Abstract
The accurate prediction of total phosphorus (TP) is crucial for the early detection of water quality eutrophication. However, predicting TP concentrations among canal sites is challenging due to their complex spatiotemporal dependencies. To address this issue, this study proposes a GAT-Informer prediction method based on spatiotemporal correlations to predict TP concentrations in the Beijing–Hangzhou Grand Canal Basin in Changzhou City. The method begins by creating feature sequences for each site based on the time lag relationship of total phosphorus concentration between sites. It then constructs spatiotemporal graph data by combining the real river distance between sites and the correlation of feature sequences. Next, spatial features are extracted by fusing node features using the graph attention (GAT) module. The study employs the Informer network, which uses a sparse attention mechanism to extract temporal features efficiently for simulating and predicting total phosphorus data of the sites. The model was evaluated using R2, MAE, and RMSE, with the experimental results yielding values of 0.9619, 0.1489%, and 0.1999%, respectively. The GAT-Informer model exhibits enhanced robustness and superior predictive accuracy in comparison to traditional water quality prediction models.
1. Introduction
Eutrophication and resulting cyanobacterial blooms can cause harm to human health and damage freshwater ecosystems. This is a significant environmental issue for freshwater ecosystems globally [1]. Phosphorus is an essential nutrient for plant growth and a major contributor to water eutrophication [2]. Therefore, controlling phosphorus input and accumulation is crucial in mitigating eutrophication in water bodies [3,4]. Total phosphorus (TP) represents the amount of phosphorus in all forms present in a water body. Its concentration directly reflects the degree of eutrophication in a water body, making the prediction of TP concentrations critical in water resource management. Accurate water quality forecasts assist the government in formulating rational water resource protection and management programmes in advance, safeguarding the health and sustainability of water bodies [5]. However, predicting concentrations of TP in rivers is not a simple task. Predicting the TP concentration in rivers is not easy, as water quality data have timeliness, instability, and non-linear characteristics. In addition, river water is affected by multiple factors, resulting in significant spatiotemporal distribution differences. To achieve high-precision water quality prediction, these complex factors must be fully considered. There is a clear spatiotemporal correlation in TP concentrations between monitoring sites upstream and downstream [6]. For example, the quality of water in upstream areas affects downstream areas, and these upstream–downstream effects often exhibit a certain time lag [7]. However, current research has not fully considered the complex spatiotemporal correlation, which limits the accuracy of TP concentration prediction. Therefore, establishing a river TP concentration prediction model that fully accounts for spatiotemporal correlations is a significant challenge.
In general, methods for predicting water quality can be divided into traditional physical models and data-driven models. Physical models are based on physical and mathematical equations that simulate the physical processes of water quality factors in a water body [8]. Examples of physical models include the Mike SHE model [9] and the SWAT model [10]. The traditional physical model prediction method has the advantage of having a strict physical interpretation. However, it requires a large amount of measured data and calibration parameters to support it, involves a lot of specialised domain knowledge, and the model is usually complex and struggles to achieve the required accuracy [11,12]. Moreover, such models cannot effectively handle high-dimensional and non-linear features.
Data-driven models are used to predict future water quality metrics based on observations from water quality monitoring sensors. These models are often built using statistical, machine learning, or deep learning methods [13,14]. Data-driven models are much simpler to develop as they do not require significant specialist a priori knowledge, and models constructed for one region can be easily applied to other sites [15]. Early data-driven models were mainly statistical and machine learning models such as Multiple Linear Regression (MLR) [16], Kalman Filter [17], Autoregressive Differential Moving Average (ARIMA) [18], Random Forest Regression (RFR) [19,20], and Support Vector Regression (SVR) [21]. Although simple in structure and easy to use, these models have limitations in processing non-linear relationships, handling large-scale data and complex pattern learning, and simulating spatiotemporal relationships between sites [22,23,24].
The field of water quality prediction has seen the widespread application of deep learning methods, particularly those based on Convolutional Neural Network (CNN) and RNN architectures, due to the rapid advancement of big data technology and artificial intelligence [25]. For example, Song C et al. [26] combined wavelet transform (SWT) with LSTM to accurately predict basin dissolved oxygen (DO). Similarly, Hu F et al. [27] proposed a CNN-LSTM model to achieve long-term daily runoff prediction in the source area of the Yellow River Basin, which demonstrated greater accuracy and stability than single CNN and LSTM models. Compared to earlier data-driven models, these deep learning models can more accurately capture deep hidden features in big data due to the network structure of deep hidden layers [28]. CNNs are commonly used to learn spatial relationships in time series data [29], whereas models based on RNN architectures excel in capturing temporal relationships in time series data through recurrent structures. However, when applying CNNs to the convolutional processing of multi-site water quality data for total phosphorus, the feature extraction method of sliding convolution kernels overlooks interactions between multiple sites. Furthermore, models based on RNN architectures suffer from the inherent drawbacks of such recurrent structures, with the most significant being the phenomena of vanishing and exploding gradients [30]. While some RNN variants, such as GRU and LSTM, have been shown to alleviate these issues [31], the fundamental problems caused by recursive architectures have not yet been addressed. This limitation affects the models’ ability to predict water quality over long time series [32].
Therefore, a new prediction method that fully considers the spatiotemporal correlations between water bodies at different sites to more accurately predict the total phosphorus concentration in water is required. Recently, graph attention networks (GATs) have demonstrated unique advantages in addressing spatiotemporal correlation issues in complex systems [33]. GATs can calculate the relationships between nodes using attention mechanisms, allowing for the adaptive allocation of weights to different neighbouring nodes. Meanwhile, the Transformer model [34] has achieved significant success in handling sequence data, making it a highly regarded emerging model in time series prediction tasks [35,36]. It relies on self-attention mechanisms to address the issue of memory degradation caused by long prediction sequences in RNN-based models. Informer [37] combines Transformer with time embedding and sparse attention mechanisms, allowing it to more accurately and effectively capture long-term dependencies in time series [38,39]. This makes it more suitable for time series modelling, such as water quality prediction.
This paper proposes a spatiotemporal total phosphorus prediction method based on GATs and Informer. The method integrates GAT’s ability to explore spatial features with Informer’s capability to model time series, aiming to capture the spatial characteristics and temporal relationships of total phosphorus data in greater detail, thereby achieving more accurate predictions. The paper’s main contributions and innovations are outlined below.
1. This paper proposes a method for establishing a spatiotemporal water quality prediction model by considering the temporal lag relationships of total phosphorus concentrations between upstream and downstream monitoring sites on rivers. The model comprehensively addresses the spatiotemporal dependencies of each site.
2. The predictor used for modelling total phosphorus data is Informer. The Informer network differs from traditional deep learning frameworks in that it improves the model’s ability to fit long-term total phosphorus sequences by using sparse attention and an encoder–decoder structure.
3. The combined model employs a multi-head self-attention mechanism and sparse attention mechanism to allocate different attention weights to the spatiotemporal factors of nodes, thereby capturing the dynamic evolution process of total phosphorus data.
2. Materials and Methods
2.1. Study Area and Data Sources
The research area for this study is the Jing-Hang Grand Canal Basin in Changzhou City, Jiangsu Province, China. Figure 1 shows the region located in the north-western part of the Taihu Lake Basin, which is a plain river network area. The terrain is flat, and the rivers form a dense network. The basin has 19 water quality monitoring sites numbered JH-1 to JH-19, as indicated by the black dots in Figure 1. The water flows from north to south at sites JH-9, JH-12, JH-14, JH-16, and JH-17, while the remaining 14 sites are located on the main canal channel, and their water flows from northwest to southeast. The Jing-Hang Grand Canal is a vital waterway in Changzhou City, serving as a crucial component of its water resources and ecological environment. The canal runs through the main urban area, and its water quality is constantly affected by the discharge of industrial, agricultural, and domestic sewage brought about by urbanisation. TP pollution has become one of the main water quality problems in this area. Although the local government has implemented a number of measures to improve the water quality in recent years, continuous monitoring and forecasting of TP is still essential. Therefore, it is of great significance to predict the TP concentration in the Grand Canal basin of Changzhou.
Figure 1.
Changzhou study area and the distribution of the 19 water quality monitoring sites.
The data for this study were sourced from the Changzhou Research Academy of Environmental Sciences in Jiangsu Province. Specifically, the dataset includes total phosphorus (TP) measurements collected every four hours from January 2021 to December 2022 at 19 water quality monitoring stations, with each station providing 4000 TP data points, amounting to a total of 76,000 TP data entries. As shown in Table 1, these are the descriptive statistics of raw data for the 19 sites.
Table 1.
Descriptive statistics of raw data.
2.2. General Framework of the Proposed Model
This paper proposes a spatiotemporal water quality prediction model based on graph attention networks, consisting of a spatial feature extraction module based on GATs and a time series feature extraction module based on Informer. Figure 2 illustrates the architecture of the proposed model.
Figure 2.
Overall architecture of the proposed model.
The paper proposes a water quality prediction model that comprises three main parts: spatiotemporal graph data preparation, model construction, and model prediction. The first step involves preprocessing the raw data from each site, which includes handling outliers and missing values, data standardisation, spatial site selection, and time lag adjustment. The pre-processed multivariate time series data are then transformed into graph-structured data. This study employed a GAT to extract spatial feature information from the graph-structured data, followed by Informer to extract time series feature information from the low-level data. The trained model was then used to obtain the prediction results for the test dataset. During the training process, the GAT’s attention mechanism focused on the influence between different sites. This influence varied continuously during the training iterations, simulating the diffusion trend of total phosphorus concentration in rivers.
2.3. Data Pre-Processing
- In the actual data collection, there will be data anomalies and missing due to equipment failure or human factors, so it is necessary to pre-process the raw data of each site before model training. Firstly, outliers in the data were detected using the box plot method, which identified outliers (data points that exceed the upper and lower quartile spacing by a factor of 1.5) in the box plot as outliers. A reasonable range of sites is shown below:where Q1 is the lower quartile of the sequence data, Q3 is the upper quartile of the sequence data, and k is taken as 1.5. Values outside this reasonable range are considered outliers and are set as missing values.
- This study uses linear interpolation to fill in missing data. Assuming that the coordinates (x0, y0) and (x1, y1) are known, to obtain the value of x on a straight line at a certain position in the interval [x0, x1], one can obtain the formula for the linear interpolation method as follows:
- Min-max standardisation is one of the most commonly used standardisation methods. Due to the different environments in which the different sites are located, the pollution of the water quality varies, and the values of the relevant water quality indicators are generally larger at some of the sites. Using the raw values of the water quality indicator data directly for predictive analyses can lead to an amplification of the role of sites with higher values in the treatment process. Therefore, there is a need to normalise the data by scaling it to within (0, 1). The formula for min-max normalisation is given below:where and are the normalised and original values of the i-th site, respectively, and and denote the maximum and minimum values of TP concentration for the i-th site, respectively.
- This study used the MIC (Maximal Information Coefficient) to calculate the correlation of total phosphorus data between sites. There are more water quality monitoring sites in the basin of Changzhou section of Beijing–Hangzhou Grand Canal, and there are complex correlations between the sites due to spatial geographic location, inter-site connectivity, and water flow rate. The MIC provides a good measure of this complex correlation [40]. It measures the correlation between two variables by calculating the maximum information coefficient between them. The formula is as follows:where B is the maximum value of the total number of grids divided, and denotes the maximum mutual information value after dividing the grid. The value of MIC ranges from 0 to 1, where 0 means that the two data are independent of each other and 1 means that they are completely correlated.
2.4. Spatiotemporal Graph Construction
Water quality monitoring sites distributed throughout the watershed record historical water quality data for a given site. Water quality at a site in a watershed not only changes over time but is also usually influenced by upstream, downstream, and nearby areas, resulting in complex spatial and temporal relationships between water quality monitoring sites. As shown in Figure 3, the spatial relationship of each monitoring site can be defined as a spatial topological map, denoted as , where denotes the sequence of total phosphorus concentrations at monitoring sites in the watershed; E denotes the set of edges that make up the graph, representing the connectivity between the sites; and is a weighted adjacency matrix representing the spatiotemporal relationships between the nodes.
Figure 3.
Spatiotemporal graph of water quality monitoring sites.
is calculated based on the actual river distance and Pearson correlation coefficients between hi and hj, so that the adjacency matrix formed by points hi and hj is as follows:
where denotes the normalisation operation, denotes the Pearson’s correlation coefficient between the two sites, is the true channel length between the two water quality monitoring sites, and D is the threshold for the true channel length, which in this paper is set to 15, and the inter-site connectivity is set to 0 for the sites exceeding this threshold.
2.5. Spatial Feature Extraction Module
There is a more general spatial correlation between sites in the watershed. Spatially, changes in water quality at the target sites are mainly influenced by upstream and downstream water quality, and they generally show a high correlation between the concentrations of water quality factors at neighbouring sites. Spatial features between sites in a watershed can be extracted using the GAT to improve the performance of water quality prediction and obtain more accurate predictions. Veličković et al. introduced an attention mechanism based on Graph Convolutional Networks (GCNs) and proposed the GAT [41]. The GAT is similar to a GCN in that both aggregate the features of neighbouring nodes to update the representation of the central node [42]. However, what sets the GAT apart is its attention mechanism, which adaptively assigns different weights to different neighbouring nodes. This improvement addresses the limitation of GCNs in distinguishing the importance of neighbouring nodes, thereby enhancing the model’s adaptability and expressiveness. As a result, GATs can focus more on important nodes, reducing the impact of noise.
The input to the GAT layer is a feature vector , where n is the number of nodes and F is the length of node features. The specific calculation process of the attention coefficient is as follows, assuming that the node hi in the graph is taken as the central node, and the weight coefficient between it and the neighbouring node hj is , which is calculated by the following formula [41]:
where denotes the computation of the self-attention mechanism and is the trainable weight parameter for the feature transformation of the nodes in the layer. As shown in Figure 4a, the weight coefficients are transferred into the softmax layer and activated using the LeakyReLU function , and finally obtain the attention coefficient [41].
Figure 4.
(a) The formation process of self-attention coefficients and (b) graph convolution node update process.
Subsequently, the attention coefficients were used as weights to weight and sum the neighbouring site features, as shown in Figure 4b, and the new features of the site were obtained through the averaging process. denotes all sites adjacent to site i. is the linearly transformed weight matrix of the input features under the k-th attention mechanism. The final output achieves a new set of node features , where denotes the obtained new node feature length.
2.6. Time Series Feature Extraction Module
In addition to spatial features, extracting temporal features is also important for long-time-series water quality prediction. The Informer model is a model developed based on the Transformer framework, capable of effectively addressing long-sequence-time-series forecasting problems [37]. As depicted in Figure 5, the architecture of the Informer network retains the model structure of the Transformer encoder–decoder and introduces three improvements based on the Transformer model. These enhancements enable the Informer model to excel in long time series forecasting tasks:
Figure 5.
The framework of Informer.
1. Introducing the ProbSparse self-attention mechanism in place of the traditional one effectively reduces time complexity. The traditional self-attention mechanism, based on tuple inputs (i.e., query, key, and value), computes attention weights between the query vector and all vectors. In contrast, ProbSparse self-attention adopts a sparse approach, selecting only a subset of key vectors most relevant to each query vector for attention calculation. It employs the Kullback–Leibler (KL) divergence between distributions p and q to measure the similarity between two distributions, thus distinguishing important queries. The formula for Kullback–Leibler (KL) divergence is as follows [37]:
After removing the constants, the sparsity of the i-th query is , which can be subsequently approximated as . Finally, the ProbSparse self-attention mechanism is defined as , where is a sparse matrix of the same size as , which contains only the largest u query in the sparsity measure M.
2. Distillation operation is used in the encoder to extract high-level features with dominant features using the ProbSparse self-attention mechanism. The time dimension is also halved by using one-dimensional convolutional and pooling layers to reduce the computational and memory complexity of each layer. The distillation operation from layer j to layer j + 1 is as follows [37]:
where performs a one-dimensional convolution on the time dimension, and denotes the multi-headed ProbSparse self-attention operation.
3. Generative inference is used in the decoder to predict the output through a forward process, which improves the speed of long-time-series prediction. The decoder consists of two multi-head attention layers with a vector of inputs [37]:
where is the starting token, a token-long sequence sampled from the input sequence, and is a placeholder for the predicted sequence, with the value set to zero.
2.7. Indicators for Model Evaluation
To quantify and evaluate the predictive performance of the model and compare it with others, this study employs three commonly used model evaluation metrics: Mean Absolute Error (MAE), Root Mean Square Error (RMSE), and R-squared (R2). Among them, MAE and RMSE are used to indicate the errors between actual values and predicted values, with smaller values indicating higher prediction accuracy. R-squared (R2) is utilised to represent prediction accuracy, with values closer to 1 indicating better prediction performance. The formulae for the indicators are given below:
where denotes the actual value, denotes the predicted value, and denotes the average of the actual values.
3. Results and Discussion
3.1. Experimental Setup
The programming language used for the models in this study was Python 3.6 and the deep learning framework was Pytorch 1.8.1 and was trained on a Windows 11 computer system with an NVIDIA 3060 Ti GPU with 8G of RAM. The ratio of training set, validation set, and test set was 7:1:2. The maximum number of training rounds was set to 100, and training was stopped at 5 consecutive validation losses without decreasing. After several experiments combined with previous experience, the parameters and hyperparameters of the model were finally confirmed.
3.2. Spatial and Temporal Correlation Analysis of Space Sites
MIC is a statistical method for measuring the magnitude of correlation between two sequences. Considering the temporal lag of water quality from upstream sites affecting downstream sites, this study employed MIC to assess spatial correlations between upstream and downstream sites at different lag times. Taking JH-13 and JH-15 as examples, each time these sites were considered as benchmarks, their spatial correlations with adjacent sites were studied at various lag times. Experimental results, as shown in Figure 6, revealed noticeable temporal lags between upstream and downstream sites. For instance, in Figure 6a, depicting the experimental results between JH-13 and its adjacent sites, the MIC correlation values between JH-13 and its upstream and downstream sites were all greater than 0.35 after temporal lag adjustment. At a lag time of −15, the maximum correlation of total phosphorus data with JH-13 was observed at JH-10, with a value of 0.45, followed by downstream site JH-15, with a value of 0.374 at a lag time of +3. Figure 6b illustrates the experimental results between JH-15 and its adjacent sites, indicating that only JH-17 and JH-18 exhibited high spatial correlation with JH-15. At a lag time of +26, JH-18 showed the highest MIC value of 0.561 for total phosphorus concentration with JH-15. This is because JH-10, JH-11, JH-13, JH-15, and JH-18 are all located on the main river channel, where upstream inflows have a significant impact on downstream sites. In contrast, JH-17, JH-14, and JH-12 are tributary sites, showing slightly lower correlations with adjacent sites compared to adjacent main channel sites.
Figure 6.
Spatiotemporal correlations. (a) MIC correlation of site JH-13 with neighbouring sites; (b) MIC correlation of site JH-15 with neighbouring sites.
After adjusting for time lag, the spatial correlations for each site at the optimal lag time were obtained. As shown in Figure 7, it can be observed that the MIC values for TP data at the JH-16 site with other sites are all below 0.17, and this site does not exhibit any significant time lag phenomena with adjacent sites. Therefore, this site contributes little to the model’s TP prediction. Additionally, monitoring sites with close proximity tend to have similar water quality conditions, leading to multicollinearity in model inputs that can reduce the stability and accuracy of model predictions. Combining Figure 1 and Figure 7, it can be inferred that the JH-18 site is situated between JH-19 and JH-15, with JH-18 being too close to JH-19, resulting in similar water quality conditions and excessively high correlation in TP concentration data, leading to redundant information. Similarly, the high correlation between JH-3 and JH-4 is due to their close proximity. Consequently, the model ultimately chooses to exclude the JH-19 and JH-3 sites, using the TP data from the remaining 16 sites as model inputs for prediction.
Figure 7.
Time lag adjusted MIC correlation coefficients between sites.
To assess the necessity of adjusting the time lag for water quality data at each monitoring site, the GAT-LSTM and Informer models were chosen to predict the future 4 h time scale total phosphorus concentration at JH-13 using both adjusted and unadjusted data. The experimental results are shown in Table 2, indicating that when adjusted data are used as input for the models, both models exhibit improved predictive accuracy. The optimal R2 value for GAT-LSTM is 0.939, while for Informer it is 0.94. It is evident that using adjusted data can reduce prediction errors and enhance the accuracy of model predictions.
Table 2.
Values of assessment indicators when data before and after time lag adjustment are selected as inputs to the baseline model.
3.3. Model Robustness Analysis
The data adjusted and filtered in Section 3.2 were used for model prediction. The primary aim of water quality prediction is to obtain accurate forecasts for specific monitoring sites. Therefore, this study selected representative sites, namely JH-13 and JH-15, for validation and analysed the robustness and generalisation performance of the GAT-Informer model. Predictions were made for the future 4 h (1-step) total phosphorus concentration at the JH-13 site, considering the past 24 h (6 steps), 48 h (12 steps), 72 h (18 steps), 96 h (24 steps), 120 h (30 steps), 144 h (36 steps), and 168 h (42 steps). Additionally, the past 96 h (24 steps) were used to predict the future 4 h (1-step), 8 h (2 steps), 12 h (3 steps), 16 h (4 steps), 20 h (5 steps), and 24 h (6 steps) total phosphorus concentrations at the representative JH-13 and JH-15 sites, to assess the model’s robustness accuracy.
In typical scenarios, using shorter historical data as input may limit the model’s learning capacity, while using longer historical data may increase the difficulty of information extraction (due to the presence of more information), thereby leading to a decrease in prediction accuracy. As shown in Table 3, with other model parameters fixed, different past time steps were used to predict the future 4 h (1-step) total phosphorus concentration at the JH-13 site. It can be observed that when using the past 96 h (24 steps) as input, the model achieved optimal performance, with RMSE, MAE, and R2 values of 0.149%, 0.2%, and 0.962, respectively. Furthermore, when using the past 24 h (6 steps) to 144 h (36 steps) as input, the model exhibited high predictive performance (R2 > 0.9). This is because the Informer model’s ProbSparse attention mechanism and distillation mechanism can effectively extract key information from long time series, allowing the model to maintain stable prediction accuracy even when using longer historical data as input.
Table 3.
Predictive performance in the case of different input step sizes.
This experiment selected two monitoring sites, JH-13 and JH-4, as verification targets. JH-13 is located at the confluence of the two main branches of the Jing-Hang Grand Canal in the middle and lower reaches, where the water quality is most complex. JH-4, on the other hand, is situated in the middle to upper reaches, where the water quality is relatively stable. Figure 8 presents the experimental results of prediction errors and accuracy (RMSE, MAE, R2) for two typical monitoring sites in the six-step prediction experiment. The results show that the accuracy for the two monitoring sites within three-step predictions is high (R2 > 0.9), with the best performance achieved in one-step predictions, where R2 values exceed 0.95. Furthermore, the results indicate that as the prediction period is extended, the rate of growth in error values decreases while the accuracy of predictions gradually declines, suggesting a consistent predictive capability. Figure 9 presents scatter plots comparing predicted values to actual values for one-step predictions at both sites, demonstrating a strong correlation between the prediction results and actual values, with an R2 value greater than 0.95. The statement indicates that the model has a high capacity for predicting the concentration of total phosphorus.
Figure 8.
Forecast performance of the proposed model. (a) Forecast performance of site JH-13; (b) forecast performance of site JH-4.
Figure 9.
Scatter plot of predicted total phosphorus (TP) results. (a) Scatter plot of 4h ahead forecast for site JH-13; (b) scatter plot of 4h ahead forecast for site JH-4.
In summary, GAT-Informer achieved good prediction performance in both single-step prediction and multi-step prediction for two typical sites, showing good robustness and generalisation ability.
3.4. Model Validation
In order to evaluate the model’s capacity for generalisation, this study employed a time series cross-validation approach to assess the model’s performance. Table 4 presents a summary of the cross-validation results and their 95% confidence intervals (CIs) for two representative site test datasets, utilising three evaluation metrics. In this experiment, the k value for cross-validation was set to 5, while the proportion of the test set was 0.2.
Table 4.
Time series cross validation results (with 95% CI).
The results of the experimental procedure demonstrated that the cross-validation conducted at both typical sites yielded a satisfactory fit (R2 = 0.93). Nevertheless, the RMSE and MAE values for the test set cross-validation results are higher than those observed for the multi-step prediction results presented in the previous section. This discrepancy may be attributed to the fact that, during each time series cross-validation, a portion of the dataset was used as the test set and its previous portion was used as the training set. This resulted in an insufficient sample size of the training set in the initial validation rounds, which affected the fitting results. However, overall, the present model is able to effectively predict future behaviour and shows strong generalisation ability.
Furthermore, t-tests were employed for the calculation of 95% CI. Although the actual distribution of performance measures is often challenging to define or overly intricate, rendering it difficult to implement in practice, the outcomes based on the t-distribution remain reasonably precise [43].
3.5. Comparative Analysis of Different Predictors
In order to fully demonstrate Informer’s excellent capability in modelling and analysing total phosphorus time series, comparative experiments were constructed using two classical deep neural networks (LSTM and GRU) and two forecasting models based on machine learning approaches (RFR and SVR). The hyperparameters for each model were determined using a grid search and are listed in Table 5. Figure 10 gives the results of these network models for time series predictors at two typical sites. The results show that the Informer model achieves the best prediction results on two typical sites. The possible reasons are that the Informer model can effectively handle long time series data based on the structural properties of encoder and decoder, and based on the ProbSparse attention mechanism, the model can effectively analyse the deep hidden features in the water quality total phosphorus data series, so as to obtain better prediction results of water quality total phosphorus. Additionally, Informer employs a generative decoder that requires only a single forward pass to generate long-sequence outputs. This approach avoids error propagation during the result output stage and exhibits good predictive performance under long time scales.
Table 5.
Hyperparameter names and local optima for different predictor models.

Figure 10.
Predictive effectiveness of different predictors. (a) Performance of different predictors at site JH-13. (b) Performance of different predictors at site JH-4.
The prediction results of both classic deep neural networks (LSTM and GRU) were better than those of the machine learning models (RFR and SVR), indicating that traditional machine learning methods have a limited ability to analyse water quality data. One possible reason for this is that deep learning models have multiple hidden layers, making their structure more complex and flexible. This allows them to better capture the complex patterns and non-linear relationships between features and labels in time series data. Additionally, it can be observed that the predictive performance of LSTM is superior to GRU, indicating that the gate structure of LSTM better captures the relationship between target values and features.
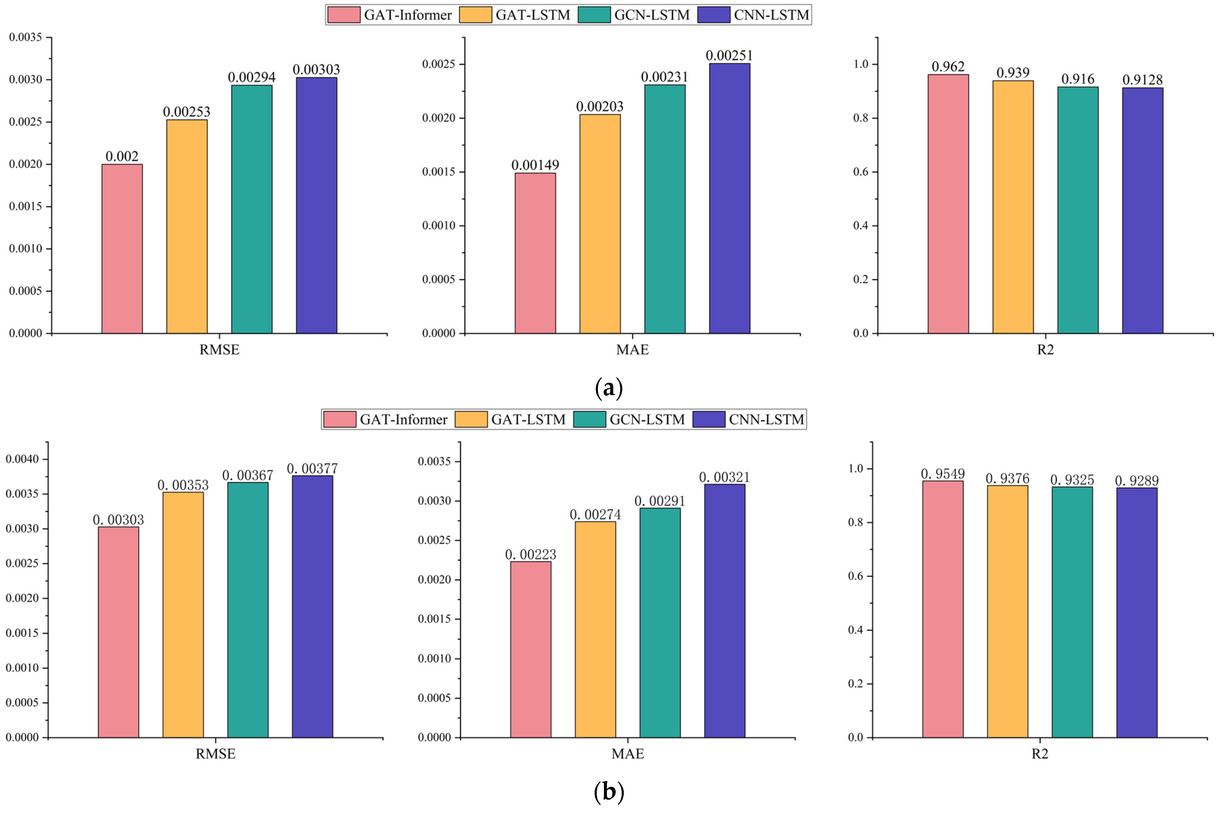
3.6. Comparative Analysis of Different Spatiotemporal Prediction Models
In order to verify the advantages of the method proposed in this paper, this section chooses to compare the model proposed in this paper with the spatiotemporal water quality prediction models (CNN-LSTM, GCN-LSTM, and GAT-LSTM) from previous studies. Table 6 gives the hyperparameters for the different models. Figure 11 shows the prediction results of each model on two typical sites. The results show that GAT-Informer is optimal for each of the evaluation metrics on both typical sites.
Table 6.
Hyperparameters for different spatiotemporal prediction models.
Figure 11.
Predictive effectiveness of different spatiotemporal prediction models. (a) Performance of different predictors at site JH-13. (b) Performance of different predictors at site JH-4.
Comparing the experimental results of Figure 10 and Figure 11, it can be observed that the overall prediction performance follows the order: GAT-LSTM > GCN-LSTM > CNN-LSTM > LSTM. Incorporating different feature extraction methods on top of the LSTM model effectively improves the prediction accuracy of total phosphorus concentration. This may be attributed to the ability of GCNs to effectively capture the correlations between nodes in spatiotemporal graphs, while GATs, which build on GCNs by introducing self-attention mechanisms, can better capture the intricate relationships between nodes in time-series data, thus improving feature extraction capabilities. In contrast, Convolutional Neural Networks (CNNs) are more adept at capturing local correlations and may not fully exploit the spatiotemporal features within the data. In this experiment, the GAT-Informer model achieved the best prediction performance. This may be because the Informer model has demonstrated excellent analytical capabilities in predicting water quality, as previously shown. The GAT-Informer model adds the GAT to the Informer model. This addition can better capture the complex relationships between nodes in time series data, compensating for the shortcomings of the Informer model, which is unable to extract spatial features. As a result, the prediction accuracy is further improved.
Overall, the GAT-Informer model proposed in this study utilises GAT to extract spatial features of site data and employs the Informer model to extract temporal features from the data. Compared to previous studies on spatiotemporal water quality prediction models, this model demonstrates higher accuracy and smaller errors, significantly improving predictive performance.
3.7. Comparison of Model Accuracy with Literature
This section aims to compare the performance of our GAT-Informer model with those proposed in the literature [11,13,20,44] regarding water quality prediction. While it is important to note that direct comparisons can be challenging due to variations in data sources, methodologies, and evaluation metrics, an effort has been made to contextualise our results within the broader framework of existing research.
Reference [11]: The study developed a hybrid deep learning model modularly coupled with SOD, VGG, and LSTM. Its RMSE and MAE reached 0.005 mg/L and 0.004 mg/L, respectively.
Reference [13]: The study proposed a comprehensive approach using ML models (Elastic Net, Gradient Boosting, Extreme Learning Machine, and Support Vector Regression) combined with the Harris Hawk Optimization algorithm to predict phosphate concentration. The prediction results were R2 = 0.670, RMSE = 0.049 mg/L, MAE = 0.037 mg/L.
Reference [20]: The study separated the model training and prediction for different seasons, trained a Random Forest model, and achieved an average test R2 of 0.71 for nitrate.
Reference [44]: The study developed a comprehensive spatiotemporal prediction framework utilising the STGCN model, achieving high average predictive performance (R2 = 0.721, RMSE = 0.032, MAE = 0.009) across 400 monitoring stations at a large watershed scale.
Compared to the aforementioned studies, the model proposed in this study incorporates advanced spatiotemporal features and a novel attention mechanism, demonstrating competitive performance against benchmarks in the literature. It is also noteworthy that these studies indicate an increasing need for integrating spatiotemporal features in predicting phosphorus pollution, which is crucial for enhancing the interpretability and accuracy of predictions.
3.8. Strengths, Limitations, Practical Application, and Future Work
This study presents several notable advantages. It introduces a multi-site spatiotemporal prediction model for watersheds based on time lag relationships. This model employs a data preprocessing method rooted in time lag relationships, effectively mitigating prediction errors due to the neglect of water flow transmission delays. Consequently, this significantly reduces the uncertainty of the prediction outcomes and enhances the model’s portability.
The proposed model leverages the GAT module and Informer to adeptly capture both spatial features and long-term characteristics within the watershed. It holds promise for application to long-duration water quality forecasting in expansive watersheds. Policymakers and environmental managers can deploy this model across entire watersheds to facilitate real-time monitoring and the dynamic prediction of nutrient levels, particularly total phosphorus (TP). This capability provides a robust tool for the swift implementation of emergency measures when water quality deterioration is imminent, thereby effectively curbing pollution impacts and safeguarding public health and ecosystem integrity.
Nevertheless, the study acknowledges certain limitations. The concentration of TP in water bodies is influenced by multiple factors, including precipitation, land use alterations, agricultural practises, and industrial discharges. The current model does not incorporate these external influences, potentially leading to discrepancies between predicted results and actual conditions, thus impairing the model’s generalizability and interpretability. Furthermore, the existing spatiotemporal graph is constructed based on the physical river distances between sites, which solely account for the transfer of spatial information between sites while overlooking the necessity for timely updates of information. During specific periods within particular watersheds, the connectivity and flow directions between some sites may experience changes, thereby affecting the model’s robustness under anomalous conditions.
In future endeavours, there is potential to further refine the model’s predictive mechanism by incorporating additional factors related to TP concentration. This includes other pertinent water quality parameters and dry/wet deposition amounts, with the aim of enhancing the robustness and generalizability of the model in predicting total phosphorus concentrations in rivers. Furthermore, constructing dynamic graphs based on hydrodynamic conditions (such as river flow rates) can be considered to effectively capture dynamic spatial features.
4. Conclusions
Most previous studies on predicting water quality did not account for the delayed effects of total phosphorus data across multiple sites and were unable to accurately describe the dynamic distribution of total phosphorus concentration in the watershed. To more accurately capture the spatial and temporal characteristics of total phosphorus concentration, this study proposes a GAT-Informer prediction method based on spatial and temporal correlation. This study’s main contributions are summarised as follows:
- The paper proposes a GAT-Informer model based on spatio-temporal correlation by combining GAT network and Informer. The model fully considers the characteristics of spatial and temporal dimensions and achieves the accurate multi-step prediction of total phosphorus concentration.
- This paper proposes a data preprocessing method based on a time lag relationship to analyse water quality total phosphorus data more accurately. Experimental results show that this method improves the prediction accuracy of the model.
- To evaluate the model’s robustness for multi-step prediction, a robustness validation experiment was conducted. The experimental results indicate that the GAT-Informer model achieves stable and reliable performance in predicting different time scales.
- This paper presents model comparison experiments to evaluate the performance of GAT-Informer. The model comparison experiments indicate that the GAT network is more effective than the traditional CNN and GCN in mining the spatial dependence in the total phosphorus data. Additionally, compared to the traditional RNN framework, Informer, which is based on a sparse attention mechanism, can better fit the temporal trend of total phosphorus data. Thus, the GAT-Informer model can effectively utilise the spatiotemporal features present in the multi-site total phosphorus data, resulting in superior prediction performance compared to the other eight models.
In summary, the GAT-Informer model achieves accurate multi-timescale TP prediction based on the complex spatial and temporal relationships of TP data among the sites in the watershed. This can provide effective technical support for the allocation of resources for the management and control of water pollution and has a promising application prospect.
Author Contributions
Conceptualization, J.H., X.L. and Q.H.; methodology, J.H. and X.L.; validation, J.H., X.L., J.Y., H.J. and S.G.; formal analysis, X.L. and H.Z.; data curation, X.X., W.C., H.J. and S.G.; writing—original draft preparation, X.L.; writing—review and editing, X.L., C.Z., and Y.F.; supervision, X.X., W.C., and S.G.; funding acquisition, J.H., X.X., X.L. and J.Y. All authors have read and agreed to the published version of the manuscript.
Funding
This research was funded by the Chinese National Natural Science Foundation (52070023), and Changzhou Key Research and Development Plan (Science and technology support for social development) project (CE20235071), and City-based tracking study on ecological environment protection and restoration of the Yangtze River (2022-LHYJ-02-0502-02-11), and Postgraduate Research & Practice Innovation Program of Jiangsu Province (KYCX24_3224, KYCX24_3232), and Innovation and Entrepreneurship Training Program of Jiangsu College Student (202410292030Z, 202410292081Y, 202410292082Y).
Data Availability Statement
Due to the fact that the site observations within the study area are to some extent confidential, these site data are not permitted to be made accessible to the public. Thank you for your comprehension.
Conflicts of Interest
The authors declare no conflicts of interest.
References
- Wang, J.H.; Yang, C.; He, L.Q.S.; Dao, G.H.; Du, J.S.; Han, Y.P.; Wu, G.X.; Wu, Q.Y.; Hu, H.Y. Meteorological factors and water quality changes of Plateau Lake Dianchi in China (1990–2015) and their joint influences on cyanobacterial blooms. Sci. Total Environ. 2019, 665, 406–418. [Google Scholar] [CrossRef]
- Yan, K.; Yuan, Z.; Goldberg, S.; Gao, W.; Ostermann, A.; Xu, J.C.; Zhang, F.; Elser, J. Phosphorus mitigation remains critical in water protection: A review and meta-analysis from one of China’s most eutrophicated lakes. Sci. Total Environ. 2019, 689, 1336–1347. [Google Scholar] [CrossRef]
- Yuan, H.; Tai, Z.; Li, Q.; Zhang, F. Characterization and source identification of organic phosphorus in sediments of a hypereutrophic lake. Environ. Pollut. 2020, 257, 113500. [Google Scholar] [CrossRef] [PubMed]
- Liu, J.; Wang, Y.; Li, Y.; Peñuelas, J.; Zhao, Y.; Sardans, J.; Tetzlaff, D.; Liu, J.; Liu, X.; Yuan, H.; et al. Soil ecological stoichiometry synchronously regulates stream nitrogen and phosphorus concentrations and ratios. CATENA 2023, 231, 107357. [Google Scholar] [CrossRef]
- Zhou, W.; Jiang, R.; Ding, S.; Cheng, Y.; Li, Y.; Tao, H. A novel grey prediction model for seasonal time series. Knowl. Based Syst. 2021, 229, 107363. [Google Scholar] [CrossRef]
- Wang, S.; Peng, H.; Liang, S. Prediction of estuarine water quality using interpretable machine learning approach. J. Hydrol. 2022, 605, 127320. [Google Scholar] [CrossRef]
- Reichstein, M.; Camps-Valls, G.; Stevens, B.; Jung, M.; Denzler, J.; Carvalhais, N.; Prabhat, F. Deep learning and process understanding for data-driven Earth system science. Nature 2019, 566, 195–204. [Google Scholar] [CrossRef]
- Fang, S.; Deitch, M.J.; Gebremicael, T.G.; Angelini, C.; Ortals, C.J. Identifying Critical Source Areas of Non-point Source Pollution to Enhance Water Quality: Integrated SWAT Modeling and Multi-variable Statistical Analysis to Reveal Key Variables and Thresholds. Water Res. 2024, 253, 121286. [Google Scholar] [CrossRef] [PubMed]
- Wang, L.; Song, X.; Li, L.; Zhao, X.; Meng, P.; Fu, C.; Wei, W.; Liu, Y.; Li, H. Research on green water components and potential evaluation framework based on MIKE SHE model–A case study in the Loess Plateau of China. Ecol. Indic. 2023, 154, 110613. [Google Scholar] [CrossRef]
- Kim, J.; Her, Y.; Bhattarai, R.; Jeong, H. Improving nitrate load simulation of the SWAT model in an extensively tile-drained watershed. Sci. Total Environ. 2023, 904, 166331. [Google Scholar] [CrossRef]
- Wan, H.; Xu, R.; Zhang, M.; Cai, Y.; Li, J.; Shen, X. A novel model for water quality prediction caused by non-point sources pollution based on deep learning and feature extraction methods. J. Hydrol. 2022, 612, 128081. [Google Scholar] [CrossRef]
- Keller, A.A.; Garner, K.; Rao, N.; Knipping, E.; Thomas, J. Hydrological models for climate-based assessments at the watershed scale: A critical review of existing hydrologic and water quality models. Sci. Total Environ. 2023, 867, 161209. [Google Scholar] [CrossRef]
- Boratto, T.H.A.; Campos, D.E.D.; Fonseca, D.L.; Soares Filho, W.A.; Yaseen, Z.M.; Gorgoglione, A.; Goliatt, L. Hybridized machine learning models for phosphate pollution modeling in water systems for multiple uses. J. Water Process Eng. 2024, 64, 105598. [Google Scholar] [CrossRef]
- Wang, Z.; Wang, Q.; Liu, Z.; Wu, T. A deep learning interpretable model for river dissolved oxygen multi-step and interval prediction based on multi-source data fusion. J. Hydrol. 2024, 629, 130637. [Google Scholar] [CrossRef]
- Li, G.; Liu, Z.; Zhang, J.; Han, H.; Shu, Z. Bayesian model averaging by combining deep learning models to improve lake water level prediction. Sci. Total Environ. 2024, 906, 167718. [Google Scholar] [CrossRef]
- Ahmadianfar, I.; Jamei, M.; Chu, X. A novel hybrid wavelet-locally weighted linear regression (W-LWLR) model for electrical conductivity (EC) prediction in surface water. J. Contam. Hydrol. 2020, 232, 103641. [Google Scholar] [CrossRef]
- Attarzadeh, F.; Ziaei, A.N.; Davary, K.; Choulabi, E.F. Real-time water demand pattern estimation using an optimized extended Kalman filter. Expert Syst. Appl. 2024, 238, 122082. [Google Scholar] [CrossRef]
- Gupta, A.; Kumar, A. Two-step daily reservoir inflow prediction using ARIMA-machine learning and ensemble models. J. Hydro-Environ. Res. 2022, 45, 39–52. [Google Scholar] [CrossRef]
- Lu, H.; Ma, X. Hybrid decision tree-based machine learning models for short-term water quality prediction. Chemosphere 2020, 249, 126169. [Google Scholar] [CrossRef] [PubMed]
- Tso, T.C.H.M.; Magee, E.; Huxley, D.; Eastman, M.; Fry, M. River reach-level machine learning estimation of nutrient concentrations in Great Britain. Front. Water. 2023, 5, 1244024. [Google Scholar] [CrossRef]
- Liu, R.; Jiang, S.; Ou, J.; Kouadio, K.L.; Xiong, B. Multifaceted anomaly detection framework for leachate monitoring in landfills. J. Environ. Manage. 2024, 368, 122130. [Google Scholar] [CrossRef] [PubMed]
- Liu, Y.; Zhang, Q.; Song, L.; Chen, Y. Attention-based recurrent neural networks for accurate short-term and long-term dissolved oxygen prediction. Comput. Electron. Agric. 2019, 165, 104964. [Google Scholar] [CrossRef]
- Rajaee, T.; Khani, S.; Ravansalar, M. Artificial intelligence-based single and hybrid models for prediction of water quality in rivers: A review. Chemom. Intell. Lab. Syst. 2020, 200, 103978. [Google Scholar] [CrossRef]
- Liang, W.; Liu, T.; Wang, Y.; Jiao, J.J.; Gan, J.; He, D. Spatiotemporal-aware machine learning approaches for dissolved oxygen prediction in coastal waters. Sci. Total Environ. 2023, 905, 167138. [Google Scholar] [CrossRef]
- Wai, K.P.; Chia, M.Y.; Koo, C.H.; Huang, Y.F.; Chong, W.C. Applications of deep learning in water quality management: A state-of-the-art review. J. Hydrol. 2022, 613, 128332. [Google Scholar] [CrossRef]
- Song, C.; Yao, L.; Hua, C.; Ni, Q. A novel hybrid model for water quality prediction based on synchrosqueezed wavelet transform technique and improved long short-term memory. J. Hydrol. 2021, 603, 126879. [Google Scholar] [CrossRef]
- Hu, F.; Yang, Q.; Yang, J.; Luo, Z.; Shao, J.; Wang, G. 2024. Incorporating multiple grid-based data in CNN-LSTM hybrid model for daily runoff prediction in the source region of the Yellow River Basin. J. Hydrol. Reg. Stud. 2021, 51, 101652. [Google Scholar] [CrossRef]
- Liao, Y.; Wang, Z.; Chen, X.; Lai, C. Fast simulation and prediction of urban pluvial floods using a deep convolutional neural network model. J. Hydrol. 2023, 624, 129945. [Google Scholar] [CrossRef]
- Zhang, W.; Zhou, H.; Bao, X.; Cui, H. Outlet water temperature prediction of energy pile based on spatial-temporal feature extraction through CNN–LSTM hybrid model. Energy 2023, 264, 126190. [Google Scholar] [CrossRef]
- Zou, Y.; Wang, J.; Lei, P.; Li, Y. A novel multi-step ahead forecasting model for flood based on time residual LSTM. J. Hydrol. 2023, 620, 129521. [Google Scholar] [CrossRef]
- Mei, P.; Li, M.; Zhang, Q.; Li, G. Prediction model of drinking water source quality with potential industrial-agricultural pollution based on CNN-GRU-Attention. J. Hydrol. 2022, 610, 127934. [Google Scholar] [CrossRef]
- Yang, B.; Fan, F.; Ni, R.; Li, J.; Kiong, L.; Liu, X. Continual learning-based trajectory prediction with memory augmented networks. Knowl. Based Syst. 2022, 258, 110022. [Google Scholar] [CrossRef]
- Jiang, W.; Luo, J. Graph neural network for traffic forecasting: A survey. Expert Syst. Appl. 2022, 207, 117921. [Google Scholar] [CrossRef]
- Vaswani, A.; Shazeer, N.; Parmar, N.; Uszkoreit, J.; Jones, L.; Gomez, A.N.; Kaiser, L.; Polosukhin, I. Attention is all you need. In Proceedings of the 31st International Conference on Neural Information Processing Systems, Long Beach, CA, USA, 4–9 December 2017; pp. 6000–6010. Available online: https://dl.acm.org/doi/10.5555/3295222.3295349 (accessed on 1 January 2024).
- Ahmed, A.A.; Sayed, S.; Abdoulhalik, A.; Moutari, S.; Oyedele, L. Applications of machine learning to water resources management: A review of present status and future opportunities. J. Clean. Prod. 2024, 441, 140715. [Google Scholar] [CrossRef]
- Islam, S.; Elmekki, H.; Elsebai, A.; Bentahar, J.; Drawel, N.; Rjoub, G.; Pedrycz, W. A comprehensive survey on applications of transformers for deep learning tasks. Expert Syst. Appl. 2023, 241, 122666. [Google Scholar] [CrossRef]
- Zhou, H.; Zhang, S.; Peng, J.; Zhang, S.; Li, J.; Xiong, H.; Zhang, W. Informer: Beyond efficient transformer for long sequence time-series forecasting. Proc. AAAI Conf. Artif. Intell. 2021, 35, 11106–11115. [Google Scholar] [CrossRef]
- Cao, Y.; Liu, G.; Luo, D.; Bavirisetti, D.P.; Xiao, G. Multi-timescale photovoltaic power forecasting using an improved Stacking ensemble algorithm based LSTM-Informer model. Energy 2023, 283, 128669. [Google Scholar] [CrossRef]
- Wan, F.; Li, Z.; Koch, T.; Zan, G.; Li, M.; Zheng, Z.; Liang, B. Improving the accuracy of multi-step prediction of building energy consumption based on EEMD-PSO-Informer and long-time series. Comput. Electr. Eng. 2023, 110, 108845. [Google Scholar] [CrossRef]
- Huan, J.; Zheng, Y.; Xu, X.; Zhang, H.; Shi, B.; Zhang, C.; Hu, Q.; Fan, Y.; Wu, N.; Lv, J. Prediction of CODMn concentration in lakes based on spatiotemporal feature screening and interpretable learning methods—A study of Changdang Lake, China. Comput. Electron. Agric. 2024, 219, 108793. [Google Scholar] [CrossRef]
- Veličković, P.; Cucurull, G.; Casanova, A.; Romero, A.; Lio, P.; Bengio, Y. Graph attention networks. arXiv 2017, arXiv:1710.1093. [Google Scholar] [CrossRef]
- Zhang, C.; Liang, J.; Li, X.; Xia, Y.; Di, L.; Hou, Z.; Huan, Z. Human action recognition based on enhanced data guidance and key node spatial temporal graph convolution. Multimed. Tools Appl. 2022, 81, 8349–8366. [Google Scholar] [CrossRef]
- Maiti, R.; Menon, B.G.; Abraham, A. Ensemble empirical mode decomposition based deep learning models for forecasting river flow time series. Expert Syst. Appl. 2024, 255, 124550. [Google Scholar] [CrossRef]
- Tian, Y.; Zhao, Y.; Yin, Z.; Deng, N.; Li, S.; Zhao, H.L.; Huang, B. Integrating spatial-temporal features into prediction tasks: A novel method for identifying the potential water pollution area in large river basins. J. Environ. Manag. 2025, 373, 123522. [Google Scholar] [CrossRef] [PubMed]
Disclaimer/Publisher’s Note: The statements, opinions and data contained in all publications are solely those of the individual author(s) and contributor(s) and not of MDPI and/or the editor(s). MDPI and/or the editor(s) disclaim responsibility for any injury to people or property resulting from any ideas, methods, instructions or products referred to in the content. |
© 2024 by the authors. Licensee MDPI, Basel, Switzerland. This article is an open access article distributed under the terms and conditions of the Creative Commons Attribution (CC BY) license (https://creativecommons.org/licenses/by/4.0/).