Dynamic Successive Assessment of Water Resource Carrying Capacity Based on System Dynamics Model and Variable Fuzzy Pattern Recognition Method
Abstract
1. Introduction
2. Dynamic Successive Assessment and System Dynamics Simulation Method of WRCC
2.1. Developing Indicator System for WRCC Using the PSR Framework
2.2. Assessment Method Based on VFPR and AHP Model
2.3. The Framework of WRCC System Dynamics of Hebei
- (1)
- The status quo scenario, maintaining the status quo social development model, and only considering the self-produced water resources in this area. This scenario was used as a reference scenario for others.
- (2)
- Efficient water conservation, according to the Opinions on the Implementation of the Strictest Water Resource Management System issued by the State Council, which determines that the total water supply of Hebei in 2015, 2020 was controlled at 21.7 billion m3, 22.1 billion m3, respectively, and in 2030 will be controlled at 24.6 billion m3. For this reason, this paper selects the minimum of the groundwater and surface water supply for the period 18 from 2005 to 2022. The file also determines that the water consumption of CNY 10,000 of industrial added value in 2015 is 25% less than that of 2010. This study sets a 25% reduction in agricultural value-added water consumption, industrial value-added water consumption, and service value-added water consumption every 5 years compared to the previous year. Also, this study sets 2025 and 2030 to increase the sewage treatment to 50% and 80%, respectively, and selects the lowest value of each sewage discharge coefficient and sewage COD discharge coefficient.
- (3)
- Cross-regional water transfer, increasing water availability under a status quo continuation scenario. Since the official opening of the first phase of the South-to-North Water Diversion Mainline Project in December 2014, Hebei has diverted a cumulative total of 16.7 billion cubic meters of water from the river. In 2030, it is expected that 3 billion m3 of water will be transferred annually from outside through the South-to-North Water Diversion Project.
3. Method Application
3.1. Study Site and Data
3.2. The WRCC Evaluation Results of Hebei Province
3.3. The WRCC Simulation Results of Hebei Province
4. Discussion
5. Conclusions
Author Contributions
Funding
Data Availability Statement
Acknowledgments
Conflicts of Interest
Appendix A
| Year | Weighting Methods | ||||
|---|---|---|---|---|---|
| Equal Weighting | Entropy Weighting | AHP | AHP-E | PCA | |
| 2005 | 3.625 | 3.871 | 4.103 | 4.324 | 3.724 |
| 2006 | 3.608 | 3.875 | 4.080 | 4.329 | 3.703 |
| 2007 | 3.559 | 3.842 | 4.018 | 4.286 | 3.651 |
| 2008 | 3.494 | 3.779 | 3.953 | 4.222 | 3.585 |
| 2009 | 3.458 | 3.760 | 3.915 | 4.178 | 3.559 |
| 2010 | 3.431 | 3.735 | 3.872 | 4.137 | 3.528 |
| 2011 | 3.319 | 3.538 | 3.729 | 3.891 | 3.442 |
| 2012 | 3.349 | 3.626 | 3.717 | 3.971 | 3.438 |
| 2013 | 3.359 | 3.629 | 3.785 | 3.997 | 3.450 |
| 2014 | 3.351 | 3.651 | 3.771 | 4.012 | 3.426 |
| 2015 | 3.281 | 3.599 | 3.621 | 3.910 | 3.328 |
| 2016 | 3.205 | 3.495 | 3.505 | 3.781 | 3.224 |
| 2017 | 3.164 | 3.416 | 3.489 | 3.730 | 3.216 |
| 2018 | 3.152 | 3.372 | 3.495 | 3.742 | 3.163 |
| 2019 | 3.070 | 3.212 | 3.388 | 3.577 | 3.063 |
| 2020 | 2.966 | 3.045 | 3.294 | 3.449 | 2.956 |
| 2021 | 2.803 | 2.866 | 2.982 | 3.191 | 2.746 |
| 2022 | 2.879 | 2.925 | 3.149 | 3.255 | 2.869 |
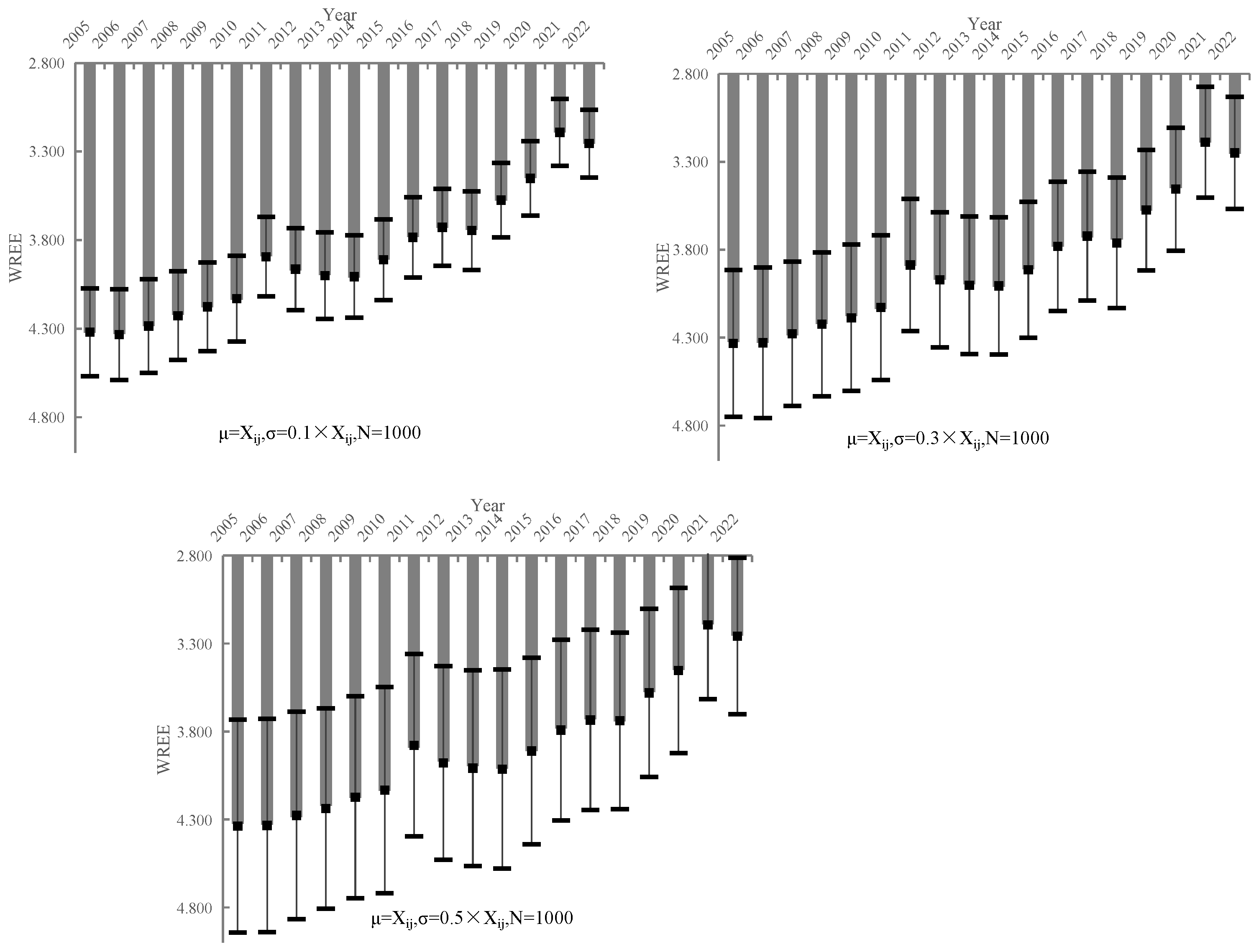
Appendix B
| Year | σ Are 0.1 Xij | σ Are 0.3 Xij | σ Are 0.5 Xij | ||||||
|---|---|---|---|---|---|---|---|---|---|
| Mean | Confidence Interval | Mean | Confidence Interval | Mean | Confidence Interval | ||||
| 2005 | 4.320 | 4.072 | 4.568 | 4.333 | 3.916 | 4.750 | 4.338 | 3.733 | 4.944 |
| 2006 | 4.334 | 4.078 | 4.591 | 4.329 | 3.901 | 4.758 | 4.334 | 3.728 | 4.940 |
| 2007 | 4.286 | 4.022 | 4.549 | 4.278 | 3.869 | 4.688 | 4.277 | 3.687 | 4.867 |
| 2008 | 4.227 | 3.977 | 4.477 | 4.224 | 3.815 | 4.633 | 4.238 | 3.668 | 4.807 |
| 2009 | 4.177 | 3.925 | 4.428 | 4.187 | 3.771 | 4.604 | 4.174 | 3.601 | 4.747 |
| 2010 | 4.130 | 3.887 | 4.373 | 4.129 | 3.718 | 4.540 | 4.134 | 3.548 | 4.719 |
| 2011 | 3.894 | 3.670 | 4.118 | 3.887 | 3.512 | 4.262 | 3.879 | 3.360 | 4.397 |
| 2012 | 3.964 | 3.732 | 4.196 | 3.971 | 3.586 | 4.356 | 3.979 | 3.429 | 4.528 |
| 2013 | 4.001 | 3.756 | 4.246 | 4.002 | 3.611 | 4.393 | 4.008 | 3.453 | 4.564 |
| 2014 | 4.006 | 3.774 | 4.239 | 4.006 | 3.616 | 4.396 | 4.014 | 3.447 | 4.580 |
| 2015 | 3.910 | 3.682 | 4.138 | 3.914 | 3.528 | 4.300 | 3.911 | 3.381 | 4.441 |
| 2016 | 3.785 | 3.558 | 4.011 | 3.781 | 3.414 | 4.149 | 3.792 | 3.280 | 4.305 |
| 2017 | 3.728 | 3.511 | 3.944 | 3.723 | 3.356 | 4.089 | 3.735 | 3.222 | 4.247 |
| 2018 | 3.746 | 3.525 | 3.968 | 3.762 | 3.391 | 4.132 | 3.739 | 3.237 | 4.241 |
| 2019 | 3.574 | 3.363 | 3.785 | 3.575 | 3.232 | 3.918 | 3.580 | 3.103 | 4.058 |
| 2020 | 3.451 | 3.241 | 3.661 | 3.456 | 3.106 | 3.806 | 3.453 | 2.984 | 3.923 |
| 2021 | 3.192 | 3.002 | 3.381 | 3.189 | 2.875 | 3.504 | 3.195 | 2.774 | 3.616 |
| 2022 | 3.255 | 3.064 | 3.446 | 3.249 | 2.930 | 3.568 | 3.258 | 2.814 | 3.703 |
References
- Harris, J.M.; Kennedy, S. Carrying capacity in agriculture: Global and regional issues. Ecol. Econ. 1999, 29, 443–461. [Google Scholar] [CrossRef]
- Barati, A.A.; Azadi, H.; Scheffran, J. A system dynamics model of smart groundwater governance. Agric. Water Manag. 2019, 221, 502–518. [Google Scholar] [CrossRef]
- Dai, D.; Sun, M.; Lv, X.; Lei, K. Evaluating water resource sustainability from the perspective of water resource carrying capacity, a case study of the Yongding River watershed in Beijing-Tianjin-Hebei region, China. Environ. Sci. Pollut. Res. 2020, 27, 21590–21603. [Google Scholar] [CrossRef] [PubMed]
- Bayu, T.; Kim, H.; Oki, T. Water Governance Contribution to Water and Sanitation Access Equality in Developing Countries. Water Resour. Res. 2020, 56, e2019WR025330. [Google Scholar] [CrossRef]
- Kuriqi, A.; Pinheiro, A.N.; Sordo-Ward, A.; Garrote, L. Influence of hydrologically based environmental flow methods on flow alteration and energy production in a run-of-river hydropower plant. J. Clean. Prod. 2019, 232, 1028–1042. [Google Scholar] [CrossRef]
- Kuriqi, A.; Pinheiro, A.N.; Sordo-Ward, A.; Garrote, L. Flow regime aspects in determining environmental flows and maximising energy production at run-of-river hydropower plants. Appl. Energy 2019, 256, 113980. [Google Scholar] [CrossRef]
- Joardar, S.D. Carrying capacities and standards as bases towards urban infrastructure planning in India: A case of urban water supply and sanitation. Habitat Int. 1998, 22, 327–337. [Google Scholar] [CrossRef]
- Mashaly, A.F.; Fernald, A.G. Identifying Capabilities and Potentials of System Dynamics in Hydrology and Water Resources as a Promising Modeling Approach for Water Management. Water 2020, 12, 1432. [Google Scholar] [CrossRef]
- Deng, L.; Yin, J.; Tian, J.; Li, Q.; Guo, S. Comprehensive Evaluation of Water Resources Carrying Capacity in the Han River Basin. Water 2021, 13, 249. [Google Scholar] [CrossRef]
- Khorsandi, M.; Homayouni, S.; van Oel, P. The edge of the petri dish for a nation: Water resources carrying capacity assessment for Iran. Sci. Total. Environ. 2022, 817, 153038. [Google Scholar] [CrossRef]
- Kuspilić, M.; Vuković, Ž.; Halkijević, I. Assessment of water resources carrying capacity for the Island of Cres. J. Croat. Assoc. Civ. Eng. 2018, 70, 305–313. [Google Scholar]
- Zhou, R.; Pan, Z.; Jin, J.; Li, C.; Ning, S. Forewarning Model of Regional Water Resources Carrying Capacity Based on Combination Weights and Entropy Principles. Entropy 2017, 19, 574. [Google Scholar] [CrossRef]
- Ait-Aoudia, M.N.; Berezowska-Azzag, E. Water resources carrying capacity assessment: The case of Algeria’s capital city. Habitat Int. 2016, 58, 51–58. [Google Scholar] [CrossRef]
- Cui, Y.; Feng, P.; Jin, J.; Liu, L. Water Resources Carrying Capacity Evaluation and Diagnosis Based on Set Pair Analysis and Improved the Entropy Weight Method. Entropy 2018, 20, 359. [Google Scholar] [CrossRef] [PubMed]
- Gong, L.; Jin, C. Fuzzy Comprehensive Evaluation for Carrying Capacity of Regional Water Resources. Water Resour. Manag. 2009, 23, 2505–2513. [Google Scholar] [CrossRef]
- Wang, S.; Yang, F.-L.; Xu, L.; Du, J. Multi-scale analysis of the water resources carrying capacity of the Liaohe Basin based on ecological footprints. J. Clean. Prod. 2013, 53, 158–166. [Google Scholar] [CrossRef]
- Qin, G.; Li, H.; Wang, X.; Ding, J. Research on Water Resources Design Carrying Capacity. Water 2016, 8, 157. [Google Scholar] [CrossRef]
- Wang, C.-N.; Yang, F.-C.; Vo, T.M.N.; Nguyen, V.T.T.; Singh, M. Enhancing Efficiency and Cost-Effectiveness: A Groundbreaking Bi-Algorithm MCDM Approach. Appl. Sci. 2023, 13, 9105. [Google Scholar] [CrossRef]
- Wang, C.-N.; Yang, F.-C.; Vo, N.T.M.; Nguyen, V.T.T. Enhancing Lithium-Ion Battery Manufacturing Efficiency: A Comparative Analysis Using DEA Malmquist and Epsilon-Based Measures. Batteries 2023, 9, 317. [Google Scholar] [CrossRef]
- Sterman, J.D. Learning in and about complex systems. Syst. Dyn. Rev. 1994, 10, 291–330. [Google Scholar] [CrossRef]
- Zomorodian, M.; Lai, S.H.; Homayounfar, M.; Ibrahim, S.; Fatemi, S.E.; El-Shafie, A. The state-of-the-art system dynamics application in integrated water resources modeling. J. Environ. Manag. 2018, 227, 294–304. [Google Scholar] [CrossRef] [PubMed]
- Yang, J.; Lei, K.; Khu, S.; Meng, W. Assessment of Water Resources Carrying Capacity for Sustainable Development Based on a System Dynamics Model: A Case Study of Tieling City, China. Water Resour. Manag. 2015, 29, 885–899. [Google Scholar] [CrossRef]
- Liu, P.; Lü, S.; Han, Y.; Wang, F.; Tang, L. Comprehensive evaluation on water resources carrying capacity based on water-economy-ecology concept framework and EFAST-cloud model: A case study of Henan Province, China. Ecol. Indic. 2022, 143, 109392. [Google Scholar] [CrossRef]
- Wang, X.; Liu, L.; Zhang, S.; Gao, C. Dynamic simulation and comprehensive evaluation of the water resources carrying capacity in Guangzhou city, China. Ecol. Indic. 2022, 135, 108528. [Google Scholar] [CrossRef]
- Zhao, X.; Rao, H.; Yi, Q.; He, C.; Yang, H. Scenarios simulation on carrying capacity of water resources in Kunming City. Procedia Earth Planet. Sci. 2012, 5, 107–112. [Google Scholar]
- Chen, X.; Xu, Q.; Cai, J. Research on the urban water resources carrying capacity by using system dynamics simulation. Hydrol. Res. 2023, 54, 418–434. [Google Scholar] [CrossRef]
- Sun, B.; Yang, X. Simulation of Water Resources Carrying Capacity in Xiong’an New Area Based on System Dynamics Model. Water 2019, 11, 1085. [Google Scholar] [CrossRef]
- Wang, G.; Xiao, C.; Qi, Z.; Meng, F.; Liang, X. Development tendency analysis for the water resource carrying capacity based on system dynamics model and the improved fuzzy comprehensive evaluation method in the Changchun city, China. Ecol. Indic. 2021, 122, 107232. [Google Scholar] [CrossRef]
- OECD. Towards Sustainable Development Environmental Indicators: Environmental Indicators; OECD Publishing: Paris, France, 1998. [Google Scholar]
- Wang, Q.; Yuan, X.; Zhang, J.; Mu, R.; Yang, H.; Ma, C. Key evaluation framework for the impacts of urbanization on air environment—A case study. Ecol. Indic. 2013, 24, 266–272. [Google Scholar] [CrossRef]
- Chen, S.; Guo, Y. Variable fuzzy sets and its application in comprehensive risk evaluation for flood-control engineering system. Fuzzy Optim. Decis. Mak. 2006, 5, 153–162. [Google Scholar]
- Wang, T.; Xu, S. Dynamic successive assessment method of water environment carrying capacity and its application. Ecol. Indic. 2015, 52, 134–146. [Google Scholar] [CrossRef]
- Fotovatikhah, F.; Herrera, M.; Shamshirband, S.; Ahmadi, M.; Ardabili, S.F.; Piran, J. Survey of computational intelligence as basis to big flood management: Challenges, research directions and future work. Eng. Appl. Comput. Fluid Mech. 2018, 12, 411–437. [Google Scholar] [CrossRef]
- Gebrehiwet, T.; Luo, H. Risk Level Evaluation on Construction Project Lifecycle Using Fuzzy Comprehensive Evaluation and TOPSIS. Symmetry 2018, 11, 12. [Google Scholar] [CrossRef]
- Qiao, J.J. Application of improved entropy method in Henan sustainable development evaluation. Resour. Sci. 2004, 26, 113–118. [Google Scholar]
- Rioul, O.; Magossi, J.C. On Shannon’s Formula and Hartley’s Rule: Beyond the Mathematical Coincidence. Entropy 2014, 16, 4892–4910. [Google Scholar] [CrossRef]
- Reziya, A.M.A.N.; Chuanglin, F.A.N.G. System Dynamics and Scenario Simulation of Water Resources Carrying Capacity in Xinjiang. Environ. Sci. Technol. 2020, 43, 10036504. [Google Scholar]
- Yang, Q.; Zhang, F.; Jiang, Z.; Yuan, D.; Jiang, Y. Assessment of water resource carrying capacity in karst area of Southwest China. Environ. Earth Sci. 2016, 75, 1–8. [Google Scholar] [CrossRef]









| Indicator System | Grades | |||||
|---|---|---|---|---|---|---|
| Subsystems | Indicators | 1 | 2 | 3 | 4 | 5 |
| WRPCC (Pressure) | Population density (PER/km2, X1) | 10 | 100 | 300 | 600 | 1000 |
| Water consumption per capita (m3/PER, X2) | 200 | 300 | 400 | 600 | 900 | |
| Per capita ecosystem water use (m3/PER, X3) | 50 | 20 | 10 | 5 | 3 | |
| Water consumption intensity of GDP (m3/104 yuan, X4) | 80 | 110 | 250 | 600 | 700 | |
| Ratio of water consumption (%, X5) | 50 | 60 | 65 | 70 | 80 | |
| Wastewater discharge of GDP (m3/104 yuan, X6) | 7 | 10 | 15 | 20 | 30 | |
| The proportion of tertiary industry in GDP (%, X7) | 55 | 50 | 45 | 40 | 35 | |
| WRSCC (State) | Modulus of water production (104 m3/km2, X8) | 120 | 90 | 50 | 10 | 5 |
| Water resources per capita (m3/PER, X9) | 5000 | 3000 | 2000 | 1000 | 500 | |
| Annual precipitation (mm, X10) | 1600 | 800 | 600 | 400 | 200 | |
| Exploitation and utilization ratio of water resources (%, X11) | 10 | 20 | 40 | 60 | 100 | |
| Ratio of groundwater to water supply (%, X12) | 5 | 20 | 30 | 40 | 50 | |
| Ratio of water supply from other water resources (%, X13) | 5 | 2.5 | 1 | 0.5 | 0.1 | |
| WRRCC (Response) | Ratio of wastewater treatment (%, X14) | 90 | 80 | 70 | 65 | 60 |
| Ratio of investment in environmental pollution control to GDP (%, X15) | 3 | 2 | 1 | 0.75 | 5 | |
| Ratio of municipal wastewater treatment reuse (%, X16) | 30 | 20 | 15 | 10 | 5 | |
| Forest coverage (%, X17) | 40 | 30 | 25 | 20 | 10 | |
| Name | Unit | Equations |
|---|---|---|
| GDP | CNY 108 | =Value added in agriculture + Value added in industry + Value added in services |
| Value added in agriculture | CNY 108 | =INTEG (Value added in agriculture × Growth rate of agricultural added value, Initial value of agricultural added value) |
| Agricultural water demand | 108 m3 | =Water consumption of CNY 10,000 of agricultural added value × Value added in agriculture/10,000 |
| Value added in industry | CNY 108 | =INTEG (Value added in industry × Growth rate of value added in industry, Initial value of industry added value) |
| Industrial water demand | 108 m3 | =Water consumption of 10,000 yuan of industrial added value × Value added in industry/10,000 |
| Industrial wastewater discharge | 108 ton | =Industrial wastewater discharge factor × Industrial water demand |
| Industrial wastewater COD emissions | 104 ton | =COD emission factor for industrial wastewater × Industrial wastewater discharge |
| Value added in services | CNY 108 | =INTEG (Value added in services × Growth rate of value added in services, Initial value of services added value) |
| Total population | 104 people | =INTEG (Total population × Population growth rate, Initial value of population) |
| Urban population | 104 people | =Total population × Urbanization rate |
| Domestic water demand | 108 m3 | =Urban population × Per capita urban domestic water consumption/10,000 |
| Domestic sewage discharge | 108 ton | =Domestic sewage discharge factor × Domestic water demand |
| Domestic wastewater COD emissions | 104 ton | =COD emission factor for domestic sewage × Domestic sewage discharge |
| Total water demand | 108 m3 | =Production water demand + Ecological water demand + Domestic water demand |
| Production water demand | 108 m3 | =Agricultural water demand + Industrial water demand + Water demand in the service sector |
| Total water supply | 108 m3 | =Surface water + Underground water + Water reuse + Interregional water transfer |
| Water supply–demand ratio | dmnl | =Total water supply/Total water demand |
| GDP per capita | 104 yuan | =GDP/Total population |
| Amount of water pollution | 108 ton | =Industrial wastewater discharge + Domestic sewage discharge + Sewage discharges from the service sector |
| Sewage treatment capacity | 108 ton | =Amount of water pollution × Sewage treatment rate |
| Water reuse | 108 m3 | =Sewage treatment capacity × Water reuse rate |
| Total effluent COD discharge | 104 ton | =Industrial wastewater COD emissions + Domestic wastewater COD emissions |
| Weight of Indicators | |||||||||||||||||
|---|---|---|---|---|---|---|---|---|---|---|---|---|---|---|---|---|---|
| Weighting Methodology | WEPCC | WESCC | WERCC | ||||||||||||||
| X1 | X2 | X3 | X4 | X5 | X6 | X7 | X8 | X9 | X10 | X11 | X12 | X13 | X14 | X15 | X16 | X17 | |
| Entropy weight | 0.064 | 0.041 | 0.131 | 0.022 | 0.034 | 0.025 | 0.064 | 0.085 | 0.076 | 0.051 | 0.033 | 0.114 | 0.085 | 0.031 | 0.087 | 0.054 | 0.002 |
| AHP | 0.029 | 0.029 | 0.029 | 0.029 | 0.029 | 0.058 | 0.048 | 0.061 | 0.061 | 0.035 | 0.123 | 0.146 | 0.073 | 0.106 | 0.057 | 0.057 | 0.031 |
| AHP-E | 0.029 | 0.019 | 0.060 | 0.010 | 0.016 | 0.023 | 0.049 | 0.082 | 0.074 | 0.028 | 0.065 | 0.264 | 0.099 | 0.052 | 0.079 | 0.049 | 0.001 |
| Equal weighting | 0.059 | 0.059 | 0.059 | 0.059 | 0.059 | 0.059 | 0.059 | 0.059 | 0.059 | 0.059 | 0.059 | 0.059 | 0.059 | 0.059 | 0.059 | 0.059 | 0.059 |
| PCA | 0.063 | 0.039 | 0.070 | 0.067 | 0.013 | 0.067 | 0.070 | 0.067 | 0.064 | 0.065 | 0.072 | 0.071 | 0.071 | 0.068 | 0.001 | 0.073 | 0.060 |
| Time | Total Population (10,000 Capita) | GDP (100 Million) | Total Water Demand (108 m3) | Amount of Water Pollution (104 Ton) | ||||||||
|---|---|---|---|---|---|---|---|---|---|---|---|---|
| Historical Data | Simulated Data | Error (%) | Historical Data | Simulated Data | Error (%) | Historical Data | Simulated Data | Error (%) | Historical Data | Simulated Data | Error (%) | |
| 2005 | 6851 | 6851 | 0.000 | 10,096 | 10,096 | 0.000 | 202 | 202 | −0.058 | 20.8 | 20.9 | −0.189 |
| 2006 | 6898 | 6898 | 0.000 | 11,661 | 11,660 | 0.001 | 204 | 204 | −0.036 | 22.1 | 22.2 | −0.398 |
| 2007 | 6943 | 6943 | 0.000 | 13,710 | 13,710 | 0.001 | 202 | 203 | −0.060 | 22.2 | 22.3 | −0.224 |
| 2008 | 6989 | 6989 | 0.000 | 16,189 | 16,189 | 0.001 | 195 | 195 | −0.124 | 23.4 | 23.5 | −0.288 |
| 2009 | 7034 | 7034 | 0.000 | 17,236 | 17,235 | 0.000 | 194 | 194 | −0.075 | 24.4 | 24.5 | −0.348 |
| 2010 | 7194 | 7194 | 0.001 | 22,825 | 22,825 | 0.000 | 194 | 194 | −0.038 | 26.2 | 26.3 | −0.357 |
| 2011 | 7241 | 7241 | 0.000 | 24,516 | 24,516 | 0.001 | 194 | 194 | −0.023 | 27.8 | 27.9 | −0.283 |
| 2012 | 7288 | 7288 | 0.000 | 26,575 | 26,575 | 0.001 | 195 | 195 | −0.122 | 30.5 | 30.6 | −0.346 |
| 2013 | 7333 | 7333 | 0.000 | 28,302 | 28,301 | 0.001 | 191 | 191 | −0.078 | 31.0 | 31.1 | −0.346 |
| 2014 | 7384 | 7384 | −0.001 | 29,422 | 29,421 | 0.001 | 193 | 193 | −0.081 | 30.9 | 31.0 | −0.405 |
| 2015 | 7425 | 7425 | −0.001 | 29,806 | 29,806 | 0.001 | 187 | 187 | −0.085 | 31.0 | 31.1 | −0.344 |
| 2016 | 7470 | 7470 | −0.001 | 32,071 | 32,070 | 0.001 | 182 | 183 | −0.095 | 28.8 | 28.9 | −0.352 |
| 2017 | 7520 | 7520 | −0.001 | 34,017 | 34,016 | 0.001 | 181 | 182 | −0.091 | 25.3 | 25.4 | −0.303 |
| 2018 | 7556 | 7556 | −0.001 | 36,011 | 36,010 | 0.001 | 182 | 182 | 0.009 | 24.4 | 24.5 | −0.375 |
| 2019 | 7592 | 7592 | −0.002 | 35,105 | 35,105 | 0.001 | 182 | 182 | −0.091 | 23.3 | 23.4 | −0.334 |
| 2020 | 7232 | 7232 | −0.002 | 36,208 | 36,207 | 0.002 | 183 | 183 | −0.079 | 22.4 | 22.5 | −0.318 |
| 2021 | 7448 | 7448 | −0.001 | 40,392 | 40,391 | 0.002 | 182 | 182 | −0.102 | 21.7 | 21.7 | −0.329 |
| 2022 | 7420 | 7420 | −0.002 | 42,371 | 42,370 | 0.002 | 182 | 182 | −0.086 | 21.0 | 21.1 | −0.360 |
Disclaimer/Publisher’s Note: The statements, opinions and data contained in all publications are solely those of the individual author(s) and contributor(s) and not of MDPI and/or the editor(s). MDPI and/or the editor(s) disclaim responsibility for any injury to people or property resulting from any ideas, methods, instructions or products referred to in the content. |
© 2024 by the authors. Licensee MDPI, Basel, Switzerland. This article is an open access article distributed under the terms and conditions of the Creative Commons Attribution (CC BY) license (https://creativecommons.org/licenses/by/4.0/).
Share and Cite
Sun, X.; Peng, A.; Hu, S.; Shi, Y.; Lu, L.; Bi, A. Dynamic Successive Assessment of Water Resource Carrying Capacity Based on System Dynamics Model and Variable Fuzzy Pattern Recognition Method. Water 2024, 16, 304. https://doi.org/10.3390/w16020304
Sun X, Peng A, Hu S, Shi Y, Lu L, Bi A. Dynamic Successive Assessment of Water Resource Carrying Capacity Based on System Dynamics Model and Variable Fuzzy Pattern Recognition Method. Water. 2024; 16(2):304. https://doi.org/10.3390/w16020304
Chicago/Turabian StyleSun, Xinguo, Anbang Peng, Suduan Hu, Yi Shi, Lu Lu, and Aorui Bi. 2024. "Dynamic Successive Assessment of Water Resource Carrying Capacity Based on System Dynamics Model and Variable Fuzzy Pattern Recognition Method" Water 16, no. 2: 304. https://doi.org/10.3390/w16020304
APA StyleSun, X., Peng, A., Hu, S., Shi, Y., Lu, L., & Bi, A. (2024). Dynamic Successive Assessment of Water Resource Carrying Capacity Based on System Dynamics Model and Variable Fuzzy Pattern Recognition Method. Water, 16(2), 304. https://doi.org/10.3390/w16020304

