Study of the River Discharge Alteration
Abstract
1. Introduction
2. Materials and Methods
2.1. Study Area
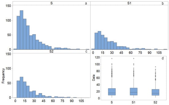
2.2. Data Series
2.3. The Study Stages
- Perform the statistical analysis to determine if there are common futures (trend or stationary) of S, S1, and S2. This includes the following:
- We rest the null hypothesis that there is no trend in the data series against the alternative of a monotonic trend existence using the Mann–Kendall (MK) [46] and seasonal Mann–Kendall (SMK) trend test [47]. Since there are n seasons, with m observations each, the null hypothesis in SMK is that observations are independent and identically distributed, and the alternative is that a monotonic trend is presented in the data series. First, a test statistic similar to the MK test’s is built for each season. Then, the MK statistic for the seasonal test is obtained by summing the n statistics. The decision is made to reject the null as in the MK test [48]. When the null hypothesis is rejected, the trend is determined by the non-parametric Sen’s method [49] as the median of the slopes of all of the pairs of ordinal time points.
- We test the series stationarity by following the KPSS [50] procedure. The null hypothesis is the series level or trend stationarity; the alternative is its non-stationarity. Testing this hypothesis is important for building forecast models for the studied series.
- Assess the existence of the different behaviors of the studied series on subintervals and emphasize their scaling characteristics through the multifractal analysis [51,52].It was shown [47,48] that if a time series exhibits scaling properties, its behavior can be expressed in an exponential form (1), with the mass exponent , which can be estimated by fitting a linear regression of log vs. logλ (λ > 0) [53]. So,where is the partition function, whose values can be computed by covering the series chart with a certain number of boxes of size and summing up the probabilities of the appearance of a gray value in a box [54].The multifractality can also be assessed by computing Renyi’s dimension, D(q) [55], whose relationship with is [56] as follows:The series presents multifractality if D(q) decreases when q increases. When D(q) has a constant value (equal to D(0)), the series is monofractal.An alternative way to characterize the multifractality is by using the f(α) spectrum, which is defined by the equationand can be computed by using a Legendre transform of in the following form:where is the Hölder exponent [57].In the multifractality case, the f(α)’s chart shape is single-humped.The steps in the MFDFA are [53] as follows:
- Compute the series cumulative sum, F.
- Split F into Ns subseries (each containing s values).
- Apply the least squared method for fitting an n-th order polynomial.
- Build the detrended F series by subtracting the polynomial values from the subseries’ values.
- Build the fluctuation function, Fq, by taking the q-th root of the mean of the square functions from the previous stage.
- Fit the function ~, with h(q) as the generalized Hurst exponent.
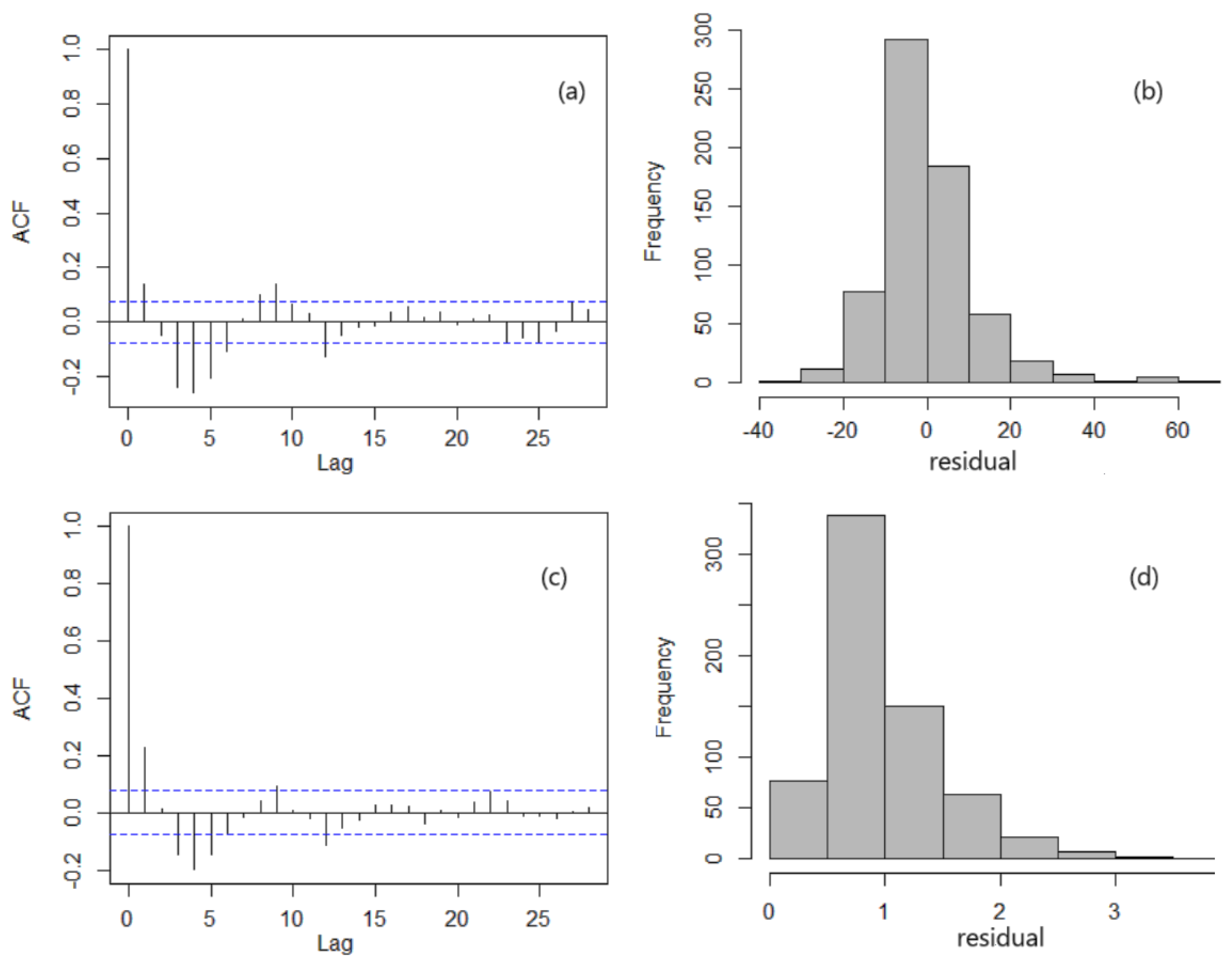
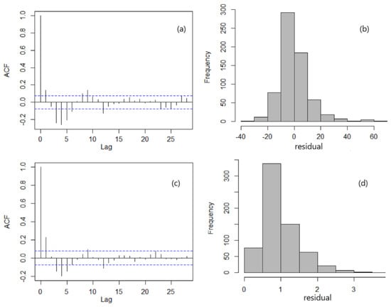
- Perform the time series decomposition to analyze the changes in the seasonality factors before and after the dam’s inauguration.The series () is decomposed into a trend (), seasonality (), and random noise component () using an additive model or multiplicative model. The best model is selected based on the smallest mean standard error (MSE), mean absolute error (MAE), or mean absolute percentage error (MAPE). So, the additive decomposition model—ADM (the multiplicative decomposition model—MDM)—will be calculated as follows:In this approach, the trend is computed by a moving average of the 12th order, and then, the deseasonalized series () is determined. The row seasonality indices are computed as averages of the values of each month. These final seasonality indices are calculated by adjusting the raw ones to add up to zero. The random component (residual) is the difference between the detrended series and the series obtained by replicating the 12 seasonality indexes for each year.In the case of the MDM, the deseasonalized series is computed by . The seasonality indices are obtained similarly to the ADM case, and the residual is obtained by dividing the deseasonalized series by the seasonality indices [58].
- Perform EMD to determine the short and long-term variations in S1 and S2 and detect the differences in their patterns.EMD is an adaptive data analysis technique of non-linear and non-stationary time series aiming to decompose the series into a collection of oscillatory components called IMFs [59,60]. The importance of this technique is given by the following characteristics [60,61,62]:
- Adaptability and Flexibility: Unlike other decomposition methods, which often impose predetermined basis functions (like sine and cosine functions in Fourier analysis), EMD does not rely on any a priori basis. This means it can adapt to the nature of the data and make the decomposition more accurate and meaningful.
- Local Characterization: EMD provides a local representation of data. Each IMF captures oscillations occurring over a specific time scale, crucial in analyzing data where different periodic components might overlap or where transient features (like spikes or dips) are of interest.
- Versatility: While initially developed for time series analysis, EMD has shown remarkable performance in various fields, including climatology, biomedical signal analysis, and financial market research.
- Handling Non-Linearity and Non-Stationarity: Most traditional methods fail or require stringent preprocessing when dealing with non-linear or non-stationary data. EMD is inherently suited for such data types, providing a robust decomposition even in challenging conditions.
- (a)
- Initialization: with the entire dataset, data(t), as the input, identify the sets of local maxima and minima and denote them by Max(t) and Min(t), respectively.
- (b)
- Building the envelope through interpolation:
- Use a cubic spline interpolation or any suitable method to generate the upper envelope by connecting all of the Max(t) points.
- Similarly, connect all of the Min(t) points to create the lower envelope.
- (c)
- Compute the mean envelope, m(t), by using the following equation:m(t) = (upper envelope + lower envelope)/2.
- (d)
- Extract the detail, h(t), by using the following equation:h(t) = data(t) − m(t).
- (e)
- Verify the Intrinsic Mode Function (IMF) criteria:
- Check if h(t) is an IMF, that is, by the following:
- ✓
- The number of extrema and zero-crossings must be equal or differ at most by one.
- ✓
- For any t, the mean value of the envelope defined by the local maxima (minima, respectively) is null.
- If h(t) is an IMF, go to (f); otherwise repeat the procedure from (b) using h(t) as input.
- (f)
- Perform iterations and compute the residual:
- For an identified IMF, h(t), subtract it from the original data and rename the resultant as the new data.
- Continue the new data-sifting process, extracting further IMFs.
- Continue the iteration until the residue becomes monotonic, showing no more IMFs can be extracted.
- (g)
- Compile the results:
- Collate all extracted IMFs.
- Record the final residue left after all possible IMFs have been derived. It should be a monotonic function.
3. Results
3.1. Results of Statistical Analysis, Multifractal Analysis and Series Decomposition
3.2. Cross-Validation of the Results Using EMD
- -
- In all cases, the amplitudes of the IMFs of S1 are higher than those of S2.
- -
- IMF1 reveals high-frequency oscillations, highlighting probable monthly anomalies. Unequal variances in different periods are also recorded, emphasizing inhomogeneities in the data series. At the end of the study period (after 2005), a decreasing amplitude of oscillations is observed.
- -
- IMF2 and IMF3 predominantly illustrate seasonal cycles, hinting at the spring snowmelt and autumnal rain, aligning with the temperate–continental climate attributes. IMF3 for S2 is almost uniformly distributed, with low variations in the amplitudes with respect to IMF3, whose chart presents more accentuated variations in subperiods.
- -
- IMF4–IMF6 are tied to longer temporal scales, suggesting multiyear, possibly decadal trends. These could be attributed to broader climatic shifts, land-use changes, or long-term anthropogenic impacts on the river basin. We can observe different shapes of IMFS 5 and 6 for S1 and S2, suggesting a different distribution of the subsequent series.
- -
- In both cases, residuals have values close to zero (order 10−15), indicating good decomposition.
4. Discussion
- —flow in month i +1;
- —average flow in month k + 1;
- —gradient of line between the flow in month j + 1 and the flow in month j;
- —flow in month i;
- —average of flows in month k;
- —normal random function;
- —standard deviation for flows in month k + 1;
- —correlation coefficient between flows of months k and k + 1.
5. Conclusions
Author Contributions
Funding
Data Availability Statement
Conflicts of Interest
References
- Li, S.-L.; Zhang, H.; Yi, Y.; Zhang, Y.; Qi, Y.; Mostofa, K.M.G.; Guo, L.; He, D.; Fu, P.; Liu, C.-Q. Potential impacts of climate and anthropogenic-induced changes on DOM dynamics among the major Chinese rivers. Geogr. Sustain. 2023, 4, 329–339. [Google Scholar] [CrossRef]
- Hoque, M.M.; Islam, A.; Ghosh, S. Environmental flow in the context of dams and development with special reference to the Damodar Valley Project, India: A review. Sustain. Water Resour. Manag. 2022, 8, 62. [Google Scholar] [CrossRef] [PubMed]
- Habel, M.; Nowak, B.; Szadek, P. Evaluating indicators of hydrologic alteration to demonstrate the impact of open-pit lignite mining on the flow regimes of small and medium-sized rivers. Ecol. Ind. 2023, 157, 111295. [Google Scholar] [CrossRef]
- Mei, X.; Van Gelder, P.H.A.J.M.; Dai, Z.; Tang, Z. Impact of dams on flood occurrence of selected rivers in the United States. Front. Earth Sci. 2007, 11, 268–282. [Google Scholar] [CrossRef]
- Soomro, S.; Guo, J.; Shi, X.; Ke, S.; Li, Y.; Hu, C.; Zwain, H.M.; Gu, J.; Chunyun, Z.; Li, A.; et al. Climate Change Critique on Dams and Anthropogenic Impact to Mediterranean Mountains for Freshwater Ecosystem—A Review. Pol. J. Environ. Stud. 2023, 32, 2981–2992. [Google Scholar] [CrossRef]
- Słowik, M.; Kiss, K.; Czigány, S.; Gradwohl-Valkay, A.; Dezső, J.; Halmai, A.; Tritt, R.; Pirkhoffer, E. The influence of changes in flow regime caused by dam closure on channel planform evolution: Insights from flume experiments. Environ. Earth. Sci. 2021, 80, 165. [Google Scholar] [CrossRef]
- Castello, L.; Mceda, L.M. Large-scale degradation of Amazonian freshwater ecosystems. Glob. Change Biol. 2016, 22, 990–1007. [Google Scholar] [CrossRef]
- Gao, B.; Li, J.; Wang, X. Analyzing Changes in the Flow Regime of the Yangtze River Using the Eco-Flow Metrics and IHA Metrics. Water 2018, 10, 1552. [Google Scholar] [CrossRef]
- Kondolf, G.M.; Rubin, Z.K.; Minear, J.T. Dams on the Mekong: Cumulative sediment starvation. Water Resour. Res. 2014, 50, 5158–5169. [Google Scholar] [CrossRef]
- Li, D.L.; Long, D.; Zhao, J.; Lu, H.; Hong, Y. Observed changes in flow regimes in the Mekong River basin. J. Hydrol. 2017, 551, 217–232. [Google Scholar] [CrossRef]
- Ward, P.J.; de Ruiter, M.C.; Mård, J.; Schröter, K.; Van Loon, A.; Veldkamp, T.; von Uexkull, N.; Wanders, N.; AghaKouchak, A.; Arnbjerg-Nielsen, K.; et al. The need to integrate flood and drought disaster risk reduction strategies. Water Secur. 2020, 11, 100070. [Google Scholar] [CrossRef]
- Deitch, M.J.; Merenlender, A.M.; Feirer, S. Cumulative effects of small reservoirs on streamflow in northern coastal California catchments. Water Resour. Manag. 2013, 27, 5101–5118. [Google Scholar] [CrossRef]
- Habets, F.; Molénat, J.; Carluer, N.; Douez, O.; Leenhardt, D. The cumulative impacts of small reservoirs on hydrology: A review. Sci. Total Environ. 2018, 643, 850–867. [Google Scholar] [CrossRef] [PubMed]
- Mayor, B.; Rodríguez-Muñoz, I.; Villarroya, F.; Montero, E.; López-Gunn, E. The Role of Large and Small Scale Hydropower for Energy and Water Security in the Spanish Duero Basin. Sustainability 2017, 9, 1807. [Google Scholar] [CrossRef]
- Wang, Y.; Wang, D.; Lewis, Q.W.; Wu, J.; Huang, F. A framework to assess the cumulative impacts of dams on hydrological regime: A case study of the Yangtze river. Hydrol. Process. 2017, 31, 3045–3055. [Google Scholar] [CrossRef]
- Zhang, X.; Fang, C.; Wang, Y.; Lou, X.; Su, Y.; Huang, D. Review of Effects of Dam Construction on the Ecosystems of River Estuary and Nearby Marine Areas. Sustainability 2022, 14, 5974. [Google Scholar] [CrossRef]
- Dang, T.D.; Cochrane, T.A.; Arias, M.E.; Van, P.D.T.; de Vries, T.T. Hydrological alterations from water infrastructure development in the Mekong floodplains. Hydrol. Process. 2016, 30, 3824–3838. [Google Scholar] [CrossRef]
- Ekka, A.; Pande, S.; Jiang, Y.; der Zaag, P.V. Anthropogenic Modifications and River Ecosystem Services: A Landscape Perspective. Water 2020, 12, 2706. [Google Scholar] [CrossRef]
- Elesbon, A.A.A.; da Silva, D.D.; Sediyama, G.S.; Guedes, H.A.S.; Ribeiro, C.A.A.S.; Ribeiro, C.B.d.M. Multivariate statistical analysis to support the minimum streamflow regionalization. Eng. Agríc. 2015, 35, 838–851. [Google Scholar] [CrossRef]
- Bărbulescu, A.; Maftei, C. Statistical approach of the behavior of Hamcearca River (Romania). Rom. Rep. Phys. 2021, 73, 703. [Google Scholar]
- Bărbulescu, A.; Maftei, C.E. Evaluating of the Probable Maximum Precipitation. Case study from the Dobrogea region, Romania. Rom. Rep. Phys. 2023, 75, 704. [Google Scholar] [CrossRef]
- Bărbulescu, A.; Dumitriu, C.S.; Maftei, C. On the Probable Maximum Precipitation Method. Rom. J. Phys. 2022, 67, 801. [Google Scholar]
- Gürsoy, Ö.; Engin, S.N. A wavelet neural network approach to predict daily river discharge using meteorological data. Meas. Control 2019, 52, 599–607. [Google Scholar] [CrossRef]
- Tang, D.; Jin, X.; Chen, W.; Pu, N. A combined rotated general regression neural network method for river flow forecasting. Hydrol. Sci. J. 2016, 61, 669–682. [Google Scholar]
- Chakraborty, S.; Biswas, S. River discharge prediction using wavelet-based artificial neural network and long short-term memory models: A case study of Teesta River Basin, India. Stoch. Environ. Res. Risk A 2023, 37, 3163–3184. [Google Scholar] [CrossRef]
- Mehedi, M.A.A.; Khosravi, M.; Yazdan, M.M.S.; Shabanian, H. Exploring Temporal Dynamics of River Discharge Using Univariate Long Short-Term Memory (LSTM) Recurrent Neural Network at East Branch of Delaware River. Hydrology 2022, 9, 202. [Google Scholar] [CrossRef]
- Essam, Y.; Huang, Y.F.; Ng, J.L.; El-Safie, A. Predicting streamflow in Peninsular Malaysia using support vector machine and deep learning algorithms. Sci. Rep. 2022, 12, 3883. [Google Scholar] [CrossRef] [PubMed]
- Bărbulescu, A.; Dumitriu, C.S.; Dragomir, F.-L. Detecting Aberrant Values and Their Influence on the Time Series Forecast. In Proceedings of the 2021 International Conference on Electrical, Computer, Communications and Mechatronics Engineering (ICECCME), Mauritius, 7–8 October 2021; pp. 1–5. [Google Scholar]
- Popescu, N.C.; Bărbulescu, A. On the flash flood susceptibility and accessibility in the Vărbilău catchment (Romania). Rom. J. Phys. 2022, 67, 811. [Google Scholar]
- Conservation GATEWAY. Available online: https://www.conservationgateway.org/ConservationPractices/Freshwater/EnvironmentalFlows/MethodsandTools/IndicatorsofHydrologicAlteration/Pages/IHA-Software-Download.aspx (accessed on 12 December 2013).
- Barbalić, D.; Kuspilić, N. Trends of indicators of hydrological alterations. Građevinar 2014, 66, 613–624. [Google Scholar]
- Macnaughton, C.J.; Mclaughlin, F.; Bourque, G.; Senay, C.; Lanthier, G. The effects of regional hydrologicalteration on fish community structure in regulated rivers. River Res. Appl. 2017, 33, 249–257. [Google Scholar] [CrossRef]
- Eum, H.I.; Dibike, Y.; Prowse, T. Climate-induced alteration of hydrologic indicators in the Athabasca River Basin, Alberta, Canada. J. Hydrol. 2017, 544, 327–342. [Google Scholar] [CrossRef]
- Lin, K.; Lin, Y.; Xu, Y.; Chen, X.; Chen, L.; Singh, V. Inter- and intraannual environmental fow alteration and its implication in the Pearl River Delta South China. J. Hydro-Environ. Res. 2017, 15, 27–40. [Google Scholar] [CrossRef]
- Ge, J.; Peng, W.; Huang, W.; Qu, X.; Singh, S. Quantitative assessment of fow regime alteration using a revised range of variability methods. Water 2018, 10, 597. [Google Scholar] [CrossRef]
- Kumar, A.; Tripathi, V.K.; Kumar, P.; Rakshit, A. Assessment of hydrologic impact on fow regime due to dam inception using IHA framework. Environ. Sci. Pollut. Res. 2023, 30, 37821–37844. [Google Scholar] [CrossRef]
- Olden, J.D.; Poff, N.L. Redundancy and the choice of hydrologic indices for characterizing streamflow regimes. River Res. Appl. 2003, 19, 101–121. [Google Scholar] [CrossRef]
- Minea, G.; Bărbulescu, A. Statistical assessing of hydrological alteration of Buzău River induced by Siriu dam (Romania). Forum Geogr. 2014, 13, 50–58. [Google Scholar] [CrossRef]
- Mocanu-Vargancsik, C.A.; Bărbulescu, A. On the variability of a river water flow, under seasonal conditions. Case study. IOP Conf. Ser. Earth Environ. Sci. 2019, 344, 012028. [Google Scholar] [CrossRef]
- Bărbulescu, A. Statistical Assessment and Model for a River Flow under Variable Conditions. In Proceedings of the 15th International Conference on Environmental Science and Technology, Rhodes, Greece, 31 August–2 September 2017; Available online: https://cest2017.gnest.org/sites/default/files/presentation_file_list/cest2017_00715_poster_paper.pdf (accessed on 21 February 2024).
- Chendeş, V. Water Resources in Curvature Subcarpathians. Geospatial Assessments; Editura Academiei Române: Bucureşti, Romania, 2011; (In Romanian with English abstract). [Google Scholar]
- The Arrangement of the Buzău River. Available online: https://www.hidroconstructia.com/dyn/2pub/proiecte_det.php?id=110&pg=1 (accessed on 30 November 2023). (In Romanian).
- Updated management plan of the buzău-ialomiţa hydrographic area. Available online: http://buzau-ialomita.rowater.ro/wp-content/uploads/2021/02/PMB_ABABI_Text_actualizat.pdf (accessed on 16 December 2023). (In Romanian).
- Diaconu, D. Water Resources from of the Buzău River Catchment; Editura Universitară: Bucureşti, Romania, 2008. (In Romanian) [Google Scholar]
- Minea, S.I. The Rivers from Buzău River Catchment. Hydrographical and Hydrological Constructions; Editura Alpha MDN: Buzău, Romania, 2011. (In Romanian) [Google Scholar]
- Kendall, M.G. Rank Correlation Methods, 4th ed.; Charles Griffin: London, UK, 1975. [Google Scholar]
- Hirsch, R.M.; Slack, J.R.; Smith, R.A. Techniques of trend analysis for monthly water quality data. Water Resour. Res. 1982, 18, 107–121. [Google Scholar] [CrossRef]
- Hippel, K.; McLeod, A.I. Time Series Modelling of Water Resources and Environmental Systems; Elsevier Science B.V.: Amsterdam, The Netherlands, 1994. [Google Scholar]
- Sen, P.K. Estimates of the Regression Coefficient Based on Kendall’s Tau. J. Am. Stat. Assoc. 1969, 63, 1379–1389. [Google Scholar] [CrossRef]
- Kwiatkowski, D.; Phillips, P.C.B.; Schmidt, P.; Shin, Y. Testing the null hypothesis of stationarity against the alternative of a unit root. J. Econ. 1992, 54, 159–178. [Google Scholar] [CrossRef]
- Bărbulescu, A.; Dumitriu, C.S. Fractal characterization of brass corrosion in cavitation field in seawater. Sustainability 2023, 15, 3816. [Google Scholar] [CrossRef]
- Bărbulescu, A.; Dumitriu, C.S. Assessing the Fractal Characteristics of Signals in Ultrasound Cavitation. In Proceedings of the 25th International Conference on System Theory, Control and Computing (ICSTCC 2021), Iasi, Romania, 20–23 October 2021. [Google Scholar] [CrossRef]
- Kantelhardt, J.W.; Zschiegner, S.A.; Koscielny-Bunde, E.; Havlin, S.; Bunde, A.; Stanley, H. Multifractal detrended fluctuation analysis of nonstationary time series. Phys. A Stat. Mech. Its Appl. 2002, 316, 87–114. [Google Scholar] [CrossRef]
- Ferraris, L.; Gabellani, S.; Parodi, U.; Rebora, N. Revisiting Multifractality in Rainfall Fields. J. Hydrometeorol. 2003, 4, 544–551. [Google Scholar] [CrossRef]
- Renyi, A. On a new axiomatic theory of probability. Acta Math. Hung. 1955, 6, 285–335. [Google Scholar] [CrossRef]
- Hentschel, H.G.E.; Procaccia, I. The infinite number of generalized dimensions of fractals and strange attractors. Phys. D 1983, 8, 435–444. [Google Scholar] [CrossRef]
- Halsey, T.; Jensen, M.; Kadanoff, L.; Procaccia, I.; Shraiman, B.I. Fractal measures and their singularities: The characterization of strange sets. Phys. Rev. A 1986, 33, 1141–1151. [Google Scholar] [CrossRef] [PubMed]
- Classical Decomposition. Available online: https://otexts.com/fpp2/classical-decomposition.html (accessed on 2 September 2023).
- Huang, N.E.; Shen, Z.; Long, S.R.; Wu, M.C.; Shih, H.H.; Zheng, Q.; Yen, N.-C.; Tung, C.C.; Liu, H.H. The empirical mode decomposition and the Hilbert spectrum for nonlinear and non-stationary time series analysis. Proc. R. Soc. Lond. A 1998, 454, 903–995. [Google Scholar] [CrossRef]
- Huang, N.E.; Wu, M.C.S.; Long, R.; Shen, S.; Qu, W.; Gloerson, P.; Fan, K.L. A Confidence Limit for the Empirical Mode Decomposition and Hilbert Spectral Analysis. Proc. R. Soc. Lond. A 2003, 31, 417–457. [Google Scholar] [CrossRef]
- Rilling, G.; Flandrin, P.; Goncalves, P. On empirical mode decomposition and its algorithms. In Proceedings of the 6th IEEE/EURASIP Workshop on Nonlinear Signal and Image Processing (NSIP ’03), Grado, Italy, 8–11 June 2003. [Google Scholar]
- Flandrin, P. Empirical mode decompositions as data-driven wavelet like expansions. Int. J. Wavelets Multires. Infor. Proc. 2004, 2, 1–20. [Google Scholar] [CrossRef]
- Zhang, Z.; Huang, J.; Huang, Y.; Hong, H. Streamflow variability response to climate change and cascade dams development in a coastal watershed. Estuar. Coast. Shelf Sci. 2015, 166, 209–217. [Google Scholar] [CrossRef]














| Series | MK | SMK | KPSS Trend | KPSS Level |
|---|---|---|---|---|
| S | 0.2851 | 0.2850 | 0.0571 | 0.1000 |
| S1 | 0.0290 (0.0139 *) | 0.0289 (0.0139 *) | 0.0891 | 0.1000 |
| S2 | 0.0000 (0.0311 *) | 0.0000 (0.0311 *) | 0.1000 | 0.6550 |
| Index | January | February | March | April | May | June | July | August | September | October | November | December |
|---|---|---|---|---|---|---|---|---|---|---|---|---|
| ADM | −10.7800 | −8.3037 | 3.4178 | 23.5093 | 15.5835 | 7.7747 | 4.6647 | −3.2790 | −6.2985 | −8.6096 | −8.8271 | −8.8521 |
| MDM | 0.4986 | 0.6410 | 1.2014 | 2.1329 | 1.6923 | 1.3937 | 1.1742 | 0.834 | 0.6874 | 0.5811 | 0.5816 | 0.5820 |
| Series | January | February | March | April | May | June | July | August | September | October | November | December |
|---|---|---|---|---|---|---|---|---|---|---|---|---|
| S1 | 0.4751 | 0.6289 | 1.1361 | 2.1553 | 1.7975 | 1.3180 | 1.2582 | 0.8205 | 0.6734 | 0.5467 | 0.5985 | 0.5918 |
| S2 | 0.5380 | 0.6739 | 1.3000 | 2.1215 | 1.5102 | 1.4778 | 1.0937 | 0.7758 | 0.7134 | 0.6280 | 0.5785 | 0.5893 |
Disclaimer/Publisher’s Note: The statements, opinions and data contained in all publications are solely those of the individual author(s) and contributor(s) and not of MDPI and/or the editor(s). MDPI and/or the editor(s) disclaim responsibility for any injury to people or property resulting from any ideas, methods, instructions or products referred to in the content. |
© 2024 by the authors. Licensee MDPI, Basel, Switzerland. This article is an open access article distributed under the terms and conditions of the Creative Commons Attribution (CC BY) license (https://creativecommons.org/licenses/by/4.0/).
Share and Cite
Bărbulescu, A.; Mohammed, N. Study of the River Discharge Alteration. Water 2024, 16, 808. https://doi.org/10.3390/w16060808
Bărbulescu A, Mohammed N. Study of the River Discharge Alteration. Water. 2024; 16(6):808. https://doi.org/10.3390/w16060808
Chicago/Turabian StyleBărbulescu, Alina, and Nayeemuddin Mohammed. 2024. "Study of the River Discharge Alteration" Water 16, no. 6: 808. https://doi.org/10.3390/w16060808
APA StyleBărbulescu, A., & Mohammed, N. (2024). Study of the River Discharge Alteration. Water, 16(6), 808. https://doi.org/10.3390/w16060808

