Integrating Microseismic Monitoring for Predicting Water Inrush Hazards in Coal Mines
Abstract
1. Introduction
2. Materials and Methods
2.1. General Situation
2.2. Analysis of Mine Water-Filling Conditions
2.3. Microseismic Monitoring Plan for the Working Face
2.3.1. Construction of the Microseismic Monitoring System
2.3.2. Microseismic Monitoring Network
3. Results
3.1. Grouping Analysis of Microseismic Data Quantity
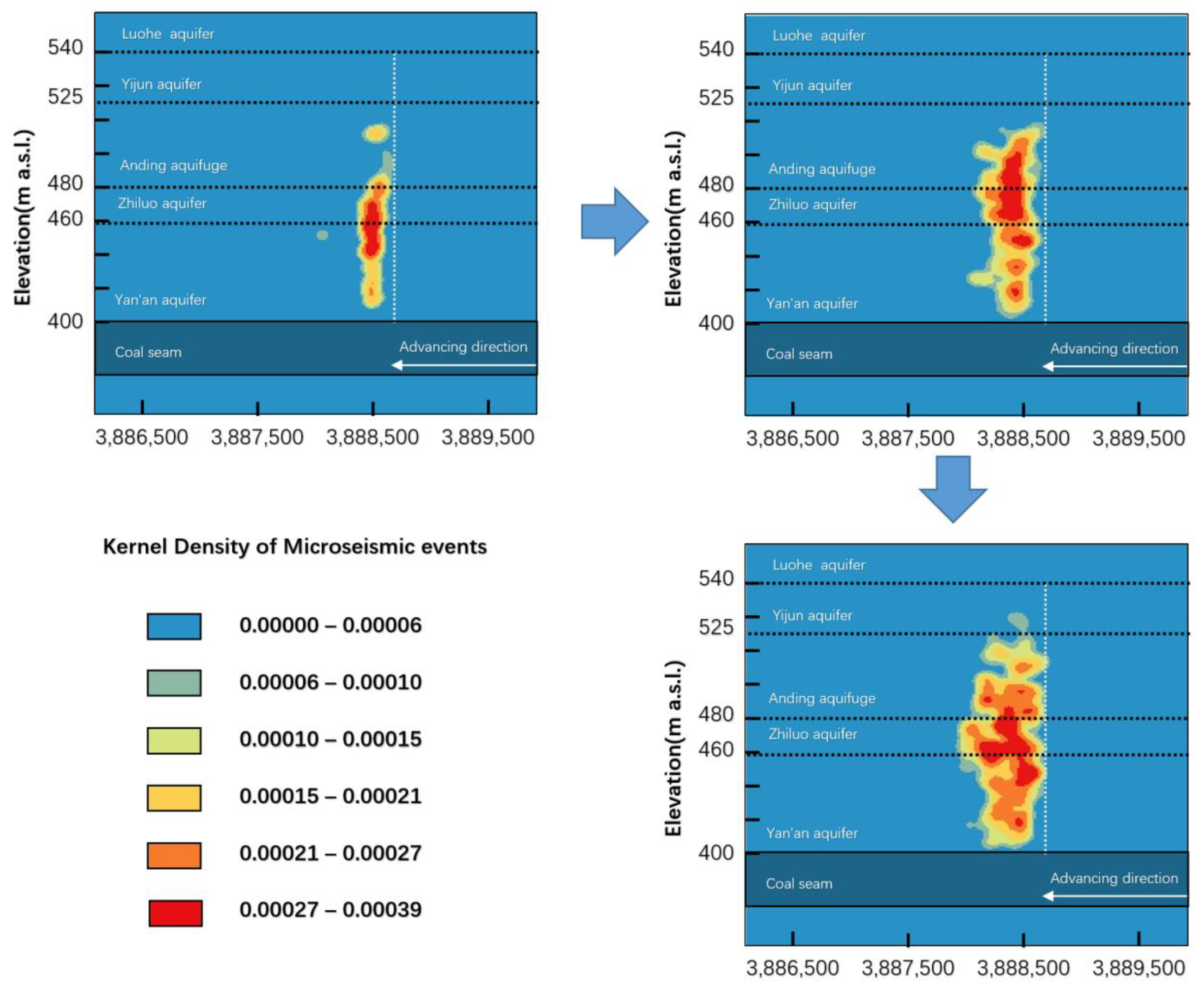
3.2. Microseismic Data Density Grouping Analysis
3.3. On-Site Measurement of Overlying Rock Failure Analysis
4. Discussion
4.1. Correlation between Microseismic Monitoring Data and the Development of Water-Conducting Fracture Zones
4.1.1. Numerical Simulation of the Height of Water-Conducting Fracture Zones
4.1.2. Correlation Analysis of Spatial Domain Destruction
4.2. Correlation between Microseismic Monitoring Data and Water Inflow in the Working Face
4.3. Research on Precursor Information of Water Inrush in the Working Face
4.4. Case Validation
5. Conclusions
Author Contributions
Funding
Data Availability Statement
Conflicts of Interest
References
- Sun, W.; Li, W.; Ning, D.; Ren, L. Current states, prediction and prevention suggestions for water hazard accidents in China’s coal mines. Coal Geol. Explor. 2023, 51, 185–194. [Google Scholar]
- Zeng, Y.; Wu, Q.; Zhao, S.; Miao, Y.; Zhang, Y.; Mei, A.; Meng, S.; Liu, X. Characteristics, causes, and prevention measures of coal mine water hazard accidents in China. Coal Sci. Technol. 2023, 51, 1–14. [Google Scholar]
- Shi, X.; Jiang, F.; Zhu, S.; Yang, G. Mechanism of Integrated Dynamic Disaster of Rockburst and Water Inrush: A New Type of Integrated Dynamic Disaster in China. Geotech. Geol. Eng. 2017, 35, 1261–1270. [Google Scholar] [CrossRef]
- Brown, L.; Hudyma, M. Identification of Stress Change Within a Rock Mass Through Apparent Stress of Local Seismic Events. Rock Mech. Rock Eng. 2016, 50, 81–88. [Google Scholar] [CrossRef]
- Basu, S.; Ali, M.Y.; Farid, A.; Berteussen, K.A.; Mercado, G. A microseismic experiment in Abu Dhabi, United Arab Emirates: Implications for carbonate reservoir monitoring. Arab. J. Geosci. 2013, 7, 3815–3827. [Google Scholar] [CrossRef]
- Li, X.; Li, Z.; Wang, E.; Feng, J.; Chen, L.; Li, N.; Zou, Q. Microseismic Signal Spectra, Energy Characteristics, and Fractal Features Prior to Rock Burst: A Case Study from the Qianqiu Coal Mine, China. J. Earthq. Eng. 2016, 21, 891–911. [Google Scholar] [CrossRef]
- Guo, W.; Zhao, C. Focal Mechanisms and Stress Field Characteristics of Microearthquakes in Baihetan Reservoir in the Downstream Area of Jinsha River. Water 2023, 15, 709. [Google Scholar] [CrossRef]
- Yan, T.; Zhu, C.; Li, Q.; Xu, Q. Investigating Disaster Mechanisms Triggered by Abrupt Overburden Fracture Alterations in Close-Seam Mining Beneath an Exceptionally Thick Sandstone Aquifer. Sustainability 2023, 15, 13845. [Google Scholar] [CrossRef]
- Ma, K.; Yuan, F.; Wang, H.; Zhang, Z.; Sun, X.; Peng, Y.; Wang, H. Fracture mechanism of roof key strata in Dongjiahe coal mine using microseismic moment tensor. Geomat. Nat. Hazards Risk 2021, 12, 1467–1487. [Google Scholar] [CrossRef]
- Liu, C.; Li, S.; Cheng, C.; Cheng, X. Identification methods for anomalous stress region in coal roadways based on microseismic information and numerical simulation. Int. J. Min. Sci. Technol. 2017, 27, 525–530. [Google Scholar] [CrossRef]
- Zhang, P.; Yang, T.; Yu, Q.; Xu, T.; Shi, W.; Li, S. Study of a Seepage Channel Formation Using the Combination of Microseismic Monitoring Technique and Numerical Method in Zhangmatun Iron Mine. Rock Mech. Rock Eng. 2016, 49, 3699–3708. [Google Scholar] [CrossRef]
- Zhao, Y.; Yang, T.; Zhang, P.; Xu, H.; Wang, S. Inversion of seepage channels based on mining-induced microseismic data. Int. J. Rock Mech. Min. Sci. 2020, 126, 104180. [Google Scholar] [CrossRef]
- Sun, Y.; Zuo, J.; Li, Y.; Liu, C.; Li, Y.; Shi, Y. Micro-seismic monitoring on fractured zone and water inrush mechanism analysis of deep mining above aquifer in Xingdong coalmine. Rock Soil Mech. 2017, 38, 2335–2342. [Google Scholar]
- Cheng, S.; Li, S.-C.; Li, L.-P.; Shi, S.-S.; Zhou, Z.-Q.; Wang, J. Study on energy band characteristic of microseismic signals in water inrush channel. J. Geophys. Eng. 2018, 15, 1826–1834. [Google Scholar] [CrossRef]
- Zhao, Y.; Yang, T.; Zhang, P.; Xu, H.; Zhou, J.; Yu, Q. Method for Generating a Discrete Fracture Network from Microseismic Data and its Application in Analyzing the Permeability of Rock Masses: A Case Study. Rock Mech. Rock Eng. 2019, 52, 3133–3155. [Google Scholar] [CrossRef]
- Zhao, Y.; Yang, T.; Bohnhoff, M.; Zhang, P.; Yu, Q.; Zhou, J.; Liu, F. Study of the Rock Mass Failure Process and Mechanisms During the Transformation from Open-Pit to Underground Mining Based on Microseismic Monitoring. Rock Mech. Rock Eng. 2018, 51, 1473–1493. [Google Scholar] [CrossRef]
- Zhao, Y.; Yang, T.; Zhang, P.; Zhou, J.; Yu, Q.; Deng, W. The analysis of rock damage process based on the microseismic monitoring and numerical simulations. Tunn. Undergr. Space Technol. 2017, 69, 1–17. [Google Scholar] [CrossRef]
- Li, Y.; Lei, G.; Xu, S.; Wu, D. The spatial-temporal evolution law of microseismic activities in the failure process of deep rock masses. J. Appl. Geophys. 2018, 154, 1–10. [Google Scholar] [CrossRef]
- Ma, K.; Sun, X.; Tang, C.; Yuan, F.; Wang, S.; Chen, T. Floor water inrush analysis based on mechanical failure characters and microseismic monitoring. Tunn. Undergr. Space Technol. 2021, 108, 103698. [Google Scholar] [CrossRef]
- Cha, H.; Zhang, H.; Lian, H.; Qian, J.; Wei, T.; Tang, Z.; Mei, H.; Cheng, T. Microseismic monitoring on limestone water inrush at coal seam floor for groupA coal layer of Pan’er Coal Mine. J. China Coal Soc. 2022, 47, 3001–3014. [Google Scholar]
- Jiang, Z.; Li, Q.; Hu, Q.; Chen, J.; Li, X.; Wang, X.; Xu, Y. Underground microseismic monitoring of a hydraulic fracturing operation for CBM reservoirs in a coal mine. Energy Sci. Eng. 2019, 7, 986–999. [Google Scholar] [CrossRef]
- Dai, F.; Li, B.; Xu, N.; Zhu, Y. Microseismic early warning of surrounding rock mass deformation in the underground powerhouse of the Houziyan hydropower station, China. Tunn. Undergr. Space Technol. 2017, 62, 64–74. [Google Scholar] [CrossRef]
- Picozzi, M.; Oth, A.; Parolai, S.; Bindi, D.; De Landro, G.; Amoroso, O. Accurate estimation of seismic source parameters of induced seismicity by a combined approach of generalized inversion and genetic algorithm: Application to The Geysers geothermal area, California. J. Geophys. Res. Solid Earth 2017, 122, 3916–3933. [Google Scholar] [CrossRef]
- Yin, H.; Wu, Q.; Yin, S.; Dong, S.; Dai, Z.; Soltanian, M.R. Predicting mine water inrush accidents based on water level anomalies of borehole groups using long short-term memory and isolation forest. J. Hydrol. 2023, 616, 128813. [Google Scholar] [CrossRef]
- Yang, S.; Lian, H.; Xu, B.; Thanh, H.V.; Chen, W.; Yin, H.; Dai, Z. Application of robust deep learning models to predict mine water inflow: Implication for groundwater environment management. Sci. Total Environ. 2023, 857, 162056. [Google Scholar] [CrossRef] [PubMed]
- Duan, J. Integrated monitoring technology of water inrush from coal seam floor and its application. Coal Geol. Explor. 2017, 122, 3916–3933. [Google Scholar]
- Jin, D.; Zhao, C.; Duan, J.; Qiao, W.; Lu, J.; Li, P.; Zhou, Z.; Li, D. Research on 3D monitoring and intelligent early warning system for water hazard of coal seam floor. J. China Coal Soc. 2020, 45, 2256–2264. [Google Scholar]
- Zeng, Y.; Zhu, H.; Wu, Q.; Guo, X.; Pang, Z.; Liu, S.; Yang, W. Research status and prevention and control path of coal seam roof water disaster in China. J. China Coal Soc. 2024. [Google Scholar] [CrossRef]
- Zhou, J.; Wei, J.; Yang, T.; Zhu, W.; Li, L.; Zhang, P. Damage analysis of rock mass coupling joints, water and microseismicity. Tunn. Undergr. Space Technol. 2018, 71, 366–381. [Google Scholar] [CrossRef]
- Zeng, Y.; Mei, A.; Wu, Q.; Hua, Z.; Zhao, Y.; Du, X.; Wang, L.; Lv, D.; Pan, X. Source discrimination of mine water inflow or inrush using hydrochemicalfield and hydrodynamic field tracer simulation coupling. J. China Coal Soc. 2022, 47, 4482–4494. [Google Scholar]











| Device | Technical Index | Parameter |
|---|---|---|
| Microseismic sensor | Number of transmission channels | ≥12 channels, scalable |
| Installation method | Roof bolt | |
| Geophone sensitivity | 100 V/m/s | |
| Geophone bandwidth | 60–1500 Hz | |
| Signal transmission form | Current signal transmission | |
| Sampling frequency | Maximum 10 KHz | |
| Minimum seismic energy for source localization | 101 J | |
| Microseismic monitoring substation | Noise floor | <0.2 μV RMS@2 ms |
| Maximum sample rate | 20 KHz |
| Borehole Depth (m) | Events | Notes |
|---|---|---|
| 51.04 | Pre-drilling preparation | |
| 99.74 | Leakage of flushing fluid began | No drilling and mud return was observed at the borehole mouth; there are no data available for fluid consumption observation |
| 108.21 | Drilling halted; borehole inspection | |
| 158.36 | Drill bit drop of 17 cm | |
| 222.57 | Drilling halted; borehole inspection |
| Statistical Value | Correlation Coefficient (r-Value) | Significance (p-Value) |
|---|---|---|
| Microseismic event localization. | −0.005 | 0.887 |
| Total energy of microseismic events. | −0.021 | 0.124 |
| Maximum energy of microseismic events. | −0.071 | 0.209 |
| Several microseismic events. | 0.298 | 0.000 |
| Energy release per meter of microseismic events. | 0.035 | 0.899 |
| Statistical Value | Correlation Coefficient (r-Value) | Significance (p-Value) |
|---|---|---|
| Microseismic event localization. | 0.039 | 0.510 |
| Total energy of microseismic events. | 0.087 | 0.009 |
| Maximum energy of microseismic events. | 0.108 | 0.310 |
| Several microseismic events. | 0.440 | 0.000 |
| Energy release per meter of microseismic event. | 0.135 | 0.002 |
Disclaimer/Publisher’s Note: The statements, opinions and data contained in all publications are solely those of the individual author(s) and contributor(s) and not of MDPI and/or the editor(s). MDPI and/or the editor(s) disclaim responsibility for any injury to people or property resulting from any ideas, methods, instructions or products referred to in the content. |
© 2024 by the authors. Licensee MDPI, Basel, Switzerland. This article is an open access article distributed under the terms and conditions of the Creative Commons Attribution (CC BY) license (https://creativecommons.org/licenses/by/4.0/).
Share and Cite
Lian, H.; Zhang, Q.; Yin, S.; Yan, T.; Yao, H.; Yang, S.; Kang, J.; Xia, X.; Li, Q.; Huang, Y.; et al. Integrating Microseismic Monitoring for Predicting Water Inrush Hazards in Coal Mines. Water 2024, 16, 1168. https://doi.org/10.3390/w16081168
Lian H, Zhang Q, Yin S, Yan T, Yao H, Yang S, Kang J, Xia X, Li Q, Huang Y, et al. Integrating Microseismic Monitoring for Predicting Water Inrush Hazards in Coal Mines. Water. 2024; 16(8):1168. https://doi.org/10.3390/w16081168
Chicago/Turabian StyleLian, Huiqing, Qing Zhang, Shangxian Yin, Tao Yan, Hui Yao, Songlin Yang, Jia Kang, Xiangxue Xia, Qixing Li, Yakun Huang, and et al. 2024. "Integrating Microseismic Monitoring for Predicting Water Inrush Hazards in Coal Mines" Water 16, no. 8: 1168. https://doi.org/10.3390/w16081168
APA StyleLian, H., Zhang, Q., Yin, S., Yan, T., Yao, H., Yang, S., Kang, J., Xia, X., Li, Q., Huang, Y., Ren, Z., Wu, W., & Xu, B. (2024). Integrating Microseismic Monitoring for Predicting Water Inrush Hazards in Coal Mines. Water, 16(8), 1168. https://doi.org/10.3390/w16081168
