The Primary Factors Affecting the Efficiency of Two-Chamber Electrochemical Systems in Treating Phosphate-Containing Wastewater
Abstract
1. Introduction
2. Materials and Methods
2.1. Water Quality and Experimental Construction
2.2. Experimental Operation
2.3. Analysis of Wastewater Quality and Product
2.4. Analysis of Calculation
3. Results and Discussion
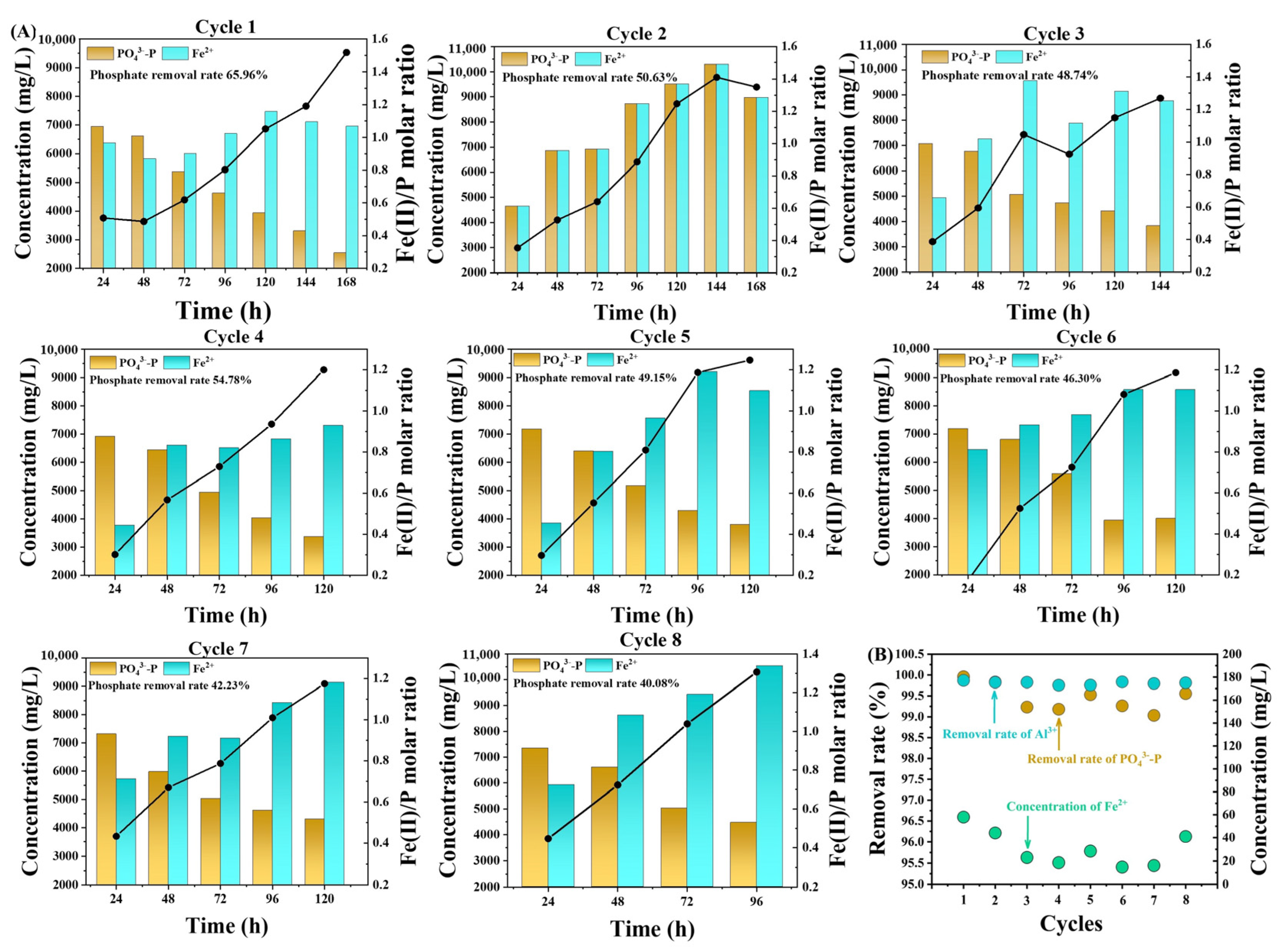
3.1. Effect of the Replacement Frequency of Iron Anodes on Phosphate Removal Efficiency
3.2. Effect of the Catalytic Layer of the Air Cathode on Phosphorus Removal Efficiency
3.3. Effect of PEM Fouling on Phosphorus Removal Efficiency
3.4. Main Factors Affecting the Phosphate Removal Efficiency
3.5. Analysis of Phosphate Removal Products
3.6. Analysis of Power Output
4. Conclusions
Author Contributions
Funding
Data Availability Statement
Conflicts of Interest
References
- Yang, L.; Jiao, Y.; Xu, X.; Pan, Y.; Su, C.; Duan, X.; Sun, H.; Liu, S.; Wang, S.; Shao, Z. Superstructures with Atomic-Level Arranged Perovskite and Oxide Layers for Advanced Oxidation with an Enhanced Non-Free Radical Pathway. ACS Sustain. Chem. Eng. 2022, 10, 1899–1909. [Google Scholar] [CrossRef]
- Trépanier, C.; Parent, S.; Comeau, Y.; Bouvrette, J. Phosphorus Budget as a Water Quality Management Tool for Closed Aquatic Mesocosms. Water Res. 2002, 36, 1007–1017. [Google Scholar] [CrossRef]
- Cheng, M.; Zhang, C.; Guisasola, A.; Baeza, J.A. Evaluating the Opportunities for Mainstream P-Recovery in Anaerobic/Anoxic/Aerobic Systems. Sci. Total Environ. 2024, 912, 168898. [Google Scholar] [CrossRef]
- Jagaba, A.H.; Lawal, D.U.; Abdulazeez, I.; Lawal, I.M.; Mu’azu, N.D.; Birniwa, A.H.; Usman, A.K.; Hagar, H.S.; Yaro, N.S.A.; Noor, A.; et al. Advancements and Prospects in the Utilization of Metal Ions and Polymers for Enhancing Aerobic Granulation during Industrial Effluent Treatment and Resource Recovery. J. Water Process Eng. 2024, 66, 105972. [Google Scholar] [CrossRef]
- Welldegerima Atsbha, M.; Nir, O.; Boyer, T.H. Multi-Stage Recovery of Ammonia–Potassium Liquid Fertilizer and Phosphate Mineral from Real Human Urine. Sep. Purif. Technol. 2025, 359, 130598. [Google Scholar] [CrossRef]
- Isik, Z.; Dizge, N. Recovery of Ferrous Ammonium Phosphate Fertilizer from Source-Separated Urine by Electrocoagulation Using Response Surface Methodology (RSM). Process Saf. Environ. Prot. 2025, 194, 985–996. [Google Scholar] [CrossRef]
- Deng, L.; Dhar, B.R. Phosphorus Recovery from Wastewater via Calcium Phosphate Precipitation: A Critical Review of Methods, Progress, and Insights. Chemosphere 2023, 330, 138685. [Google Scholar] [CrossRef] [PubMed]
- Wang, R.; Liu, M.-Y.; Zhang, M.; Ghulam, A.; Yuan, L. An Iron-Air Fuel Cell System towards Concurrent Phosphorus Removal and Resource Recovery in the Form of Vivianite and Energy Generation in Wastewater Treatment: A Sustainable Technology Regarding Phosphorus. Sci. Total Environ. 2021, 791, 148213. [Google Scholar] [CrossRef]
- Chen, T.; Bi, J.; Ji, Z.; Yuan, J.; Zhao, Y. Application of Bipolar Membrane Electrodialysis for Simultaneous Recovery of High-Value Acid/Alkali from Saline Wastewater: An in-Depth Review. Water Res. 2022, 226, 119274. [Google Scholar] [CrossRef]
- Wang, X.; Wang, Y.; Zhang, X.; Feng, H.; Li, C.; Xu, T. Phosphate Recovery from Excess Sludge by Conventional Electrodialysis (CED) and Electrodialysis with Bipolar Membranes (EDBM). Ind. Eng. Chem. Res. 2013, 52, 15896–15904. [Google Scholar] [CrossRef]
- Yan, K.; Hang, X.; Liu, J.; Luo, J.; Wan, Y. Preparation of Hypophosphorous Acid by Bipolar Membrane Electrodialysis: Process Optimization and Phosphorous Acid Minimization. Ind. Eng. Chem. Res. 2019, 58, 21855–21863. [Google Scholar] [CrossRef]
- Maitlo, H.A.; Kim, J.H.; Kim, K.-H.; Park, J.Y.; Khan, A. Metal-Air Fuel Cell Electrocoagulation Techniques for the Treatment of Arsenic in Water. J. Clean. Prod. 2019, 207, 67–84. [Google Scholar] [CrossRef]
- Yu, S.-H.; Wang, Y.; Hua, L.; Fan, M.-Y.; Ren, X.-H.; Zhang, L. Mg-Fe Bimetallic Oxide Nanocomposite for Superior Phosphate Removal and Recovery from Aquatic Environment: Synergistic Effects of Sorption and Struvite Crystallization. J. Environ. Chem. Eng. 2024, 12, 112132. [Google Scholar] [CrossRef]
- Wang, R.; Wan, S.; Lai, L.; Zhang, M.; Zeb, B.S.; Qaisar, M.; Tan, G.; Yuan, L. Recovering Phosphate and Energy from Anaerobic Sludge Digested Wastewater with Iron-Air Fuel Cells: Two-Chamber Cell versus One-Chamber Cell. Sci. Total Environ. 2022, 825, 154034. [Google Scholar] [CrossRef]
- Zhang, J.; Chen, Z.; Liu, Y.; Wei, W.; Ni, B.-J. Phosphorus Recovery from Wastewater and Sewage Sludge as Vivianite. J. Clean. Prod. 2022, 370, 133439. [Google Scholar] [CrossRef]
- Song, J.; Zhao, X.; Liu, R.; Wang, Y.; Zhu, D.; Wang, X.; Jiang, K.; Wu, D. Simultaneous Removal and Recovery of Ammonium and Phosphate Ions Using Flow Electrode Capacitive Deionization through the Struvite Generation Mechanism. Sep. Purif. Technol. 2025, 358, 130395. [Google Scholar] [CrossRef]
- Yang, M.; Shi, J.; Xu, Z.; Zhu, S.; Cui, Y. Phosphorus Removal and Recovery from Fosfomycin Pharmaceutical Wastewater by the Induced Crystallization Process. J. Environ. Manag. 2019, 231, 207–212. [Google Scholar] [CrossRef]
- Zhang, J.; Bligh, M.W.; Liang, P.; Waite, T.D.; Huang, X. Phosphorus Removal by in Situ Generated Fe(II): Efficacy, Kinetics and Mechanism. Water Res. 2018, 136, 120–130. [Google Scholar] [CrossRef]
- Li, C.; Sheng, Y. Aqueous Phosphate Removal and Electricity Production Using an Iron–Air Fuel Cell. J. Environ. Eng. 2020, 146, 04020042. [Google Scholar] [CrossRef]
- Ding, C.; Liu, M.; Wan, S.; Cai, Z.; Yuan, L.; Wang, R.; Zheng, P. The Sustainable Treatment of Chemical Polishing Wastewater under Low-Carbon Economy: Pollutants Removal, Resource Recovery and Energy Generation. J. Clean. Prod. 2023, 414, 137469. [Google Scholar] [CrossRef]
- Wang, L.; Tai, Y.; Zhao, X.; He, Q.; Hu, Z.; Li, M. Phosphorus Recovery Directly from Sewage Sludge as Vivianite and Simultaneous Electricity Production in a Dual Chamber Microbial Fuel Cell. J. Environ. Chem. Eng. 2023, 11, 110152. [Google Scholar] [CrossRef]
- Qiang, H.; Liu, Z.; Yin, X.; Guo, Z.; Duan, Y.; Liu, W.; Yue, X.; Zhou, A. Efficient Phosphate and Hydrogen Recovery from Sludge Fermentation Liquid by Sacrificial Iron Anode in Electro-Fermentation System. J. Environ. Manag. 2024, 360, 121110. [Google Scholar] [CrossRef]
- Hu, P.; Jia, M.; Xu, H.; Zhang, X.; Hu, D.; Hu, G. Construction and Performance of Superhydrophobic Surfaces for Rusted Iron Artifacts. Materials 2023, 16, 2180. [Google Scholar] [CrossRef]
- Liu, H.; Li, X.; Yao, H.; Sun, P. Enhanced Strategies for Phosphate Recovery from Urine by Magnesium Galvanic Process. Water Res. 2023, 245, 120669. [Google Scholar] [CrossRef]
- Tuyet, N.T.; Nguyen, V.D.; Nguyet, N.T.; Balasubramani, R.; Nghia, N.T. Phosphate Removal from Aqueous Solutions Using Reversal Mode Electrocoagulation with Iron and Aluminum Electrodes: RSM Optimization and ANN Modeling. Environ. Res. Commun. 2024, 6, 105005. [Google Scholar] [CrossRef]
- Lai, L.; Wang, S.; Qi, Z.; Zhang, Y.; Wang, R.; Yuan, L. A Deep Treatment Process for Chemical Polishing Wastewater towards Resource Recovery: Optimization and Performance. Sep. Purif. Technol. 2025, 358, 130285. [Google Scholar] [CrossRef]
- Massaglia, G.; Serra, T.; Pirri, F.C.; Quaglio, M. A Nanofiber-Based Gas Diffusion Layer for Improved Performance in Air Cathode Microbial Fuel Cells. Nanomaterials 2023, 13, 2801. [Google Scholar] [CrossRef]
- Doggaz, A.; Attour, A.; Le Page Mostefa, M.; Tlili, M.; Lapicque, F. Iron Removal from Waters by Electrocoagulation: Investigations of the Various Physicochemical Phenomena Involved. Sep. Purif. Technol. 2018, 203, 217–225. [Google Scholar] [CrossRef]
- Wang, H.; Song, X.; Zhang, H.; Tan, P.; Kong, F. Removal of Hexavalent Chromium in Dual-Chamber Microbial Fuel Cells Separated by Different Ion Exchange Membranes. J. Hazard. Mater. 2020, 384, 121459. [Google Scholar] [CrossRef] [PubMed]
- Gunasekaran, G.; Chongdar, S.; Naragoni, S.; Rodrigues, P.V.; Bobba, R. Microbial Fuel Cell Constructed with Micro-Organisms Isolated from Industry Effluent. Int. J. Hydrogen Energy 2011, 36, 14914–14922. [Google Scholar] [CrossRef]
- Lv, X.; Prastistho, W.; Yang, Q.; Tokoro, C. Application of Nano-scale Zero-valent Iron Adsorbed on Magnetite Nanoparticles for Removal of Carbon Tetrachloride: Products and Degradation Pathway. Appl. Organomet. Chem. 2020, 34, e5592. [Google Scholar] [CrossRef]
- Prot, T.; Wijdeveld, W.; Eshun, L.E.; Dugulan, A.I.; Goubitz, K.; Korving, L.; Van Loosdrecht, M.C.M. Full-Scale Increased Iron Dosage to Stimulate the Formation of Vivianite and Its Recovery from Digested Sewage Sludge. Water Res. 2020, 182, 115911. [Google Scholar] [CrossRef]
- Xia, L.; Zhang, W.; Che, J.; Chen, J.; Wen, P.; Ma, B.; Wang, C. Stepwise Removal and Recovery of Phosphate and Fluoride from Wastewater via pH-Dependent Precipitation: Thermodynamics, Experiment and Mechanism Investigation. J. Clean. Prod. 2021, 320, 128872. [Google Scholar] [CrossRef]
- Liu, J.; Cheng, X.; Qi, X.; Li, N.; Tian, J.; Qiu, B.; Xu, K.; Qu, D. Recovery of Phosphate from Aqueous Solutions via Vivianite Crystallization: Thermodynamics and Influence of pH. Chem. Eng. J. 2018, 349, 37–46. [Google Scholar] [CrossRef]
- Wei, L.; Li, Z.; Hong, T.; Zhang, Q.; Luo, L.; Tang, Y.; Ji, J.; Kong, J.; Ding, X. Electricity Production and Nutrient Recovery from Waste Activated Sludge via Microbial Fuel Cell and Subsequent Struvite Crystallization: Effect of Low Temperature Thermo-Alkaline Pretreatment. Bioresour. Technol. 2024, 414, 131575. [Google Scholar] [CrossRef] [PubMed]
- Li, G.; Lu, M.; Wang, F.; Hou, Y. Improving Power Output in Microbial Fuel Cells with Free-Standing CoCx/Co@CC Composite Anodes. Electrochim. Acta 2023, 469, 143290. [Google Scholar] [CrossRef]
- Xu, J.; Sheng, G.-P.; Luo, H.-W.; Li, W.-W.; Wang, L.-F.; Yu, H.-Q. Fouling of Proton Exchange Membrane (PEM) Deteriorates the Performance of Microbial Fuel Cell. Water Res. 2012, 46, 1817–1824. [Google Scholar] [CrossRef] [PubMed]







Disclaimer/Publisher’s Note: The statements, opinions and data contained in all publications are solely those of the individual author(s) and contributor(s) and not of MDPI and/or the editor(s). MDPI and/or the editor(s) disclaim responsibility for any injury to people or property resulting from any ideas, methods, instructions or products referred to in the content. |
© 2024 by the authors. Licensee MDPI, Basel, Switzerland. This article is an open access article distributed under the terms and conditions of the Creative Commons Attribution (CC BY) license (https://creativecommons.org/licenses/by/4.0/).
Share and Cite
Chen, L.; Han, M.; Wan, S.; Wang, S.; Wang, R. The Primary Factors Affecting the Efficiency of Two-Chamber Electrochemical Systems in Treating Phosphate-Containing Wastewater. Water 2025, 17, 29. https://doi.org/10.3390/w17010029
Chen L, Han M, Wan S, Wang S, Wang R. The Primary Factors Affecting the Efficiency of Two-Chamber Electrochemical Systems in Treating Phosphate-Containing Wastewater. Water. 2025; 17(1):29. https://doi.org/10.3390/w17010029
Chicago/Turabian StyleChen, Libin, Meng Han, Sizhuo Wan, Sifan Wang, and Ru Wang. 2025. "The Primary Factors Affecting the Efficiency of Two-Chamber Electrochemical Systems in Treating Phosphate-Containing Wastewater" Water 17, no. 1: 29. https://doi.org/10.3390/w17010029
APA StyleChen, L., Han, M., Wan, S., Wang, S., & Wang, R. (2025). The Primary Factors Affecting the Efficiency of Two-Chamber Electrochemical Systems in Treating Phosphate-Containing Wastewater. Water, 17(1), 29. https://doi.org/10.3390/w17010029
