Next Article in Journal
Development of Daily Flow Expansion Regression and Web GIS-Based Pollutant Load Evaluation System
Previous Article in Journal
Three Decades of Groundwater Drought Research: Evolution and Trends
 
 
Font Type:
Arial Georgia Verdana
Font Size:
Aa Aa Aa
Line Spacing:
Column Width:
Background:
Article

An Integrated Approach for the Climate Change Impact Assessment on the Water Resources in the Sangu River Basin, Bangladesh, under Coupled-Model Inter-Comparison Project Phase 5

1
International Centre for Water Hazard and Risk Management, Public Work Research Institute, Tsukuba 305-8516, Japan
2
National Graduate Institute for Policy Studies, Ropponghi, Minato-ku, Tokyo 106-8677, Japan
*
Author to whom correspondence should be addressed.
Current address: Bangladesh Water Development Board, 72 Green Road, Dhaka 1215, Bangladesh.
Water 2024, 16(5), 745; https://doi.org/10.3390/w16050745
Submission received: 29 January 2024 / Revised: 27 February 2024 / Accepted: 27 February 2024 / Published: 29 February 2024
(This article belongs to the Section Water and Climate Change)

Abstract

The Sangu River basin significantly contributes to national economy significantly; however, exposures to water-related hazards are frequent. As it is expected that water-related disasters will increase manifold in the future due to global warming, the Government of Bangladesh has formulated the Bangladesh Delta Plan 2100 (BDP-2100) to enhanced climate resilience. Accordingly, this study assessed the hydro-meteorological characteristics of the Sangu River basin under the changing climate. This study scientifically selected five General Circulation Models (GCMs) to include the model climate sensitivity and statistically bias-corrected their outputs. The Water and Energy Budget-based Rainfall-Runoff-Inundation (WEB-RRI) model was used to simulate the hydrological responses of the basin. The analysis of five GCMs under the Representative Concentration Pathway (RCP8.5) revealed that all selected GCMs estimate a 2–13% increase in annual rainfall and a 3–12% increase in annual discharge in the near-future (2025–2050), whereas four GCMs project an 11–52% increase in annual rainfall and a 7–59% increase in annual discharge in the far-future (2075–2100). The projected more frequent and intense increased extreme rainfall and flood occurrences in the future indicate an increase in flood disaster risk, whereas increased meteorological and hydrological drought in the future reflects a scarcity of water during dry periods. The number of projected affected people shows an increasing trend due to the increased inundation in the future. However, an increasing trend of transpiration indicates agricultural productivity will increase in the future. Policymakers can utilize this evidence-based information to implement BDP-2100 and to reduce the disaster risks in the basin.

1. Introduction

Climate change (CC) is now “unequivocal” and causing instability in the water cycle, such as changing rainfall patterns and increasing the frequency and intensity of weather extremes [1]. These changes will have a substantial effect on agronomy, food production, the ecosystem, biodiversity, stream flow, flooding, energy security, and human and animal health [2]. The consequences are expected to be more significant for Bangladesh, which is one of the most vulnerable countries to CC due to its geographical location, extreme variability in climate, high population density, and dependence on agriculture [3]. Currently, the nation is grappling with the detrimental impacts of CC [4]. Furthermore, alarming projections suggest that approximately 30 million people may be forced to relocate by the year 2050 [5], underscoring the urgency of addressing the impact of CC. Under such circumstances, the government of Bangladesh has acknowledged the seven global targets of the Sendai Framework for Disaster Risk Reduction (SFDRR) to prevent new risks and reduce existing ones. The government also formulated a comprehensive development plan, the Bangladesh Delta Plan (BDP-2100) in 2018, focusing on economic growth, environmental conservation, and enhanced climate resilience as an integrated and pragmatic approach to alleviate the vulnerability due to the escalating effects of CC. To ensure the successful implementation of BDP-2100, CC impact assessments are inevitable. However, limited evidence-based information presents a significant barrier to robust Disaster Risk Reduction strategies in the Sangu River basin. Therefore, this study aims to address this gap by providing evidence-based information through a CC impact assessment and providing a qualitative decision index to the policymakers for the successful implementation of BDP-2100.
However, numerous studies have investigated future climate projections in the other river basins in Bangladesh, i.e., the Ganges-Meghna-Brahmaputra (GMB) basin [6,7], the Brahmaputra River basin [8,9]. To evaluate the impact of CC, multi-model ensemble approaches were employed in these studies. The use of an ensemble mean may include a GCM that may exhibit poor performance at the regional and local scale. Hence, individual GCM analysis, as opposed to multi-model ensemble analysis, may improve the transparency of uncertainty management [10]. Conversely, special evaluation strategies are necessary for the selection of individual GCMs due to their poor performance at regional- and basin-scales, as opposed to global and continental scales [11]. Thus, to utilize GCMs with greater reliability and less uncertainty and to address model climate sensitivity, a distinct benchmark and scoring system [12] have been implemented in this study. This scoring system evaluates the performance of precipitation, sea surface temperature, sea-level pressure, air temperature, outgoing longwave radiation, meridional wind, zonal wind, and geo-potential height with historical reference data and hence requires the handling of big datasets.
The management and analysis of large datasets demand a robust system. The Data Integration and Analysis System (DIAS) is a comprehensive data analysis tool that integrates data and models from a diverse range of subjects and disciplines and offers advanced analysis capabilities [13]. Accordingly, DIAS has archived data from various sources, including the Japanese 55-year Reanalysis (JRA-55), coupled-model inter-comparison project phase 5 (CMIP5), and other reanalysis data in the CMIP5 Data Analysis System (CMIP5-DIAS). In this study, CMIP5-DIAS was employed to overcome the technological challenge of handling big datasets and to evaluate the performance of GCMs on a regional and local scale.
Generally, daily precipitation simulated by the GCM tends to be more frequent but less intense than actual precipitation [14,15]. This phenomenon leads to poor seasonal simulation, underestimation of extreme events, and high-frequency wet day inaccuracy in comparison to observed precipitation. Consequently, the use of GCM-simulated precipitation without eliminating the biases will lead to unreliable impact assessments [16]. Therefore, bias correction is crucial to minimize uncertainties after evaluating GCM performance regionally. To eliminate the biases, CMIP5-DIAS incorporates a three-step bias-correction method [12] with observed data. Therefore, the bias-correction method of CMIP5-DIAS was utilized in this study for reliable CC impact assessment.
The selection of a physically based water- and energy-budget-based hydrological model (i.e., seamless model) is crucial to incorporate various hydrological components, such as peak and low estimations, inundation, soil moisture, and evapotranspiration, under different global warming projections. However a linear regression approach was utilized in the GMB basin for future streamflow projections [6,17], which is unreliable due to the non-linear nature of hydrological processes [7]. In recent years, semi-distributed hydrological models were employed for the projection of future streamflow in several rivers in Bangladesh, such as the Brahmaputra River [9,18], the Arial Khan River [19], and the Teesta River [20]. The recently developed WEB-RRI model [21] is a Distributed Hydrological Model (DHM) that includes physical formulations for evapotranspiration fluxes, soil and vegetation interception, and soil moisture dynamics. Consequently, the WEB-RRI model provides more precise estimates of the flood onset timing, peak flows, low flows, and inundation extent. Additionally, it is capable of accurately assessing flood- and drought-related risk under water cycle variability and CC scenarios since it accepts more inputs from various sources. Thus, the WEB-RRI model was employed in this study to simulate long-term past and future GCM outputs seamlessly and to provide evidence-based information to the policymakers.
This study effectively addresses the scientific, engineering, and technological challenges associated with CC impact assessments through the incorporation of cutting-edge models and technologies. Therefore, this study possesses certain advantages over studies of a similar nature in Bangladesh. Firstly, a comprehensive methodology has been applied for GCM selection and bias correction. Secondly, a water and energy budget-based DHM has been used to develop a seamless simulation of the hydrological responses in the basin. Thirdly, while most studies only project the rainfall and streamflow, this study has projected the evapotranspiration and inundation as well. Fourthly, a qualitative decision index has been provided to the policymakers to facilitate the successful implementation of BDP-2100. Lastly, this study has been conducted in the Chittagong Hill Tracts (CHTs) river system of Bangladesh, which is distinct from the majority of studies conducted in Bangladesh.
The structure of this research study is as follows: Section 2 explains materials and methods, including a brief description of the study area. Section 3 describes the results and discussion with a qualitative decision index for the policymakers. Finally, Section 4 provides a conclusion.

2. Materials and Methods

2.1. Study Area

Bangladesh encompasses a low-lying deltaic plain along with the GBM basin and the CHTs River system. The physiography of the CHTs differs greatly from the rest of the country, which in turn makes the rivers flowing through this region special due to their independent nature, in contrast to the GMB basin, which has many tributaries. This hilly region is characterized by hillslopes extending from east to west, and thus, the rivers flow through the hills from east to west.
The Sangu River basin (Figure 1a,b) is located in the CHTs (one of the six “hotspots” defined in BDP-2100) and is highly susceptible to natural hazards, such as storm surges, tropical cyclones, flash floods, and landslides [22,23,24]. On the other hand, the region is economically significant, contributing 12% to the national GDP and more than 60% of the total revenue of the country [25]. In addition, it is situated in Chittagong, the commercial capital city of Bangladesh. Therefore, flash floods in the basin have a substantial adverse impact on the national economy [26]. Floods in 2015 and 2019 affected approximately 1,800,000 and 50,000 people, respectively [27]. In addition to the flood hazard, CHTs are a low-to-medium drought-prone region in Bangladesh, and the river flow during the dry season is decreasing, causing severe problems with water availability for domestic and agricultural purposes [28].
The study area has a combination of several hill ranges compared to the other flat areas of Bangladesh, which create localized variations in wind speed and direction and contributes to distinct seasonal variation and a reversal in wind circulation between summer and winter. The monsoon is the most prominent season, prevailing from June to October with heavy rainfall. The cooler and drier winter starts at the end of November and prevails until the beginning of February. The annual average temperature is 29 °C, and annual rainfall ranges from 2540 to 3810 mm [27], whereas the annual average rainfall ranges from 1000 to 2500 mm in the flatter part of Bangladesh [29]. Sangu is not a Himalayan river, so it depends solely on rainfall; fortunately, the watershed lies in a territory with significant annual rainfall. Rainfall-runoff occurring within the basin is the only source of flow for the Sangu River, and the numbers of charas and waterfalls originating from groundwater sources keep the river alive during the dry season.

2.2. Methodology

The approach employed in this study to assess the impact of CC in the Sangu River basin is depicted in Figure 2. First, we selected the GCMs in a comprehensive manner and statistically corrected the rainfall biases of the selected GCMs. The GCMs were selected based on the regional and local proficiency in reproducing meteorological parameters. Therefore, an evaluation of model performance necessitated extensive data analysis. To overcome this challenge and to ensure a robust evaluation of model performance, the study employed the DIAS. Additionally, the biases in the chosen models were reduced through a three-step bias-correction process facilitated by DIAS. The current efficiency of the DIAS infrastructure with CMIP5 led to the decision to utilize CMIP5 data for our study. Subsequently, the meteorological effects of CC in the basin were assessed using the bias-corrected rainfall of the selected GCMs facilitated by the DIAS. Additionally, A DHM was used to calibrate and validate the discharge data, and the calibrated and validated model was then used to analyze the hydrological impact in the basin. The methodology has been described in detail below.

2.2.1. GCM Selection

The process of choosing GCMs that are capable of accurately representing a particular climatic region is a crucial aspect of multimodal research. This is due to the fact that GCMs exhibit significant levels of uncertainty when it comes to reconstructing historical meteorological features, and their efficacy can vary considerably across different climatic zones [30]. Consequently, this study employed a comprehensive methodology to select suitable GCMs at the basin scale. The suitability of GCMs was assessed by analyzing their ability to accurately replicate meteorological variables, including the precipitation, sea surface temperature, sea-level pressure, air temperature, outgoing longwave radiation, meridional wind, zonal wind, and geo-potential height with historical reference data at the regional scale. The statistical indices spatial correlation (Scorr) and root mean square error (RMSE) were utilized to determine how well GCMs can capture climatic parameters that influence rainfall in the study area.
The mean monthly Scorr and RMSE were employed to calculate the score for each GCM. In cases where the Scorr of a particular GCM exceeded the average Scorr of all GCMs, the Scorr index was considered to be 1. Conversely, if the Scorr of a GCM was below the mean, the Scorr index was considered to be 0. If the RMSE of a specific GCM was found to be lower than the average RMSE of all GCMs, the RMSE index was assigned a value of 1. Conversely, if the RMSE of the GCM was higher than the mean RMSE of all GCMs, the RMSE index was assigned a value of 0. However, it was considered that the total index attained a value of 1 when the summation of the Scorr index and the RMSE index exceeded 1. If the sum of the Scorr index and the RMSE index was less than 1, the total index was considered to be −1. If neither of the conditions were met, the total index was considered to be 0. Finally, total indexes of all meteorological variables (i.e., precipitation, temperature, wind, etc.) were added together to obtain a grand total score. GCMs with a higher grand total score may provide a more precise representation of the regional climate compared to those with a lower grand total score.

2.2.2. Bias Correction of Precipitation

Adjusting the biases of selected GCMs is crucial before using them at the basin scale to ensure reliable results. GCM precipitation may otherwise be unreliable due to its higher frequency and lower intensity compared to ground rainfall [15,16,31].
The present study employed CMIP5-DIAS for the purpose of reducing biases. The CMIP5-DIAS system employs a statistical bias-correction function that utilizes historical rainfall data in a three-step process to eliminate biases. The extreme-rainfall correction, normal-rainfall correction, and no-rain days correction are employed by utilizing the generalized pareto distribution, gamma distribution, and statistical ranking order, respectively [12].

2.2.3. Indices of Extreme Precipitation and Drought

This study employs four precipitation indices, namely CWD, CDD, R50mm, and R100mm, to examine rainfall extremes and drought. Table 1 displays the definitions of the indices. The definition has been taken from the WMO workshop [32]. This definition has been widely adopted and applied in numerous studies [33,34,35].

2.2.4. Hydrological Modeling

The WEB-RRI model, which has been developed recently, is capable of computing various hydrological parameters, such as evapotranspiration, soil moisture variation, peak flood discharge, base flow, and inundation characteristics [21]. Therefore, the WEB-RRI model was used in this study to estimate evapotranspiration, high flows, low flows, and the inundation extent under CC.

2.3. Data and Model Development

2.3.1. Data for GCM Evaluation and Selection

The DIAS archives four climate projection scenarios (RCP2.6, RCP4.5, RCP6.0, and RCP8.5), 44 GCM models from various institutions and experiments, and historical data from different organizations. Global observation and re-analysis products from 1980 to 2005 were used from different datasets to select GCMs. Precipitation, Outgoing Longwave Radiation, and Sea Surface Temperature were collected from the Global Precipitation Climatology Project (GPCP), the National Oceanic and Atmospheric Administration (NOAA), and the Hadley Centre, respectively [36,37,38]. Other data were collected from JRA-55 [39].
The climate of Bangladesh is primarily dominated by the El-Nino-Southern Oscillation (ENSO) and the Indian Ocean Dipole (IOD) [40,41]. To include the effects of the IOD and ENSO, regional and local domains were considered in the selection process of GCMs. The local domain (20° N–27° N, 87° E–95° E) was considered for precipitation, and the regional domain (45° E–140° E, 15° S–35° N) was considered for the other seven meteorological variables (Tair, OLR, SLP, ZW, MW, SST, and GPH).
The grand total score was computed according to Section 2.2.1. The precipitation index score was given priority in selecting the appropriate GCMs. Thus, the models that exhibited higher grand scores and a precipitation index of 1 were chosen. At the outset, a total of eight models (with a grand total score ≥ 6) were chosen (as shown in Table 2). This analysis excludes future projections from two models (GFDL-CM2.1 and MPI-ESM-P) due to the unavailability of future data. The precipitation index value for CNRM-CM5 is 0. The CNRM-CM5 model was excluded due to inadequate representation of precipitation. Finally, the present study selected five models, namely ACCESS1.0, CESM1 (CAM5), CMCC-CMS, MPI-ESM-LR, and MPI-ESM-MR, to incorporate model climate sensitivity.

2.3.2. Data for Bias Correction and Hydrological Modeling

(i) Rainfall: Daily rainfall data were obtained from the Bangladesh Water Development Board (BWDB). The rainfall data were collected for seven rain-gauge stations (Figure 1d). Table 3 shows the salient features for the rain-gauge stations.
(ii) Elevation and hydrographic data: USGS (United States Geological Survey) HydroSHEDS (hydrological data and maps based on Shuttle Elevation Derivatives at multiple Scales) provide 3 arc-second, 15 arc-second, and 30 arc-second topography data. Considering the model’s running time and to obtain detailed information on the basin, 15 arc-second DEM (Digital Elevation Model) data were used in this study.
(iii) Land use: The 9 km spatial resolution soil and 1 km spatial resolution land-use data are obtained from the Food and Agriculture Organization (FAO) and USGS, respectively. The linear interpolation approach is employed to resample both datasets to model grids. The SiB2 model reclassifies data from the US Geological Survey on land use and vegetation types [42]. Figure 1 displays the spatial distribution of static data utilized in WEB-RRI modeling, such as the DEM and land-use type.
(iv) Dynamic vegetation data: Precipitation interception plays an important role in hydrological modeling. To include the effect of precipitation interception, WEB-RRI uses the Fraction of Photo-synthetically Active Radiation (FPAR) and the Leaf Area Index (LAI). The NASA Earth Observation Data and Information System provides LAI and FPAR at a spatial resolution of 1 km. The LAI and FPAR were resampled to the model grid size.
(v) Hydrological model forcing data: The JRA-55 [39] included meteorological forcing data. For wind speed, air temperature, specific humidity, and surface pressure, the JRA-55 data, are available with a 3 h temporal resolution, a 1.25° spatial resolution, and a 0.56° spatial resolution for downward radiations. These data were interpolated to a model grid resolution of 250 m and a model temporal resolution of 1 h using a linear interpolation approach.
(vi) Discharge: Daily discharge data at the Bandarban gauge station had been collected from BWDB for the calibration and validation of the WEB-RRI model.

2.3.3. Data for Inundation, Evapotranspiration (ET), and Population

The Sangu River basin has no available data on inundation extent. As a result, the inundation was analyzed using MODIS surface reflectance products (MOD09A1). The MODIS data are available with a geographical resolution of 500 m and a temporal resolution of 8 days. Inundation extents in the basin were computed using the Modified Land Surface Water Index (MLSWI) [43]. The MLSWI was defined as
M L S W I = 1 B a n d 1,2 B a n d 6,7 1 B a n d 1,2 + B a n d 6,7
MOD16A2 (version 6.1) was utilized in this research to estimate the basin average ET. The MOD16 data product’s algorithm is based on the Penman–Monteith equation, which incorporates MODIS remotely sensed data products, such as plant property dynamics, albedo, and land cover. Application for Extracting and Exploring Analysis Ready Samples (AρρEEARS) of the USGS was utilized to estimate the basin average ET.
Population data were downloaded from the Socioeconomic Data and Applications Center (SEDAC) [44]. Projections for the number of affected people in the future were made by superimposing historical observed population data with the future inundation extent.

2.3.4. Model Performance Indices

The performance of discharge was assessed using the RMSE, Mean Bias Error (MBE), and Nash–Sutcliffe Efficiency Coefficient (NSE). The definition of the indices are
M B E = ( S i O i ) N
R M S E = ( S i O i ) 2 N
N S E = ( O i O ¯ ) 2 ( O i S i ) 2 ( O i O ¯ ) 2
where O is the observed discharge, O ¯ is the mean observed data, S is the model-simulated discharge, and N refers to the total number of datasets.
To evaluate the performance of the model inundation extent, the Critical Success Index (CSI) was used. The perfect score for CSI is 1. The grids with an inundation depth greater than 0.3 m have been treated as having an inundation extent. The definition of CSI is
C S I = M o d e l a r e a O b s e r v a t i o n a r e a M o d e l a r e a O b s e r v a t i o n a r e a
where ∩ is the intersection area between the model and observation inundation extent, and ∪ is the union area between the model and observation inundation extent.

2.3.5. Qualitative Decision Index

The meteorological and hydrological quantitative results of GCMs have uncertainty. Therefore, the IPCC employs a confidence level framework to conduct a qualitative evaluation of the GCMs output. In this study, the IPCC AR6 likelihood scale has been utilized as a qualitative index. Table 4 shows the likelihood scales [45].
As per the report, it is recommended to present the assessed likelihood typeset in italics, such as very likely.

3. Results and Discussion

This study utilized three temporal sequences: past (1980–2005), near-future (2025–2050), and far-future (2075–2100) under the RCP8.5 scenario to assess CC impacts. Evidence-based information has been provided to the policymakers by identifying CC signals, climate sensitivity, and a qualitative likelihood index for the hydro-meteorological variables at the end of this section.

3.1. Meteorological Assessment

3.1.1. Effect of CC on Annual Rainfall

The effect of CC on the mean annual rainfall is depicted in Figure 3a for each selected GCM, and the percentage change in the mean annual rainfall has been presented in Table 5. All selected GCMs project an upward trend in the near-future, while four out of five selected GCMs project a similar trend for the far-future. ACCESS1.0 projects the highest increasing trend for both the near-future and far-future. The lowest increasing trend is projected by CMCC-CMS and MPI-ESM-MR in the near-future and far-future, respectively. However, MPI-ESM-LR projects a decreasing trend in the far-future. The misrepresentation of topography due to the very coarse resolution of GCMs, model physics, etc., could be the reason for projecting less rainfall in the far-future by MPI-ESM-LR; this exceptional projection has been described in Section 3.1.4. Figure 3b illustrates that, with high inter-annual variability, the projected annual rainfall in both rainy and dry years shows an increasing trend for both the near-future and far-future, except MPI-ESM-LR in the far-future. The results are consistent with previous studies conducted in Bangladesh [9,20,46]. For example, the mean annual rainfall is projected to increase by 16.3%, 19.8%, and 29.6% in the Brahmaputra, Ganges, and Meghna basins, respectively [7].

3.1.2. Effect of CC on Seasonal Rainfall

Bangladesh has four climatic seasons: pre-monsoon (March–May), monsoon (June–September), post-monsoon (October–November), and winter (December–February) [47]. In order to comprehend how CC affects seasonal rainfall, past, near-future, and far-future monthly rainfall for each selected GCM is analyzed and presented in Figure 4. Table 5 shows the percentage change in the mean seasonal rainfall. In the pre-monsoon season, three GCMs (CESM1(CAM5), CMCC-CMS, and MPI-ESM-LR) project an increasing trend in the near-future, whereas CMCC-CMS, MPI-ESM-LR, and MPI-ESM-MR project a decreasing trend in the far-future. In the monsoon season, it has been found that ACCESS1.0 projects the most substantial increase in both the near-future and far-future. The other four models exhibit a comparatively uniform upward trend during the near-future, ranging between 8 and 12. Conversely, significant variation is observed in the far-future, ranging from −5 to 46, including a decreasing trend in MPI-ESM-LR.
In the post-monsoon season, it is evident that three GCMs (ACCESS1.0, CMCC-CMS, and MPI-ESM-LR) project a declining trend in the near-future, while only two models (CMCC-CMS and MPI-ESM-MR) project a decrease in the far-future. This disparity in trend projections underscores the intrinsic uncertainty inherent to long-term climate projections. Similar uncertainty is observed in the winter season, with three models showing a decreasing trend, while the remaining two models exhibit an increasing trend.

3.1.3. Effect of CC on Rainfall Extremes and Droughts

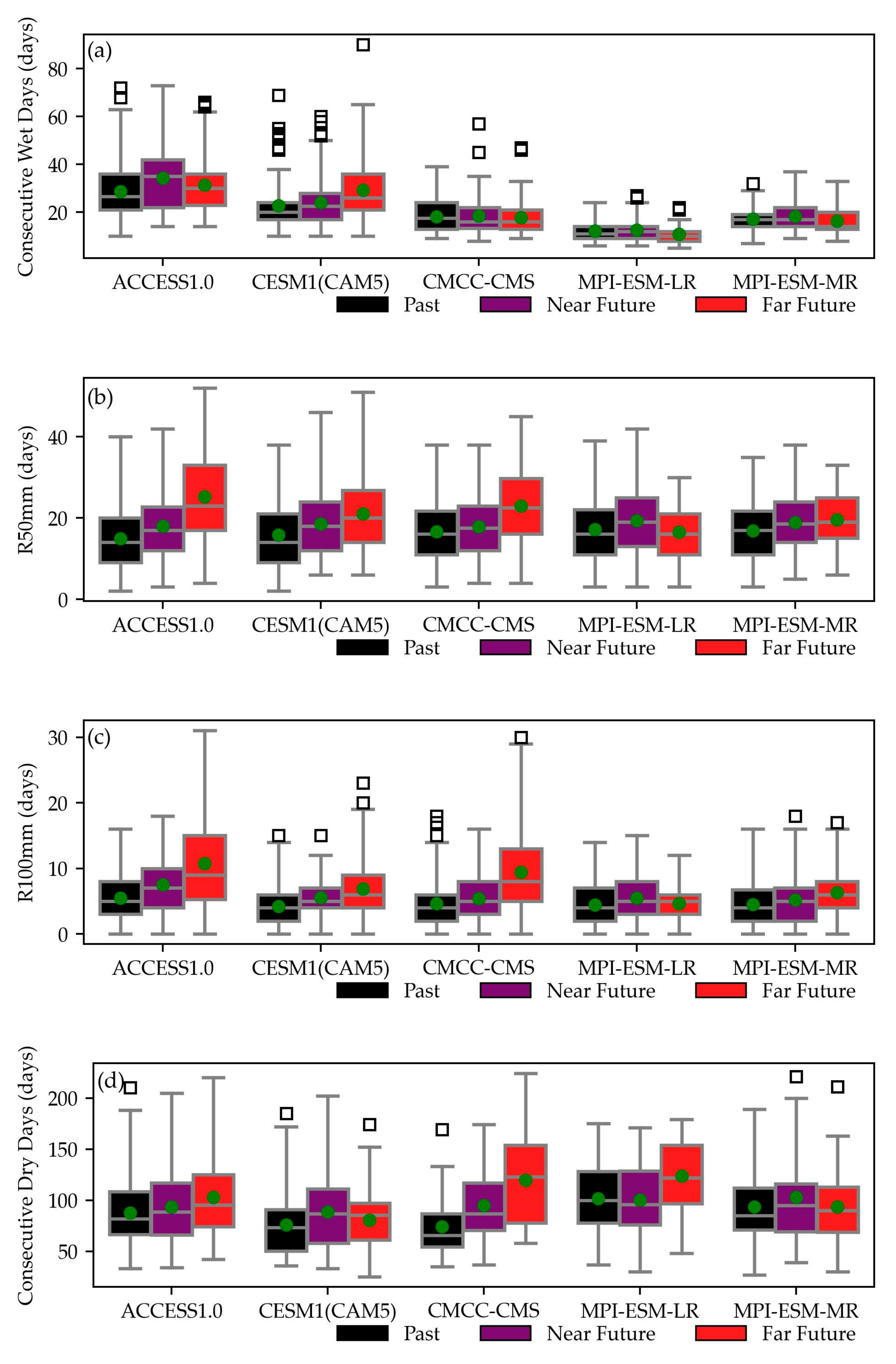
This study utilized four distinct rainfall indices, namely CWD, CDD, R50mm, and R100mm, to examine both rainfall extremes and droughts. Based on the findings presented in Figure 5a and Table 5, it can be observed that the mean of CWD in two GCMs, namely ACCESS1.0 and CESM1(CAM5), project an increasing trend. Conversely, the remaining GCMs do not display any notable changes. Thus, in order to evaluate the extreme event, we proceeded to analyze the R50mm and R100mm.
The results presented in Figure 5b and Table 5 indicate that, in the near-future, all of the chosen GCMs exhibit an upward trend for R50mm. In the far future, four out of the five selected GCMs project an increasing trend for R50mm. However, MPI-ESM-LR projects a marginally decreasing trend (4%) in the far-future. On the other hand, R100mm projects an increasing trend for all selected GCMs in both the near-future and far-future (Figure 5c). Though MPI-ESM-LR projects a decreasing trend of annual rainfall and monsoon rainfall in far-future, the model also projects an increasing trend for R100mm. Consequently, it is virtually certain that the annual number of days with daily rainfall greater than 100 mm will increase in the future.
The mean CDD of four GCMs projects an increasing trend for both the near-future and far-future among the five selected GCMs (Figure 5d and Table 5). Though MPI-ESM-LR and MPI-ESM-MR project a decreasing trend of the mean CDD for the near-future and far-future, respectively, the decreasing trend is marginal (within 1% for both models). CMCC-CMS projects the highest increasing trend for both the near-future and the far-future. Therefore, the mean of CDD is likely to increase in both the near-future and far-future.
This will lead to an increased frequency of severe floods in the monsoon and more frequent droughts in winter, adversely impacting human life, ecosystems, agriculture, transportation, and the tourism industry.

3.1.4. Uncertainty of MPI Models

MPI-ESM-LR projects a decreasing trend for mean annual rainfall and mean monsoon rainfall in the far-future, as described in Section 3.1.1 and Section 3.1.2. Figure 6 demonstrates that only MPI-ESM-LR projects a decrease in monthly rainfall in the months of June and July in the far-future. The Figure also reveals that the monthly rainfall difference in July (118 mm) is about two and a half times greater than the monthly rainfall difference in June (50 mm). In order to comprehend why MPI-ESM-LR projects a decreasing trend while the other four selected GCMs project an increasing trend in July, we evaluated the wind and pressure fields, which have been described in the following paragraphs.
Figure 7 depicts the wind direction and the wind speed ratio (far-future divided by past) for the month of July. Figure 7a shows that ACCESS1.0 projects higher wind speeds (ratio > 1) in July for the far-future compared to the past. More wind transports more water vapor, resulting in increased rainfall. Therefore, ACCESS1.0 projects an increasing trend in rainfall in the far-future. On the other hand, though CESM1(CAM5) and CMCC-CMS project less wind (the ratio of far-future wind to past wind is less than 1), the wind direction is from east to west. The wind that blows from east to west transports moisture from the Bay of Bengal and the Arabian Sea, thereby increasing the rainfall in Bangladesh. Consequently, the two models also projected an increase in rainfall.
The two models (MPI-ESM-LR and MPI-ESM-MR) of the Max Planck Institute project less wind (the ratio of far-future wind to past wind is less than 1), and the wind also blows from west to east on the northern region (23° N to 29° N) of the basin (basin areas are within the black rectangle in Figure 7), whereas wind blows from east to west on the southern region (15° N to 21° N) of the basin. Therefore, for a further understanding of the decreasing trend in rainfall based on the MPI-ESM-LR model and the increasing trend in rainfall based on the MPI-ESM-MR model, we analyzed the pressure fields of the MPI models.
Figure 8 shows the difference in atmospheric pressure between the far-future and the past for the MPI-ESM-LR and MPI-ESM-MR models. Significant variation exists in the distribution of the difference in air pressure between the two models. In MPI-ESM-LR, the far-future pressure field is positive. It is thought that the presence of a high-pressure field close the ground surface in the basin will result in a divergence field and will not increase rainfall. On the other hand, MPI-ESM-MR projects a low atmospheric pressure field in the basin. The low pressure field generates a convergence field, leading to an increase in rainfall. Therefore, in July, MPI-ESM-LR projects less rainfall in the far-future than in the past, whereas MPI-ESM-MR projects more rainfall in the far-future.

3.2. Model Performance

3.2.1. Discharge Calibration and Validation

The static and dynamic data (described in Section 2.3) for the WEB-RRI model were prepared at the resolution of the model grid. Daily observed rainfall data from 1980 to 2005 were interpolated at model grid and 1 h temporal resolution using the Thiessen method. The model was calibrated and validated using daily observed discharge data at Bandarban station (Figure 1d).
The model was calibrated for the years 1992–1993. The calibrated model could produce both base and peak discharge with NSE equal to 0.83 (Figure 9a). Table 6 displays the calibrated parameters. The same parameters were employed to validate the daily discharge at the same location from 1997 to 2005. The NSE for validation was 0.71 (Figure 9b). The results obtained from the performance indices and Figure 9 demonstrate that the model exhibits proficiency in simulating the maximum discharge, timing of the maximum discharge, and base flow. Consequently, the simulated model was employed to evaluate the hydrological responses in the Sangu River basin under CC.

3.2.2. Inundation Validation

The Sangu River basin, with flood durations of 2–5 days [27], faces challenges in obtaining cloud-free satellite-based inundation data, unlike the longer period floods [48] in floodplain areas of Bangladesh. Moreover, the unavailability of ground-based inundation data in the basin further compounds this issue. Therefore, the flood event of 2015 was analyzed using 8-day composite MODIS surface reflectance products (MOD09A1). The study utilized MODIS data (MOD09A1.A2015209) ranging from July 28th to August 4th, 2015, to conduct a comparative analysis between the MODIS inundation extent and the simulated inundation extent derived from WEB-RRI. Figure 10 displays the comparison of the simulated inundation extent of WEB-RRI with the MLSWI of MODIS.
Flood depths of each grid greater than 0.3 m were considered as inundation for the WEB-RRI model. The MODIS inundation extent was obtained using the MLSWI method. Band 1 and Band 7 were used, and a threshold value of 0.4 was chosen for MLSWI analysis. The CSI value was about 0.12. The reason for the low CSI value is the time difference between the actual flood and MODIS data. In the 2015 flood, seven days (26 June, 26–27 July, 1, 2, and 20 August) were above the danger level at the Bandarban gauge station [49], but the MODIS data were from July 28 to August 4. Another reason for obtaining a low value is the CSI formulation itself. The non-inundated areas are not taken into account by the CSI; only the inundated areas are taken into account, as defined in Section 2.3.5.

3.2.3. Evapotranspiration Validation

The WEB-RRI model has the ability to compute four distinct components of ET fluxes (i.e., soil evaporation, evaporation from ground intercepted water, evaporation from vegetation interception water, and transpiration). The ability to compute the different components of evapotranspiration (ET) confers great advantages for taking decisions about agriculture and land-use under CC. To evaluate the performance of WEB-RRI-simulated ET at the basin scale, MODIS-observed 8-daily ET has been utilized in this study. Since MODIS ET data are on an 8-day basis, the averaged 8-day ET has been computed from the WEB-RRI-simulated ET.
Figure 11 presents a comparison between the basin-averaged MODIS-observed 8-daily ET and 8-day averaged WEB-RRI-simulated ET from the years 2009 to 2016. Figure 11 illustrates the 8-day temporal variation in ET, indicating that both MODIS ET and WEB-RRI-simulated ET exhibit fluctuations ranging from 1 mm/day to 6 mm/day. The Figure also represents that the pattern and fluctuation of WEB-RRI-simulated ET are very similar to MODIS ET. MODIS ET and WEB-RRI-simulated ET have a Pearson correlation coefficient (CC) of 0.64, and the RMSE is 1.10 mm/day. As a result, WEB-RRI demonstrates exceptional proficiency in computing ET fluxes within the Sangu River basin.

3.3. Hydrological Impact Assessment

3.3.1. CC Impact on Mean Annual Discharge

The effect of CC on the mean annual discharge is shown in Figure 12 for each selected GCM, and the percentage change in the mean annual discharge has been presented in Table 7.
All selected GCMs project an increasing trend in the near-future. On the other hand, four of the five selected GCMs project an increasing trend in the far-future. ACCESS1.0 projects the highest increasing trend for both the near-future and far-future. The lowest increasing trend is projected by MPI-ESM-MR in both the near-future and far-future. However, MPI-ESM-LR projects a decreasing trend in the far-future. A similar trend was found for the mean basin average annual rainfall in the basin.

3.3.2. CC Impact on Annual Daily Maximum and Annual Daily Minimum Discharge

Figure 13 illustrates the annual daily maximum and minimum discharge for past, near-future, and far-future periods. Figure 13a and Table 7 demonstrate that the projected mean annual daily maximum discharge for all selected GCMs exhibits an increasing trend in the near-future. On the other hand, the mean annual daily maximum discharge in the far-future projects an increasing trend for the four GCMs but a decreasing trend for the MPI-ESM-LR. Therefore, the mean annual daily maximum discharge in the Sangu River basin is virtually certain to increase in the near-future and likely to increase in the far-future. The projection of an increasing trend in the annual daily maximum discharge in the basin is due to the rise in discharge during the monsoon season, as well as the increase in R50mm and R100mm in the basin.
Figure 13b and Table 7 demonstrate that the mean annual daily minimum discharge for all selected GCMs trends to decrease in the near-future and the far-future. Therefore, the mean annual daily minimum discharge in the Sangu River is virtually certain to decrease in both the near-future and far-future. Consequently, it is anticipated that there will be an increase in the frequency of floods during the monsoon season, while water scarcity is expected to prevail during the dry periods.

3.3.3. CC Impact on Seasonal Flow

The impact of CC on each season was evaluated by analyzing and presenting the monthly discharge of selected GCMs, as depicted in Figure 14. Table 7 displays the percentage change in the mean seasonal discharge for each selected GCM in the near-future and far-future. During the pre-monsoon season, three models (CESM1(CAM5), CMCC-CMS, and MPI-ESM-LR) project an increasing trend of seasonal flow in the near-future (10–25%), while CMCC-CMS, MPI-ESM-LR, and MPI-ESM-MR project a decreasing trend in the far-future (28–37%). Keeping consistent with the annual discharge, all selected GCMs in the near-future and with the exception of MPI-ESM-LR in the far-future project an increasing trend in the seasonal discharge during the monsoon period. ACCESS1.0 projects the highest increasing trend by 20% and 59% in the near-future and far-future, respectively. During the post-monsoon period, four models (ACCESS1.0, CMCC-CMS, MPI-ESM-LR, and MPI-ESM-MR) in the near-future, but only two models (CMCC-CMS and MPI-ESM-MR) in the far-future, projected a decreasing trend. In winter, three GCMs (ACCESS1.0, CESM1(CAM5), and CMCC-CMS) in the near-future and four GCMs (ACCESS1.0, CMCC-CMS, MPI-ESM-LR, and MPI-ESM-MR) in the far-future project a decreasing trend in seasonal discharge.
The seasonal discharge of all selected GCMs project a similar trend to the seasonal discharge, except for MPI-ESM-MR in the near-future during post-monsoon and in the far-future during winter. In the near-future, the model projects a 7% rise in post-monsoon rainfall alongside a 6% reduction in discharge. Similarly, for the far-future, it projects a 9% increase in winter rainfall but a 3% decrease in discharge. The increasing trend in ET (will be described in Section 3.3.6) in both the near-future and far-future could be one reason for projecting the opposite trend in seasonal discharge to the seasonal rainfall. The other four GCMs also project the seasonal discharge, whether it has a relatively lower increasing trend or a relatively high decreasing trend than the seasonal rainfall during the post-monsoon and winter.

3.3.4. CC Impact on High Flow and Low Flow

Figure 15a–e displays the flow-duration curve (FDC) for all selected GCMs in the past, near-future, and far-future. The FDCs display a very steep gradient with a probability of exceedance of less than 10% for all selected GCMs in the past, near-future, and far-future. As a result, the duration of the floods that occur in the basin is relatively short. On the other hand, for all selected GCMs for the past, near-future, and far-future, the flow less than 10 m3/s corresponds to a 50% probability of exceedance, indicating that approximately half of the year of river discharge is less than 10 m3/s.
Figure 15f–j show high flows (probability of exceedance ≤ 10%) for the past, near-future, and far-future for all selected GCMs. The Figure shows that high flows project an increasing trend for all selected GCMs in the near-future. High flow in the far-future is also projected to show an increasing trend, except for MPI-ESM-LR, which also projects a decreasing trend for the annual maximum discharge and mean flow during the monsoon. ACCESS1.0, CESM1(CAM5), and MPI-ESM-LR project a significantly higher increasing trend, whereas the other two GCMs (CMCC-CMS and MPI-ESM-MR) project a marginally increasing trend for the near-future. In the far-future, ACCESS1.0, CESM1(CAM5), and CMCC-CMS project a significantly higher increasing trend, while MPI-ESM-MR projects a marginally increasing trend. MPI-ESM-LR projects a significantly decreasing trend in the far-future. Therefore, high flow projects an increasing trend with a likelihood level of virtually certain in the near-future and likely in the far-future.
Figure 15k–o show low flows (90% ≤ probability of exceedance ≤ 100%) for the past, near-future, and far-future for all selected GCMs. The Figure depicts that all selected GCMs project a decreasing trend for both the near-future and far-future. ACCESS1.0, CESM1(CAM5), and MPI-ESM-LR project a significantly decreasing trend, while the other two GCMs (CMCC-CMS and MPI-ESM-MR) project a marginally decreasing trend in the near-future. On the other hand, all selected GCMs project a significantly decreasing trend for low flow in the far-future. Therefore, it is virtually certain that low flow will decrease in the both near-future and far-future.

3.3.5. CC Impact on Inundation and Affected Population

Figure 16 shows the all-time maximum inundation difference for the near-future and far-future from the past for all selected GCMs. The maximum inundation of all time was computed at each grid for the past, near-future, and far-future for all selected GCMs, and the difference in the near-future and far-future from the past was analyzed. Figure 16a–e shows the inundation difference for the near-future from the past, and all selected GCMs project an increasing trend in inundation depth. ACCESS1.0 and CMCC-CMS project a significantly increasing trend, whereas the other three GCMs (CESM1(CAM), MPI-ESM-LR, and MPI-ESM-MR) project a marginally increasing trend. With the exception of MPI-ESM-LR, all selected GCMs project an increasing trend in inundation depth in the far-future (Figure 16f–j). As discussed in the previous sections, the MPI-ESM-LR also projects a decreasing trend for annual maximum discharge, monsoon seasonal discharge, and the high flow in the far-future. These are the reasons for the projected decrease in inundation of MPI-ESM-LR in the far-future. Similar to the near-future, ACCESS1.0 and CMCC-CMS project a significantly increasing trend for inundation depth differences in the far-future.
To assess the impact of the increasing trend in inundation, it is important to estimate the projected number of affected people in the basin due to CC. The WEB-RRI-simulated inundation and present population were used to estimate the projected affected population in the past, near-future, and far-future. As described in Section 3.2.2, the WEB-RRI-simulated inundation can represent the flooding of the Sangu River basin with a threshold value of 0.30 m. Therefore, flooding depths greater than 0.30 m have been used to compute the number of affected people.
Figure 17 shows that the projected number of affected people tends to increase for all selected GCMs in the near-future, and the number of affected people in the far-future is projected to increase, except for MPI-ESM-LR. The projected percentage changes in affected people in the near-future are 9%, 5%, 23%, 5%, and 15% for ACCESS1.0, CESM1(CAM5), CMCC-CMS, MPI-ESM-LR, and MPI-ESM-MR, respectively. The projected percentage changes in affected people in the far-future are 10%, 10%, 40%, −16%, and 22% for ACCESS1.0, CESM1(CAM5), CMCC-CMS, MPI-ESM-LR, and MPI-ESM-MR, respectively.

3.3.6. CC Impact on Evapotranspiration

Figure 18 shows the monthly ET of all selected GCMs, and the percentage change in seasonal ET is presented in Table 7. From the Figure and the Table, it is shown that ACCESS1.0 and CESM1(CAM5) project an increasing trend throughout the year for both the near-future and far-future. CMCC-CMS projects an increasing trend during the monsoon, post-monsoon, and winter for both the near-future and far-future, but the model projects a decreasing trend during the pre-monsoon for both the near-future and far-future. MPI-EMS-LR projects an increasing trend throughout the year in the near-future. In the far-future, the model projects an increasing trend during monsoon and post-monsoon but projects a decreasing trend during pre-monsoon and winter. With the exception of pre-monsoon in the far-future, MPI-EMS-MR projects an increasing trend for all seasons for both the near-future and far-future.
In order to comprehend the impact of CC on agriculture, we examined the impact of CC on transpiration. Agricultural productivity increases with an increasing transpiration process. This is due to the fact that a higher transpiration rate leads to an increase in photosynthesis, ultimately resulting in increased crop yields. Several studies have demonstrated a direct correlation between crop yields and transpiration [50,51,52]. Figure 19 shows that the projected monthly transpiration tends to increase in the future. The percentage change in transpiration during four different seasons has been shown in Table 7. The projected transpiration tends to decrease during the pre- monsoon in the far-future for MPI-EMS-LR. The ET of this particular model also projects the highest decreasing trend during the pre-monsoon in the far-future. Other seasons project an increasing trend both in the near-future and far-future. Thus, it can be inferred that an increase in transpiration will lead to a corresponding increase in crop productivity under optimal conditions in the future.

3.4. Summary of Basin-Scale Assessment for Policymakers

Table 8 presents the likelihood of outcomes for meteorological and hydrological parameters. Future annual rainfall and discharge are virtually certain to increase in the near-future and likely to increase in the far-future, indicating more water availability in the basin in the future. The likelihood of future extreme rainfall and discharge indicates that floods will increase in both frequency and intensity in the future. The likelihood of future meteorological and hydrological droughts indicates that there will be a shortage of water during dry seasons in the future. According to the IPCC AR6 for policymakers, a combination of non-structural and structural measures has reduced mortality with medium confidence [45]. In addition, effective adaptation strategies, such as agricultural development, agroforestry, and community-based adaptation, minimize climate risk with medium confidence [45].
Therefore, policymakers can consider both soft and hard countermeasures in order to effectively execute the BDP-2100 and reduce the disaster risks. Ultimately, it is suggested that natural-based remedies, including the restoration and preservation of forests and wetlands, the advancement of environmentally friendly urban areas, and the protection of ecosystems, be implemented.

4. Conclusions

The present study employed an integrated methodology and incorporated contemporary scientific and technological advancements, including the DIAS data archiving and bias-correction system and WEB-RRI modeling, to obtain evidence-based information in the study area. The methodology comprises several stages, including the selection of GCMs based on their regional and local performance, a three-step bias correction technique, meteorological assessment, uncertainty clarification of the selected GCMs, development of the WEB-RRI model for the seamless simulation of hydrological components, a hydrological assessment, including the inundation extent and evapotranspiration, and a qualitative decision index for the policymakers.
The study findings reveal that both annual rainfall and discharge are virtually certain to increase in the near-future (2025–2050) and likely to increase in the far-future (2075–2100). The similar results for monsoon rainfall and discharge indicate that the monsoon is the dominant season in the region. The projected intense rainfall and high flows show an increasing trend, indicating a rising likelihood of flooding in the basin. Therefore, proactive measures are necessary to alleviate potential future risks. Conversely, both meteorological and hydrological droughts are projected to increase in both the near-future and far-future, indicating water scarcity in the basin during the dry period. Additionally, the annual daily maximum discharge shows an increasing trend, while the annual daily minimum discharge shows a deceasing trend. These trends suggest that the likelihood of floods and drought disasters in the basin will escalate.
This study employs a qualitative decision index to reveal crucial insights for policymakers. While the index showed that annual rainfall and discharge are projected to increase, presenting more available water, an alarming trend toward more frequent and intense extreme events, like floods, is also projected. These findings highlight the pressing need for proactive adaptation strategies to mitigate disaster risks and ensure long-term water security. The analysis further indicates a seasonal disparity, with water abundance during the monsoon and scarcity during the dry season. This necessitates implementing water balance strategies, such as capturing and storing monsoon water for subsequent utilization during drier periods. The construction of water-storage structures, such as dams and reservoirs, can serve as a means of addressing both flood and drought occurrences within the basin, which are presently absent. However, prior to dam construction, a thorough evaluation of potential social and environmental consequences is imperative. Furthermore, the implementation of non-structural measures, such as the adoption of an early warning system, the cultivation of short-duration rice varieties, the alteration of crop patterns, and the changing of the crop calendar, can effectively minimize the likelihood of disaster risks and optimize the advantages. Though these measures are generally cost effective, their effectiveness depends on accurate forecasting and communication infrastructure and, at the same time, requires community preparedness and education.
However, this study still has some limitations, which can be addressed in future research. A statistical bias correction has been performed in this study, which cannot represent spatial and temporal connectivity. To do that, dynamic downscaling can be performed in the future. Only the RCP8.5 scenario has been used in this study, and other scenarios can be considered in a future study. Urbanization changes the characteristics of watersheds, which are not included in this study. Therefore, land use change can be incorporated into future studies.

Author Contributions

Conceptualization, M.K.H., M.R. and T.K.; methodology, M.K.H., M.R., T.K. and K.T.; software, M.K.H., M.R. and K.T.; data curation, M.K.H.; writing—original draft preparation, M.K.H.; writing—review and editing, M.R. and T.K.; visualization, M.K.H. and K.T.; supervision, M.R. and T.K.; funding acquisition, M.R. and T.K. All authors have read and agreed to the published version of the manuscript.

Funding

This research received no external funding.

Data Availability Statement

All GCM data are available at CMIP5-DIAS. The observed rainfall used for bias correction is also available in the CMIP5-DIAS.

Acknowledgments

We acknowledge the government of Bangladesh, the International Centre for Water Hazard and Risk Management (ICHARM), the National Graduate Institute for Policy Studies (GRIPS), the Public Works Research Institute (PWRI), and the Japan International Cooperation Agency (JICA) for supporting this study. CMIP5 data was collected and analysis tool was provided under the Data Integration and Analysis System (DIAS), which is developed and operated by the University of Tokyo and project supported by the MEXT, Japan. We would like to express our gratitude to NASA, FAO, and JMA for providing the necessary data for the calibration and validation of hydrological models. We express gratitude towards the anonymous reviewers for their valuable feedback and suggestions that contributed towards enhancing the quality of this manuscript.

Conflicts of Interest

The authors declare no conflicts of interest.

References

  1. Working Group II Contribution to the Sixth Assessment Report of the Intergovernmental Panel on Climate Change. IPCC Climate Change 2022: Impacts, Adaptation, and Vulnerability; Cambridge University Press: Cambridge, UK, 2022. [Google Scholar] [CrossRef]
  2. Muluneh, M.G. Impact of Climate Change on Biodiversity and Food Security: A Global Perspective—A Review Article. Agric. Food Secur. 2021, 10, 36. [Google Scholar] [CrossRef]
  3. Amhed, A.U. Bangladesh: Climate Change Impacts and Vulnerability; Department of Environment: Dhaka, Bangladesh, 2006. [Google Scholar]
  4. Rimi, R.H.; Haustein, K.; Allen, M.; Barbour, E. Risks of Pre-Monsoon Extreme Rainfall Events of Bangladesh: Is Anthropogenic Climate Change Playing a Role? Bull. Am. Meteorol. Soc. 2019, 100, S61–S65. [Google Scholar] [CrossRef]
  5. McAdam, J.; Saul, B. Displacement with Dignity: International Law and Policy Responses to Climate Change Migration and Security in Bangladesh. Ger. YB Int’l L. 2010, 53, 233. [Google Scholar]
  6. Mirza, M.M.Q.; Warrick, R.A.; Ericksen, N.J. The Implications of Climate Change on Floods of the Ganges, Brahmaputra and Meghna Rivers in Bangladesh. Clim. Change 2003, 57, 287–318. [Google Scholar] [CrossRef]
  7. Masood, M.; Yeh, P.J.-F.; Hanasaki, N.; Takeuchi, K. Model Study of the Impacts of Future Climate Change on the Hydrology of Ganges–Brahmaputra–Meghna Basin. Hydrol. Earth Syst. Sci. 2015, 19, 747–770. [Google Scholar] [CrossRef]
  8. Mohammed, K.; Saiful Islam, A.K.M.; Tarekul Islam, G.M.; Alfieri, L.; Bala, S.K.; Uddin Khan, M.J. Impact of High-End Climate Change on Floods and Low Flows of the Brahmaputra River. J. Hydrol. Eng. 2017, 22, 4017041. [Google Scholar] [CrossRef]
  9. Alam, S.; Ali, M.M.; Rahaman, A.Z.; Islam, Z. Multi-Model Ensemble Projection of Mean and Extreme Streamflow of Brahmaputra River Basin under the Impact of Climate Change. J. Water Clim. Change 2021, 12, 2026–2044. [Google Scholar] [CrossRef]
  10. Zappa, G.; Shepherd, T.G. Storylines of Atmospheric Circulation Change for European Regional Climate Impact Assessment. J. Clim. 2017, 30, 6561–6577. [Google Scholar] [CrossRef]
  11. Rasmy, M.; Koike, T.; Lawford, P.; Hara, M.; Fujita, M.; Kimura, F. Assessment of Future Water Resources in the Tone River Basin Using a Combined Dynamical-Statistical Downscaling Approach. J. Jpn. Soc. Civ. Eng. 2015, 71, I_73–I_78. [Google Scholar] [CrossRef]
  12. Nyunt, C.T.; Koike, T.; Yamamoto, A. Statistical Bias Correction for Climate Change Impact on the Basin Scale Precipitation in Sri Lanka, Philippines, Japan and Tunisia. Hydrol. Earth Syst. Sci. Discuss. 2016, 2016, 1–32. [Google Scholar] [CrossRef]
  13. Kawasaki, A.; Yamamoto, A.; Koudelova, P.; Acierto, R.A.; Nemoto, T.; Kitsuregawa, M.; Koike, T. Data Integration and Analysis System (DIAS) Contributing to Climate Change Analysis and Disaster Risk Reduction. Data Sci. J. 2017, 16, 41. [Google Scholar] [CrossRef]
  14. Dai, A. Precipitation Characteristics in Eighteen Coupled Climate Models. J. Clim. 2006, 19, 4605–4630. [Google Scholar] [CrossRef]
  15. Sun, Y.; Solomon, S.; Dai, A.; Portmann, R.W. How Often Does It Rain? J. Clim. 2006, 19, 916–934. [Google Scholar] [CrossRef]
  16. Feddersen, H.; Andersen, U. A Method for Statistical Downscaling of Seasonal Ensemble Predictions. Tellus A Dyn. Meteorol. Oceanogr. 2005, 57, 398–408. [Google Scholar] [CrossRef]
  17. Immerzeel, W. Historical Trends and Future Predictions of Climate Variability in the Brahmaputra Basin. Int. J. Climatol. 2008, 28, 243–254. [Google Scholar] [CrossRef]
  18. Hossain, S.; Mazumder, L.; Magumdar, T. Climate Change Impacts on the Hydrology of the Brahmaputra River Basin. Climate 2022, 11, 18. [Google Scholar] [CrossRef]
  19. Roy, B.; Khan, M.S.M.; Islam, A.K.M.S.; Mohammed, K.; Khan, M.J.U. Climate-Induced Flood Inundation for the Arial Khan River of Bangladesh Using Open-Source SWAT and HEC-RAS Model for RCP8.5-SSP5 Scenario. SN Appl. Sci. 2021, 3, 648. [Google Scholar] [CrossRef]
  20. Khan, I.; Mostafa Ali, D. Potential Changes to the Water Balance of the Teesta River Basin Due to Climate Change. Am. J. Water Resour. 2019, 7, 95–105. [Google Scholar] [CrossRef]
  21. Rasmy, M.; Sayama, T.; Koike, T. Development of Water and Energy Budget-Based Rainfall-Runoff-Inundation Model (WEB-RRI) and Its Verification in the Kalu and Mundeni River Basins, Sri Lanka. J. Hydrol. 2019, 579, 124163. [Google Scholar] [CrossRef]
  22. Maksudur Rahman, M.; Haughton, G.; Jonas, A.E.G. The Challenges of Local Environmental Problems Facing the Urban Poor in Chittagong, Bangladesh: A Scale-Sensitive Analysis. Environ. Urban. 2010, 22, 561–578. [Google Scholar] [CrossRef]
  23. Khan, Y.A.; Lateh, H.; Baten, M.A.; Kamil, A.A. Critical Antecedent Rainfall Conditions for Shallow Landslides in Chittagong City of Bangladesh. Environ. Earth Sci. 2012, 67, 97–106. [Google Scholar] [CrossRef]
  24. Ali, A. Climate Change Impacts and Adaptation Assessment in Bangladesh. Clim. Res. 1999, 12, 109–116. [Google Scholar] [CrossRef]
  25. Shahriar, S.A.; Siddique, M.A.M.; Rahman, S.M.A. Climate Change Projection Using Statistical Downscaling Model over Chittagong Division, Bangladesh. Meteorol. Atmos. Phys. 2021, 133, 1409–1427. [Google Scholar] [CrossRef]
  26. Adnan, M.S.G.; Dewan, A.; Zannat, K.E.; Abdullah, A. The Use of Watershed Geomorphic Data in Flash Flood Susceptibility Zoning: A Case Study of the Karnaphuli and Sangu River Basins of Bangladesh. Nat. Hazards 2019, 99, 425–448. [Google Scholar] [CrossRef]
  27. Zzaman, R.; Nowreen, S.; Billah, M.; Islam, A. Flood Hazard Mapping of Sangu River Basin in Bangladesh Using Multi-criteria Analysis of Hydro-geomorphological Factors. J. Flood Risk Manag. 2021, 14, e12715. [Google Scholar] [CrossRef]
  28. Mondol, M.A.H.; Ara, I.; Das, S.C. Meteorological Drought Index Mapping in Bangladesh Using Standardized Precipitation Index during 1981–2010. Adv. Meteorol. 2017, 2017, 4642060. [Google Scholar] [CrossRef]
  29. Dewan, A.; Shahid, S.; Bhuian, M.H.; Hossain, S.M.J.; Nashwan, M.S.; Chung, E.-S.; Hassan, Q.K.; Asaduzzaman, M. Developing a High-Resolution Gridded Rainfall Product for Bangladesh during 1901–2018. Sci. Data 2022, 9, 471. [Google Scholar] [CrossRef] [PubMed]
  30. Suzuki-Parker, A.; Kusaka, H.; Takayabu, I.; Dairaku, K.; Ishizaki, N.; Ham, S. Contributions of GCM/RCM Uncertainty in Ensemble Dynamical Downscaling for Precipitation in East Asian Summer Monsoon Season. Sci. Online Lett. Atmos. 2018, 14, 97–104. [Google Scholar] [CrossRef]
  31. Sharma, D.; Das Gupta, A.; Babel, M.S. Spatial Disaggregation of Bias-Corrected GCM Precipitation for Improved Hydrologic Simulation: Ping River Basin, Thailand. Hydrol. Earth Syst. Sci. 2007, 11, 1373–1390. [Google Scholar] [CrossRef]
  32. Karl, T.R.; Nicholls, N.; Ghazi, A. CLIVAR/GCOS/WMO Workshop on Indices and Indicators for Climate Extremes Workshop Summary. In BT—Weather and Climate Extremes: Changes, Variations and a Perspective from the Insurance Industry; Springer: Berlin/Heidelberg, Germany, 1999; pp. 3–7. [Google Scholar] [CrossRef]
  33. Luo, X.; Fan, X.; Li, Y.; Ji, X. Bias Correction of a Gauge-Based Gridded Product to Improve Extreme Precipitation Analysis in the Yarlung Tsangpo--Brahmaputra River Basin. Nat. Hazards Earth Syst. Sci. 2020, 20, 2243–2254. [Google Scholar] [CrossRef]
  34. Singh, D.; Jain, S.; Gupta, R.D.; Kumar, S.; Rai, S.P. Analyses of Observed and Anticipated Changes in Extreme Climate Events in the Northwest Himalaya. Climate 2016, 4, 9. [Google Scholar] [CrossRef]
  35. Zhang, M.; Yaning, C.; Shen, Y.; Li, B. Tracking Climate Change in Central Asia through Temperature and Precipitation Extremes. J. Geogr. Sci. 2019, 29, 3–28. [Google Scholar] [CrossRef]
  36. Adler, R.F.; Huffman, G.J.; Chang, A.; Ferraro, R.; Xie, P.-P.; Janowiak, J.; Rudolf, B.; Schneider, U.; Curtis, S.; Bolvin, D.; et al. The Version-2 Global Precipitation Climatology Project (GPCP) Monthly Precipitation Analysis (1979–Present). J. Hydrometeorol. 2003, 4, 1147–1167. [Google Scholar] [CrossRef]
  37. Liebmann, B. Description of a Complete (Interpolated) Outgoing Longwave Radiation Dataset. Bull. Am. Meteorol. Soc. 1996, 77, 1275–1277. [Google Scholar]
  38. Rayner, N.A.; Parker, D.E.; Horton, E.B.; Folland, C.K.; Alexander, L.V.; Rowell, D.P.; Kent, E.C.; Kaplan, A. Global Analyses of Sea Surface Temperature, Sea Ice, and Night Marine Air Temperature since the Late Nineteenth Century. J. Geophys. Res. Atmos. 2003, 108. [Google Scholar] [CrossRef]
  39. Kobayashi, S.; Ota, Y.; Harada, Y.; Ebita, A.; Motiya, M.; Onoda, H.; Onogi, K.; Kamahori, H.; Kobayashi, C.; Endo, H.; et al. The JRA-55 Reanalysis: General Specifications and Basic Characteristics. J. Meteorol. Soc. Japan. Ser. II 2015, 93, 5–48. [Google Scholar] [CrossRef]
  40. Islam, M.N.; Parvez, M. Predicting the El Niño and La Niño Impact on the Coastal Zones at the Bay of Bengal and the Likelihood of Weather Patterns in Bangladesh. Model. Earth Syst. Environ. 2020, 6, 1823–1839. [Google Scholar] [CrossRef]
  41. Wahiduzzaman, M. Major Floods and Tropical Cyclones over Bangladesh: Clustering from ENSO Timescales. Atmosphere 2021, 12, 692. [Google Scholar] [CrossRef]
  42. Sellers, P.J.; Tucker, C.J.; Collatz, G.J.; Los, S.O.; Justice, C.O.; Dazlich, D.A.; Randall, D.A. A Revised Land Surface Parameterization (SiB2) for Atmospheric GCMS. Part II: The Generation of Global Fields of Terrestrial Biophysical Parameters from Satellite Data. J. Clim. 1996, 9, 706–737. [Google Scholar] [CrossRef]
  43. Kwak, Y.; Arifuzzanman, B.; Iwami, Y. Prompt Proxy Mapping of Flood Damaged Rice Fields Using MODIS-Derived Indices. Remote Sens. 2015, 7, 15969–15988. [Google Scholar] [CrossRef]
  44. SEDAC Center for International Earth Science Information Network—CIESIN—Columbia University. Gridded Population of the World, Version 4.11 (GPWv4): Population Count, Revision 11; NASA Socioeconomic Data and Applications Center (SEDAC): Palisades, NY, USA, 2018. [Google Scholar] [CrossRef]
  45. Contribution of Working Group III to the Sixth Assessment Report of the Intergovernmental Panel on Climate Change. IPCC Summary for Policymakers. In Climate Change 2022: Mitigation of Climate Change; IPCC: Geneve, Switzerland, 2022. [Google Scholar]
  46. Sarfaraz, A.; Mostafa, A.M.; Zahidul, I. Future Streamflow of Brahmaputra River Basin under Synthetic Climate Change Scenarios. J. Hydrol. Eng. 2016, 21, 5016027. [Google Scholar] [CrossRef]
  47. Hasan, M.K.; Parvin, F.; Tasnim, N. Impact of Temperature Change on Reference Evapotranspiration in Dhaka City. J. Environ. Treat. Tech. 2022, 10, 29–34. [Google Scholar] [CrossRef]
  48. Zaman, M.Q. Rivers of Life: Living with Floods in Bangladesh. Asian Surv. 1993, 33, 985–996. [Google Scholar] [CrossRef]
  49. BWDB-FFWC Annual Flood Report. 2015. Available online: http://www.ffwc.gov.bd/images/annual15.pdf (accessed on 26 February 2024).
  50. Arkley, R. Relationships between Plant Growth and Transpiration. Hilgardia 1963, 34, 559–584. [Google Scholar] [CrossRef][Green Version]
  51. Erion, G.; Riedell, W. Barley Yellow Dwarf Virus Effects on Cereal Plant Growth and Transpiration. Crop Sci. 2012, 52, 2794. [Google Scholar] [CrossRef]
  52. Ni, J.; Leung, A.; Ng, C.W.W.; So, P. Investigation of Plant Growth and Transpiration-Induced Matric Suction under Mixed Grass–Tree Conditions. Can. Geotech. J. 2016, 54, 561–573. [Google Scholar] [CrossRef]
Figure 1. (a) Topographical map of Bangladesh indicating the Sangu River basin; (b) topography of Sangu River basin; (c) land use in the basin; (d) demarcation of rain-gauge and discharge station in the basin.
Figure 1. (a) Topographical map of Bangladesh indicating the Sangu River basin; (b) topography of Sangu River basin; (c) land use in the basin; (d) demarcation of rain-gauge and discharge station in the basin.
Water 16 00745 g001
Figure 2. Methodology of the study.
Figure 2. Methodology of the study.
Water 16 00745 g002
Figure 3. (a) Comparison of basin average annual rainfall among the past, near-future, and far future, and percentage change for both the near-future and far-future. (b) Box and Whiskers of annual rainfall of each GCMs for the past, near-future, and far-future. Outliers beyond ±2 times the interquartile range are shown by black squares.
Figure 3. (a) Comparison of basin average annual rainfall among the past, near-future, and far future, and percentage change for both the near-future and far-future. (b) Box and Whiskers of annual rainfall of each GCMs for the past, near-future, and far-future. Outliers beyond ±2 times the interquartile range are shown by black squares.
Water 16 00745 g003
Figure 4. Comparison of monthly rainfall among the past, near-future, and far-future. The solid line (past), dashed line (near-future), and dotted line (far-future) show the mean monthly rainfall, and the shaded area is the 95th and 5th percentiles of monthly rainfall.
Figure 4. Comparison of monthly rainfall among the past, near-future, and far-future. The solid line (past), dashed line (near-future), and dotted line (far-future) show the mean monthly rainfall, and the shaded area is the 95th and 5th percentiles of monthly rainfall.
Water 16 00745 g004
Figure 5. Box–whisker plot for (a) consecutive wet days (CWDs), (b) R50mm, (c) R100mm, and (d) consecutive dry days (CDDs). Green circles show the mean value. Outliers beyond ±2 times the interquartile range are shown by black squares.
Figure 5. Box–whisker plot for (a) consecutive wet days (CWDs), (b) R50mm, (c) R100mm, and (d) consecutive dry days (CDDs). Green circles show the mean value. Outliers beyond ±2 times the interquartile range are shown by black squares.
Water 16 00745 g005
Figure 6. Monthly rainfall difference (far-future minus past) of the selected GCMs.
Figure 6. Monthly rainfall difference (far-future minus past) of the selected GCMs.
Water 16 00745 g006
Figure 7. Wind speed ratio (far-future divided by past) for the month of June. (a) ACCESS1.0, (b) CESM1(CAM5), (c) CMCC-CMS, (d) MPI-ESM-LR, (e) MPI-ESM-MR. Study area is located within the black box. Arrows are wind direction.
Figure 7. Wind speed ratio (far-future divided by past) for the month of June. (a) ACCESS1.0, (b) CESM1(CAM5), (c) CMCC-CMS, (d) MPI-ESM-LR, (e) MPI-ESM-MR. Study area is located within the black box. Arrows are wind direction.
Water 16 00745 g007
Figure 8. Pressure difference (far-future minus past) for the month of July. (a) MPI-ESM-LR, (b) MPI-ESM-MR. Study area is located within the black box.
Figure 8. Pressure difference (far-future minus past) for the month of July. (a) MPI-ESM-LR, (b) MPI-ESM-MR. Study area is located within the black box.
Water 16 00745 g008
Figure 9. Comparison between observed discharge and simulated discharge (a) model calibration for 1992–1993, and (b) model validation for 1997–2005.
Figure 9. Comparison between observed discharge and simulated discharge (a) model calibration for 1992–1993, and (b) model validation for 1997–2005.
Water 16 00745 g009
Figure 10. Comparison of flood inundation in the Sangu River basin for the flood of 2015: (a) WEB-RRI simulated inundation; (b) MLSWI using MODIS data; (c) WEB-RRI simulated inundation depth (m).
Figure 10. Comparison of flood inundation in the Sangu River basin for the flood of 2015: (a) WEB-RRI simulated inundation; (b) MLSWI using MODIS data; (c) WEB-RRI simulated inundation depth (m).
Water 16 00745 g010
Figure 11. Comparison between basin-averaged WEB-RRI ET and MODIS ET from the year 2009 to 2016.
Figure 11. Comparison between basin-averaged WEB-RRI ET and MODIS ET from the year 2009 to 2016.
Water 16 00745 g011
Figure 12. Comparison of mean annual discharge among the past, near-future, and far-future, and percentage change for both the near-future and far-future.
Figure 12. Comparison of mean annual discharge among the past, near-future, and far-future, and percentage change for both the near-future and far-future.
Water 16 00745 g012
Figure 13. Box and Whiskers of (a) annual daily maximum discharge and (b) annual daily minimum discharge at the Bandarban gauging station for the selected GCMs. Green circles show the mean value. Outliers beyond ±2 times the interquartile range are shown by black squares.
Figure 13. Box and Whiskers of (a) annual daily maximum discharge and (b) annual daily minimum discharge at the Bandarban gauging station for the selected GCMs. Green circles show the mean value. Outliers beyond ±2 times the interquartile range are shown by black squares.
Water 16 00745 g013aWater 16 00745 g013b
Figure 14. Comparison of monthly discharge among the past, near-future, and far-future. The solid line (past), dashed line (near-future) and dotted line (far-future) show the mean monthly discharge, and the shaded area is the 95th and 5th percentiles of monthly discharge.
Figure 14. Comparison of monthly discharge among the past, near-future, and far-future. The solid line (past), dashed line (near-future) and dotted line (far-future) show the mean monthly discharge, and the shaded area is the 95th and 5th percentiles of monthly discharge.
Water 16 00745 g014
Figure 15. Flow duration curve for the past, near-future, and far-future. (ae) Entire period, (fj) high flows (probability of exceedance ≤ 10%), and (ko) low flows (90% ≤ probability of exceedance ≤ 100%).
Figure 15. Flow duration curve for the past, near-future, and far-future. (ae) Entire period, (fj) high flows (probability of exceedance ≤ 10%), and (ko) low flows (90% ≤ probability of exceedance ≤ 100%).
Water 16 00745 g015
Figure 16. All-time maximum inundation depth difference; (ae) near-future minus past and (fj) far-future minus past.
Figure 16. All-time maximum inundation depth difference; (ae) near-future minus past and (fj) far-future minus past.
Water 16 00745 g016
Figure 17. Number of affected people in the Sangu River basin in the past, near-future, and far-future for all selected GCMs.
Figure 17. Number of affected people in the Sangu River basin in the past, near-future, and far-future for all selected GCMs.
Water 16 00745 g017
Figure 18. Monthly ET for the all selected GCMs in the past, near-future, and far-future.
Figure 18. Monthly ET for the all selected GCMs in the past, near-future, and far-future.
Water 16 00745 g018
Figure 19. Monthly transpiration for all selected GCMs in the past, near-future, and far-future.
Figure 19. Monthly transpiration for all selected GCMs in the past, near-future, and far-future.
Water 16 00745 g019
Table 1. Extreme rainfall indices.
Table 1. Extreme rainfall indices.
IndexDescriptive NameDefinitionUnit
CWDConsecutive wet daysMaximum number of consecutive rainy days with rainfall ≥ 1 mmDays
CDDConsecutive dry daysMaximum number of consecutive days with rainfall < 1 mmDays
Rnn *Number of days above nnYearly number of days with rainfall ≥ nn (nn is a user-defined threshold)Days
Note: * In this study, the user-defined threshold has been taken as 50 mm and 100 mm.
Table 2. Model selection summary.
Table 2. Model selection summary.
Model NameInstituteCountryPrecipitationTotal IndexRemarks
ACCESS1.0CSIRO-BOMAustralia16Selected
CESM1(CAM5)NCARUSA18Selected
CMCC-CMSCMCCItaly17Selected
CNRM-CM5NCMRFrance06PPR 1
GFDL-CM2.1NOAA-GFDLUSA16NFD 2
MPI-ESM-LRMPI-NGermany17Selected
MPI-ESM-MRMPI-NGermany16Selected
MPI-ESM-PMPI-NGermany17NFD 2
Note: 1 PPR = poor precipitation representation in the past, 2 NFD = no future data.
Table 3. Daily rain-gauges in the Sangu River basin with ID, name, location, and average annual rainfall.
Table 3. Daily rain-gauges in the Sangu River basin with ID, name, location, and average annual rainfall.
IDStation NameLatitudeLongitudeAnnual Rainfall (mm)
1Anwara22.23°91.83°2340
2Patiya22.28°92.00°2725
3Satkania22.17°92.06°2385
4Bandarban22.22°92.19°2560
5Lama21.81°92.19°3745
6Dulahazra21.66°92.08°3240
7Nakhyangchari21.51°92.33°3460
Table 4. Likelihood scale for policymakers.
Table 4. Likelihood scale for policymakers.
TermLikelihood of the Outcome
Virtually certain99–100% probability
Very likely90–100% probability
Likely66–100% probability
About as likely as not33–66% probability
Unlikely0–33% probability
Very unlikely0–10% probability
Exceptionally unlikely0–1% probability
Table 5. Percentage change in meteorological variables.
Table 5. Percentage change in meteorological variables.
% Change in Near Future% Change in Far Future
VariablesACCESS1.0CESM1(CAM5)CMCC-CMSMPI-ESM-LRMPI-ESM-MRACCESS1.0CESM1(CAM5)CMCC-CMSMPI-ESM-LRMPI-ESM-MR
Annual Rainfall13122106522328−711
Pre-monsoon Rainfall−19261011−19879−37−24−41
Monsoon Rainfall211281110482246−525
Post-monsoon Rainfall−1111−35−775757−1312−6
Winter Rainfall−31−37−424417−1312−52−759
Consecutive Wet Days196136929−3−11−4
R50mm *211881212693438−416
R100mm *38311623159763101439
Consecutive Dry Days71727−1101766122−1
Note: * Definition has been shown in Table 1.
Table 6. Model-calibrated parameters for the Sangu River basin.
Table 6. Model-calibrated parameters for the Sangu River basin.
ParametersUnitValue
Soil Parameters (basin average)
  Saturated water content (θS)m3/m30.46
  Residual soil water content (θr)m3/m30.08
  Saturated hydraulic conductivity for soil surfacemm/h71.54
  van Genuchten parameter (α)m−20.02
  van Genuchten parameter (n) 1.46
River Parameters
  Manning’s roughness coefficient for river 0.035
  Manning’s roughness coefficient for slope 0.4
  Width parameter (CW) 5.2
  Width parameter (SW) 0.3
  Depth parameter (Cd) 2.5
  Depth parameter (Sd) 0.2
Table 7. Percentage change in hydrological variables.
Table 7. Percentage change in hydrological variables.
% Change in Near Future% Change in Far Future
VariablesACCESS1.0CESM1(CAM5)CMCC-CMSMPI-ESM-LRMPI-ESM-MRACCESS1.0CESM1(CAM5)CMCC-CMSMPI-ESM-LRMPI-ESM-MR
Mean annual discharge1211893592129−177
Annual daily max. discharge2438661442435−1131
Annual daily min. discharge−18−16−4−11−10−31−13−24−6−10
Pre-monsoon discharge−16251011−219010−37−28−35
Monsoon discharge20124118591944−1817
Post-monsoon discharge−2212−35−10−64751−184−15
Winter discharge−38−48−301310−2819−33−56−3
Pre-monsoon ET114−651261−3−17−9
Monsoon ET1814161814201719916
Post-monsoon ET913910112318191213
Winter ET10941010231821−411
Pre-monsoon transpiration101238917147−25
Monsoon transpiration30283528287376858076
Post-monsoon transpiration19172016144138483540
Winter transpiration15151211124334431629
Table 8. Summary of basin-scale assessment.
Table 8. Summary of basin-scale assessment.
Likelihood of Outcomes (Increasing Trend)
Near-FutureFar-Future
(a) Meteorological Assessment
Future Annual Rainfallvirtually certainlikely
Future Extreme Rainfallvirtually certainlikely
Future Meteorological Droughtslikelylikely
(b) Hydrological Assessment
Future Annual Dischargevirtually certainlikely
Future Extreme Dischargevirtually certainlikely
Future Hydrological Droughtsvirtually certainvirtually certain
Disclaimer/Publisher’s Note: The statements, opinions and data contained in all publications are solely those of the individual author(s) and contributor(s) and not of MDPI and/or the editor(s). MDPI and/or the editor(s) disclaim responsibility for any injury to people or property resulting from any ideas, methods, instructions or products referred to in the content.

Share and Cite

MDPI and ACS Style

Hasan, M.K.; Rasmy, M.; Koike, T.; Tamakawa, K. An Integrated Approach for the Climate Change Impact Assessment on the Water Resources in the Sangu River Basin, Bangladesh, under Coupled-Model Inter-Comparison Project Phase 5. Water 2024, 16, 745. https://doi.org/10.3390/w16050745

AMA Style

Hasan MK, Rasmy M, Koike T, Tamakawa K. An Integrated Approach for the Climate Change Impact Assessment on the Water Resources in the Sangu River Basin, Bangladesh, under Coupled-Model Inter-Comparison Project Phase 5. Water. 2024; 16(5):745. https://doi.org/10.3390/w16050745

Chicago/Turabian Style

Hasan, Md. Khairul, Mohamed Rasmy, Toshio Koike, and Katsunori Tamakawa. 2024. "An Integrated Approach for the Climate Change Impact Assessment on the Water Resources in the Sangu River Basin, Bangladesh, under Coupled-Model Inter-Comparison Project Phase 5" Water 16, no. 5: 745. https://doi.org/10.3390/w16050745

APA Style

Hasan, M. K., Rasmy, M., Koike, T., & Tamakawa, K. (2024). An Integrated Approach for the Climate Change Impact Assessment on the Water Resources in the Sangu River Basin, Bangladesh, under Coupled-Model Inter-Comparison Project Phase 5. Water, 16(5), 745. https://doi.org/10.3390/w16050745

Note that from the first issue of 2016, this journal uses article numbers instead of page numbers. See further details here.

Article Metrics

Back to TopTop