An Assessment of the Suitability of Contrasting Biosolids for Raising Indigenous Plants in Nurseries
Abstract
1. Introduction
2. Materials and Methods
2.1. Experimental Setup
| Parameter | B1 | B2 | B3 | PS | Bark Fines | Biosolid Guidelines * |
|---|---|---|---|---|---|---|
| Moisture content (%) | 80 | 21 | 66 | 39 | 53 | - |
| Electrical Conductivity (mS m−1) | 248 | 618 | 419 | 54.5 | 13.2 | - |
| pH | 8.1 | 7.2 | 6.4 | 4.2 | 5.6 | - |
| Organic matter (%) | 72 | 75 | 39 | 8.1 | 58 | - |
| Total Organic Carbon (%) | 34 | 39 | 20 | 3.1 | 23 | - |
| Total Nitrogen (%) | 6 | 4.9 | 1.89 | 0.35 | 0.26 | - |
| NH4-N | 12,500 | 3700 | 6 | 240 | 6 | - |
| NO3-N | <3.4 | 15.2 | 2400 | 3.2 | 5.7 | - |
| Ca | 18,000 | 24,000 | 21,000 | 2000 | 8700 | - |
| Mg | 10,900 | 2000 | 3100 | 2900 | 1580 | - |
| P | 27,000 | 8900 | 13,300 | 1090 | 520 | - |
| K | 2000 | 760 | 10,200 | 940 | 1590 | - |
| Na | 720 | 4200 | 1550 | 108 | 300 | - |
| Mn | 139 | 1170 | 350 | 240 | 165 | - |
| As | 5 | 5 | 11 | 5 | 2 | 20–30 |
| Cd | 0.81 | 0.39 | 0.51 | 0.028 | <0.10 | 0.1–10 |
| Cr | 21 | 17,300 | 19 | 19 | 6 | 600–1500 |
| Cu | 240 | 108 | 61 | 128 | 8 | 100–1250 |
| Pb | 19.9 | 12.2 | 66 | 23 | 4.8 | 300 |
| Ni | 18 | 28 | 8 | 12 | 5 | 60–135 |
| Zn | 620 | 380 | 300 | 175 | 41 | 300–1500 |
2.2. Plant Monitoring
2.3. Plant Sample Collection
2.4. Biosolid, Pond Sludge, and Bark Analysis
2.5. Plant Analysis
2.6. Biomass Index (BI)
2.7. Statistical Analysis
3. Results
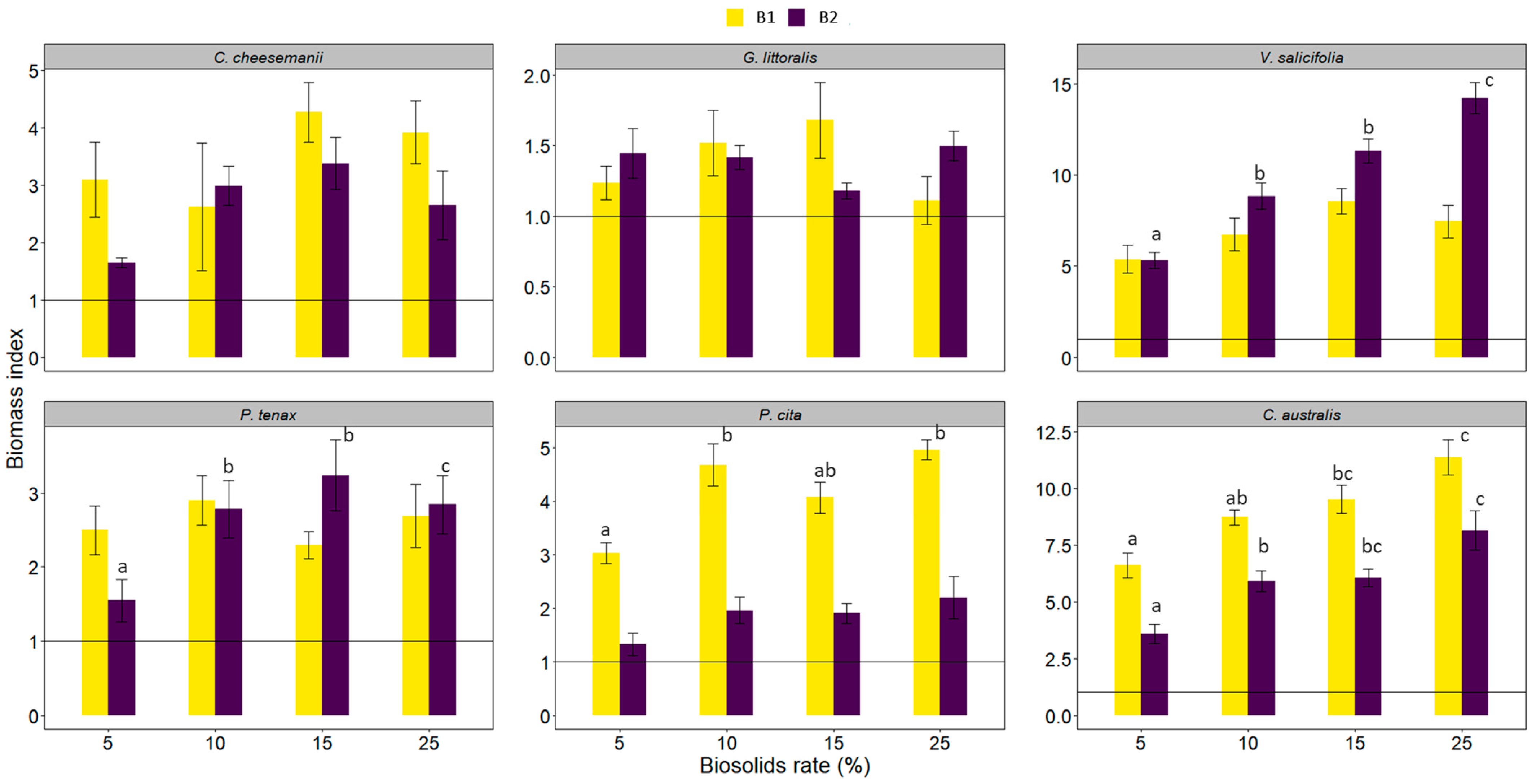
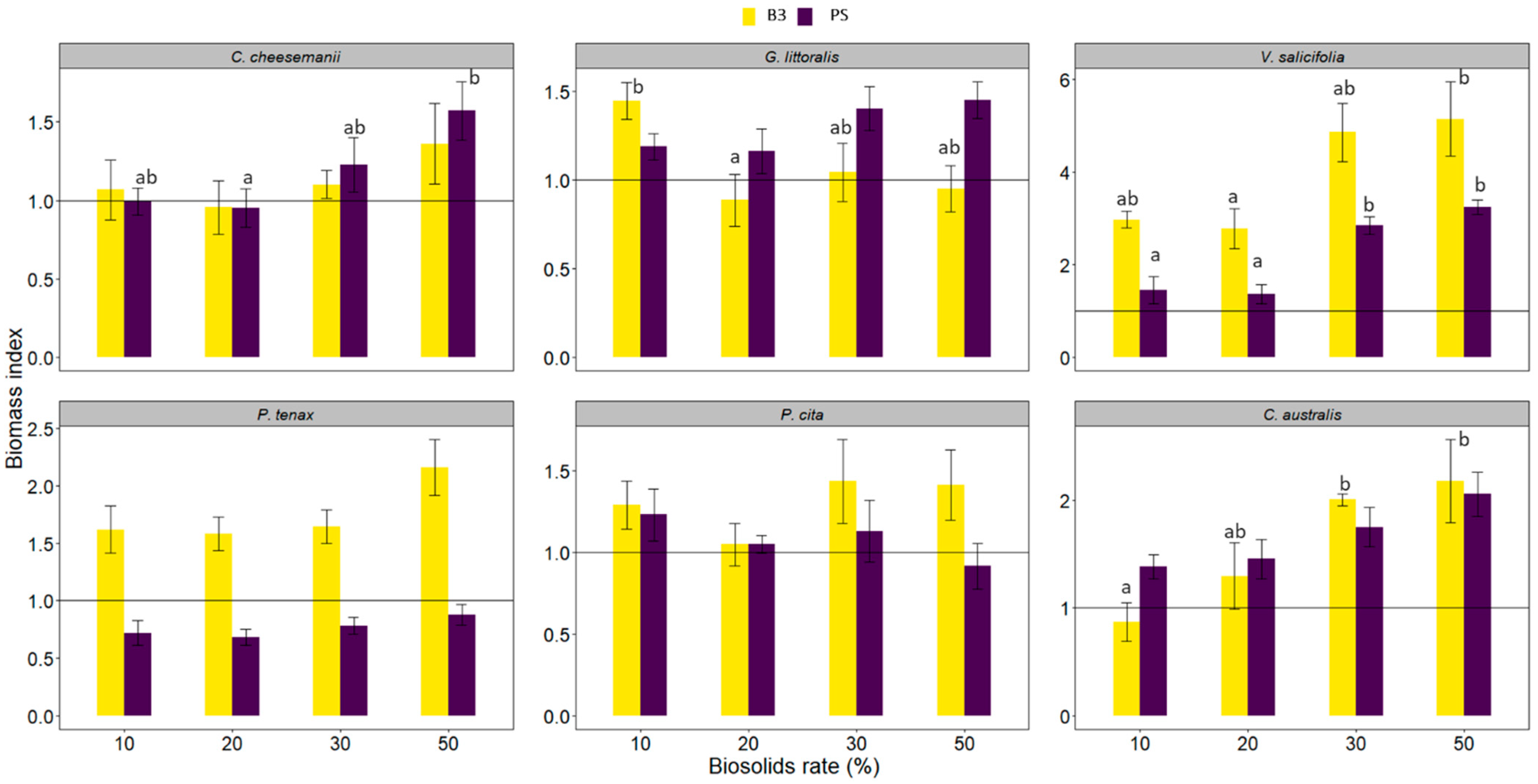
3.1. Biosolid Effect on Plant Biomass
3.2. Plant Nutrition and Trace Elements at the Optimal Biomass Production of Biosolid Addition
4. Discussion
5. Conclusions
Supplementary Materials
Author Contributions
Funding
Data Availability Statement
Acknowledgments
Conflicts of Interest
References
- Rigby, H.; Clarke, B.O.; Pritchard, D.L.; Meehan, B.; Beshah, F.; Smith, S.R.; Porter, N.A. A Critical Review of Nitrogen Mineralization in Biosolids-Amended Soil, the Associated Fertilizer Value for Crop Production and Potential for Emissions to the Environment. Sci. Total Environ. 2016, 541, 1310–1338. [Google Scholar] [CrossRef] [PubMed]
- Popoola, L.T.; Olawale, T.O.; Salami, L. A Review on the Fate and Effects of Contaminants in Biosolids Applied on Land: Hazards and Government Regulatory Policies. Heliyon 2023, 9, e19788. [Google Scholar] [CrossRef]
- Jones, E.R.; van Vliet, M.T.H.; Qadir, M.; Bierkens, M.F.P. Country-Level and Gridded Estimates of Wastewater Production, Collection, Treatment and Reuse. Earth Syst. Sci. Data 2021, 13, 237–254. [Google Scholar] [CrossRef]
- Di Giacomo, G.; Romano, P. Evolution and Prospects in Managing Sewage Sludge Resulting from Municipal Wastewater Purification. Energies 2022, 15, 5633. [Google Scholar] [CrossRef]
- Zhang, Q.; Hu, J.; Lee, D.-J.; Chang, Y.; Lee, Y.-J. Sludge Treatment: Current Research Trends. Bioresour. Technol. 2017, 243, 1159–1172. [Google Scholar] [CrossRef] [PubMed]
- ANZBP Australian Biosolids Statistics. Australian and New Zealand Biosolids Partnership; Stantec: Christchurch, New Zealand, 2021. [Google Scholar]
- Jones-Lepp, T.L.; Stevens, R. Pharmaceuticals and Personal Care Products in Biosolids/Sewage Sludge: The Interface between Analytical Chemistry and Regulation. Anal. Bioanal. Chem. 2007, 387, 1173–1183. [Google Scholar] [CrossRef] [PubMed]
- Kanteraki, A.E.; Isari, E.A.; Svarnas, P.; Kalavrouziotis, I.K. Biosolids: The Trojan Horse or the Beautiful Helen for Soil Fertilization? Sci. Total Environ. 2022, 839, 156270. [Google Scholar] [CrossRef] [PubMed]
- Marchuk, S.; Tait, S.; Sinha, P.; Harris, P.; Antille, D.L.; McCabe, B.K. Biosolids-Derived Fertilisers: A Review of Challenges and Opportunities. Sci. Total Environ. 2023, 875, 162555. [Google Scholar] [CrossRef] [PubMed]
- Nunes, N.; Ragonezi, C.; Gouveia, C.S.S.; Pinheiro de Carvalho, M.Â.A. Review of Sewage Sludge as a Soil Amendment in Relation to Current International Guidelines: A Heavy Metal Perspective. Sustainability 2021, 13, 2317. [Google Scholar] [CrossRef]
- Bernal, M.P.; Navarro, A.F.; Sánchez-Monedero, M.A.; Roig, A.; Cegarra, J. Influence of Sewage Sludge Compost Stability and Maturity on Carbon and Nitrogen Mineralization in Soil. Soil Biol. Biochem. 1998, 30, 305–313. [Google Scholar] [CrossRef]
- Ramírez, W.A.; Domene, X.; Ortiz, O.; Alcañiz, J.M. Toxic Effects of Digested, Composted and Thermally-Dried Sewage Sludge on Three Plants. Bioresour. Technol. 2008, 99, 7168–7175. [Google Scholar] [CrossRef] [PubMed]
- Mantovi, P.; Baldoni, G.; Toderi, G. Reuse of Liquid, Dewatered, and Composted Sewage Sludge on Agricultural Land: Effects of Long-Term Application on Soil and Crop. Water Res. 2005, 39, 289–296. [Google Scholar] [CrossRef] [PubMed]
- Wang, H.; Brown, S.L.; Magesan, G.N.; Slade, A.H.; Quintern, M.; Clinton, P.W.; Payn, T.W. Technological Options for the Management of Biosolids. Environ. Sci. Pollut. Res. 2008, 15, 308–317. [Google Scholar] [CrossRef]
- Patel, S.; Kundu, S.; Halder, P.; Ratnnayake, N.; Marzbali, M.H.; Aktar, S.; Selezneva, E.; Paz-Ferreiro, J.; Surapaneni, A.; de Figueiredo, C.C.; et al. A Critical Literature Review on Biosolids to Biochar: An Alternative Biosolids Management Option. Rev. Environ. Sci. Biotechnol. 2020, 19, 807–841. [Google Scholar] [CrossRef]
- Sommers, L.E. Chemical Composition of Sewage Sludges and Analysis of Their Potential Use as Fertilizers. J. Environ. Qual. 1977, 6, 225–232. [Google Scholar] [CrossRef]
- Riaz, U.; Murtaza, G.; Saifullah; Farooq, M.; Aziz, H.; Qadir, A.A.; Mehdi, S.M.; Qazi, M.A. Chemical Fractionation and Risk Assessment of Trace Elements in Sewage Sludge Generated from Various States of Pakistan. Environ. Sci. Pollut. Res. 2020, 27, 39742–39752. [Google Scholar] [CrossRef] [PubMed]
- Liu, Z.; Kanjo, Y.; Mizutani, S. Removal Mechanisms for Endocrine Disrupting Compounds (EDCs) in Wastewater Treatment—Physical Means, Biodegradation, and Chemical Advanced Oxidation: A Review. Sci. Total Environ. 2009, 407, 731–748. [Google Scholar] [CrossRef] [PubMed]
- Haynes, R.J.; Murtaza, G.; Naidu, R. Chapter 4 Inorganic and Organic Constituents and Contaminants of Biosolids: Implications for Land Application. In Advances in Agronomy; Academic Press: Cambridge, MA, USA, 2009; Volume 104, pp. 165–267. [Google Scholar]
- Wu, C.; Spongberg, A.L.; Witter, J.D.; Fang, M.; Czajkowski, K.P. Uptake of Pharmaceutical and Personal Care Products by Soybean Plants from Soils Applied with Biosolids and Irrigated with Contaminated Water. Environ. Sci. Technol. 2010, 44, 6157–6161. [Google Scholar] [CrossRef] [PubMed]
- Roy, M.M.; Dutta, A.; Corscadden, K.; Havard, P.; Dickie, L. Review of Biosolids Management Options and Co-Incineration of a Biosolid-Derived Fuel. Waste Manag. 2011, 31, 2228–2235. [Google Scholar] [CrossRef] [PubMed]
- Paramashivam, D.; Dickinson, N.M.; Clough, T.J.; Horswell, J.; Robinson, B.H. Potential Environmental Benefits from Blending Biosolids with Other Organic Amendments before Application to Land. J. Environ. Qual. 2017, 46, 481–489. [Google Scholar] [CrossRef] [PubMed]
- Roychand, R.; Patel, S.; Halder, P.; Kundu, S.; Hampton, J.; Bergmann, D.; Surapaneni, A.; Shah, K.; Pramanik, B.K. Recycling Biosolids as Cement Composites in Raw, Pyrolyzed and Ashed Forms: A Waste Utilisation Approach to Support Circular Economy. J. Build. Eng. 2021, 38, 102199. [Google Scholar] [CrossRef]
- Joo, S.H.; Monaco, F.D.; Antmann, E.; Chorath, P. Sustainable Approaches for Minimizing Biosolids Production and Maximizing Reuse Options in Sludge Management: A Review. J. Environ. Manag. 2015, 158, 133–145. [Google Scholar] [CrossRef] [PubMed]
- Collivignarelli, M.C.; Canato, M.; Abbà, A.; Carnevale Miino, M. Biosolids: What Are the Different Types of Reuse? J. Clean. Prod. 2019, 238, 117844. [Google Scholar] [CrossRef]
- Matthews, P.; Richard, R.P.; LeBlanc, R.J. Global Atlas of Excreta, Wastewater Sludge, and Biosolids Management: Moving Forward the Sustainable and Welcome Uses of a Global Resource. Available online: https://unhabitat.org/global-atlas-of-excreta-wastewater-sludge-and-biosolids-management (accessed on 5 February 2021).
- Ataria, J.; Baker, V.; Goven, J.; Langer, E.R.; Leckie, A.; Ross, M.; Horswell, J. From Tapu to Noa-Māori Cultural Views on Biowastes Management: A Focus on Biosolids; Institute of Environmental Science and Research: Wellington, New Zealand, 2019. [Google Scholar]
- Brown, S.L.; Henry, C.L.; Chaney, R.; Compton, H.; DeVolder, P.S. Using Municipal Biosolids in Combination with Other Residuals to Restore Metal-Contaminated Mining Areas. Plant Soil 2003, 249, 203–215. [Google Scholar] [CrossRef]
- Campos, T.; Chaer, G.; Leles, P.d.S.; Silva, M.; Santos, F. Leaching of Heavy Metals in Soils Conditioned with Biosolids from Sewage Sludge. Floresta Ambient. 2019, 26, e20180399. [Google Scholar] [CrossRef]
- Ingelmo, F.; Canet, R.; Ibañez, M.A.; Pomares, F.; García, J. Use of MSW Compost, Dried Sewage Sludge and Other Wastes as Partial Substitutes for Peat and Soil. Bioresour. Technol. 1998, 63, 123–129. [Google Scholar] [CrossRef]
- Bonnet, B.R.P.; Wisniewski, C.; Reissmann, C.B.; Nogueira, A.C.; Andreoli, C.V.; Barbieri, S.J. Effects of Substrates Composed of Biosolids on the Production of Eucalyptus Viminalis, Schinus Terebinthifolius and Mimosa Scabrella Seedlings and on the Nutritional Status of Schinus Terebinthifolius Seedlings. Water Sci. Technol. 2002, 46, 239–246. [Google Scholar] [CrossRef] [PubMed]
- Freeman, T.M.; Cawthon, D.L. Use of Composted Dairy Cattle Solid Biomass, Poultry Litter and Municipal Biosolids as Greenhouse Growth Media. Compost. Sci. Util. 1999, 7, 66. [Google Scholar] [CrossRef]
- Abad, M.; Noguera, P.; Burés, S. National Inventory of Organic Wastes for Use as Growing Media for Ornamental Potted Plant Production: Case Study in Spain. Bioresour. Technol. 2001, 77, 197–200. [Google Scholar] [CrossRef] [PubMed]
- Hernández-Apaolaza, L.; Gascó, A.M.; Gascó, J.M.; Guerrero, F. Reuse of Waste Materials as Growing Media for Ornamental Plants. Bioresour. Technol. 2005, 96, 125–131. [Google Scholar] [CrossRef] [PubMed]
- Bugbee, G.J. Growth of Ornamental Plants in Container Media Amended with Biosolids Compost. Compost. Sci. Util. 2002, 10, 92. [Google Scholar] [CrossRef]
- Scheer, M.B.; Carneiro, C.; Bressan, O.A.; Santos, K.G.D. Crescimento e Nutrição de Mudas de Lafoensia pacari com Lodo de Esgoto. Floram 2012, 19, 55–65. [Google Scholar] [CrossRef]
- Dede, O.H.; Dede, G.; Ozdemir, S. Agricultural and Municipal Wastes as Container Media Component for Ornamental Nurseries. Int. J. Environ. Res. 2010, 4, 193–200. [Google Scholar] [CrossRef]
- Kratka, P.C.; Correia, C.R.M.d.A. Crescimento inicial de aroeira do sertão (Myracrodruon urundeuva Allemão) em diferentes substratos. Rev. Árvore 2015, 39, 551–559. [Google Scholar] [CrossRef]
- Gutiérrez-Ginés, M.J.; Robinson, B.H.; Esperschuetz, J.; Madejón, E.; Horswell, J.; McLenaghen, R. Potential Use of Biosolids to Reforest Degraded Areas with New Zealand Native Vegetation. J. Environ. Qual. 2017, 46, 906–914. [Google Scholar] [CrossRef] [PubMed]
- Esperschuetz, J.; Anderson, C.; Bulman, S.; Katamian, O.; Horswell, J.; Dickinson, N.M.; Robinson, B.H. Response of Leptospermum scoparium, Kunzea robusta and Pinus radiata to Contrasting Biowastes. Sci. Total Environ. 2017, 587–588, 258–265. [Google Scholar] [CrossRef] [PubMed]
- Gutiérrez-Ginés, M.J.; Madejón, E.; Lehto, N.J.; McLenaghen, R.D.; Horswell, J.; Dickinson, N.; Robinson, B.H. Response of a Pioneering Species (Leptospermum scoparium J.R.Forst. & G.Forst.) to Heterogeneity in a Low-Fertility Soil. Front. Plant Sci. 2019, 10, 93. [Google Scholar] [CrossRef]
- Reis, F.V.P.; Gutiérrez-Ginés, M.J.; Smith, C.M.S.; Lehto, N.J.; Robinson, B.H. Mānuka (Leptospermum scoparium) Roots Forage Biosolids in Low Fertility Soil. Environ. Exp. Bot. 2017, 133, 151–158. [Google Scholar] [CrossRef]
- Seyedalikhani, S.; Esperschuetz, J.; Dickinson, N.M.; Hofmann, R.; Breitmeyer, J.; Horswell, J.; Robinson, B.H. Biowastes to Augment the Essential Oil Production of Leptospermum scoparium and Kunzea robusta in Low-Fertility Soil. Plant Physiol. Biochem. 2019, 137, 213–221. [Google Scholar] [CrossRef] [PubMed]
- Madrid-Aispuro, R.E.; Prieto-Ruíz, J.Á.; Aldrete, A.; Hernández-Díaz, J.C.; Wehenkel, C.; Chávez-Simental, J.A.; Mexal, J.G. Alternative Substrates and Fertilization Doses in the Production of Pinus Cembroides Zucc. in Nursery. Forests 2020, 11, 71. [Google Scholar] [CrossRef]
- Beaulieu, J.; Belayneh, B.; Lea-Cox, J.D.; Swett, C.L. Improving Containerized Nursery Crop Sustainability: Effects of Conservation-Driven Adaptations in Soilless Substrate and Water Use on Plant Growth and Soil-Borne Disease Development. HortScience 2022, 57, 674–683. [Google Scholar] [CrossRef]
- Cavanagh, J.; McNeill, S.; Arienti, C.; Rattenbury, M. Background Soil Concentrations of Selected Trace Elements and Organic Contaminants in New Zealand; Landcare Research: Lincoln, New Zealand, 2015. [Google Scholar]
- Lowe Environmental Impact Limited. Report 6: Biosolids Processing Trials; Trial for Assessing the Reuse of Biosolids as a Growing Substrate for Nursery Plants; Regional Biosolids Strategy: Palmerston North, New Zealand, 2018. [Google Scholar]
- Water New Zealand Guidelines for Beneficial Use of Organic Materials on Land (Draft for Public Comments). Available online: https://www.waternz.org.nz/Article?Action=View&Article_id=1212 (accessed on 29 June 2021).
- KCDC (Kāpiti Coast District Council). A Guide to Growing Native Plants in Kapiti; KCDC: Paraparaumu, New Zealand, 1999. [Google Scholar]
- Ward, M.D. Veronica Salicifolia Fact Sheet. Available online: https://www.nzpcn.org.nz/flora/species/veronica-salicifolia/ (accessed on 8 April 2024).
- Wardle, P. Vegetation of New Zealand; Cambridge University Press: Cambridge, UK, 1991. [Google Scholar]
- Hutchinson, M.; Lloyd, K. Priorities for Indigenous Biodiversity Protection in Waimakariri District: Significant Vegetation and Habitat Types and Indigenous Plant Species. 2021.
- Alan, F.M. “Grasslands”. Available online: https://teara.govt.nz/en/grasslands/print (accessed on 8 April 2024).
- Manaaki Whenua—Landcare Research New Zealand Plant Names Database—Corokia × cheesemanii Carse. Available online: https://biotanz.landcareresearch.co.nz/scientificnames/af2bf9f9-8b9c-49d8-bc04-ccc607cb4c90 (accessed on 2 April 2024).
- Manaaki Whenua—Landcare Research New Zealand Plant Names Database—Corokia × virgata Turrill. Available online: https://biotanz.landcareresearch.co.nz/scientific-names/922a0f41-58d7-42b2-8c0a-5259fedd9ad3 (accessed on 2 April 2024).
- Webb, C.J.; Johnson, P.; Sykes, B. Flowering Plants of New Zealand; DSIR Botany: Palmerston North, New Zealand, 1990. [Google Scholar]
- Lange, P.J. Phormium Tenax Fact Sheet. Available online: https://www.nzpcn.org.nz/flora/species/phormium-tenax/ (accessed on 8 April 2024).
- Lange, P.J. Cordyline Australis Fact Sheet. Available online: https://www.nzpcn.org.nz/flora/species/cordyline-australis/ (accessed on 8 April 2024).
- U.S. Environmental Protection Agency. SW-846 Test Method 3550C: Ultrasonic Extraction. Available online: https://www.epa.gov/hw-sw846/sw-846-test-method-3550c-ultrasonic-extraction (accessed on 12 March 2024).
- O’Dell, J.W. Determination of ammonia nitrogen by semi-automated colorimetry. In Methods for the Determination of Metals in Environmental Samples; Elsevier: Amsterdam, The Netherlands, 1996; pp. 434–448. ISBN 978-0-8155-1398-8. [Google Scholar]
- O’Dell, J.W. Determination of nitrate-nitrite nitrogen by automated colorimetry. In Methods for the Determination of Metals in Environmental Samples; Elsevier: Amsterdam, The Netherlands, 1996; pp. 464–478. ISBN 978-0-8155-1398-8. [Google Scholar]
- US EPA. Sample preparation procedure for spectrochemical determination of total recoverable elements. In Methods for the Determination of Metals in Environmental Samples; Elsevier: Amsterdam, The Netherlands, 1996; pp. 12–23. ISBN 978-0-8155-1398-8. [Google Scholar]
- Jensen, H.; Lehto, N.; Almond, P.; Gaw, S.; Robinson, B. The Uptake of Rare Trace Elements by Perennial Ryegrass (Lolium perenne L.). Toxics 2023, 11, 929. [Google Scholar] [CrossRef] [PubMed]
- R Core Team. R: A Language and Environment for Statistical Computing; R Foundation for Statistical Computing: Vienna, Austria, 2021. [Google Scholar]
- Hothorn, T.; Bretz, F.; Westfall, P. Simultaneous Inference in General Parametric Models. Biom. J. 2008, 50, 346–463. [Google Scholar] [CrossRef] [PubMed]
- Dickinson, N.; Marmiroli, M.; Das, B.; McLaughlin, D.; Leung, D.; Robinson, B. Endemic Plants as Browse Crops in Agricultural Landscapes of New Zealand. Agroecol. Sustain. Food Syst. 2015, 39, 224–242. [Google Scholar] [CrossRef]
- Meister, A.; Li, F.; Gutierrez-Gines, M.J.; Dickinson, N.; Gaw, S.; Bourke, M.; Robinson, B. Interactions of Treated Municipal Wastewater with Native Plant Species. Ecol. Eng. 2022, 183, 106741. [Google Scholar] [CrossRef]
- Franklin, H.M.; Dickinson, N.M.; Esnault, C.J.D.; Robinson, B.H. Native Plants and Nitrogen in Agricultural Landscapes of New Zealand. Plant Soil 2015, 394, 407–420. [Google Scholar] [CrossRef]
- Wei, Z.; Maxwell, T.; Robinson, B.; Dickinson, N. Plant Species Complementarity in Low-Fertility Degraded Soil. Plants 2022, 11, 1370. [Google Scholar] [CrossRef] [PubMed]
- Wardle, P. Environmental Influences on the Vegetation of New Zealand. N. Z. J. Bot. 1985, 23, 773–788. [Google Scholar] [CrossRef]
- Munns, R.; Tester, M. Mechanisms of Salinity Tolerance. Annu. Rev. Plant Biol. 2008, 59, 651–681. [Google Scholar] [CrossRef]
- Barker, A.V. Composition and Uses of Compost. In Agricultural Uses of By-Products and Wastes; ACS Symposium Series; American Chemical Society: Washington, DC, USA, 1997; Volume 668, pp. 140–162. ISBN 978-0-8412-3514-4. [Google Scholar]
- Emamverdian, A.; Ding, Y.; Mokhberdoran, F.; Xie, Y. Heavy Metal Stress and Some Mechanisms of Plant Defense Response. Sci. World J. 2015, 2015, e756120. [Google Scholar] [CrossRef]
- Kabata-Pendias, A. Trace Elements in Soils and Plants, 4th ed.; CRC Press: Boca Raton, FL, USA, 2011; ISBN 978-1-4200-9368-1. [Google Scholar]
- Marschner, P. Marschner’s Mineral Nutrition of Higher Plants; Academic Press: Cambridge, MA, USA, 2012. [Google Scholar]
- Jarrell, W.M.; Beverly, R.B. The Dilution Effect in Plant Nutrition Studies. In Advances in Agronomy; Brady, N.C., Ed.; Academic Press: Cambridge, MA, USA, 1981; Volume 34, pp. 197–224. [Google Scholar]
- ten Hoopen, F.; Cuin, T.A.; Pedas, P.; Hegelund, J.N.; Shabala, S.; Schjoerring, J.K.; Jahn, T.P. Competition between Uptake of Ammonium and Potassium in Barley and Arabidopsis Roots: Molecular Mechanisms and Physiological Consequences. J. Exp. Bot. 2010, 61, 2303–2315. [Google Scholar] [CrossRef] [PubMed]
- Chaney, R.L. Toxic Element Accumulation in Soils and Crops: Protecting Soil Fertility and Agricultural Food-Chains. In Proceedings of the Inorganic Contaminants in the Vadose Zone; Bar-Yosef, B., Barrow, N.J., Goldshmid, J., Eds.; Springer: Berlin/Heidelberg, Germany, 1989; pp. 140–158. [Google Scholar]
- Brown, S.L.; Chaney, R.L.; Angle, J.S.; Ryan, J.A. The Phytoavailability of Cadmium to Lettuce in Long-Term Biosolids-Amended Soils. J. Environ. Qual. 1998, 27, 1071–1078. [Google Scholar] [CrossRef]
- Madejón, E.; de Mora, A.P.; Felipe, E.; Burgos, P.; Cabrera, F. Soil Amendments Reduce Trace Element Solubility in a Contaminated Soil and Allow Regrowth of Natural Vegetation. Environ. Pollut. 2006, 139, 40–52. [Google Scholar] [CrossRef]
- Madejón, P.; Domínguez, M.T.; Gil-Martínez, M.; Navarro-Fernández, C.M.; Montiel-Rozas, M.M.; Madejón, E.; Murillo, J.M.; Cabrera, F.; Marañón, T. Evaluation of Amendment Addition and Tree Planting as Measures to Remediate Contaminated Soils: The Guadiamar Case Study (SW Spain). Catena 2018, 166, 34–43. [Google Scholar] [CrossRef]
- Pascual, J.A.; Ceglie, F.; Tuzel, Y.; Koller, M.; Koren, A.; Hitchings, R.; Tittarelli, F. Organic Substrate for Transplant Production in Organic Nurseries. A Review. Agron. Sustain. Dev. 2018, 38, 35. [Google Scholar] [CrossRef]
- Fiasconaro, M.L.; Abrile, M.G.; Hintermeister, L.; Antolin, M.D.C.; Lovato, M.E. Application of Different Doses of Compost as a Substitution of the Commercial Substrate in Nursery for Pepper and Tomato Seedlings. Int. J. Recycl. Org. Waste Agric. 2022, 11, 411–426. [Google Scholar] [CrossRef]
- Cieraad, E.; Burrows, L.; Monks, A.; Walker, S. Woody Native and Exotic Species Respond Differently to New Zealand Dryland Soil Nutrient and Moisture Gradients. N. Z. J. Ecol. 2015, 39, 198–207. [Google Scholar]
- Soedarjo, M.; Habte, M. Vesicular-Arbuscular Mycorrhizal Effectiveness in an Acid Soil Amended with Fresh Organic Matter. Plant Soil 1993, 149, 197–203. [Google Scholar] [CrossRef]
- Giller, K.E.; Witter, E.; Mcgrath, S.P. Toxicity of Heavy Metals to Microorganisms and Microbial Processes in Agricultural Soils: A Review. Soil Biol. Biochem. 1998, 30, 1389–1414. [Google Scholar] [CrossRef]
- Ministry for Primary Industries. Available online: https://www.mpi.govt.nz/dmsdocument/58294-Native-Nursery-Survey-2022-Main-Report (accessed on 12 March 2024).
- Lowe, H. A Cost Analysis Summary for End-Use Options in the Lower North Island; Lowe Environmental Impact (LEI): Palmerston North, New Zealand, 2020. [Google Scholar]
- CANNA. New Zealand Terra InfoPaper—Using Potting Mixes. Available online: https://www.canna.co.nz/things_to_be_aware_of_when_using_potting_mixes (accessed on 12 March 2024).


| Plant sp. | B1 (%) | B2 (%) | B3 (%) | PS (%) |
|---|---|---|---|---|
| C. cheesemanii | 15 | 15 | 30 | 30 |
| V. salicifolia | 15 | 25 | 30 | 50 * |
| G. littoralis | 15 | 10 | 30 | 30 |
| P. tenax | 10 | 15 | 50 | 50 |
| C. australis | 15 | 25 | 50 | 50 |
| P. cita | 25 | 25 * | 30 | 30 |
| N (%) | P | K | S | |||||
|---|---|---|---|---|---|---|---|---|
| Control | Optimal | Control | Optimal | Control | Optimal | Control | Optimal | |
| Biosolids 1 | ||||||||
| C. australis | 0.32 (0.05) | 1.48 (0.05) *** | 1727 (169) | 3588 (203) * | 9429 (150) | 6391 (288) *** | 439 (9) | 1048 (36) *** |
| C. cheesemanii | 0.55 (0.04) | 1.48 (0.04) *** | 1272 (282) | 1811 (153) | 12,893 (554) | 10,017 (143) * | 131 (10) | 1293 (167) |
| G. littoralis | 0.49 (0.04) | 1.19 (0.03) *** | 1656 (60) | 4107 (260) ** | 14,677 (1462) | 11,235 (359) | 1022 (102) | 2121 (109) ** |
| P. cita | 0.31 (0.09) | 0.3 (0.03) | 1802 (246) | 1724 (117) | 7437 (610) | 9072 (250) * | 1242 (168) | 1251 (50) |
| P. tenax | 0.50 (0.04) | 1.48 (0.09) *** | 1658 (29) | 4129 (423) ** | 9829 (574) | 9393 (641) | 733 (53) | 1951 (105) *** |
| V. salicifolia | 0.37 (0.01) | 1.55 (0.22) * | 1692 (84) | 3299 (303) ** | 14,454 (1098) | 11,288 (1185) | 1070 (121) | 3024 (711) * |
| Biosolids 2 | ||||||||
| C. australis | 0.20 (0.12) | 0.79 (0.03) * | 1301 (133) | 2876 (153) *** | 6385 (903) | 11,777 (552) | 288 (12) | 619 (30) |
| C. cheesemanii | 0.55 (0.07) | 1.4 (0.08) *** | 1005 (121) | 1843 (83) * | 12,047 (799) | 12,183 (287) | 593 (34) | 2011 (420) |
| G. littoralis | 0.35 (0.05) | 0.71 (0.05) *** | 1484 (98) | 2637 (184) *** | 14,807 (1227) | 17,780 (404) | 912 (72) | 1823 (156) |
| P. cita | 0.23 (0.02) | 0.5 (0.05) ** | 1026 (43) | 2142 (190) ** | 6439 (347) | 10,088 (750) ** | 934 (43) | 1533 (25) |
| P. tenax | 0.20 (0.01) | 1.01 (0.05) *** | 1267 (79) | 3431 (256) *** | 7567 (343) | 13,554 (776) * | 563 (35) | 1648 (183) |
| V. salicifolia | 0.49 (0.06) | 0.73 (0.04) ** | 1918 (359) | 1904 (100) | 18,172 (1097) | 15,463 (1680) | 1356 (188) | 2041 (133) |
| Biosolids 3 | ||||||||
| C. australis | 0.21 (0.04) | 0.51 (0.08) * | 1635 (72) | 2794 (74) *** | 7889 (990) | 11,943 (584) * | 513 (82) | 483 (26) |
| C. cheesemanii | 0.55 (0.03) | 0.77 (0.06) ** | 856 (46) | 935 (135) | 9676 (575) | 10,171 (643) | 656 (33) | 912 (147) |
| G. littoralis | 0.67 (0.06) | 0.72 (0.05) | 1492 (175) | 1884 (65) * | 10,867 (1448) | 16,490 (579) ** | 1292 (119) | 1294 (52) |
| P. cita | 0.37 (0.03) | 0.38 (0.02) | 1334 (109) | 1527 (69) | 8936 (775) | 10,469 (444) | 938 (31) | 1102 (68) * |
| P. tenax | 0.30 (0.04) | 0.57 (0.05) ** | 1491 (105) | 3019 (269) ** | 8179 (98) | 16,012 (946) *** | 688 (6) | 904 (25) *** |
| V. salicifolia | 0.38 (0.02) | 0.54 (0.07) | 1473 (54) | 2323 (114) *** | 9328 (313) | 17,480 (1093) *** | 915 (105) | 1703 (158) ** |
| Pond sludge | ||||||||
| C. australis | 0.15 (0.04) | 0.38 (0.04) * | 2184 (49) | 1733 (115) | 9639 (582) | 9929 (1115) | 403 (53) | 410 (8) |
| C. cheesemanii | 0.58 (0.08) | 0.82 (0.04) | 1319 (178) | 1645 (197) * | 12,602 (1210) | 14,171 (296) | 540 (21) | 952 (16) *** |
| G. littoralis | 0.35 (0.01) | 0.39 (0.01) *** | 1323 (67) | 1796 (133) * | 11,495 (768) | 15,616 (1860) | 932 (15) | 2056 (93) *** |
| P. cita | 0.28 (0.02) | 0.27 (0.01) | 1255 (115) | 1332 (52) | 8279 (738) | 8621 (211) | 815 (62) | 891 (32) |
| P. tenax | 0.20 (0.03) | 0.19 (0.04) | 1777 (84) | 2374 (167) * | 10,345 (331) | 13,801 (790) ** | 628 (23) | 866 (112) |
| V. salicifolia | 0.38 (0.03) | 0.54 (0.04) ** | 1801 (176) | 1957 (142) | 11,763 (1303) | 13,655 (1146) | 817 (87) | 1774 (154) *** |
| Cr | Cu | Ni | Zn | |||||
|---|---|---|---|---|---|---|---|---|
| Control | Optimal | Control | Optimal | Control | Optimal | Control | Optimal | |
| Biosolids 1 | ||||||||
| C. australis | 1.1 (0.14) | 1.27 (0.101) | 10.9 (0.72) | 20.7 (1.96) | 0.26 (0.04) | 0.73 (0.046) *** | 50.9 (6.43) | 119 (7.32) *** |
| C. cheesemanii | 0.26 (0.05) | 0.32 (0.036) | 14.1 (1.63) | 9.9 (1.43) * | 0.24 (0.1) | 0.32 (0.089) | 53.8 (4.86) | 70.3 (7.56) |
| G. littoralis | 0.25 (0.06) | 0.21 (0.035) | 22.6 (2.41) | 29 (1.92) | 0.28 (0.04) | 0.41 (0.045) | 97.1 (7.4) | 156 (14.1) ** |
| P. cita | 1.45 (0.35) | 1.77 (0.134) | 36.7 (9.93) | 35.2 (3.48) | 0.82 (0.15) | 1.02 (0.079) | 37.0 (5.29) | 24.3 (1.26) * |
| P. tenax | 0.68 (0.07) | 0.81 (0.065) | 11.5 (0.95) | 14.8 (0.53) * | 0.4 (0.05) | 0.31 (0.06) | 80.9 (6.21) | 106 (6.18) * |
| V. salicifolia | 10.1 (1.16) | 3.4 (0.366) *** | 18.8 (0.58) | 18.9 (0.54) | 0.3 (0.01) | 0.35 (0.029) | 29.9 (1.78) | 61.2 (6.32) * |
| Biosolids 2 | ||||||||
| C. australis | 1.38 (0.2) | 3.36 (0.958) | 17.9 (4.74) | 21.7 (2.25) | 0.08 (0.04) | 0.42 (0.025) | 60.6 (0.38) | 76.4 (5.9) * |
| C. cheesemanii | 6.91 (4.08) | 3.66 (0.767) | 22.6 (3) | 14.2 (1.23) * | 0.25 (0.12) | 0.36 (0.026) | 62.9 (19.7) | 48.1 (2.34) |
| G. littoralis | 0.49 (0.09) | 1.68 (0.441) * | 22.6 (1.64) | 21.5 (1.5) | 0.2 (0.02) | 0.54 (0.057) *** | 124 (18.5) | 99.5 (10.4) |
| P. cita | 3.6 (0.37) | 8.1 (3.12) | 25.9 (3.28) | 25.9 (4.21) | 1.3 (0.13) | 1.58 (0.301) | 28.7 (2.29) | 28.8 (3.79) |
| P. tenax | 3.65 (0.23) | 7.15 (1.748) | 18.5 (1.03) | 19.4 (0.99) | 0.45 (0.04) | 0.73 (0.051) ** | 86.0 (3.13) | 87 (3.23) |
| V. salicifolia | 5.48 (0.26) | 2.35 (0.242) *** | 21.5 (1.76) | 18.1 (0.89) | 0.3 (0.02) | 0.32 (0.018) | 38.5 (2.76) | 34 (4.09) |
| Biosolids 3 | ||||||||
| C. australis | 0.42 (0.02) | 0.468 (0.169) | 13.6 (1.02) | 15.5 (3.24) | 0.06 (0.01) | 0.248 (0.072) | 51.8 (4.71) | 53 (3.01) |
| C. cheesemanii | 1.81 (0.51) | 0.441 (0.092) * | 13.4 (1.6) | 12.7 (0.99) | 0.77 (0.26) | 0.136 (0.02) | 48.9 (3.99) | 46.7 (9.63) |
| G. littoralis | 0.36 (0.02) | 0.188 (0.029) ** | 22.6 (1.89) | 23.7 (0.92) | 0.34 (0.1) | 0.304 (0.06) | 119 (14.1) | 126 (15.9) |
| P. cita | 2.78 (0.44) | 4.21 (0.78) | 19.4 (3.31) | 13.3 (2.21) | 1.41 (0.21) | 1.95 (0.301) | 28.7 (2.66) | 26.5 (4.06) |
| P. tenax | 0.79 (0.06) | 0.513 (0.039) ** | 20.6 (2.77) | 17.2 (1.16) | 0.49 (0.04) | 0.291 (0.023) ** | 69.1 (3.38) | 59.8 (4.05) |
| V. salicifolia | 0.93 (0.12) | 0.478 (0.077) ** | 21.5 (1.91) | 20.7 (3.52) | 0.27 (0.02) | 0.107 (0.011) *** | 41.9 (4.31) | 27.6 (3.23) |
| Pond sludge | ||||||||
| C. australis | 0.42 (0.04) | 0.427 (0.081) | 12.4 (0.97) | 11 (0.79) | 0.22 (0.01) | 0.25 (0.04) | 50.1 (1.21) | 57.8 (5.06) |
| C. cheesemanii | 0.49 (0.05) | 0.551 (0.045) | 16.6 (1.71) | 28.3 (2.94) ** | 0.34 (0.07) | 0.469 (0.051) | 60.5 (3.82) | 67.1 (2.77) |
| G. littoralis | 0.36 (0.09) | 0.33 (0.057) | 16.9 (1.18) | 14.8 (0.83) | 0.15 (0.01) | 0.324 (0.068) * | 121 (6.78) | 124 (3.71) |
| P. cita | 4.7 (1.57) | 3.88 (0.408) | 23.2 (2.28) | 24.8 (1.92) | 2.23 (0.7) | 1.85 (0.141) | 29 (3.7) | 27.2 (0.67) |
| P. tenax | 1.21 (0.14) | 1.15 (0.211) | 14.3 (0.891) | 22.2 (3.35) * | 0.23 (0.07) | 0.604 (0.082) * | 100 (12.8) | 104 (15.5) |
| V. salicifolia | 0.54 (0.07) | 0.325 (0.039) * | 31.5 (4.46) | 28.7 (3.12) | 0.21 (0.03) | 0.308 (0.03) * | 39.7 (4.58) | 59 (6.21) * |
Disclaimer/Publisher’s Note: The statements, opinions and data contained in all publications are solely those of the individual author(s) and contributor(s) and not of MDPI and/or the editor(s). MDPI and/or the editor(s) disclaim responsibility for any injury to people or property resulting from any ideas, methods, instructions or products referred to in the content. |
© 2024 by the authors. Licensee MDPI, Basel, Switzerland. This article is an open access article distributed under the terms and conditions of the Creative Commons Attribution (CC BY) license (https://creativecommons.org/licenses/by/4.0/).
Share and Cite
Garcés-Hernández, C.; Robinson, B.; Bravo-Linares, C.; Lowe, H.; Villanueva, S.; Prosser, J.; Gutiérrez-Ginés, M.-J. An Assessment of the Suitability of Contrasting Biosolids for Raising Indigenous Plants in Nurseries. Water 2024, 16, 1226. https://doi.org/10.3390/w16091226
Garcés-Hernández C, Robinson B, Bravo-Linares C, Lowe H, Villanueva S, Prosser J, Gutiérrez-Ginés M-J. An Assessment of the Suitability of Contrasting Biosolids for Raising Indigenous Plants in Nurseries. Water. 2024; 16(9):1226. https://doi.org/10.3390/w16091226
Chicago/Turabian StyleGarcés-Hernández, Claudia, Brett Robinson, Claudio Bravo-Linares, Hamish Lowe, Seinalyn Villanueva, Jennifer Prosser, and María-Jesús Gutiérrez-Ginés. 2024. "An Assessment of the Suitability of Contrasting Biosolids for Raising Indigenous Plants in Nurseries" Water 16, no. 9: 1226. https://doi.org/10.3390/w16091226
APA StyleGarcés-Hernández, C., Robinson, B., Bravo-Linares, C., Lowe, H., Villanueva, S., Prosser, J., & Gutiérrez-Ginés, M.-J. (2024). An Assessment of the Suitability of Contrasting Biosolids for Raising Indigenous Plants in Nurseries. Water, 16(9), 1226. https://doi.org/10.3390/w16091226

