Next Article in Journal
A Multi-Approach Analysis for Monitoring Wave Energy Driven by Coastal Extremes
Previous Article in Journal
Bathymetric Modelling of High Mountain Tropical Lakes of Southern Ecuador
Previous Article in Special Issue
Water and Salinity Variation along the Soil Profile and Groundwater Dynamics of a Fallow Cropland System in the Hetao Irrigation District, China
 
 
Font Type:
Arial Georgia Verdana
Font Size:
Aa Aa Aa
Line Spacing:
Column Width:
Background:
Article

Effects of Subsurface Drainage Spacing and Organic Fertilizer Application on Alfalfa Yield, Quality, and Coastal Saline Soil

1
Horticultural and Landscape Architecture College, Fujian Vocational College of Agriculture, Fuzhou 350000, China
2
Horticultural and Landscape Architecture College, Henan Agricultural Vocational and Technical College, Zhengzhou 450000, China
3
Water Bureau of Jiangning District, Nanjing 210000, China
4
College of Environment, Hohai University, Nanjing 210098, China
5
College of Hydrology and Water Resources, Hohai University, Nanjing 210098, China
6
Nanjing Hydraulic Research Institute, Nanjing 210000, China
*
Authors to whom correspondence should be addressed.
Water 2024, 16(8), 1144; https://doi.org/10.3390/w16081144
Submission received: 19 March 2024 / Revised: 12 April 2024 / Accepted: 15 April 2024 / Published: 18 April 2024
(This article belongs to the Special Issue Design and Management of Agricultural Drainage Systems)

Abstract

Subsurface drainage and organic fertilizer application are two important measures for improving saline–alkali soils, while the effects of different drainage spacings combined with organic fertilizer application amounts on alfalfa growth and coastal saline soil properties have seldom been evaluated. This study designed subsurface drainage pipes at four spacing distances, including 0 m (CK, without subsurface drainage), 6 m (S1), 12 m (S2), and 18 m (S3), and three organic fertilizer application amounts, including 3000 kg/ha (N1), 4500 kg/ha (N2), and 6000 kg/ha (N3), to observe the effects of different combinations of subsurface pipe spacings and organic fertilization amounts on alfalfa yield, quality, soil salinity, and nutrients. The results showed that the yield of alfalfa increased with higher fertilization amounts and smaller spacing between drainage pipes. The highest yield occurred in the S1N3 treatment, and the three batches reached 1268.5 kg/ha, 3168.0 kg/ha, and 2613.3 kg/ha, respectively, significantly (p < 0.05) higher than CK for all three batches. The increase in organic fertilizer amount resulted in an increase of 0.5–9.3% in the crude protein content, a decrease of 1.8–3.4% in the neutral detergent fiber content, and a decrease of 1.3–5.5% in the acid detergent fiber content for alfalfa plants. Under CK, the contents of quality indicators in alfalfa were the highest. For the drainage treatments, the quality indicator contents were overall at a higher level under S3. Subsurface drainage had a reduction effect on the salinity of all the 0–80 cm soils. For the surface soil, it was detected that smaller spacing was beneficial for reducing soil salt content, while higher fertilization amounts increased the salt content. S1 reduced the soil salt content by 36.3–46.1% compared to CK; however, N3 increased the salt content by 7.0–16.2% compared to the other two fertilization treatments. In addition, smaller spacing between the subsurface drainage pipes generally reduced the soil’s available nitrogen, and total nitrogen increased the C/N ratio but had no significant effect on the organic matter. It was concluded that the spacing between subsurface drainage pipes and the application amounts of organic fertilizer have remarkable impacts on alfalfa yield and quality, mainly by changing the soil salinity and nutrient status.

1. Introduction

Due to the mismatch between urban land and agricultural land, developing coastal land resources for crop cultivation has become a common choice for many countries and regions [1,2,3,4]. Unlike ordinary cultivated soils, coastal saline soils usually have characteristics such as high salt content, dense structure, and poor permeability and fertility that need to be improved before being utilized. Irrigation, drainage, and fertilization are the main methods for improving coastal saline soils, and subsurface drainage and organic fertilizer application are the measures chosen by many countries and regions for improving coastal saline soils [5,6,7]. The principle of subsurface drainage is to dissolve soluble soil salts by rainfall or irrigation water and then discharge them through subsurface pipes to reduce soil salinity. Subsurface drainage also helps to lower the groundwater level and prevent the salt from returning to the surface soil layer [8]. The application of organic fertilizer is aimed towards improving the soil nutrient level in the cultivated layer and creating favorable nutritional conditions for crop growth and development. In addition, the plant remediation method, which utilizes salt-tolerant plants to absorb soil salt, is also an important technique for coastal saline land management.
The southeastern coastal areas of China are the core areas with the densest population, industry, and urban distribution. In recent years, the inland cultivated area in Southeastern China has continuously shrunk, and the development of coastal saline–alkali land has become a key focus for regional sustainable development. The suitable crops for different types of coastal areas are different, and the planting plan is mainly determined based on factors such as natural resource characteristics, industrial development, and resident needs. For example, among the southeastern coastal provinces of China, Fujian and Guangdong Provinces are located in subtropical regions, with a wider planting area of heat- and salt-tolerant fruit trees and vegetables. Differently, large areas of paddy rice are planted in the coastal areas of Jiangsu Province. In the coastal areas of Zhejiang Province, such as Hangzhou Bay, the livestock industry is gradually developing, and grass planting can be used to supply the livestock industry. As one of the most widely planted perennial leguminous forages worldwide [9], alfalfa is mainly used in ruminant animal breeding due to its high protein content, good palatability, as well as its strong adaptability to planting environments, especially salt environments.
In the past, research on subsurface drainage in coastal saline soil mainly focused on simulating soil salt transport processes under different spacing and burial depth conditions for subsurface pipes, as well as observing crop responses under such conditions [10,11,12]. The application experiments of organic fertilizer mainly focused on the effects of different application amounts and methods of fertilizer on the soil–plant system [13,14]. However, research regarding the synergistic application of subsurface drainage and organic fertilizers is very scarce. Subsurface drainage reduces soil salinity in the cultivated layer but is prone to the loss of soil available nutrients. The application of organic fertilizer increases soil nutrients but may increase soil salinity. Therefore, the combined effects of these two measures on crop yield, quality, and coastal soil are uncertain.
This study assumes that the different subsurface drainage and organic fertilizer application schemes have an impact on soil properties, which may result in an impact on crop yield and quality. Therefore, this study selected alfalfa as the experimental material, designed the different spacing between subsurface pipes and the different organic fertilizer application amounts, observed the soil indicators closely related to crop growth, and measured the yield and quality of alfalfa. The objective was to (1) compare the differences in alfalfa growth under different drainage spacing conditions and organic fertilizer application treatments; (2) evaluate the effects of different treatments on the soil salinity, nutrients, etc.; (3) investigate the mechanism of how the combination of drainage spacing and organic fertilization affects the crop yield.

2. Materials and Methods

2.1. Experimental Site

The experiment was conducted from March to December 2023 in the Modern Agriculture Park of Ningbo Haihan Agricultural Development Co., Ltd. in Cixi Hangzhou Bay, China (latitude 30°10′ N, longitude 121°13′ E, Figure 1). The experimental site was in a subtropical climate zone with four distinct seasons. The average annual temperature in the experimental area was 16.4 °C. The months with the highest and lowest temperatures were July and January, recording 28 °C and 4.7 °C, respectively. The average rainfall in the experimental area over the past 10 years was 1422 mm, and the average annual sunshine duration was 1850 h. The salt content of the saline soil in Hangzhou Bay was between 1% and 28%. The experimental area has been appropriately improved through crop planting, irrigation, and leaching in the early stage. The rainfall during the experiment is shown in Figure 2. Before the experiment, soil samples were collected from five points in an “M” shape that were evenly distributed in the experimental area, and the soil properties were measured and are shown in Table 1 and Table 2.

2.2. Experimental Design

This experiment used the alfalfa variety “Zhongmu No.3” as the plant material, with a sowing date of 26 March and a sowing density of 25 kg/ha. The alfalfa was sown directly with a soil covering of 0.5–1 cm. During the entire experiment, three batches were harvested on 15 June 15, 9 August, and 12 October, respectively. Irrigation was carried out on 28 April, 1 July, and 10 August, with irrigation amounts of 92 mm, 85 mm, and 81 mm, respectively. For irrigation, we adopted the spray irrigation technique, with a working pressure of 250 kPa, flow rate of 0.5 m3/h, and spraying radius of 10 m. No particular amount of water was applied to drain the salt in the soil via the constructed pipes.
The experimental design included four subsurface pipe spacings and three organic fertilizer application amounts. The four pipe spacing distances were 0 m (CK), 6 m (S1), 12 m (S2), and 18 m (S3), respectively. According to previous research experience [15], the fertilization amounts in this study were set as 3000 kg/ha (N1), 4500 kg/ha (N2), and 6000 kg/ha (N3). The subsurface pipe was a corrugated PVC pipe that was wrapped with non-woven fabric, with a slope of 1‰ and a buried depth of 1 m. The raw materials for organic fertilizer production were EM rejuvenation solution, rice straw, soybean powder, and chicken manure, which contained 4.5% N, 2.5% P2O5, and 1.5% K2O. The fertilizers were applied one time by mixing with the surface soil before sowing. Since the experimental area mainly focused on soil improvement, inorganic fertilizers might bring higher concentrations of salt ions and exacerbate soil salinization; therefore, no inorganic fertilizer or organic–inorganic combination application treatment was designed in this experiment. Except for the difference in the drainage spacing and the fertilization amounts, all other field management methods for the treatments were the same.
The experiment adopted a block planting method, with an area of 60 m × 40 m for each block, as shown in Figure 3. This study included a total of 12 blocks, separated by an isolation membrane with 60 cm depth. Three observation points were evenly distributed between the two subsurface drainage pipes, and the average indicator value of the three points was taken as one repetition. Each treatment had 3 repetitions.

2.3. Sampling and Measurement

Crop yield: A 1 m2 area with uniform plant growth at the observation point was selected for cutting, 5 cm stubbles were left, and the fresh yield was weighed. At the same time, 500 g plant samples were taken and dried naturally in the shade to a constant weight to obtain their dry weight. The ratio of dry weight to fresh weight was calculated, and the yield (kg/ha) was converted based on the dry-weight-to-fresh-weight ratio.
Crop quality: After the three harvests, the quality of alfalfa was measured, and the average value was calculated for analysis. The quality indicators included the crude fat content, crude protein content, acidic detergent fiber content (ADF), and neutral detergent fiber content (NDF) (%). The measurement followed Zhang’s method [16].
Soil salinity: The observation wells were excavated at the observation points, and the sensors (FJA-10, Saiyasi Co., Ltd., Dandong, China) were embedded at 10 cm, 30 cm, 50 cm, and 70 cm to measure the soil electrical conductivity and convert it into total salt content (g/kg) for analysis. The observation time was the date of each harvest.
Other soil indicators: The five-point sampling method was used to collect soil samples from 0 to 20 cm soil layer at the observation points after the last harvest. The samples were mixed evenly for analysis. The soil available nitrogen, total nitrogen, organic matter, and organic carbon were determined. The soil available nitrogen was determined using the alkaline diffusion method, and the total nitrogen was determined using the Kjeldahl method, the organic matter was determined using the potassium dichromate sulfuric acid oxidation external heating method, and the organic carbon was determined using the Vario Macro Cube elemental analyzer (Element Company, Frankfurt, Germany). The C/N ratio was the ratio of organic carbon content to total nitrogen content [17,18].

2.4. Statistical Analysis

Significance analysis was conducted using SPSS 17.0 software, based on Duncan’s multiple range test at the 0.05 level. The two-way ANOVA analysis was used to check the interaction effect of the experimental treatments on the indicator.

3. Results and Analysis

3.1. The Effect of Different Drainage Spacings and Organic Fertilizer Application Amounts on Alfalfa Yield

For the three harvests of alfalfa, the second crop obtained the highest yield (1795.2–3168.0 kg/ha), followed by the third crop, and the yield of the first crop was at the lowest level (Figure 4). Under the same spacing, the alfalfa yield increased as the fertilization amounts increased, and this increase effect continued into the third crop. Under the same fertilization amount, the yield of alfalfa was overall the highest under S1 spacing, and this regularity was observed for all three harvests. From the second crop, which was representative, the alfalfa yield under S1 spacing was 2508.2–3168.0 kg/ha, while under CK treatment, it was only 1795.2–3164.9 kg/ha. The S1 treatments increased the yield by 39.7–47.1% compared to the CK treatments, indicating a significant effect of subsurface drainage on increasing the alfalfa yield.
From the average yield of the three crops, the CK treatments had the lowest average yield, ranging from 1453.6 to 1694.3 kg/ha. The yields under S3 (1656.7–1992.4 kg/ha) were similar to those under CK. The yield of S1 or S2 was significantly higher than that of CK; an average yield of 1970.8–2350.0 kg/ha was detected under S1.

3.2. The Effect of Different Drainage Spacings and Organic Fertilizer Application Amounts on the Quality of Alfalfa

The effects of different treatments on the crude fat content of alfalfa were not obvious, and there were no significant differences (p > 0.05) among the treatments (Table 3). The increased application amount of organic fertilizer increased the crude protein content of alfalfa, but this increase was not statistically significant in the S1, S3, or CK treatments. Meanwhile, the increase in organic fertilizer application amount also reduced the contents of NDF and ADF. For all four drainage spacings, the increase in organic fertilizer application resulted in an increase of 0.5–9.3% in crude protein, a decrease of 1.8–3.4% in NDF, and a decrease of 1.3–5.5% in ADF.
On the other hand, it was found that the quality indicators of alfalfa were also related to the spacing between the drainage pipes. The contents of quality indicators under CK were relatively higher, with crude protein contents of 21.1–22.4%, NDF of 38.9–40.27%, and ADF of 32.1–33.4%, respectively. However, the quality indicator values under S1 were at the lowest level overall.
It was detected that the drainage treatment had a significant (0.05 level) effect on the crude fat content and significant (0.01 level) effect on the NDF or ADF content. Fertilization was found to have a significant (0.05 level) effect on crude protein, NDF, or ADF content. However, no combined effect of drainage and fertilization was found on all the quality indicators.

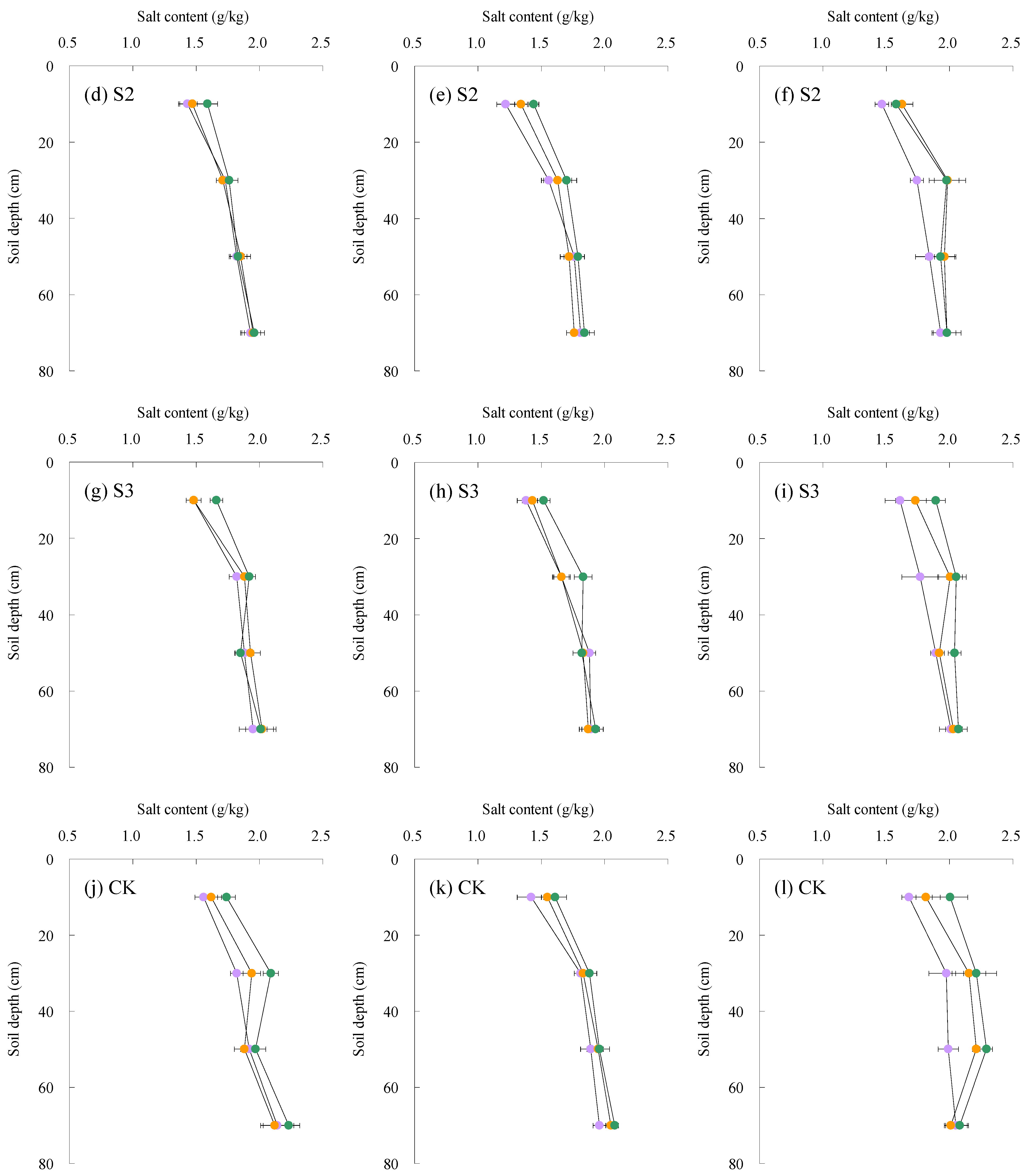
3.3. The Effect of Different Drainage Spacings and Organic Fertilizer Application Amounts on Soil Salinity in Profiles

The salt content reached its lowest level at the second harvest and increased slightly at the third harvest (Figure 5). The salinity in the soil profile showed an overall increasing trend with the increase in soil depth. A clear regularity was found between the drainage spacing and the soil salinity. Specifically, the smaller drainage spacing was more effective in lowering the soil salinity in the profile. This regularity was particularly significant in the 0–20 cm and 20–40 cm soil layers. After the third harvest of alfalfa, the lowest salinity in the 0–20 cm soil layer was detected in the S1 treatments, which were 1.22–1.37 g/kg. The highest soil salinity was found in CK, reaching 1.68–2.00 g/kg. Compared to CK, S1 reduced the salinity of the 0–20 cm soil by 36.3–46.1%. Overall, subsurface drainage had a reducing effect on the entire 0–80 cm soil layer.
The application of organic fertilizer mainly affected the salinity of 0–20 cm soil and had a slight impact on the 20–40 cm soil layer but had almost no effect on the soil below 40 cm. At the third harvest, the increased application of organic fertilizer was found to increase the salt content in the 0–20 cm soil by 7.0–16.2%.

3.4. The Effect of Different Drainage Spacings and Organic Fertilizer Application Amounts on the Chemical Properties of Surface Soil

The increase in the organic fertilizer application amount significantly increased the soil’s available nitrogen content. For the treatments, the soil available nitrogen content under N3 reached 109.2–122.89 mg/kg, while it was only 95.7–110.2 mg/kg under N1 (Table 4). Similarly, the contents of total nitrogen and organic matter also increased as the fertilization amount increased, while the C/N ratio decreased as the fertilization amount increased. Under the same fertilization amount, a smaller spacing between the drainage pipes generally reduced the contents of available nitrogen, and total nitrogen increased the C/N ratio but had no significant (p > 0.05) effect on the organic matter content.
It was found that the subsurface drainage had significant effects on the soil available nitrogen, C/N ratio, and total nitrogen; the fertilization had significant effects on all the four indicators, whereas no combined effect of the two measures was found on the soil chemical indicators.

4. Discussion

After the application of organic fertilizer, salt ions will inevitably be input. Salt is a limiting factor for crop growth and can reduce crop yield. However, at the same time, organic fertilizer brings in the nutrients that are beneficial for increasing yield. Subsurface drainage causes the loss of available nutrients from the topsoil, thus reducing the yield. However, subsurface drainage reduces the soil salinity, and this is beneficial for crop growth and yield formation. No matter how the combination of subsurface drainage and organic fertilizer application affects alfalfa growth, these effects first act on the soil and then are passed on to the crops.
The result in this study that smaller spacing between the subsurface pipes led to a more significant decrease in the soil salinity of the surface layer was similar to Zhang’s [19] research. Zhang found that when the spacing between subsurface pipes decreased from 100 m to 5 m, the total drainage amount increased by 4.96 times, and the total salt discharge increased by 5.06 times. This might be due to the fact that the smaller spacing between the subsurface pipes resulted in a greater infiltration intensity of irrigation water and higher drainage efficiency of soil-soluble salt; on the other hand, when the spacing between subsurface pipes was small, the transportation distance of soil water and salt was shortened, making it easier to be discharged through the subsurface pipes. In addition, the low salt content in the topsoil treated with smaller spacing might also be related to the crops. With smaller spacing, the dry yield of crops was found to be higher (Figure 4), and more salts were adsorbed during the growth process; moreover, crops with higher dry yields often have stronger root systems, and the development process of root systems increases the soil porosity, which is conducive to formulating preferential flow and accelerating the infiltration rate of soil water and salt [20,21].
In this study, smaller spacing between the subsurface pipes led to a lower amount of available nitrogen in the topsoil. This might be because most of the available nutrients are soluble, and the smaller the spacing between the subsurface pipes, the more smooth the drainage is, causing a greater loss of available nitrogen [22]. The increased organic fertilizer application amount in this study increased the available nitrogen content in the topsoil. On the one hand, organic fertilizer itself contained nitrogen, and the decomposition process of organic matter in the organic fertilizer produced organic acids, which promoted mineral weathering and nutrient release. Moreover, through chelation effects, the availability of mineral nutrients was increased, ultimately increasing the available nitrogen content in the soil [18]. Plants grew vigorously and absorbed more nitrogen, which should be responsible for the low available nitrogen and low total nitrogen that was measured in the soil under those treatments with smaller spacing between drainage pipes. The changes in soil total nitrogen also explained the variation in the C/N ratio. The increased application of organic fertilizer in this study slightly increased the soil organic matter content, which was consistent with previous research. However, from the absolute values of the C/N ratio and organic matter, it could be seen that the nutrient status in the improved saline soil was still quite poor, indicating that the fertility improvement of coastal saline soil needs to be carried out continuously in the long term.
In this study, significant yield differences were observed in all three alfalfa harvests when under different organic fertilizer application rates, which might be related to the slow nutrient release and the persistent nutrient effects of organic fertilizer [23,24]. In addition to nutrients, salt was also an important influencing factor in the alfalfa yield in this study. In saline soil, an increase in salt ion content might cause an increase in the osmotic pressure of plants, weaken the water absorption capacity of plant cells, and result in water stress. Osmotic and ion stress under high-salt conditions could also lead to a series of secondary stresses in plants, including the accumulation of toxic compounds (such as reactive oxygen) and the disruption of nutrient balance, and this negatively affects crop yield [25,26]. In this study, CK treatments had higher contents of soil available nitrogen and should achieve higher alfalfa yield compared to other treatments. However, the measured yields under CK were lower than those under the subsurface drainage treatments; the higher soil salinity under CK should be the main cause of the lower yield. Moreover, the salt–nutrient–yield relationship might also be another factor: CK treatments led to higher soil salinity since they had no subsurface drainage. This limited the plant absorption of soil nutrients by alfalfa, resulting in a lower alfalfa yield but higher residual content of available nitrogen in the soil.
High-quality alfalfa should have higher concentrations of crude protein and lower concentrations of acidic and neutral detergent fibers. This study examined the relationship between alfalfa quality and organic fertilizer application amount under differently spaced subsurface drainage pipes, and the results were in line with Su’s [20] research. Su pointed out that the crude protein content of alfalfa showed an increasing trend with an increase in organic fertilizer application amount, while the contents of neutral or acidic detergent fibers showed a decreasing trend with increasing amount of organic fertilizer application. Another study showed that fertilization could increase the crude protein content in alfalfa by 7.7%, as well as reducing ADF by 2.9% and NDF by 1.8% [27]. Our overall results showed lower-quality indicator values for smaller pipe spacing conditions; this might be because the lower soil salinity under smaller spacing treatments weakened the salt stress effect and made the water absorption process of plant roots smoother, resulting in the dilution of quality elements.
Long-term plant cultivation could accelerate the process of soil desalination and maturation, causing fundamental changes in the properties of coastal saline land [28]. For alfalfa, when the planting duration increased, the biomass decreased, the consumption of soil nutrients reduced, the root–rhizobia symbiosis became more mature, the nitrogen fixation ability of plant roots enhanced, and a large number of plant residues decomposed into humus, therefore improving the soil quality. Many previous studies have proved organic fertilizer and subsurface drainage to have good prospects in improving coastal saline soil. This study examined the synergistic effect of three types of remediation methods, namely subsurface drainage, organic fertilizer application, and plant cultivation, on crop growth and soil properties, which could provide a useful basis for the development of saline soil improvement measures. This study selected the pipe spacing and the organic fertilizer amount as two variable factors. In future research, other important factors should be added, such as the depth of buried pipes, the ratio of base fertilizer and topdressing, and the ratio of organic and inorganic fertilizer application, to improve the technical system for saline-soil improvement.

5. Conclusions

The yield of alfalfa increased with higher fertilization amounts and smaller spacing between drainage pipes. The highest yield occurred in the S1N3 treatment, with the three batches reaching 1268.5 kg/ha, 3168.0 kg/ha, and 2613.3 kg/ha, respectively, significantly (p < 0.05) higher than CK for all three batches. The increase in organic fertilizer amount resulted in an increase of 0.5–9.3% in the crude protein content, a decrease of 1.8–3.4% in the neutral detergent fiber content, and a decrease of 1.3–5.5% in the acid detergent fiber content for alfalfa plants. Under CK, the contents of quality indicators in alfalfa were the highest. For the drainage treatments, the quality indicator contents were overall at a higher level under S3. Subsurface drainage had a reducing effect on the salinity of the entire 0–80 cm soil layer. For the surface soil, it was detected that the smaller spacing was beneficial for reducing soil salt content, while the higher fertilization amounts would increase the salt content. S1 reduced the soil salt content by 36.3–46.1% compared to CK; however, N3 increased the salt content by 7.0–16.2% compared to the other two fertilization treatments. In addition, smaller spacing between the subsurface drainage pipes generally reduced the soil’s available nitrogen, and total nitrogen increased the C/N ratio but had no significant effect on the organic matter. No combined effects of drainage and fertilization were found on the crop quality or soil indicators. It was concluded that the spacing between subsurface drainage pipes and the application amounts of organic fertilizer have remarkable impacts on alfalfa yield and quality, mainly by changing the soil salinity and nutrient status.

Author Contributions

Investigation, S.Z. and J.W.; writing—original draft, S.Z., Y.A., Q.J. and H.S.; writing—review and editing, Q.Y., J.W., E.Z. and Y.A. All authors have read and agreed to the published version of the manuscript.

Funding

Jiangsu Coastal Group unveiled the project “Efficient Salt Reduction Technology for Optimizing Irrigation and Drainage Management of Saline and Alkaline Farmland” (2022YHTDJB02-1).

Data Availability Statement

Data are contained within the article.

Conflicts of Interest

The authors declare no conflicts of interest.

References

  1. Li, X.-B.; Kang, Y.-H.; Wan, S.-Q.; Chen, X.-L.; Chu, L.-L.; Xu, J.-C. First and second-year assessments of the rapid reconstruction and re-vegetation method for reclaiming two saline-sodic, coastal soils with drip-irrigation. Ecol. Eng. 2015, 84, 496–505. [Google Scholar] [CrossRef]
  2. Mtolera, I.; She, D. Effect of effective microorganism and gypsum amendments on nutrient leaching pH, electrical conductivity, and Okra growth parameters under coastal saline soil. Commun. Soil Sci. Plant Anal. 2018, 49, 2327–2337. [Google Scholar] [CrossRef]
  3. Nguyen, H.L.; Tran, D.H. Saline soils and crop production in coastal zones of vietnam: Features, strategies for amelioration and management. Pak. J. Bot. 2020, 52, 1327–1333. [Google Scholar] [CrossRef]
  4. Yang, H.; Xia, J.; Xie, W.; Wei, S.; Cui, Q.; Shao, P.; Sun, J.; Dong, K.; Qi, X. Effects of straw returning and nitrogen addition on soil quality of a coastal saline soil: A field study of four consecutive wheat-maize cycles. Land Degrad. Dev. 2023, 34, 2061–2072. [Google Scholar] [CrossRef]
  5. Tian, F.; Shi, H.; Miao, Q.; Li, R.; Duan, J.; Dou, X.; Feng, W. Soil Water and Salt Transport in Severe Saline-Alkali Soil after Ditching under Subsurface Pipe Drainage Conditions. Agriculture 2023, 13, 2196. [Google Scholar] [CrossRef]
  6. Yu, S.; Liu, J.; Eneji, A.E.; Han, L.; Tan, L.; Liu, H. Dynamics of soil water and salinity under subsurface drainage of a coastal area with high groundwater table in spring and rainy season. Irrig. Drain. 2016, 65, 360–370. [Google Scholar] [CrossRef]
  7. Li, M.; Chen, C.; Zhang, H.; Wang, Z.; Song, N.; Li, J.; Liang, X.; Yi, K.; Gu, Y.; Guo, X. Effects of biochar amendment and organic fertilizer on microbial communities in the rhizosphere soil of wheat in Yellow River Delta saline-alkaline soil. Front. Microbiol. 2023, 14, 1250453. [Google Scholar] [CrossRef]
  8. Feng, G.; Zhu, C.; Wu, Q.; Wang, C.; Zhang, Z.; Mwiya, R.M.; Zhang, L. Evaluating the impacts of saline water irrigation on soil water-salt and summer maize yield in subsurface drainage condition using coupled HYDRUS and EPIC model. Agric. Water Manag. 2021, 258, 107175. [Google Scholar] [CrossRef]
  9. Kim, W.-I.; Ryu, S.D.; Kim, S.-R.; Kim, H.-J.; Lee, S.; Kim, J. Population changes and growth modeling of Salmonella enterica during alfalfa seed germination and early sprout development. Food Sci. Biotechnol. 2018, 27, 1865–1869. [Google Scholar] [CrossRef]
  10. Askri, B.; Khodmi, S.; Bouhlila, R. Impact of subsurface drainage system on waterlogged and saline soils in a Saharan palm grove. Catena 2022, 212, 106070. [Google Scholar] [CrossRef]
  11. Azhar, A.H. Impact of subsurface drainage on soil salinity in pakistan. J. Anim. Plant Sci. 2010, 20, 94–98. [Google Scholar]
  12. He, B.; Jin, Q.; Gao, X.; Zhu, L.; Luo, L. Combined effects of subsurface drainage and organic fertilizer application on the nutrient loss in coastal saline soil. Fresenius Environ. Bull. 2017, 26, 3644–3653. [Google Scholar]
  13. Cao, J.; Li, Z.; He, F.; Tong, Z.; Wang, Y.; Wang, L.; Zheng, G.; Zhang, Y. Organic fertilizer and hydrothermal conditions change the distribution of Medicago sativa L. productivity and soil bacterial diversity in coastal saline soil. Chem. Biol. Technol. Agric. 2023, 10, 119. [Google Scholar] [CrossRef]
  14. Helton, T.J.; Butler, T.J.; McFarland, M.L.; Hons, F.M.; Mukhtar, S.; Muir, J.P. Effects of dairy manure compost and supplemental inorganic fertilizer on coastal bermudagrass. Agron. J. 2008, 100, 924–930. [Google Scholar] [CrossRef]
  15. Jia, X. Effects of Fertilization on Production Performance and Quality of Alfalfa in Yinbei Saline-Alkali Land. Master’s Thesis, Ningxia University, Ningxia, China, 2023. [Google Scholar]
  16. Zhang, Z. Feed Analysis and Feed Quality Testing Technology; China Agricultural University Press: Beijing, China, 2021. [Google Scholar]
  17. Shao, Y.; Chen, J.; Wang, L.; Hou, M.; Chen, D. Effects of fermented organic fertilizer application on soil N2O emission under the vegetable rotation in polyhouse. Environ. Res. 2021, 200, 111491. [Google Scholar] [CrossRef] [PubMed]
  18. Zhai, Y.; Zhu, Q.; Xiao, Y.; Chen, J.; Hou, M.; Zhu, L. N2O Emissions from Saline Soils in Response to Organic-Inorganic Fertilizer Application under Subsurface Drainage. Water 2023, 15, 3002. [Google Scholar] [CrossRef]
  19. Zhang, L.; Jiao, P.; Dong, Q. Effects of Spacing and Depth of Subsurface Drain on Water and Salt Transport in the Field. J. Irrig. Drain. 2023, 42, 92–101. [Google Scholar]
  20. Su, X.F. Effects of Organic Fertilizer and Cutting on the Yield and Quality of Alfalfa. Cao Xue 2018, 06, 60–64+71. (In Chinese) [Google Scholar]
  21. Pan, T.; Shichao, W.; Jin, X.; Gaoqian, J.; Lipu, H. Study on the Fertilization Effect of Subsurface Pipe Drainage and Okra Planting in Improving Coastal Saline Soil. J. Henan Agric. Sci. 2023, 52, 99–109. (In Chinese) [Google Scholar]
  22. Shao, G. Entropy weight coefficient evaluation of irrigation and drainage scheme based on analysis of quality and rain ingredients of tomat. J. Drain. Irrig. Mach. Enhineering 2012, 30, 733–736. [Google Scholar]
  23. Wang, X.-W.; Cai, H.; Liu, Y.-L.; Li, C.-L.; Wan, Y.-S.; Song, F.-P.; Chen, W.-F. Addition of organic fertilizer affects soil nitrogen availability in a salinized fluvo-aquic soil. Environ. Pollut. Bioavailab. 2019, 31, 331–338. [Google Scholar] [CrossRef]
  24. He, F.; Wang, G.; Wang, L.; Li, Z.; Tong, Z.; Wang, Y.; Li, X. Effects of Organic Base Fertilizer and Inorganic Topdressing on Alfalfa Productivity and the Soil Bacterial Community in Saline Soil of the Huanghe River Delta in China. Agronomy 2022, 12, 2811. [Google Scholar] [CrossRef]
  25. Colin, L.; Ruhnow, F.; Zhu, J.-K.; Zhao, C.; Zhao, Y.; Persson, S. The cell biology of pri mary cell walls during salt stress. Plant Cell 2023, 35, 201–217. [Google Scholar] [CrossRef] [PubMed]
  26. Kim, H.S.; Lee, J.H.; Kim, J.J.; Kim, C.H.; Jun, S.S.; Hong, Y.N. Molecular and functional characterization of CaLEA6, the gene for a hydrophobic LEA protein from Capsicum annuum. Gene 2005, 344, 115–123. [Google Scholar] [CrossRef] [PubMed]
  27. Wan, W.F.; Li, Y.J.; Li, H.G. Yield and quality of alfalfa (Medicago sativa L.) in response to fertilizer application in China: A meta-analysis. Front. Plant Sci. 2022, 13, 1051725. [Google Scholar] [CrossRef]
  28. Deng, P.-B.; Guo, L.-P.; Yang, H.-T.; Leng, X.-Y.; Wang, Y.-M.; Bi, J.; Shi, C.-F. Effect of an Organic Fertilizer of Ganoderma lucidum Residue on the Physical and Chemical Properties and Microbial Communities of Saline Alkaline Soil. Water 2023, 15, 962. [Google Scholar] [CrossRef]
Figure 1. Experimental site.
Figure 1. Experimental site.
Water 16 01144 g001
Figure 2. Precipitation during the experiment.
Figure 2. Precipitation during the experiment.
Water 16 01144 g002
Figure 3. The experimental block (a) and drainage pipe burying (b).
Figure 3. The experimental block (a) and drainage pipe burying (b).
Water 16 01144 g003
Figure 4. The effect of different drainage spacings and organic fertilizer application amounts on the yield of the first (a), second (b), and third (c) crops of alfalfa (S1, S2, S3, and CK represent drainage pipe spacings of 6 m, 12 m, 18 m, and no subsurface drainage; N1, N2, and N3 represent organic fertilizer application rates of 3000 kg/ha, 4500 kg/ha, and 6000 kg/ha. The values in the figure are the mean ± SD. Different letters (a, b, etc.) indicate significant differences at the 0.05 level according to Duncan’s range test).
Figure 4. The effect of different drainage spacings and organic fertilizer application amounts on the yield of the first (a), second (b), and third (c) crops of alfalfa (S1, S2, S3, and CK represent drainage pipe spacings of 6 m, 12 m, 18 m, and no subsurface drainage; N1, N2, and N3 represent organic fertilizer application rates of 3000 kg/ha, 4500 kg/ha, and 6000 kg/ha. The values in the figure are the mean ± SD. Different letters (a, b, etc.) indicate significant differences at the 0.05 level according to Duncan’s range test).
Water 16 01144 g004aWater 16 01144 g004b
Figure 5. The effect of different drainage spacings and organic fertilizer application amounts on the salinity in the soil profile ((a,d,g,j) are the measuring results at the first harvest. (b,e,h,k) are the measuring results at the second harvest. (c,f,i,l) are the measuring results at the third harvest. S1, S2, S3, and CK represent drainage pipe spacings of 6 m, 12 m, 18 m, and no subsurface drainage; N1, N2, and N3 represent organic fertilizer application rates of 3000 kg/ha, 4500 kg/ha, and 6000 kg/ha. The values in the figure are the mean ± SD).
Figure 5. The effect of different drainage spacings and organic fertilizer application amounts on the salinity in the soil profile ((a,d,g,j) are the measuring results at the first harvest. (b,e,h,k) are the measuring results at the second harvest. (c,f,i,l) are the measuring results at the third harvest. S1, S2, S3, and CK represent drainage pipe spacings of 6 m, 12 m, 18 m, and no subsurface drainage; N1, N2, and N3 represent organic fertilizer application rates of 3000 kg/ha, 4500 kg/ha, and 6000 kg/ha. The values in the figure are the mean ± SD).
Water 16 01144 g005aWater 16 01144 g005b
Table 1. Soil physical and chemical properties.
Table 1. Soil physical and chemical properties.
Soil Depth (cm)pHMoisture
(%)
Bulk Density (g/cm3)Organic Matter (g/kg)Total Nitrogen (g/kg)Total Salt (g/kg)Available
Nitrogen (mg/kg)
Available
Phosphorus (mg/kg)
Available
Potassium (mg/kg)
0–208.2522.81.449.230.591.6882.410.11193.2
20–408.4123.91.478.980.471.9271.29.74182.8
40–608.9223.81.568.320.422.2458.48.21171.4
60–809.0324.21.427.580.392.1740.67.12156.2
Table 2. Soil mechanical composition.
Table 2. Soil mechanical composition.
Soil Mechanical Composition (%)
Soil Depth/cm>0.05 mm0.05–0.01 mm0.01–0.005 mm0.005–0.001 mm<0.001 mm
0–2036.948.28.20.85.9
20–4032.252.38.72.24.6
40–6029.153.29.22.36.2
60–8044.246.13.22.24.3
Table 3. The effect of different drainage spacings and organic fertilizer application amounts on the quality of alfalfa.
Table 3. The effect of different drainage spacings and organic fertilizer application amounts on the quality of alfalfa.
DrainageFertilizationCrude Fat (%)Crude Protein (%)NDF (%)ADF (%)
S1N12.21 ± 0.05 a20.40 ± 0.82 d37.77 ± 0.57 bc29.73 ± 0.45 de
N22.28 ± 0.11 a20.90 ± 0.49 bcd37.77 ± 0.53 bc29.20 ± 0.78 ef
N32.26 ± 0.13 a21.20 ± 0.65 abcd36.67 ± 0.45 c28.10 ± 0.65 f
S2N12.32 ± 0.09 a20.80 ± 0.49 cd38.63 ± 0.37 ab31.20 ± 1.10 cd
N22.40 ± 0.12 a21.43 ± 0.53 abcd37.90 ± 0.82 bc30.10 ± 0.98 de
N32.37 ± 0.09 a22.73 ± 0.86 a37.60 ± 0.65 bc29.50 ± 0.65 ef
S3N12.32 ± 0.14 a20.80 ± 0.73 cd38.90 ± 1.06 ab32.13 ± 0.78 abc
N22.39 ± 0.07 a20.90 ± 0.42 bcd39.13 ± 0.86 ab31.70 ± 0.54 bc
N32.41 ± 0.09 a22.20 ± 0.49 abc38.20 ± 0.73 bc31.70 ± 1.23 bc
CKN12.42 ± 0.07 a21.13 ± 0.78 bcd40.27 ± 1.15 a33.40 ± 0.65 a
N22.38 ± 0.06 a21.80 ± 0.57 abcd39.23 ± 0.69 ab32.83 ±0.86 ab
N32.44 ± 0.09 a22.43 ± 0.69 ab38.90 ± 0.65 ab32.10 ± 0.33 abc
S*ns****
Fns***
S*Fnsnsnsns
Note: In the table, S1, S2, S3, and CK represent drainage pipe spacings of 6 m, 12 m, 18 m, and no subsurface drainage. N1, N2, and N3 represent organic fertilizer application rates of 3000 kg/ha, 4500 kg/ha, and 6000 kg/ha. S represents the subsurface drainage, F represents the fertilization, and S*F represents combined effects of drainage and fertilization. The values in the figure are the mean ± SD. Different letters (a, b, etc.) indicate significant differences at the 0.05 level according to Duncan’s range test. *, **, and ns indicate that the experimental treatment has a significant (at 0.05 level) effect, an extremely significant (at 0.01 level) effect, and no significant effect on the quality indicator, respectively.
Table 4. The effect of different drainage spacings and organic fertilizer application amounts on the soil chemical indicators.
Table 4. The effect of different drainage spacings and organic fertilizer application amounts on the soil chemical indicators.
DrainageFertilizationAvailable Nitrogen (mg/kg)C/N RatioTotal Nitrogen (g/kg)Organic Matter (g/kg)
S1N195.73 ± 5.03 e9.55 ± 0.29 a0.57 ± 0.03 g9.37 ± 0.20 cd
N2100.41 ± 5.28 de8.92 ± 0.21 bc0.62 ± 0.01 efg9.54 ± 0.35 abcd
N3109.15 ± 4.54 bcd8.67 ± 0.33 cd0.67 ± 0.03 cde10.05 ± 0.33 ab
S2N1103.31 ± 5.43 cde9.22 ± 0.26 ab0.59 ± 0.03 fg9.36 ± 0.20 d
N2109.03 ± 5.73 bcd8.58 ± 0.07 cde0.65 ± 0.02 e9.62 ± 0.32 abcd
N3111.81 ± 5.86 bc8.28 ± 0.28 def0.71 ± 0.04 bcd10.12 ± 0.24 a
S3N1107.09 ± 4.43 cd8.40 ± 0.16 def0.64 ± 0.02 ef9.31 ± 0.25 d
N2109.50 ± 5.75 bcd8.18 ± 0.02 ef0.67 ± 0.02 de9.45 ± 0.26 bcd
N3118.25 ± 1.84 ab7.64 ± 0.28 gh0.76 ± 0.04 ab10.00 ± 0.28 abc
CKN1110.19 ± 2.57 bcd8.04 ± 0.27 fg0.67 ± 0.03 de9.23 ± 0.18 d
N2118.49 ± 6.23 ab7.50 ± 0.26 h0.73 ± 0.04 abc9.43 ± 0.16 bcd
N3122.89 ± 6.46 a7.37 ± 0.11 h0.77 ± 0.03 a9.82 ± 0.31 abcd
S****ns
F*******
S*Fnsnsnsns
Note: S1, S2, S3, and CK represent drainage pipe spacing of 6 m, 12 m, 18 m, and no subsurface drainage; N1, N2, and N3 represent organic fertilizer application rates of 3000 kg/ha, 4500 kg/ha, and 6000 kg/ha. S represents the subsurface drainage, F represents the fertilization, and S*F represents combined effects of drainage and fertilization. The values in the figure are the mean ± SD. Different letters (a, b, etc.) indicate significant differences at the 0.05 level according to Duncan’s range test. *, **, and ns indicate that the experimental treatment has a significant (at 0.05 level) effect, an extremely significant (at 0.01 level) effect, and no significant effect on the soil indicator, respectively.
Disclaimer/Publisher’s Note: The statements, opinions and data contained in all publications are solely those of the individual author(s) and contributor(s) and not of MDPI and/or the editor(s). MDPI and/or the editor(s) disclaim responsibility for any injury to people or property resulting from any ideas, methods, instructions or products referred to in the content.

Share and Cite

MDPI and ACS Style

Zhang, S.; Wang, J.; Yang, Q.; Zhang, E.; Shaghaleh, H.; AlhajHamoud, Y.; Jin, Q. Effects of Subsurface Drainage Spacing and Organic Fertilizer Application on Alfalfa Yield, Quality, and Coastal Saline Soil. Water 2024, 16, 1144. https://doi.org/10.3390/w16081144

AMA Style

Zhang S, Wang J, Yang Q, Zhang E, Shaghaleh H, AlhajHamoud Y, Jin Q. Effects of Subsurface Drainage Spacing and Organic Fertilizer Application on Alfalfa Yield, Quality, and Coastal Saline Soil. Water. 2024; 16(8):1144. https://doi.org/10.3390/w16081144

Chicago/Turabian Style

Zhang, Shengwang, Jianwen Wang, Qian Yang, Erzi Zhang, Hiba Shaghaleh, Yousef AlhajHamoud, and Qiu Jin. 2024. "Effects of Subsurface Drainage Spacing and Organic Fertilizer Application on Alfalfa Yield, Quality, and Coastal Saline Soil" Water 16, no. 8: 1144. https://doi.org/10.3390/w16081144

APA Style

Zhang, S., Wang, J., Yang, Q., Zhang, E., Shaghaleh, H., AlhajHamoud, Y., & Jin, Q. (2024). Effects of Subsurface Drainage Spacing and Organic Fertilizer Application on Alfalfa Yield, Quality, and Coastal Saline Soil. Water, 16(8), 1144. https://doi.org/10.3390/w16081144

Note that from the first issue of 2016, this journal uses article numbers instead of page numbers. See further details here.

Article Metrics

Back to TopTop