi, H.G.; Kariduraganavar, M.Y. Synthesis and Characterization of Polyelectrolyte Complex Membranes for the Pervaporation Separation of Water–Isopropanol Mixtures Using Sodium Alginate and Gelatin. Polym. Bull. 2018, 75, 851–875. [Google Scholar] [CrossRef]
- Liu, G.; Wei, W.; Jin, W. Pervaporation Membranes for Biobutanol Production. ACS Sustain. Chem. Eng. 2014, 2, 546–560. [Google Scholar] [CrossRef]
- Kanemoto, M.; Negishi, H.; Sakaki, K.; Ikegami, T.; Chohnan, S.; Nitta, Y.; Kurusu, Y.; Ohta, H. Efficient Butanol Recovery from Acetone–Butanol–Ethanol Fermentation Cultures Grown on Sweet Sorghum Juice by Pervaporation Using Silicalite-1 Membrane. J. Biosci. Bioeng. 2016, 121, 697–700. [Google Scholar] [CrossRef]
- Kim, H.-J.; Jang, K.-S.; Galebach, P.; Gilbert, C.; Tompsett, G.; Conner, W.C.; Jones, C.W.; Nair, S. Seeded Growth, Silylation, and Organic/Water Separation Properties of MCM-48 Membranes. J. Membr. Sci. 2013, 427, 293–302. [Google Scholar] [CrossRef]
- Borisov, I.L.; Malakhov, A.O.; Khotimsky, V.S.; Litvinova, E.G.; Finkelshtein, E.S.; Ushakov, N.V.; Volkov, V.V. Novel PTMSP-Based Membranes Containing Elastomeric Fillers: Enhanced 1-Butanol/Water Pervaporation Selectivity and Permeability. J. Membr. Sci. 2014, 466, 322–330. [Google Scholar] [CrossRef]
- Žák, M.; Klepic, M.; Štastná, L.Č.; Sedláková, Z.; Vychodilová, H.; Hovorka, Š.; Friess, K.; Randová, A.; Brožová, L.; Jansen, J.C.; et al. Selective Removal of Butanol from Aqueous Solution by Pervaporation with a PIM-1 Membrane and Membrane Aging. Sep. Purif. Technol. 2015, 151, 108–114. [Google Scholar] [CrossRef]
- Rom, A.; Friedl, A. Investigation of Pervaporation Performance of POMS Membrane during Separation of Butanol from Water and the Effect of Added Acetone and Ethanol. Sep. Purif. Technol. 2016, 170, 40–48. [Google Scholar] [CrossRef]
- Rozicka, A.; Niemistö, J.; Keiski, R.L.; Kujawski, W. Apparent and Intrinsic Properties of Commercial PDMS Based Membranes in Pervaporative Removal of Acetone, Butanol and Ethanol from Binary Aqueous Mixtures. J. Membr. Sci. 2014, 453, 108–118. [Google Scholar] [CrossRef]
- Ikegami, T.; Yanagishita, H.; Kitamoto, D.; Haraya, K.; Nakane, T.; Matsuda, H.; Koura, N.; Sano, T. Production of Highly Concentrated Ethanol in a Coupled Fermentation/Pervaporation Process Using Silicalite Membranes. Biotechnol. Tech. 1997, 11, 921–924. [Google Scholar] [CrossRef]
- Zhan, X.; Ge, R.; Gao, Z.; Gao, T.; Wang, L.; Li, J. PVA-Based MMMs for Ethanol Dehydration via Pervaporation: A Comparison Study between Graphene and Graphene Oxide. Separations 2022, 9, 26. [Google Scholar] [CrossRef]
- Dmitrenko, M.; Atta, R.; Zolotarev, A.; Kuzminova, A.; Ermakov, S.; Penkova, A. Development of Novel Membranes Based on Polyvinyl Alcohol Modified by Pluronic F127 for Pervaporation Dehydration of Isopropanol. Sustainability 2022, 14, 3561. [Google Scholar] [CrossRef]
- Alharbi, W.N.; Saeed, W.S.; Alwarthan, A.A.; Badjah-Hadj-Ahmed, A.Y.; Aouak, T. Extraction of Organic Volatile Pollutants in Over-Saturated Water by Pervaporation Technique Using a Poly (Dimethylsiloxane)-Based Sealer as a Membrane. Water 2021, 13, 1049. [Google Scholar] [CrossRef]
- Kamelian, F.S.; Naeimpoor, F.; Mohammadi, T. Using a Novel Pervaporative Sequential-Co-Immobilized Two-Sectional Bioreactor with an Ultralow Fouling–Biofouling Superhydrophobic Silicallite-1/PDMS Membrane to Enhance Bioethanol Production. ACS Sustain. Chem. Eng. 2023, 11, 3133–3146. [Google Scholar] [CrossRef]
- Chen, X.; Li, N.; Wu, C.; Chen, L.; Zhou, Q. Enhancing Pervaporation Performance for Alcohol Recovery from Aqueous Solutions with Silicalite-1/Polydimethyldiethoxysilane (PDMDES) Nanocomposite Membranes. Ind. Eng. Chem. Res. 2024, 63, 508–524. [Google Scholar] [CrossRef]
- Si, Z.; Liu, C.; Li, G.; Wang, Z.; Li, J.; Xue, T.; Yang, S.; Cai, D.; Li, S.; Zhao, H.; et al. Epoxide-Based PDMS Membranes with an Ultrashort and Controllable Membrane-Forming Process for 1-Butanol/Water Pervaporation. J. Membr. Sci. 2020, 612, 118472. [Google Scholar] [CrossRef]
- Grushevenko, E.A.; Borisov, I.L.; Volkov, A.V. High-Selectivity Polysiloxane Membranes for Gases and Liquids Separation (A Review). Pet. Chem. 2021, 61, 959–976. [Google Scholar] [CrossRef]
- Golubev, G.S.; Volkov, V.V.; Borisov, I.L.; Volkov, A. V High Free Volume Polymers for Pervaporation. Curr. Opin. Chem. Eng. 2022, 36, 100788. [Google Scholar] [CrossRef]
- Contreras-Martínez, J.; Mohsenpour, S.; Ameen, A.W.; Budd, P.M.; García-Payo, C.; Khayet, M.; Gorgojo, P. High-Flux Thin Film Composite PIM-1 Membranes for Butanol Recovery: Experimental Study and Process Simulations. ACS Appl. Mater. Interfaces 2021, 13, 42635–42649. [Google Scholar] [CrossRef] [PubMed]
- Talluri, V.P.; Tleuova, A.; Hosseini, S.; Vopicka, O. Selective Separation of 1-Butanol from Aqueous Solution through Pervaporation Using PTSMP-Silica Nano Hybrid Membrane. Membranes 2020, 10, 55. [Google Scholar] [CrossRef]
- Smith, S.J.; Hou, R.; Konstas, K.; Akram, A.; Lau, C.H.; Hill, M.R. Control of physical aging in super-glassy polymer mixed matrix membranes. Acc. Chem. Res. 2020, 53, 1381–1388. [Google Scholar] [CrossRef]
- Zhu, H.; Liu, G.; Jin, W. Recent Progress in Separation Membranes and Their Fermentation Coupled Processes for Biobutanol Recovery. Energy Fuels 2020, 34, 11962–11975. [Google Scholar] [CrossRef]
- Volkov, V.; Borisov, I.; Golubev, G.; Vasilevsky, V.; Matveev, D.; Bondarenko, G.; Volkov, A. Sorption-assisted Thermopervaporation Method for Organics Recovery from ABE Fermentation Broth. J. Chem. Technol. Biotechnol. 2020, 95, 40–51. [Google Scholar] [CrossRef]
- Dubreuil, M.F.S.; Vandezande, P.; Van Hecke, W.H.S.; Porto-Carrero, W.J.; Dotremont, C.T.E. Study on Ageing/Fouling Phenomena and the Effect of Upstream Nanofiltration on in-Situ Product Recovery of n-Butanol through Poly [1-(Trimethylsilyl)-1-Propyne] Pervaporation Membranes. J. Membr. Sci. 2013, 447, 134–143. [Google Scholar] [CrossRef]
- Kujawska, A.; Knozowska, K.; Kujawa, J.; Li, G.; Kujawski, W. Fabrication of PDMS Based Membranes with Improved Separation Efficiency in Hydrophobic Pervaporation. Sep. Purif. Technol. 2020, 234, 116092. [Google Scholar] [CrossRef]
- Zhang, X.; Xiao, L.; Zhang, G.; Xu, L.; Xu, Z.; Meng, Q. Preparation of Stable Multilayer PDMS Composite Pervaporation Membrane Incorporated with In-Situ Transformed Metal Organic Frameworks for Enhanced Butanol Recovery. J. Membr. Sci. 2024, 700, 122727. [Google Scholar] [CrossRef]
- Xu, N.; Wang, W.; Liu, Q.; Wang, Q.; Fan, L. Enhanced Pervaporation of the Poly(Dimethylsiloxane) (PDMS) Mixed Matrix Membrane Based on the Self-Assembly of Multidimensional Carbon Nanomaterials. Ind. Eng. Chem. Res. 2024, 63, 525–538. [Google Scholar] [CrossRef]
- Li, J.; Zhang, N.; Wang, N.; Yi, S.; An, Q.-F. A Review on the Design and Fabrication of Polydimethylsiloxane Thin-Film Composite Membranes (TFCMs) for Alcohol Permselective Pervaporation. Results Eng. 2024, 22, 102102. [Google Scholar] [CrossRef]
- Van Goethem, C.; Naik, P.V.; Van de Velde, M.; Van Durme, J.; Verplaetse, A.; Vankelecom, I.F.J. Stability of Filled PDMS Pervaporation Membranes in Bio-Ethanol Recovery from a Real Fermentation Broth. Membranes 2023, 13, 863. [Google Scholar] [CrossRef] [PubMed]
- He, X.; Wang, T.; Huang, J.; Chen, J.; Li, J. Fabrication and Characterization of Superhydrophobic PDMS Composite Membranes for Efficient Ethanol Recovery via Pervaporation. Sep. Purif. Technol. 2020, 241, 116675. [Google Scholar] [CrossRef]
- Grushevenko, E.A.; Podtynnikov, I.A.; Borisov, I.L. High-Selectivity Pervaporation Membranes for 1-Butanol Removal from Wastewater. Russ. J. Appl. Chem. 2019, 92, 1593–1601. [Google Scholar] [CrossRef]
- Kujawska, A.; Knozowska, K.; Kujawa, J.; Kujawski, W. Influence of Downstream Pressure on Pervaporation Properties of PDMS and POMS Based Membranes. Sep. Purif. Technol. 2016, 159, 68–80. [Google Scholar] [CrossRef]
- Jadav, G.L.; Aswal, V.K.; Bhatt, H.; Chaudhari, J.C.; Singh, P.S. Influence of Film Thickness on the Structure and Properties of PDMS Membrane. J. Membr. Sci. 2012, 415–416, 624–634. [Google Scholar] [CrossRef]
- Lee, J.Y.; Lee, J.S.; Lee, J.H. High performance and thermally stable PDMS pervaporation membranes prepared using a phenyl-containing tri-functional crosslinker for n-butanol recovery. Sep. Purif. Technol. 2020, 235, 116142. [Google Scholar] [CrossRef]
- Yakovlev, A.V.; Shalygin, M.G.; Matson, S.M.; Khotimskiy, V.S.; Teplyakov, V.V. Separation of Diluted Butanol–Water Solutions via Vapor Phase by Organophilic Membranes Based on High Permeable Polyacetylenes. J. Membr. Sci. 2013, 434, 99–105. [Google Scholar] [CrossRef]
- Gonçalves, B.J.A.; Cren, É.C.; Windmöller, D.; Figueiredo, K.C. de S. Activated Carbon-Loaded Polydimethylsiloxane Membranes for the Pervaporation of 1-Butanol from Aqueous Solutions. Mater. Res. 2019, 22, e20180573. [Google Scholar] [CrossRef]
- Li, W.; Estager, J.; Monbaliu, J.M.; Debecker, D.P.; Luis, P. Separation of Bio-based Chemicals Using Pervaporation. J. Chem. Technol. Biotechnol. 2020, 95, 2311–2334. [Google Scholar] [CrossRef]
- Silvestre, C.; Capilla, M.; Valles, A.; San-Valero, P.; Gabaldón, C.; Javier Álvarez-Hornos, F. Developing a High-Rate ABE Fermentation System for Rice Straw: CSTR with Immobilization on Granular-Activated Carbon with Ex Situ Pervaporation. Fuel 2024, 360, 130538. [Google Scholar] [CrossRef]
- Si, Z.; Wu, H.; Qin, P.; Van der Bruggen, B. Polydimethylsiloxane Based Membranes for Biofuels Pervaporation. Sep. Purif. Technol. 2022, 298, 121612. [Google Scholar] [CrossRef]
- Li, P.-P.; Shareef, U.; Xu, Z.-L.; Taymazov, D.; Wu, Y.-Z.; Xu, Y.-S. Epoxide-Based PDMS TFC Membrane Fabricated via the T-FLO Technique for the Phenol Separation. J. Membr. Sci. 2022, 641, 119937. [Google Scholar] [CrossRef]
- Bennett, M.; Brisdon, B.J.; England, R.; Field, R.W. Performance of PDMS and Organofunctionalised PDMS Membranes for the Pervaporative Recovery of Organics from Aqueous Streams. J. Membr. Sci. 1997, 137, 63–88. [Google Scholar] [CrossRef]
- Van Hecke, W.; De Wever, H. High-Flux POMS Organophilic Pervaporation for ABE Recovery Applied in Fed-Batch and Continuous Set-Ups. J. Membr. Sci. 2017, 540, 321–332. [Google Scholar] [CrossRef]
- Börjesson, J.; Karlsson, H.O.E.; Trägårdh, G. Pervaporation of a Model Apple Juice Aroma Solution: Comparison of Membrane Performance. J. Membr. Sci. 1996, 119, 229–239. [Google Scholar] [CrossRef]
- Borisov, I.L.; Grushevenko, E.A.; Anokhina, T.S.; Bakhtin, D.S.; Levin, I.S.; Bondarenko, G.N.; Volkov, V.V.; Volkov, A.V. Influence of Side Chains Assembly on the Structure and Transport Properties of Comb-like Polysiloxanes in Hydrocarbon Separation. Mater. Today Chem. 2021, 22, 100598. [Google Scholar] [CrossRef]
- Li, L.; Xiao, Z.; Tan, S.; Pu, L.; Zhang, Z. Composite PDMS membrane with high flux for the separation of organics from water by pervaporation. J. Membr. Sci. 2004, 243, 177–187. [Google Scholar] [CrossRef]
- Borisov, I.; Podtynnikov, I.; Grushevenko, E.; Scharova, O.; Anokhina, T.; Makaev, S.; Volkov, A.; Volkov, V. High Selective Composite Polyalkylmethylsiloxane Membranes for Pervaporative Removal of MTBE from Water: Effect of Polymer Side-Chain. Polymers 2020, 12, 1213. [Google Scholar] [CrossRef]
- Grushevenko, E.A.; Borisov, I.L.; Knyazeva, A.A.; Volkov, V.V.; Volkov, A.V. Polyalkylmethylsiloxanes Composite Membranes for Hydrocarbon/Methane Separation: Eight Component Mixed-Gas Permeation Properties. Sep. Purif. Technol. 2020, 241, 116696. [Google Scholar] [CrossRef]
- Borisov, I.L.; Volkov, V.V. Thermopervaporation Concept for Biobutanol Recovery: The Effect of Process Parameters. Sep. Purif. Technol. 2015, 146, 33–41. [Google Scholar] [CrossRef]
- Wijmans, J.G.; Hao, P. Influence of the Porous Support on Diffusion in Composite Membranes. J. Membr. Sci. 2015, 494, 78–85. [Google Scholar] [CrossRef]
- Lipnizki, F.; Hausmanns, S.; Field, R.W. Influence of Impermeable Components on the Permeation of Aqueous 1-Propanol Mixtures in Hydrophobic Pervaporation. J. Membr. Sci. 2004, 228, 129–138. [Google Scholar] [CrossRef]
Disclaimer/Publisher’s Note: The statements, opinions and data contained in all publications are solely those of the individual author(s) and contributor(s) and not of MDPI and/or the editor(s). MDPI and/or the editor(s) disclaim responsibility for any injury to people or property resulting from any ideas, methods, instructions or products referred to in the content. |
© 2024 by the authors. Licensee MDPI, Basel, Switzerland. This article is an open access article distributed under the terms and conditions of the Creative Commons Attribution (CC BY) license (https://creativecommons.org/licenses/by/4.0/).