The Investigation of the Response Mechanism of SST and Chlorophyll to Super Typhoon “Rey” in the South China Sea
Abstract
1. Introduction
2. Data and Methods
2.1. Data Sources
2.2. Method Introduction
2.3. Overview of the Area Study
3. Results and Discussion
3.1. Analysis of Wind Field and Ekman Pumping Iintensity
3.2. Response Characteristic Analysis of Net Heat Flux of Sea Surface
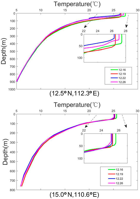
3.3. Analysis of Response Characteristics of Sea Surface Temperature
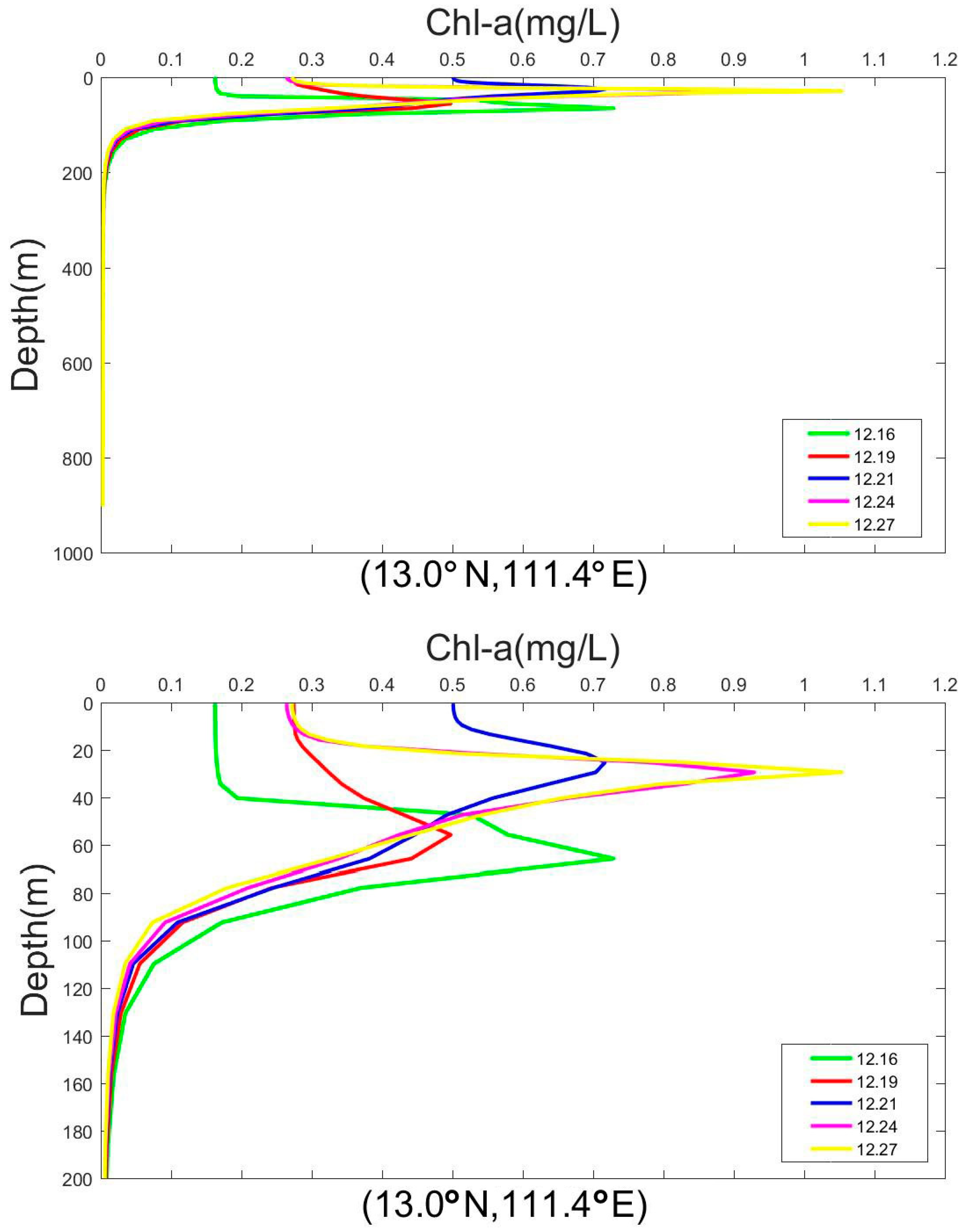
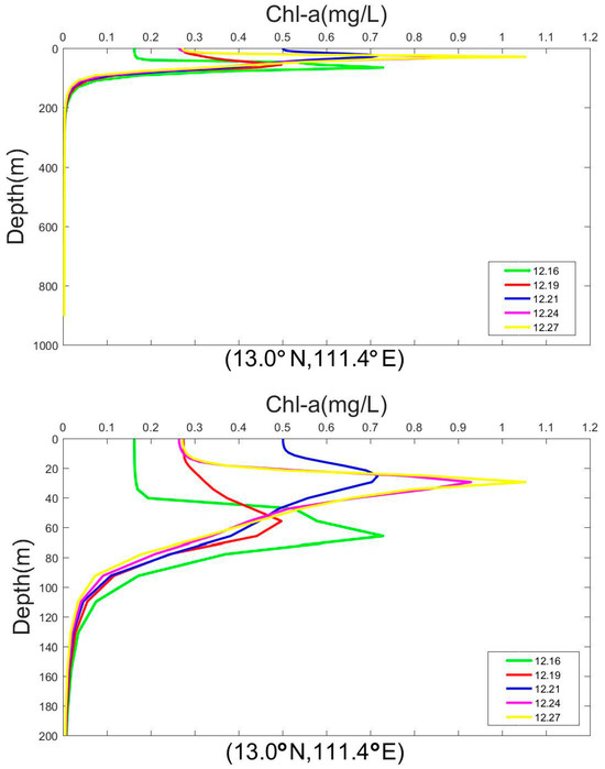
3.4. Surface Chlorophyll Response Analysis
4. Conclusions
- (1)
- During the typhoon, significant short-term fluctuations were observed in the hydrological characteristics of the South China Sea. During the transit of Typhoon Rey, the sea surface wind speed in the South China Sea increased, with the maximum wind speed reaching 62 m/s. The SST field indicates that the super typhoon traversed a warm ocean region, providing ample oceanic heat and water vapor for sustenance. Strong wind stress generated by the typhoon induced an Ekman pumping effect with a maximum intensity of 11.18 × 10−3 m/s, leading to changes in SST. The changes in sea surface temperature (SST) were primarily distributed on both sides of the typhoon path, with a higher concentration observed along the right side. This was characterized by a decrease in SST, with a maximum temperature difference reaching 2.28 °C. Conversely, on the left side of the typhoon path, an increase in temperature was observed, with a maximum temperature difference of 0.71 °C. The reduction in sea surface temperature exhibited a positive correlation with variations in Ekman intensity.
- (2)
- In addition to systematically analyzing the response mechanism of the upper ocean to the typhoon’s transit, a significant contribution of this paper is in the derivation and application of a simplified equation for calculating SST change, which excludes the influence of external complex factors by utilizing thermodynamic formulas. The conclusions drawn from our analysis regarding typhoon response are essentially consistent with those obtained by previous researchers. Notably, during the course of a typhoon event, substantial variations in the depth of the mixing layer were observed, reaching up to 20.1 m. On the right side of the typhoon, a cold anomaly was observed with a maximum temperature change of 3.28 °C. The exchange of heat at the sea surface resulted in a decrease of 1.50 °C in maximum temperature, whereas water mixing caused an average temperature change of 0.27 °C that lasted for 3–5 days. The upwelling on this side experienced an average temperature decrease of 0.20 °C and a maximum decrease of 1.01 °C. On the left side, there was a warm anomaly; however, due to the prolonged effect of cold suction being greater than that of the heat pump effect, any abnormal warming caused by the latter was not significant. The maximum increase in sea surface temperature resulting from solar radiation absorption by seawater was 1.54 °C, whereas the maximum increase due to seawater mixing was 0.71 °C. The average increase in sea surface temperature ranged between 0.2 °C and 0.5 °C for a duration of 1–2 days. Based on the analysis of this process, factors contributing to the decrease in sea surface temperature include the dynamic impact of upwelling, accounting for half of the temperature reduction, while the remaining decrease can be attributed to air–sea heat exchange and other intricate physical processes.
- (3)
- By manipulating the temperature, mixing intensity, and solar radiation in seawater, typhoons contribute essential nutrients to surface waters while simultaneously restraining the excessive proliferation of phytoplankton. Consequently, there is a transient augmentation in sea surface chlorophyll content, which exerts an influence on the marine ecological milieu. The region exhibiting the most pronounced alteration in the South China Sea is situated in its central and western part (13.5° N–16.5° N, 111° E–112.5° E), encompassing an approximate width of 250 km on the right side of the typhoon tracks. Following the typhoon event, there was an increase of 0.66 mg/L in Chl-a concentration compared to pre-typhoon levels, with the peak value reaching 0.96 mg/L. The response of chlorophyll-a (Chl-a) concentration to the typhoon exhibited a lag of 2–3 days, with the most significant change occurring 2 days after the passage of the typhoon through the region.
Author Contributions
Funding
Data Availability Statement
Acknowledgments
Conflicts of Interest
References
- Zhang, H.; He, H.; Zhang, W.-Z.; Tian, D. Upper Ocean Response to Tropical Cyclones: A Review. Geosci. Lett. 2021, 8, 1. [Google Scholar] [CrossRef]
- Walsh, K.J.E.; McBride, J.L.; Klotzbach, P.J.; Balachandran, S.; Camargo, S.J.; Holland, G.; Knutson, T.R.; Kossin, J.P.; Lee, T.; Sobel, A.; et al. Tropical Cyclones and Climate Change. WIREs Clim. Change 2016, 7, 65–89. [Google Scholar] [CrossRef]
- Price, J.F. Upper Ocean Response to a Hurricane. J. Phys. Oceanogr. 1981, 11, 153–175. [Google Scholar] [CrossRef]
- Sanford, T.B.; Price, J.F.; Girton, J.B.; Webb, D.C. Highly Resolved Observations and Simulations of the Ocean Response to a Hurricane. Geophys. Res. Lett. 2007, 34, L13604. [Google Scholar] [CrossRef]
- Han, S.; Wang, M.; Peng, B. Response of Temperature to Successive Typhoons in the South China Sea. J. Mar. Sci. Eng. 2022, 10, 1157. [Google Scholar] [CrossRef]
- Zhang, Z.; Wang, Y.; Zhang, W.; Xu, J. Coastal Ocean Response and Its Feedback to Typhoon Hato (2017) Over the South China Sea: A Numerical Study. J. Geophys. Res. Atmospheres 2019, 124, 13731–13749. [Google Scholar] [CrossRef]
- Haghroosta, T.; Ismail, W.R. Typhoon Activity and Some Important Parameters in the South China Sea. Weather Clim. Extrem. 2017, 17, 29–35. [Google Scholar] [CrossRef]
- Walker, N.D.; Leben, R.R.; Balasubramanian, S. Hurricane-Forced Upwelling and Chlorophyll a Enhancement within Cold-Core Cyclones in the Gulf of Mexico. Geophys. Res. Lett. 2005, 32, L18610. [Google Scholar] [CrossRef]
- Lin, S.; Zhang, W.-Z.; Shang, S.-P.; Hong, H.-S. Ocean Response to Typhoons in the Western North Pacific: Composite Results from Argo Data. Deep Sea Res. Part Oceanogr. Res. Pap. 2017, 123, 62–74. [Google Scholar] [CrossRef]
- Chiang, T.-L.; Wu, C.-R.; Oey, L.-Y. Typhoon Kai-Tak: An Ocean’s Perfect Storm. J. Phys. Oceanogr. 2011, 41, 221–233. [Google Scholar] [CrossRef]
- Golder, M.R.; Shuva, M.S.H.; Rouf, M.A.; Uddin, M.M.; Bristy, S.K.; Bir, J. Chlorophyll-a, SST and particulate organic carbon in response to the cyclone Amphan in the Bay of Bengal. J. Earth Syst. Sci. 2021, 130, 157. [Google Scholar] [CrossRef]
- Kahru, M.; Gille, S.T.; Murtugudde, R.; Strutton, P.G.; Manzano-Sarabia, M.; Wang, H.; Mitchell, B.G. Global Correlations between Winds and Ocean Chlorophyll. J. Geophys. Res. Oceans 2010, 115, C12040. [Google Scholar] [CrossRef]
- Wang, Y. Composite of Typhoon-Induced Sea Surface Temperature and Chlorophyll-a Responses in the South China Sea. J. Geophys. Res. Oceans 2020, 125, e2020JC016243. [Google Scholar] [CrossRef]
- Liu, Y.; Tang, D.; Evgeny, M. Chlorophyll Concentration Response to the Typhoon Wind-Pump Induced Upper Ocean Processes Considering Air–Sea Heat Exchange. Remote Sens. 2019, 11, 1825. [Google Scholar] [CrossRef]
- Köberle, C.; Philander, S.G.H. On the Processes That Control Seasonal Variations of Sea Surface Temperatures in the Tropical Pacific Ocean. Tellus A 1994, 46, 481–496. [Google Scholar] [CrossRef]
- de Ruijter, W.P.M. Effects of Velocity Shear in Advective Mixed-Layer Models. J. Phys. Oceanogr. 1983, 13, 1589–1599. [Google Scholar] [CrossRef]
- Jin, W.; Liang, C.; Tian, X.; Hu, J.; Ding, T.; Zhou, B.; Chen, X.; Wang, Y. Identifying Oceanic Responses with Validated Satellite Observations after the Passage of Typhoons in the Northern South China Sea. Remote Sens. 2022, 14, 3872. [Google Scholar] [CrossRef]
- Vincent, E.M.; Lengaigne, M.; Madec, G.; Vialard, J.; Samson, G.; Jourdain, N.C.; Menkes, C.E.; Jullien, S. Processes Setting the Characteristics of Sea Surface Cooling Induced by Tropical Cyclones. J. Geophys. Res. Oceans 2012, 117, C02020. [Google Scholar] [CrossRef]
- Oginni, T.E.; Li, S.; He, H.; Yang, H.; Ling, Z. Ocean Response to Super-Typhoon Haiyan. Water 2021, 13, 2841. [Google Scholar] [CrossRef]
- Mantravadi, S.V.; Yu, S.; Raju, P.V.S. Typhoon Haikui Induced Sea Surface Temperature Cooling and Rainfall Influence over Zhejiang Coastal Waters. Atmósfera 2020, 34, 385–394. [Google Scholar] [CrossRef]
- Zheng, Z.-W.; Chen, Y.-R. Influences of Tidal Effect on Upper Ocean Responses to Typhoon Passages Surrounding Shore Region off Northeast Taiwan. J. Mar. Sci. Eng. 2022, 10, 1419. [Google Scholar] [CrossRef]
- Park, J.J.; Kwon, Y.-O.; Price, J.F. Argo Array Observation of Ocean Heat Content Changes Induced by Tropical Cyclones in the North Pacific. J. Geophys. Res. Oceans 2011, 116, C12025. [Google Scholar] [CrossRef]
- Yu, J.; Lin, S.; Jiang, Y.; Wang, Y. Modulation of Typhoon-Induced Sea Surface Cooling by Preexisting Eddies in the South China Sea. Water 2021, 13, 653. [Google Scholar] [CrossRef]
- Wang, J.; Guo, B.; Ji, Z.; Che, Y.; Mantravadi, V.S. Effects of Typhoon Chanthu on Marine Chlorophyll a, Temperature and Salinity. Atmosphere 2023, 14, 1505. [Google Scholar] [CrossRef]
- Li, Z.-L.; Wen, P. Comparison between the Response of the Northwest Pacific Ocean and the South China Sea to Typhoon Megi (2010). Adv. Atmospheric Sci. 2017, 34, 79–87. [Google Scholar] [CrossRef]
- Tang, D.; Kawamura, H.; Lee, M.-A.; Van Dien, T. Seasonal and Spatial Distribution of Chlorophyll-a Concentrations and Water Conditions in the Gulf of Tonkin, South China Sea. Remote Sens. Environ. 2003, 85, 475–483. [Google Scholar] [CrossRef]
- Chacko, N. Chlorophyll Bloom in Response to Tropical Cyclone Hudhud in the Bay of Bengal: Bio-Argo Subsurface Observations. Deep Sea Res. Part Oceanogr. Res. Pap. 2017, 124, 66–72. [Google Scholar] [CrossRef]
- Stefanidis, K.; Varlas, G.; Vourka, A.; Papadopoulos, A.; Dimitriou, E. Delineating the Relative Contribution of Climate Related Variables to Chlorophyll-a and Phytoplankton Biomass in Lakes Using the ERA5-Land Climate Reanalysis Data. Water Res. 2021, 196, 117053. [Google Scholar] [CrossRef]
- Xie, W.; Wang, T.; Jiang, W. Spatio-Temporal Variability of Surface Chlorophyll a in the Yellow Sea and the East China Sea Based on Reconstructions of Satellite Data of 2001–2020. J. Oceanol. Limnol. 2023, 1–18. [Google Scholar] [CrossRef]
- Wu, R.; Zhang, H.; Chen, D. Effect of Typhoon Kalmaegi (2014) on Northern South China Sea Explored Using Muti-Platform Satellite and Buoy Observations Data. Prog. Oceanogr. 2020, 180, 102218. [Google Scholar] [CrossRef]
- Fang, W.; Geng, B.; Xiu, P. Typhoon Effects on the Vertical Chlorophyll Distribution on the Northern Shelf of the South China Sea. J. Geophys. Res. Oceans 2022, 127, e2022JC019350. [Google Scholar] [CrossRef]
- Wang, Y.; Xiu, P. Typhoon Footprints on Ocean Surface Temperature and Chlorophyll-a in the South China Sea. Sci. Total Environ. 2022, 840, 156686. [Google Scholar] [CrossRef] [PubMed]
























| Date | Intensity | Position | Central Pressure (hPa) | Wind Speed (m/s) |
|---|---|---|---|---|
| 12 December 2021 | Tropical depression | 4.7° N, 144.9° E | 1002 | 13 |
| 13 December 2021 | Tropical storm | 5.4° N, 140.7° E | 998 | 18 |
| 15 December 2021 | Typhoon | 8.6° N, 133.5° E | 975 | 33 |
| 16 December 2021 | Super typhoon | 9.4° N, 129.0° E | 935 | 52 |
| 17 December 2021 | Severe typhoon | 10.2° N, 122.5° E | 945 | 48 |
| 18 December 2021 | Super typhoon | 11.2° N, 114.8° E | 935 | 62 |
| 20 December 2021 | Typhoon | 16.9° N, 110.7° E | 970 | 35 |
| 21 December 2021 | Tropical depression | 20.6° N, 113.8° E | 1006 | 15 |
| DATE | 16 | 17 | 18 | 19 | 20 | 21 | 22 | |
|---|---|---|---|---|---|---|---|---|
| Region 5 | Max | 0.62 × 10−3 | 1.02 × 10−3 | 0.17 × 10−3 | 1.70 × 10−3 | 0.64 × 10−3 | −0.06 × 10−3 | 0.44 × 10−3 |
| Min | −0.65 × 10−3 | −0.36 × 10−3 | −0.28 × 10−3 | −1.33 × 10−3 | −1.35 × 10−3 | −0.86 × 10−3 | −0.45 × 10−3 | |
| Average | −0.17 × 10−3 | 0.11 × 10−3 | 0.01 × 10−3 | 0.47 × 10−3 | 0.05 × 10−3 | −0.50 × 10−3 | −0.15 × 10−3 | |
| Region 6 | Max | 0.73 × 10−3 | 0.66 × 10−3 | 0.29 × 10−3 | 7.18 × 10−3 | 2.79 × 10−3 | −0.05 × 10−3 | 0.38 × 10−3 |
| Min | −0.36 × 10−3 | 0.08 × 10−3 | −0.25 × 10−3 | −3.00 × 10−3 | −1.17 × 10−3 | −1.19 × 10−3 | −0.65 × 10−3 | |
| Average | 0.01 × 10−3 | 0.18 × 10−3 | 0.08 × 10−3 | 1.47 × 10−3 | 0.80 × 10−3 | −0.59 × 10−3 | −0.16 × 10−3 | |
| Region 7 | Max | 0.74 × 10−3 | 0.28 × 10−3 | 0.84 × 10−3 | 6.38 × 10−3 | 11.18 × 10−3 | 1.68 × 10−3 | 0.47 × 10−3 |
| Min | −0.41 × 10−3 | −0.19 × 10−3 | −0.33 × 10−3 | −0.69 × 10−3 | −0.18 × 10−3 | −1.52 × 10−3 | −0.34 × 10−3 | |
| Average | 0.04 × 10−3 | 0.27 × 10−3 | 0.01 × 10−3 | 1.21 × 10−3 | 1.80 × 10−3 | −0.42 × 10−3 | −0.16 × 10−3 |
| Date | 16 | 17 | 18 | 19 | 20 | 21 | 22 | |
|---|---|---|---|---|---|---|---|---|
| Region 1 | Max | 28.98 | 29.43 | 28.69 | 28.82 | 28.97 | 28.87 | 29.07 |
| Min | 28.29 | 28.86 | 27.76 | 27.56 | 27.96 | 28.21 | 27.96 | |
| Average | 28.67 | 29.12 | 28.15 | 28.25 | 28.47 | 28.60 | 28.51 | |
| Region 2 | Max | 28.7 | 29.3 | 27.99 | 28.14 | 28.47 | 28.57 | 28.43 |
| Min | 28.14 | 28.62 | 27.29 | 27.09 | 27.77 | 27.76 | 27.61 | |
| Average | 28.41 | 28.97 | 27.73 | 27.66 | 28.10 | 28.17 | 27.97 | |
| Region 3 | Max | 28.5 | 29.04 | 28.18 | 28.08 | 28.00 | 28.18 | 28.15 |
| Min | 28.01 | 28.21 | 26.82 | 26.16 | 26.41 | 27.20 | 26.55 | |
| Average | 28.19 | 28.67 | 27.65 | 27.28 | 27.39 | 27.80 | 27.55 | |
| Region 4 | Max | 28.57 | 29.03 | 27.91 | 28.02 | 28.13 | 28.33 | 28.21 |
| Min | 28.12 | 28.6 | 26.84 | 26.82 | 27.55 | 27.67 | 27.61 | |
| Average | 28.34 | 28.80 | 27.54 | 27.52 | 27.92 | 27.98 | 27.97 | |
| Region 5 | Max | 28.17 | 28.48 | 27.64 | 26.53 | 27.24 | 27.58 | 27.5 |
| Min | 26.77 | 26.87 | 25.44 | 24.32 | 24.96 | 25.27 | 24.98 | |
| Average | 27.67 | 27.75 | 26.83 | 25.30 | 26.14 | 26.48 | 26.11 | |
| Region 6 | Max | 27.54 | 28.05 | 26.54 | 25.09 | 26.08 | 26.54 | 26.3 |
| Min | 26.00 | 25.77 | 24.9 | 23.62 | 24.14 | 24.43 | 24.67 | |
| Average | 26.82 | 26.88 | 25.77 | 24.21 | 25.14 | 25.63 | 25.56 | |
| Region 7 | Max | 26.42 | 26.47 | 25.73 | 25.08 | 25.52 | 26.15 | 25.8 |
| Min | 25.37 | 25.32 | 24.83 | 23.43 | 23.28 | 24.04 | 24.12 | |
| Average | 25.78 | 25.77 | 25.29 | 24.21 | 24.21 | 24.91 | 24.79 | |
| Region 8 | Max | 25.89 | 26.04 | 25.8 | 25.56 | 25.7 | 25.61 | 25.48 |
| Min | 24.84 | 24.87 | 24.77 | 24.4 | 24.44 | 24.64 | 24.24 | |
| Average | 25.45 | 25.47 | 25.32 | 25.17 | 25.25 | 25.21 | 25.02 |
| Element | Pre-Typhoon | Post-Typhoon | ||
|---|---|---|---|---|
| Research Area | Regional Average | Research Area | Regional Average | |
| Chl-a (mg/L) | 0.08–3.90 | 0.37 ± 0.36 | 0.09–4.04 | 0.54 ± 0.46 |
Disclaimer/Publisher’s Note: The statements, opinions and data contained in all publications are solely those of the individual author(s) and contributor(s) and not of MDPI and/or the editor(s). MDPI and/or the editor(s) disclaim responsibility for any injury to people or property resulting from any ideas, methods, instructions or products referred to in the content. |
© 2024 by the authors. Licensee MDPI, Basel, Switzerland. This article is an open access article distributed under the terms and conditions of the Creative Commons Attribution (CC BY) license (https://creativecommons.org/licenses/by/4.0/).
Share and Cite
Wang, S.; Song, J.; Guo, J.; Fu, Y.; Cai, Y.; Wang, L. The Investigation of the Response Mechanism of SST and Chlorophyll to Super Typhoon “Rey” in the South China Sea. Water 2024, 16, 603. https://doi.org/10.3390/w16040603
Wang S, Song J, Guo J, Fu Y, Cai Y, Wang L. The Investigation of the Response Mechanism of SST and Chlorophyll to Super Typhoon “Rey” in the South China Sea. Water. 2024; 16(4):603. https://doi.org/10.3390/w16040603
Chicago/Turabian StyleWang, Shichao, Jun Song, Junru Guo, Yanzhao Fu, Yu Cai, and Linhui Wang. 2024. "The Investigation of the Response Mechanism of SST and Chlorophyll to Super Typhoon “Rey” in the South China Sea" Water 16, no. 4: 603. https://doi.org/10.3390/w16040603
APA StyleWang, S., Song, J., Guo, J., Fu, Y., Cai, Y., & Wang, L. (2024). The Investigation of the Response Mechanism of SST and Chlorophyll to Super Typhoon “Rey” in the South China Sea. Water, 16(4), 603. https://doi.org/10.3390/w16040603

