Study on the Influence of Vegetation Restoration on Evapotranspiration in Mountainous Areas of the Luan River Basin
Abstract
1. Introduction
2. Study Area and Method
2.1. Study Area
2.2. Method and Data
2.2.1. Method
2.2.2. Data
3. Results
3.1. Evolutionary Pattern of Runoff in the Mountainous Area of Luan River Basin
3.2. Evolutionary Pattern of NDVI in the Mountainous Area of Luan River Basin
3.3. Evolutionary Pattern of ET in the Luan River Mountainous Area
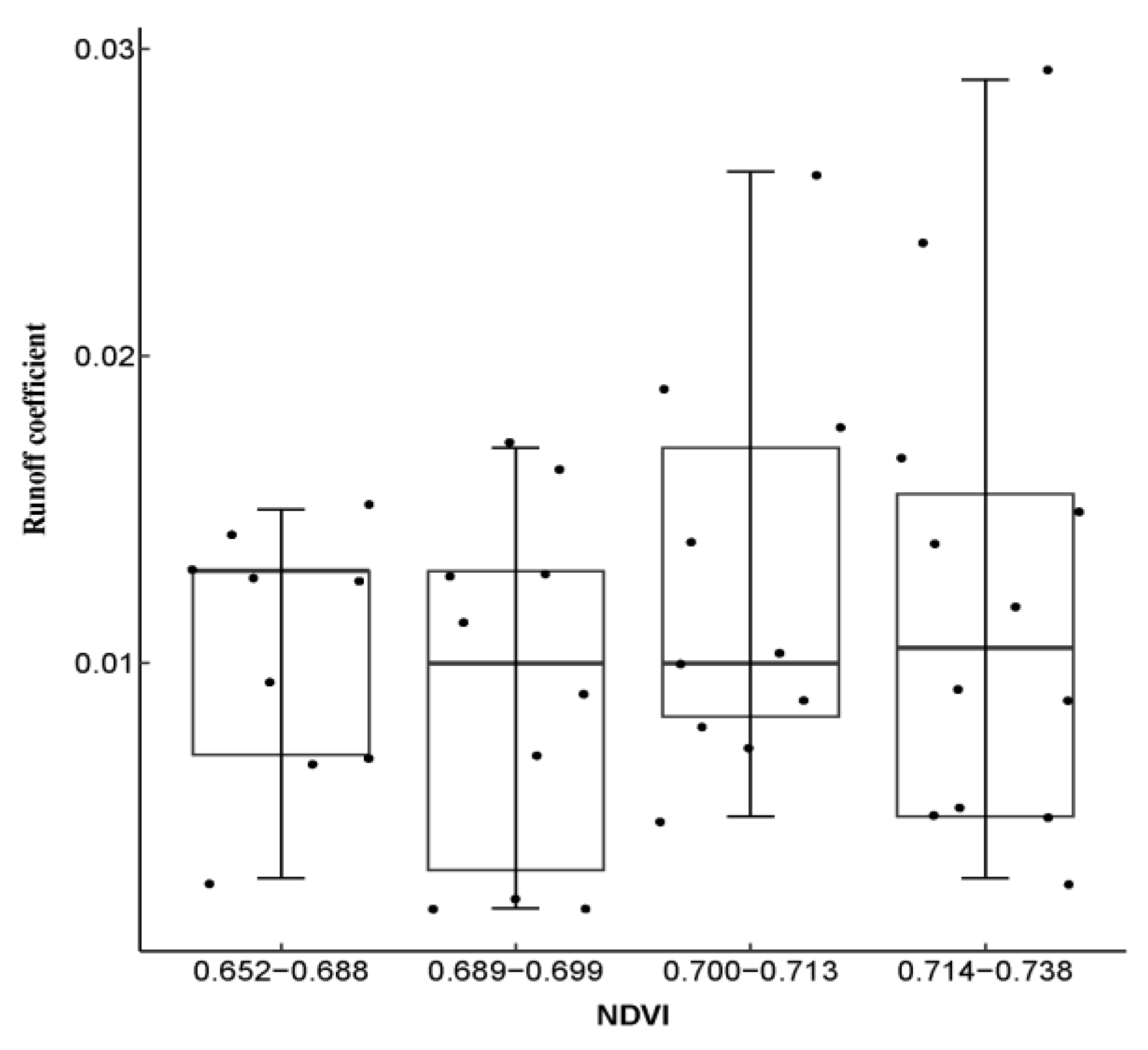
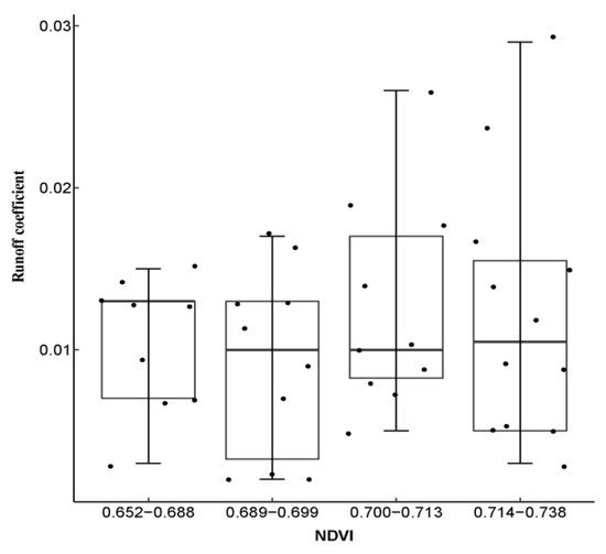
3.4. The Relationship between the NDVI and Runoff Coefficient
4. Discussion
5. Conclusions
Author Contributions
Funding
Data Availability Statement
Conflicts of Interest
References
- Zhong, Q.; Ma, J.; Zhao, B.; Wang, X.; Zong, J.; Xiao, X. Assessing Spatial-Temporal Dynamics of Urban Expansion, Vegetation Greenness and Photosynthesis in Megacity Shanghai, China during 2000–2016. Remote Sens. Environ. 2019, 233, 111374. [Google Scholar] [CrossRef]
- Feng, X.; Fu, B.; Zhang, Y.; Pan, N.; Zeng, Z.; Tian, H.; Lyu, Y.; Chen, Y.; Ciais, P.; Wang, Y. Recent Leveling off of Vegetation Greenness and Primary Production Reveals the Increasing Soil Water Limitations on the Greening Earth. Sci. Bull. 2021, 66, 1462–1471. [Google Scholar] [CrossRef]
- Lamchin, M.; Wang, S.W.; Lim, C.-H.; Ochir, A.; Pavel, U.; Gebru, B.M.; Choi, Y.; Jeon, S.W.; Lee, W.-K. Understanding Global Spatio-Temporal Trends and the Relationship between Vegetation Greenness and Climate Factors by Land Cover during 1982–2014. Glob. Ecol. Conserv. 2020, 24, e01299. [Google Scholar] [CrossRef]
- Deng, Y.; Wang, S.; Bai, X.; Luo, G.; Wu, L.; Chen, F.; Wang, J.; Li, C.; Yang, Y.; Hu, Z. Vegetation Greening Intensified Soil Drying in Some Semi-Arid and Arid Areas of the World. Agric. For. Meteorol. 2020, 292, 108103. [Google Scholar] [CrossRef]
- Zhang, X.; Cao, Q.; Chen, H.; Quan, Q.; Li, C.; Dong, J.; Chang, M.; Yan, S.; Liu, J. Effect of Vegetation Carryover and Climate Variability on the Seasonal Growth of Vegetation in the Upper and Middle Reaches of the Yellow River Basin. Remote Sens. 2022, 14, 5011. [Google Scholar] [CrossRef]
- Feng, X.; Fu, B.; Piao, S.; Wang, S.; Ciais, P.; Zeng, Z.; Lü, Y.; Zeng, Y.; Li, Y.; Jiang, X. Revegetation in China’s Loess Plateau Is Approaching Sustainable Water Resource Limits. Nat. Clim. Chang. 2016, 6, 1019–1022. [Google Scholar] [CrossRef]
- Du, Y.; Bao, A.; Zhang, T.; Ding, W. Quantifying the Impacts of Climate Change and Human Activities on Seasonal Runoff in the Yongding River Basin. Ecol. Indic. 2023, 154, 110839. [Google Scholar] [CrossRef]
- Yang, W.; Long, D.; Bai, P. Impacts of Future Land Cover and Climate Changes on Runoff in the Mostly Afforested River Basin in North China. J. Hydrol. 2019, 570, 201–219. [Google Scholar] [CrossRef]
- Geng, X.; Zhou, X.; Yin, G.; Hao, F.; Zhang, X.; Hao, Z.; Singh, V.P.; Fu, Y.H. Extended Growing Season Reduced River Runoff in Luanhe River Basin. J. Hydrol. 2020, 582, 124538. [Google Scholar] [CrossRef]
- Li, J. Evaluation of Soil and Water Conservation Function in Dingxi City, Upper Yellow River Basin. Water 2022, 14, 2919. [Google Scholar] [CrossRef]
- Wang, S.; Xu, C.; Zhang, W.; Chen, H.; Zhang, B. Human-Induced Water Loss from Closed Inland Lakes: Hydrological Simulations in China’s Daihai Lake. J. Hydrol. 2022, 607, 127552. [Google Scholar] [CrossRef]
- Ren, Z.; Tian, Z.; Wei, H.; Liu, Y.; Yu, Y. Spatiotemporal Evolution and Driving Mechanisms of Vegetation in the Yellow River Basin, China during 2000–2020. Ecol. Indic. 2022, 138, 108832. [Google Scholar] [CrossRef]
- Yi, H.; Wang, Y.; Lou, Y.; Han, X. Effects of Vegetation Restoration on the Hydrological Regimes of the Chinese Loess Plateau: A Comparative Analysis of Forested and Less-Forested Catchments. Forests 2023, 14, 1199. [Google Scholar] [CrossRef]
- Zhang, L.; Potter, N.; Hickel, K.Y.; Shao, Q. Water Balance Modeling over Variable Time Scales Based on the Budyko Framework-Model Development and Testing. J. Hydrol. 2008, 360, 117–131. [Google Scholar] [CrossRef]
- Jiang, C.; Guo, H.; Wei, Y.; Yang, Z.; Wang, X.; Wen, M.; Yang, L.; Zhao, L.; Zhang, H.; Zhou, P. Ecological Restoration Is Not Sufficient for Reconciling the Trade-off between Soil Retention and Water Yield: A Contrasting Study from Catchment Governance Perspective. Sci. Total Environ. 2021, 754, 142139. [Google Scholar] [CrossRef]
- Li, X.; Li, C.; Wang, X.; Liu, Q.; Yi, Y.; Zhang, X. A Developed Method of Water Pollution Control Based on Environmental Capacity and Environmental Flow in Luanhe River Basin. Water 2022, 14, 730. [Google Scholar] [CrossRef]
- Hayati, E.; Abdi, E.; Saravi, M.M.; Nieber, J.L.; Majnounian, B.; Chirico, G.B. How Deep Can Forest Vegetation Cover Extend Their Hydrological Reinforcing Contribution? Hydrol. Process. 2018, 32, 2570–2583. [Google Scholar] [CrossRef]
- Piao, S.; Wang, X.; Park, T. Characteristics, Drivers and Feedbacks of Global Greening. Nat. Rev. Earth Environ. 2020, 1, 14–27. [Google Scholar] [CrossRef]
- Li, L.; Song, X.; Zhao, X.; Meng, P.; Feng, D.; Fu, C.; Wang, L. Modeling the Impact of Climate Change and Vegetation Conversion on Water Budget: A Case Study in the Loess Plateau of China-ScienceDirect. J. Hydrol. Reg. Stud. 2022, 40, 101040. [Google Scholar] [CrossRef]
- Qiankun, G.; Zhaowei, D.; Wei, Q.; Wenhong, C.; Wen, L.; Xiaomei, X.; Zhe, Y. Changes in Sediment Load in a Typical Watershed in the Tableland and Gully Region of the Loess Plateau, China. Catena 2019, 182, 104132. [Google Scholar] [CrossRef]
- Liang, W.; Bai, D.; Wang, F.; Fu, B.; Yan, J.; Wang, S.; Yang, Y.; Long, D.; Feng, M. Quantifying the Impacts of Climate Change and Ecological Restoration on Streamflow Changes Based on a Budyko Hydrological Model in China’s Loess Plateau. Water Resour. Res. 2015, 51, 16589. [Google Scholar] [CrossRef]
- Jiao, Y.; Lei, H.M.; Yang, D.W. Attribution of discharge changes over Wuding River watershed using a distributed eco-hydrological model. J. Hydroelectr. Eng. 2017, 7, 34–44. (In Chinese) [Google Scholar]
- Zhang, B.Q.; Shao, R.; Zhao, X.N. Effects of Large-scale Vegetation Restoration on Eco-hydrological Processes Over the LoessPlateau, China. J. Basic Sci. Eng. 2020, 28, 594–606. (In Chinese) [Google Scholar]
- Mu, X.M.; Gu, C.J.; Sun, W. Preliminary Assessment Effect of Vegetation Restoration on Runoff Generation Pattern of the Loess Plateau. Yellow River 2019, 41, 31–39. (In Chinese) [Google Scholar]
- Han, K.W.; Shi, K.B.; Yan, X.J.; Ouyang, J.; Lei, P.; Hao, G.C. Comparison of Evaporation Estimation Methods for Water Surface under Floating Coverage in Arid Areas. Agric. Water Manag. 2022, 264, 107534. [Google Scholar] [CrossRef]
- Lu, B.; Lei, H.; Yang, D.; Fu, X. Separating the Effects of Revegetation and Sediment-Trapping Dams Construction on Runoff and Its Application to a Semi-Arid Watershed of the Loess Plateau. Ecol. Eng. 2020, 158, 106043. [Google Scholar] [CrossRef]
- Bao, Z.; Zhang, J.-Y.; Wang, G.; Chen, Q.; Guan, T.; Yan, X.; Liu, C.; Liu, J.; Wang, J. The Impact of Climate Variability and Land Use/Cover Change on the Water Balance in the Middle Yellow River Basin, China. J. Hydrol. 2019, 577, 123942. [Google Scholar] [CrossRef]
- Shao, S.; Yang, Y. Effects of Precipitation and Land Use/Cover Changes on the Spatio-Temporal Distribution of the Water Yield in the Huang-Huai-Hai Basin, China. Environ. Earth Sci. 2021, 80, 812. [Google Scholar] [CrossRef]
- Leuning, R.; Zhang, Y.Q.; Rajaud, A.; Cleugh, H.; Tu, K. A Simple Surface Conductance Model to Estimate Regional Evaporation Using MODIS Leaf Area Index and the Penman-Monteith Equation. Water Resour. Res. 2008, 44, 652–655. [Google Scholar] [CrossRef]
- Monteith, J.L. Evaporation and environment. The state and movement of water in living organisms. Symp. Soc. Exp. Biol. 1964, 19, 205–234. [Google Scholar]
- Duan, H.; Zhao, H.; Li, Q.; Xu, H.; Han, C. Estimation of Evapotranspiration Based on a Modified Penman–Monteith–Leuning Model Using Surface and Root Watershed Soil Moisture. Water 2023, 15, 1418. [Google Scholar] [CrossRef]
- Zhang, Y.Q.; Leuning, R.; Hutley, L.B.; Beringer, J.; Walker, J.P. Using Long-Term Water Balances to Parameterize Surface Conductances and Calculate Evaporation at 0.05° Spatial Resolution. Water Resour. Res. 2010, 46, 5512. [Google Scholar] [CrossRef]
- Mankin, J.S.; Seager, R.; Smerdon, J.E.; Cook, B.I.; Williams, A.P. Mid-Latitude Freshwater Availability Reduced by Projected Vegetation Responses to Climate Change. Nat. Geosci. 2019, 12, 983–988. [Google Scholar] [CrossRef]
- Wang, Q.; Jiang, S.; Zhai, J.; He, G.; Zhao, Y.; Zhu, Y.; He, X.; Li, H.; Wang, L.; He, F.; et al. Effects of Vegetation Restoration on Evapotranspiration Water Consumption in Mountainous Areas and Assessment of Its Remaining Restoration Space. J. Hydrol. 2022, 605, 127259. [Google Scholar]
- Zhang, T.; Wang, L.; Li, J.; Feng, P. Prediction of the Soil Water Content in the Luanhe River Basin Based on CMIP6. J. Clean. Prod. 2023, 425, 138852. [Google Scholar] [CrossRef]










Disclaimer/Publisher’s Note: The statements, opinions and data contained in all publications are solely those of the individual author(s) and contributor(s) and not of MDPI and/or the editor(s). MDPI and/or the editor(s) disclaim responsibility for any injury to people or property resulting from any ideas, methods, instructions or products referred to in the content. |
© 2024 by the authors. Licensee MDPI, Basel, Switzerland. This article is an open access article distributed under the terms and conditions of the Creative Commons Attribution (CC BY) license (https://creativecommons.org/licenses/by/4.0/).
Share and Cite
Zhang, Z.; Wang, L.; Dou, P.; Wang, Q.; Cao, J. Study on the Influence of Vegetation Restoration on Evapotranspiration in Mountainous Areas of the Luan River Basin. Water 2024, 16, 1143. https://doi.org/10.3390/w16081143
Zhang Z, Wang L, Dou P, Wang Q, Cao J. Study on the Influence of Vegetation Restoration on Evapotranspiration in Mountainous Areas of the Luan River Basin. Water. 2024; 16(8):1143. https://doi.org/10.3390/w16081143
Chicago/Turabian StyleZhang, Ziyuan, Lichao Wang, Peng Dou, Qingming Wang, and Jiansheng Cao. 2024. "Study on the Influence of Vegetation Restoration on Evapotranspiration in Mountainous Areas of the Luan River Basin" Water 16, no. 8: 1143. https://doi.org/10.3390/w16081143
APA StyleZhang, Z., Wang, L., Dou, P., Wang, Q., & Cao, J. (2024). Study on the Influence of Vegetation Restoration on Evapotranspiration in Mountainous Areas of the Luan River Basin. Water, 16(8), 1143. https://doi.org/10.3390/w16081143
