Gas Fracturing Simulation of Shale-Gas Reservoirs Considering Damage Effects and Fluid–Solid Coupling
Abstract
1. Introduction
2. Mechanism and Model of Gas Fracturing in Coupled Fluid–Solid Systems
2.1. Heterogeneity of Rock Materials
2.2. The Mechanical Equilibrium and Damage Evolution Equations of Rock Masses
2.3. The Gas Equilibrium Equation
3. Construction of Geometric Model
4. Results of Numerical Calculations
4.1. Development of Rock Mass Damage under Gas Fracture
4.2. Characteristics of Gas Content during the Extraction Process
5. Conclusions
- (1)
- Gas fracturing technology has shown promising potential in enhancing fracture propagation in rocks. This study conducted numerical experiments to examine the influence of different permeability levels on the extraction rates of gas from shale. The results indicated a direct relationship between the initial permeability of the rock and the efficacy of gas fracturing, thus leading to a significant improvement in shale-gas extraction efficiency.
- (2)
- Through software simulation, the objective of this study was to analyze the evolution of fractures in the surrounding rock mass near a borehole. Several parameters were selected and analyzed at different time steps during the damage simulation process. The findings highlight that the primary influence on rock failure in the vicinity of the borehole is tensile stress, with the maximum stress gradually decreasing over time. After the evolution of damage, a noteworthy reduction in stress around the borehole was observed, indicating the generation of additional fractures within the rock mass due to gas fracturing.
- (3)
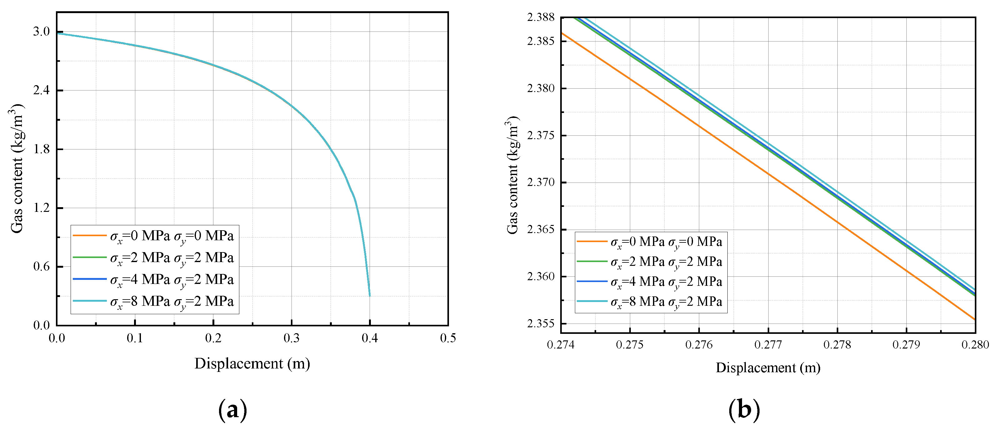
- The boundary pressure of the rock mass is a crucial factor influencing the effectiveness of gas fracturing. The applied load at the boundary exhibits an inverse relationship with the gas content of the rock specimens. In the context of shale-gas extraction, selecting geologically soft soil conditions can maximize the optimization of fracturing outcomes.
- (4)
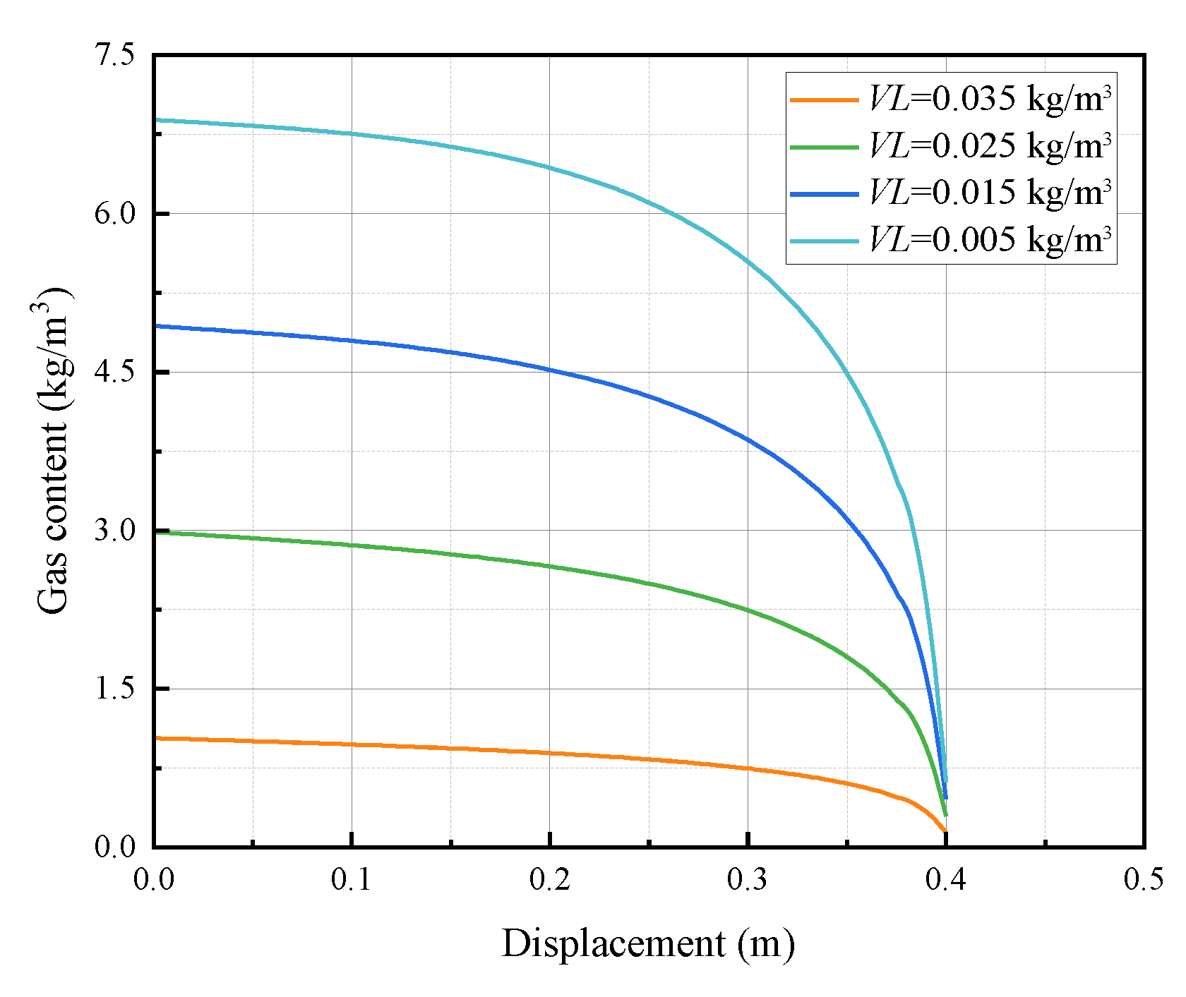
- The effectiveness of shale-gas extraction is influenced not only by boundary pressure but also by parameters such as rock porosity. This study investigates the impact of different physical parameters of rock formations on gas content during extraction. Through simulations and analysis of gas content variations in rock specimens under varying parameters and timeframes, the effects of factors such as permeability, Langmuir pressure constant (PL), and Langmuir volume constant (VL) on gas content are explored. The simulation results demonstrate an inverse relationship between permeability and PL constant with gas content in the rock specimens, while a direct proportionality is observed between VL constant and gas content. Therefore, it is essential to take into account the impact of different rock parameters on extraction efficiency during the gas fracturing process and employ appropriate measures and techniques to effectively enhance shale-gas extraction performance.
Author Contributions
Funding
Data Availability Statement
Conflicts of Interest
References
- Salmachi, A.; Karacan, C.Ö. Cross-formational flow of water into coalbed methane reservoirs: Controls on relative permeability curve shape and production profile. Environ. Earth Sci. 2017, 76, 200. [Google Scholar] [CrossRef]
- Dong, D.; Zou, C.; Dai, J.; Huang, S.; Zheng, J.; Gong, J.; Wang, Y.; Li, X.; Guan, Q.; Zhang, C.; et al. Suggestions on the development strategy of shale gas in China. J. Nat. Gas Geosci. 2016, 1, 413–423. [Google Scholar] [CrossRef]
- Mac Kinnon, M.A.; Brouwer, J.; Samuelsen, S. The role of natural gas and its infrastructure in mitigating greenhouse gas emissions, improving regional air quality, and renewable resource integration. Prog. Energy Combust. Sci. 2018, 64, 62–92. [Google Scholar] [CrossRef]
- Chong, Z.; Yao, Q.; Li, X.; Liu, J. Investigations of seismicity induced by hydraulic fracturing in naturally fractured reservoirs based on moment tensors. J. Nat. Gas Sci. Eng. 2020, 81, 103448. [Google Scholar] [CrossRef]
- Hu, Y.; Wu, X. Research on coalbed methane reservoir water blocking damage mechanism and anti-water blocking. J. China Coal Soc. 2014, 39, 1107–1111. [Google Scholar]
- Wang, L.; Xue, Y.; Cao, Z.; Kong, H.; Han, J.; Zhang, Z. Experimental study on mode I fracture characteristics of granite after low temperature cooling with liquid nitrogen. Water 2023, 15, 3442. [Google Scholar] [CrossRef]
- Yan, C.; Chen, Y.; Chen, T.; Cheng, Y.; Yan, X. Experimental study of hydraulic fracturing for unconsolidated reservoirs. Rock Mech. Rock Eng. 2022, 55, 3399–3424. [Google Scholar] [CrossRef]
- Anderson, R.L.; Ratcliffe, I.; Greenwell, H.C.; Williams, P.A.; Cliffe, S.; Coveney, P.V. Clay swelling—A challenge in the oilfield. Earth-Sci. Rev. 2010, 98, 201–216. [Google Scholar] [CrossRef]
- Bahrami, H.; Rezaee, R.; Clennell, B. Water blocking damage in hydraulically fractured tight sand gas reservoirs: An example from Perth Basin, Western Australia. J. Pet. Sci. Eng. 2012, 88, 100–106. [Google Scholar] [CrossRef]
- Zhang, D.; Yang, T. Environmental impacts of hydraulic fracturing in shale gas development in the United States. Pet. Explor. Dev. 2015, 42, 876–883. [Google Scholar] [CrossRef]
- Zhang, X.; Lu, Y.; Tang, J.; Zhou, Z.; Liao, Y. Experimental study on fracture initiation and propagation in shale using supercritical carbon dioxide fracturing. Fuel 2017, 190, 370–378. [Google Scholar] [CrossRef]
- Cao, Z.; Sun, Q.; Li, Z.; Du, F. Abnormal ore pressure mechanism of working face under the influence of overlying concentrated coal pillar. Sci. Rep. 2024, 14, 626. [Google Scholar]
- Cai, C.; Li, G.; Huang, Z.; Tian, S.; Shen, Z.; Fu, X. Experiment of coal damage due to super-cooling with liquid nitrogen. J. Nat. Gas Sci. Eng. 2015, 22, 42–48. [Google Scholar] [CrossRef]
- Xue, Y.; Wang, L.; Liu, J.; Ranjith, P.G.; Gao, F.; Cai, C.; Xie, H. Experimental study on the effect of heating and liquid nitrogen-cooling cyclic treatment on mechanical properties and fracturing characteristics of granite. Int. J. Rock Mech. Min. Sci. 2024, 176, 105691. [Google Scholar] [CrossRef]
- Cai, Y.; Ma, Y.; Teng, T.; Xue, Y.; Wang, L.; Cao, Z.; Zhang, Z. Risk Assessment and Analysis of Rock Burst under High-Temperature Liquid Nitrogen Cooling. Water 2024, 16, 516. [Google Scholar] [CrossRef]
- Hou, P.; Gao, F.; Gao, Y.; Yang, Y.; Cai, C. Effect of pore pressure distribution on fracture behavior of sandstone in nitrogen fracturing. Energy Explor. Exploit. 2017, 35, 609–626. [Google Scholar] [CrossRef]
- Zhang, H.; Sheng, J. Optimization of horizontal well fracturing in shale gas reservoir based on stimulated reservoir volume. J. Pet. Sci. Eng. 2020, 190, 107059. [Google Scholar] [CrossRef]
- Rogala, A.; Krzysiek, J.; Bernaciak, M.; Hupka, J. Non-aqueous fracturing technologies for shale gas recovery. Physicochem. Probl. Miner. Process. 2013, 49, 313–322. [Google Scholar]
- Wang, L.; Yao, B.; Cha, M.; Alqahtani, N.B.; Patterson, T.W.; Kneafsey, T.J.; Miskimins, J.L.; Yin, X.; Wu, Y.S. Waterless fracturing technologies for unconventional reservoirs-opportunities for liquid nitrogen. J. Nat. Gas Sci. Eng. 2016, 35, 160–174. [Google Scholar] [CrossRef]
- Li, H.; Wang, L.; Zhang, C.; Du, W.; Li, J. Experimental study of the fatigue crack extension influences of liquid nitrogen on water cut coal sample. J. Exp. Mech. 2016, 31, 119–126. [Google Scholar]
- Zhai, C.; Qin, L.; Liu, S.; Xu, J.; Tang, Z.; Wu, S. Pore structure in coal: Pore evolution after cryogenic freezing with cyclic liquid nitrogen injection and its implication on coalbed methane extraction. Energy Fuels 2016, 30, 6009–6020. [Google Scholar] [CrossRef]
- Shao, Z.; Ye, S.; Tao, S.; Feng, X.; Wang, Y. Experimental study of the effect of liquid nitrogen penetration on damage and fracture characteristics in dry and saturated coals. J. Pet. Sci. Eng. 2021, 201, 108374. [Google Scholar] [CrossRef]
- Zhang, Z.; Mao, J.; Yang, X.; Zhao, J.; Smith, G.S. Advances in waterless fracturing technologies for unconventional reservoirs. Energy Sources Part A Recovery Util. Environ. Eff. 2019, 41, 237–251. [Google Scholar] [CrossRef]
- Gao, H.; Li, H.A. Pore structure characterization, permeability evaluation and enhanced gas recovery techniques of tight gas sandstones. J. Nat. Gas Sci. Eng. 2016, 28, 536–547. [Google Scholar] [CrossRef]
- Hemmati-Sarapardeh, A.; Mohagheghian, E. Modeling interfacial tension and minimum miscibility pressure in paraffin-nitrogen systems: Application to gas injection processes. Fuel 2017, 205, 80–89. [Google Scholar] [CrossRef]
- Qi, E.; Xiong, F.; Cao, Z.; Zhang, Y.; Xue, Y.; Zhang, Z.; Ji, M. Simulation of Gas Fracturing in Reservoirs Based on a Coupled Thermo-Hydro-Mechanical-Damage Model. Appl. Sci. 2024, 14, 1763. [Google Scholar] [CrossRef]
- Wang, B.; Li, H.; Shao, Z.; Chen, S.; Li, X. Investigating the mechanism of rock fracturing induced by high-pressure gas blasting with a hybrid continuum-discontinuum method. Comput. Geotech. 2021, 140, 104445. [Google Scholar] [CrossRef]
- Das, V.; Mukerji, T.; Mavko, G. Numerical simulation of coupled fluid-solid interaction at the pore scale: A digital rock-physics technology. Geophysics 2019, 84, WA71–WA81. [Google Scholar] [CrossRef]
- Cao, Z.; Wang, P.; Li, Z.; Du, F. Migration mechanism of grouting slurry and permeability reduction in mining fractured rock mass. Sci. Rep. 2024, 14, 3446. [Google Scholar]
- Hosking, L.J.; Chen, M.; Thomas, H.R. Numerical analysis of dual porosity coupled thermo-hydro-mechanical behaviour during CO2 sequestration in coal. Int. J. Rock Mech. Min. Sci. 2020, 135, 104473. [Google Scholar] [CrossRef]
- Ogata, S.; Yasuhara, H.; Kinoshita, N.; Inui, T.; Nishira, E.; Kishida, K. Numerical analyses of coupled thermal–hydraulic–mechanical–chemical processes for estimating permeability change in fractured rock induced by alkaline solution. Geomech. Energy Environ. 2022, 31, 100372. [Google Scholar] [CrossRef]
- Teng, T.; Zhao, Y.; Gao, F.; Wang, J.G.; Wang, W. A fully coupled thermo-hydro-mechanical model for heat and gas transfer in thermal stimulation enhanced coal seam gas recovery. Int. J. Heat Mass Transf. 2018, 125, 866–875. [Google Scholar] [CrossRef]












Disclaimer/Publisher’s Note: The statements, opinions and data contained in all publications are solely those of the individual author(s) and contributor(s) and not of MDPI and/or the editor(s). MDPI and/or the editor(s) disclaim responsibility for any injury to people or property resulting from any ideas, methods, instructions or products referred to in the content. |
© 2024 by the authors. Licensee MDPI, Basel, Switzerland. This article is an open access article distributed under the terms and conditions of the Creative Commons Attribution (CC BY) license (https://creativecommons.org/licenses/by/4.0/).
Share and Cite
Qi, E.; Xiong, F.; Zhang, Y.; Wang, L.; Xue, Y.; Fu, Y. Gas Fracturing Simulation of Shale-Gas Reservoirs Considering Damage Effects and Fluid–Solid Coupling. Water 2024, 16, 1278. https://doi.org/10.3390/w16091278
Qi E, Xiong F, Zhang Y, Wang L, Xue Y, Fu Y. Gas Fracturing Simulation of Shale-Gas Reservoirs Considering Damage Effects and Fluid–Solid Coupling. Water. 2024; 16(9):1278. https://doi.org/10.3390/w16091278
Chicago/Turabian StyleQi, Enze, Fei Xiong, Yun Zhang, Linchao Wang, Yi Xue, and Yingpeng Fu. 2024. "Gas Fracturing Simulation of Shale-Gas Reservoirs Considering Damage Effects and Fluid–Solid Coupling" Water 16, no. 9: 1278. https://doi.org/10.3390/w16091278
APA StyleQi, E., Xiong, F., Zhang, Y., Wang, L., Xue, Y., & Fu, Y. (2024). Gas Fracturing Simulation of Shale-Gas Reservoirs Considering Damage Effects and Fluid–Solid Coupling. Water, 16(9), 1278. https://doi.org/10.3390/w16091278
