Land Subsidence Due to Groundwater Exploitation in Unconfined Aquifers: Experimental and Numerical Assessment with Computational Fluid Dynamics
Abstract
1. Introduction
Advances in Land Subsidence Studies in Aquifers
2. Theoretical Background
2.1. Mathematical Modeling of Land Subsidence
2.2. Groundwater Flow Equations
Recharge and Discharge of Groundwater
3. Materials and Methods
3.1. Experimental Procedure
3.2. Numerical Modeling of Land Subsidence
3.3. Boundary Conditions
3.4. Parameters Considered for the Simulation
4. Results and Discussion
4.1. Experimental Results
4.1.1. Coarse Sand
4.1.2. Fine Sand
4.2. Numerical Results
4.2.1. Coarse Sand
4.2.2. Fine Sand
5. Conclusions
- During the continued cycles of recharge and exploitation, both sands showed continued compaction that kept increasing over time. However, the deformation of coarse sand occurred at higher rates than for the fine sand. At times when the hydraulic head was maintained constant, the deformation for the coarse sand was significantly reduced, and for fine sands, it evidenced a delayed response;
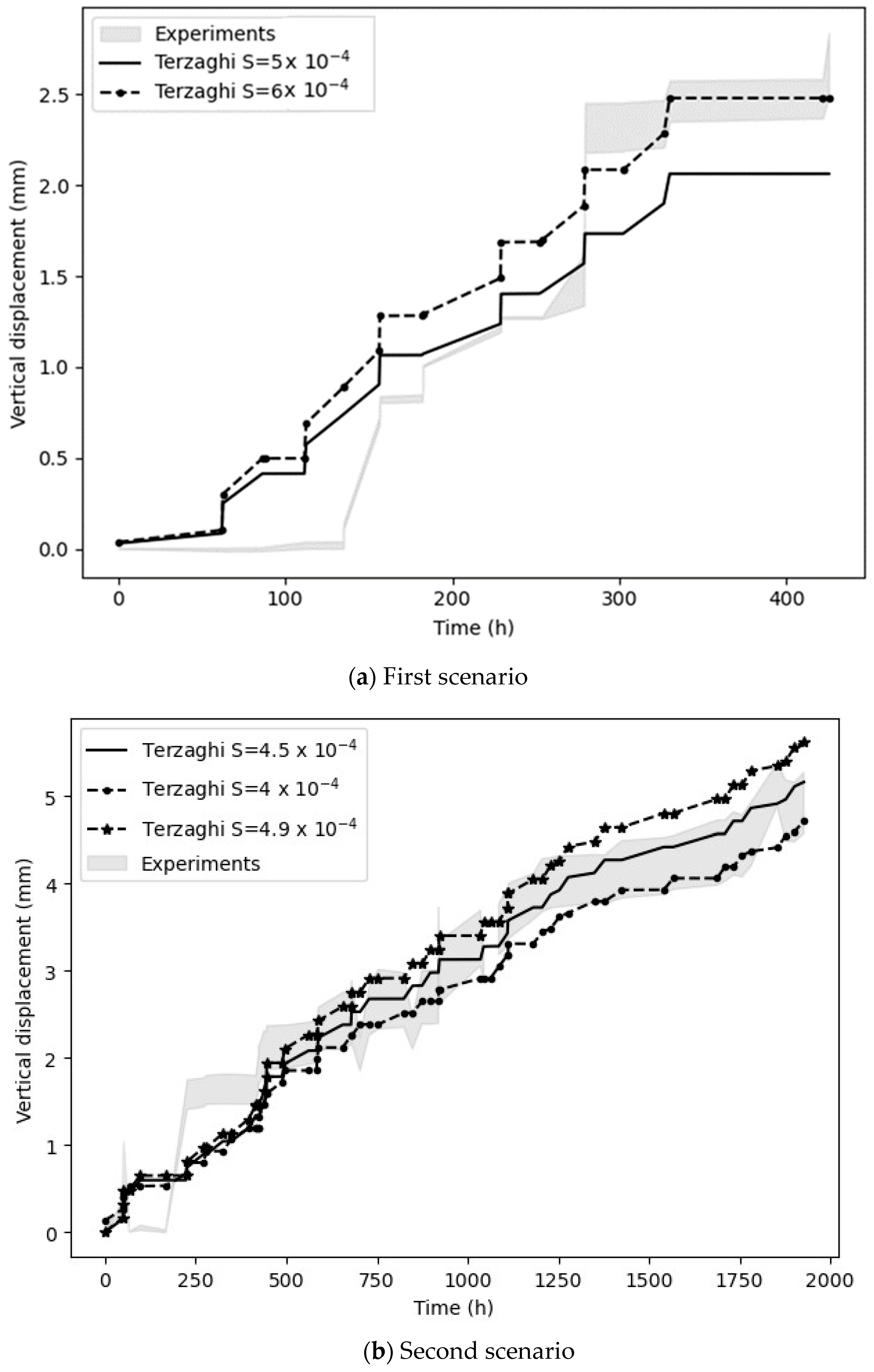
- The estimation of land subsidence following Terzaghi’s approach agreed with the vertical displacement behavior observed in laboratory experiments. Nevertheless, it required the adjustment of the model considering the aquifer’s specific storage and detailed characterization of its physical characteristics;
- The average absolute error of the numerical model to recreate the experimental results of land subsidence was 0.14 mm for the first scenario of coarse sand, 0.34 mm for the second scenario of coarse sand, 0.33 mm first the first scenario of fine sand, and 0.29 mm for the second scenario of fine sand. The maximum discrepancy of 0.34 mm was obtained for the second scenario of coarse sand where the maximum experimental subsidence was 3.86 mm;
- The variation of effective stress and strain in sand subjected to withdrawal-recharging cycles revealed different patterns of deformation behavior with grain sizes and distributions. Both types of sand showed mostly inelastic deformation that did not rebound, except the fine sand, which evidenced three rebounds after a month of cycles of exploitation and recharge;
- The experimental results evidenced that in addition to the specific storage that contributes to deformation, fine and coarse sands show a different response to capillarity effects due to their different effective diameter and porosity. Therefore, unconfined aquifers with fine sands are able to maintain more saturation within the micropores after the water table is lowered, contributing to a slower or delayed response to the water table changes;
- The variation of the specific storage in unconfined aquifers is a pressing topic that requires further study. The consequent reduction in storage coefficient could alter the groundwater flow and other simultaneous dynamics occurring in the aquifer.
Author Contributions
Funding
Data Availability Statement
Acknowledgments
Conflicts of Interest
References
- Herrera-García, G.; Ezquerro, P.; Tomas, R.; Béjar-Pizarro, M.; López-Vinielles, J.; Rossi, M.; Mateos, R.M.; Carreón-Freyre, D.; Lambert, J.; Teatini, P.; et al. Mapping the Global Threat of Land Subsidence. Science 2021, 371, 34–36. [Google Scholar] [CrossRef]
- Poland, J.F.; Davis, G.H. Land Subsidence Due to Withdrawal of Fluids. GSA Rev. Eng. Geol. 1969, 2, 187–269. [Google Scholar] [CrossRef]
- Pratt, W.E.; Johnson, D.W. Local Subsidence of the Goose Creek Oil Field. J. Geol. 1926, 34, 577–590. [Google Scholar] [CrossRef]
- Holzer, T.L.; Johnson, M.; Burnham, C.; Allen, C.; Muehlberger, W. State and Local Response to Damaging Land Subsidence in United States Urban Areas. Eng. Geol. 1989, 27, 449–466. [Google Scholar] [CrossRef]
- Nagel, N.B. Compaction and Subsidence Issues within the Petroleum Industry: From Wilmington to Ekofisk and Beyond. Phys. Chem. Earth Part A Solid Earth Geod. 2001, 26, 3–14. [Google Scholar] [CrossRef]
- Sato, H.P.; Abe, K.; Ootaki, O. GPS-Measured Land Subsidence in Ojiya City, Niigata Prefecture, Japan. Eng. Geol. 2003, 67, 379–390. [Google Scholar] [CrossRef]
- Corbau, C.; Simeoni, U.; Zoccarato, C.; Mantovani, G.; Teatini, P. Coupling Land Use Evolution and Subsidence in the Po Delta, Italy: Revising the Past Occurrence and Prospecting the Future Management Challenges. Sci. Total Environ. 2019, 654, 1196–1208. [Google Scholar] [CrossRef] [PubMed]
- Steckler, M.S.; Oryan, B.; Wilson, C.A.; Grall, C.; Nooner, S.L.; Mondal, D.R.; Akhter, S.H.; DeWolf, S.; Goodbred, S.L. Synthesis of the Distribution of Subsidence of the Lower Ganges-Brahmaputra Delta, Bangladesh. Earth-Sci. Rev. 2022, 224, 103887. [Google Scholar] [CrossRef]
- Nguyen, C.D.; Araki, H.; Yamanishi, H.; Koga, K. Simulation of Groundwater Flow and Environmental Effects Resulting from Pumping. Environ. Geol. 2005, 47, 361–374. [Google Scholar] [CrossRef]
- Cigna, F.; Tapete, D. Satellite InSAR Survey of Structurally-Controlled Land Subsidence Due to Groundwater Exploitation in the Aguascalientes Valley, Mexico. Remote Sens. Environ. 2021, 254, 112254. [Google Scholar] [CrossRef]
- Peng, M.; Lu, Z.; Zhao, C.; Motagh, M.; Bai, L.; Conway, B.D.; Chen, H. Mapping Land Subsidence and Aquifer System Properties of the Willcox Basin, Arizona, from InSAR Observations and Independent Component Analysis. Remote Sens. Environ. 2022, 271, 112894. [Google Scholar] [CrossRef]
- Isaac, D. A Ground-Water Flow and Land Subsidence Model of Las Vegas Valley, Nevada—A Converted MOD FLOW Model; University of Nevada: Reno, NV, USA, 1998. [Google Scholar]
- Ke, J.; Blum, H. A Panel Analysis of Groundwater Use in California. J. Clean. Prod. 2021, 326, 12. [Google Scholar] [CrossRef]
- Lees, M.; Knight, R.; Smith, R. Development and Application of a 1D Compaction Model to Understand 65 Years of Subsidence in the San Joaquin Valley. Water Resour. Res. 2022, 58, e2021WR031390. [Google Scholar] [CrossRef]
- Guzy, A.; Malinowska, A.A. State of the Art and Recent Advancements in the Modelling of Land Subsidence Induced by Groundwater Withdrawal. Water 2020, 12, 2051. [Google Scholar] [CrossRef]
- Mahmoudpour, M.; Khamehchiyan, M.; Nikudel, M.R.; Ghassemi, M.R. Numerical Simulation and Prediction of Regional Land Subsidence Caused by Groundwater Exploitation in the Southwest Plain of Tehran, Iran. Eng. Geol. 2016, 201, 6–28. [Google Scholar] [CrossRef]
- Leake, S.A.; Galloway, D.L. MODFLOW Ground-Water Model-User Guide to the Subsidence and Aquifer-System Compaction Package (SUB-WT) for Water-Table Aquifers. In U.S. Geological Survey Techniques and Methods 6-A23; US Geological Survey: Reston, VA, USA, 2007; p. 42. [Google Scholar]
- Helm, D.C. One-Dimensional Simulation of Aquifer System Compaction near Pixley, California: 1. Constant Parameters. Water Resour. Res. 1975, 11, 465–478. [Google Scholar] [CrossRef]
- Eggleston, J.; Pope, J. Land Subsidence and Relative Sea-Level Rise in the Southern Chesapeake Bay Region; No. 1392; US Geological Survey Circular: Richmond, VA, USA, 2013; 30p.
- Restrepo-Ángel, J.D.; Mora-Páez, H.; Díaz, F.; Govorcin, M.; Wdowinski, S.; Giraldo-Londoño, L.; Tosic, M.; Fernández, I.; Paniagua-Arroyave, J.F.; Duque-Trujillo, J.F. Coastal Subsidence Increases Vulnerability to Sea Level Rise over Twenty First Century in Cartagena, Caribbean Colombia. Sci. Rep. 2021, 11, 18873. [Google Scholar] [CrossRef] [PubMed]
- Essink, G.O.; Kooi, H. Land Subsidence and Sea-Level Rise Threaten Fresh Water Resources in the Coastal Groundwater System of the Rijnland Water Board, The Netherlands. In Climate Change Effects on Groundwater Resources: A Global Synthesis of Findings and Recommendations; CRC Press: Boca Raton, FL, USA, 2011; pp. 227–248. ISBN 9780203120767. [Google Scholar]
- Yan, X.; Yang, T.; Yan, X.U.; Tosi, L.; Stouthamer, E.; Andreas, H.; Minderhoud, P.; Ladawadee, A.; Hanssen, R.; Erkens, G.; et al. Advances and Practices on the Research, Prevention and Control of Land Subsidence in Coastal Cities. Acta Geol. Sin. 2020, 94, 162–175. [Google Scholar] [CrossRef]
- Lu, C.; Zhu, L.; Li, X.; Gong, H.; Du, D.; Wang, H.; Teatini, P. Land Subsidence Evolution and Simulation in the Western Coastal Area of Bohai Bay, China. J. Mar. Sci. Eng. 2022, 10, 1549. [Google Scholar] [CrossRef]
- Antonellini, M.; Giambastiani, B.M.S.; Greggio, N.; Bonzi, L.; Calabrese, L.; Luciani, P.; Perini, L.; Severi, P. Hydrologic Control on Natural Land Subsidence in the Shallow Coastal Aquifer of the Ravenna Coast, Italy Marco. In Proceedings of the Tenth International Symposium on Land Subsidence, Delft, The Netherlands, 17–21 May 2021; Copernicus Publications on Behalf of the International Association of Hydrological Sciences: Oxfordshire, UK, 2020; Volume 382, pp. 263–268. [Google Scholar]
- Yang, Y.; Song, X.F.; Zheng, F.D.; Liu, L.C.; Qiao, X.J. Simulation of Fully Coupled Finite Element Analysis of Nonlinear Hydraulic Properties in Land Subsidence Due to Groundwater Pumping. Environ. Earth Sci. 2015, 73, 4191–4199. [Google Scholar] [CrossRef]
- Chen, K.H.; Hwang, C.; Tanaka, Y.; Chang, P.Y. Gravity Estimation of Groundwater Mass Balance of Sandy Aquifers in the Land Subsidence-Hit Region of Yunlin County, Taiwan. Eng. Geol. 2023, 315, 107021. [Google Scholar] [CrossRef]
- Lv, W.; Miao, L.; Li, C. Physical Model Test of Land Subsidence Caused by Groundwater Withdrawal. In Geo-Frontiers 2011: Advances in Geotechnical Engineering; American Society of Civil Engineers: Reston, VA, USA, 2011; pp. 1081–1090. [Google Scholar] [CrossRef]
- Li, Y.; Hu, Z.; Weng, T.; Fonseca, J.; Zhang, X. Experimental Study on the Vertical Deformation of Sand Caused by Cyclic Withdrawal and Recharging of Groundwater. Eng. Geol. 2014, 183, 247–253. [Google Scholar] [CrossRef]
- Chala, D.C.; Quiñones-Bolaños, E.; Mehrvar, M. An Integrated Framework to Model Salinity Intrusion in Coastal Unconfined Aquifers Considering Intrinsic Vulnerability Factors, Driving Forces, and Land Subsidence. J. Environ. Chem. Eng. 2022, 10, 106873. [Google Scholar] [CrossRef]
- Miller, M.M.; Shirzaei, M. Land Subsidence in Houston Correlated with Flooding from Hurricane Harvey. Remote Sens. Environ. 2019, 225, 368–378. [Google Scholar] [CrossRef]
- Yu, X.; Michael, H.A. Offshore Pumping Impacts Onshore Groundwater Resources and Land Subsidence. Geophys. Res. Lett. 2019, 46, 2553–2562. [Google Scholar] [CrossRef]
- Cigna, F.; Tapete, D. Urban Growth and Land Subsidence: Multi-Decadal Investigation Using Human Settlement Data and Satellite InSAR in Morelia, Mexico. Sci. Total Environ. 2022, 811, 152211. [Google Scholar] [CrossRef] [PubMed]
- Wang, G.Y.; Zhu, J.Q.; Zhang, D.; Wu, J.Q.; Yu, J.; Gong, X.L.; Gou, F.G. Land Subsidence and Uplift Related to Groundwater Extraction in Wuxi, China. Q. J. Eng. Geol. Hydrogeol. 2020, 53, 609–619. [Google Scholar] [CrossRef]
- Nardean, S.; Ferronato, M.; Zhang, Y.; Ye, S.; Gong, X.; Teatini, P. Understanding Ground Rupture Due to Groundwater Overpumping by a Large Lab Experiment and Advanced Numerical Modeling. Water Resour. Res. 2021, 57, e2020WR027553. [Google Scholar] [CrossRef]
- Cigna, F.; Tapete, D. Sentinel-1 Big Data Processing with P-SBAS InSAR in the Geohazards Exploitation Platform: An Experiment on Coastal Land Subsidence and Landslides in Italy. Remote Sens. 2021, 13, 885. [Google Scholar] [CrossRef]
- Di, S.; Jia, C.; Ding, P.; Zhang, S.; Yang, X. Experimental Research on Macroscopic and Mesoscopic Evolution Mechanism of Land Subsidence Induced by Groundwater Exploitation. Nat. Hazards 2022, 113, 453–474. [Google Scholar] [CrossRef]
- Reshi, A.R.; Sandhu, H.A.S.; Cherubini, C.; Tripathi, A. Estimating Land Subsidence and Gravimetric Anomaly Induced by Aquifer Overexploitation in the Chandigarh Tri-City Region, India by Coupling Remote Sensing with a Deep Learning Neural Network Model. Water 2023, 15, 1206. [Google Scholar] [CrossRef]
- Zhang, X.; Wang, L.; Wang, H.; Feng, C.; Shi, H.; Wu, S. Investigating Impacts of Deep Foundation Pit Dewatering on Land Subsidence Based on CFD-DEM Method. Eur. J. Environ. Civ. Eng. 2022, 26, 6424–6443. [Google Scholar] [CrossRef]
- Liu, X.; Wang, J.; Yang, T.; Wang, L.; Xu, N.; Long, Y.; Huang, X. Dewatering-Induced Stratified Settlement around Deep Excavation: Physical Model Study. Appl. Sci. 2022, 12, 8929. [Google Scholar] [CrossRef]
- Liu, J.; Song, Z.; Lu, Y.; Bai, Y.; Qian, W.; Kanungo, D.P.; Chen, Z.; Wang, Y. Monitoring of Vertical Deformation Response to Water Draining–Recharging Conditions Using BOFDA-Based Distributed Optical Fiber Sensors. Environ. Earth Sci. 2019, 78, 406. [Google Scholar] [CrossRef]
- de Luna, R.M.R.; Garnés, S.J.d.A.; Cabral, J.J.d.S.P.; dos Santos, S.M. Groundwater Overexploitation and Soil Subsidence Monitoring on Recife Plain (Brazil). Nat. Hazards 2017, 86, 1363–1376. [Google Scholar] [CrossRef]
- Ortiz, J.; Quiñones-Bolaños, E.; Chala, D.C. Buenas Practicas Para El Manejo de Acuiferos a Nivel Latinoamericano. Conf. Int. Agua 2022, 1, 175–183. [Google Scholar]
- Ke, L.; Takahashi, A. Experimental Investigations on Suffusion Characteristics and Its Mechanical Consequences on Saturated Cohesionless Soil. Soils Found. 2014, 54, 713–730. [Google Scholar] [CrossRef]
- Khaksar Najafi, E.; Faghihmaleki, H. The Effect of Suffusion Phenomenon in the Increasing of Land Subsidence Rate. Civ. Eng. J. 2016, 2, 316–323. [Google Scholar] [CrossRef]
- Li, Q.; Ito, K.; Wu, Z.; Lowry, C.S.; Loheide, S.P. COMSOL Multiphysics: A Novel Approach to Ground Water Modeling. Ground Water 2009, 47, 480–487. [Google Scholar] [CrossRef]
- Kumar, S.S.; Deb Barma, S.; Amai, M. Simulation of Coastal Aquifer Using MSim Toolbox and COMSOL Multiphysics. J. Earth Syst. Sci. 2020, 129, 66. [Google Scholar] [CrossRef]
- Biot, M.A. General Theory of Three-Dimensional Consolidation. J. Appl. Phys. 1941, 12, 155–164. [Google Scholar] [CrossRef]
- Cryer, C.W. A Comparison of the Three-Dimensional Consolidation Theories of Biot and Terzaghi. Q. J. Mech. Appl. Math. 1963, 16, 401–412. [Google Scholar] [CrossRef]
- Bear, J.; Corapcioglu, M.Y. Mathematical Model for Regional Land Subsidence Due to Pumping 1. Integrated Aquifer Subsidence Equations Based on Vertical Displacement Only. Water Resour. Res. 1981, 17, 937–946. [Google Scholar] [CrossRef]
- Bear, J.; Corapcioglu, M.Y. Mathematical Model for Regional Land Subsidence Due to Pumping 2. Integrated Aquifer Subsidence Equations for Vertical and Horizontal Displacements. Water Resour. Res. 1981, 17, 947–958. [Google Scholar] [CrossRef]
- Corapcioglu, M.Y.; Bear, J. A Mathematical Model for Regional Land Subsidence Due to Pumping: 3. Integrated Equations for a Phreatic Aquifer. Water Resour. Res. 1983, 19, 895–908. [Google Scholar] [CrossRef]
- Leake, S.A.; Galloway, D.L. Use of the SUB-WT Package for MODFLOW to Simulate Aquifer-System Compaction in Antelope Valley, California, USA. In Proceedings of the Eight International Symposium of Land Subsidence, Queretaro, Mexico, 17–22 October 2010; Land Subsidence, Associated Hazards and the Role of Natural Resources Development. International Association of Hydrological Sciences: Oxfordshire, UK, 2010; Volume 339, pp. 61–67. [Google Scholar]
- Gambolati, G.; Teatini, P. Land Subsidence and Its Mitigation; The Groundwater Project: Guelph, ON, Canada, 2021; Volume 78, ISBN 9781774700013. [Google Scholar]
- Terzaghi, K. Theoretical Soil Mechanics; John Wiley and Sons: Hoboken, NJ, USA, 1943. [Google Scholar]
- De Boer, R. Development of Porous Media Theories: A Brief Historical Review. Transp. Porous Media 1992, 9, 155–164. [Google Scholar] [CrossRef]
- Zhang, Y.; Wu, J.; Xue, Y.; Wang, Z.; Yao, Y.; Yan, X.; Wang, H. Land Subsidence and Uplift Due to Long-Term Groundwater Extraction and Artificial Recharge in Shanghai, China. Hydrogeol. J. 2015, 23, 1851–1866. [Google Scholar] [CrossRef]
- Zhang, Y.; He, G.; Wu, J.; Zhu, Z.; Yan, X.; Yang, T. Experimental Study on Mechanism for Pumping-Induced Land Subsidence. Proc. Int. Assoc. Hydrol. Sci. 2020, 382, 387–390. [Google Scholar] [CrossRef]
- Antonellini, M.; Giambastiani, B.M.S.; Greggio, N.; Bonzi, L.; Calabrese, L.; Luciani, P.; Perini, L.; Severi, P. Processes Governing Natural Land Subsidence in the Shallow Coastal Aquifer of the Ravenna Coast, Italy. Catena 2019, 172, 76–86. [Google Scholar] [CrossRef]
- Zhou, X.L.; Huang, K.Y.; Wang, J.H. Numerical Simulation of Groundwater Flow and Land Deformation Due to Groundwater Pumping in Cross-Anisotropic Layered Aquifer System. J. Hydro-Environ. Res. 2017, 14, 19–33. [Google Scholar] [CrossRef]
- Comsol Multiphysics. Biot Poroelasticity. Ref. Man. 2011, pp. 1–20. Available online: https://www.comsol.com/model/biot-poroelasticity-483#:~:text=The%20Poroelasticity%20interface%20couples%20Darcy's,of%20the%20Terzaghi%20Compaction%20example (accessed on 28 December 2023).
- Kuang, X.; Jiao, J.J.; Zheng, C.; Cherry, J.A.; Li, H. A Review of Specific Storage in Aquifers. J. Hydrol. 2020, 581, 124383. [Google Scholar] [CrossRef]
- Wu, J.H.; Shi, B.; Cao, D.F.; Jiang, H.T.; Wang, X.F.; Gu, K. Model Test of Soil Deformation Response to Draining-Recharging Conditions Based on DFOS. Eng. Geol. 2017, 226, 107–121. [Google Scholar] [CrossRef]












| Aquifers and Study Area | Geological Characteristics a | Groundwater Exploitation Total or per Year | Data Collection | Type of Simulation | Maximum Subsidence | References |
|---|---|---|---|---|---|---|
| Chicot and Evangeline aquifer units (USA) | He, L, UNCO | 5 m/year | Time series and InSAR | - | 49 mm/year | [30] |
| Lower Bengal Delta (Bangladesh) | H, He, L, UNCO | 5 m | Numerical simulation | Transient with MODFLOW | 63 mm/year | [31] |
| Aguascalientes Valley (Mexico) | H, UNCO, Faults, R | 3.5 m/year | SBAS InSAR | Fast Fourier Transform | 120 mm/year | [10] |
| Morelia (Mexico) | H, UNCO, Faults, R | 15 m/year | InSAR, settlement data | - | 90 mm/year | [32] |
| Willcox Basin (Arizona) | He, L, CO | 6 m/year Aprox. | InSAR, Hydraulic data | Storage loss estimation | 140 mm/year | [11] |
| Wuxi City (China) | He, L, UNCO, CO | 68 m | Extensometer | - | 41.95 mm/year | [33] |
| Guangming Village (China) | He, L, UNCO, Faults, R | 1 m | Experimental setup | Finite Element –Interfaced Elements | 2–5 mm | [34] |
| Capo Colonna (Italy) | He, UNCO, Faults | - | InSAR, Geohazard Exploitation Platform | - | 47 mm/year | [35] |
| Pingdu District (China) | H, UNCO | 2400 mL/min | Experimental set up | - | 0.708 mm | [36] |
| Chandigarh tri-city (India) | He, L, CO | 0.2 m/year | InSAR, Field data | Neural network | 8 mm/year | [37] |
| Bohai Bay (China) | He, L, CO | 1.7 × 107 m3/year | InSAR, Field data | Neural network | 80–150 mm/year | [23] |
| Fuhuayuan (FHY) deep foundation pit project | He, L, CO | 0.24 m/year | Experimental set up | DEM–CFD | 8.7 mm | [38] |
| Yangtze River Delta (China) | He, L, UNCO, CO | 0.75 m/year | Experimental setup | - | 7–10 mm | [39] |
| Xuwei area (China) | He, L, UNCO, CO | 2.34 mm/month | Experimental setup | - | 14.04 mm | [40] |
| Hypothetical aquifer | H, UNCO | Cycles of 27% exploitation and recharge | Experimental setup | CFD | 2–4 mm | This study |
| Variable | Description | Value |
|---|---|---|
| Fluid density | 1000 kg/m3 | |
| p | Fluid pressure | 0 Pa |
| Initial hydraulic head | 1.1 m | |
| Hydraulic head over time | f(t) |
| Sand Type | Specific Gravity, Gs | Effective Diameter (mm) | Porosity (%) | Hydraulic Conductivity, K (m/s) |
|---|---|---|---|---|
| Fine sand | 2.65 | 0.39 | 43.3 | 2 × 10−4 |
| Coarse sand | 2.74 | 0.67 | 48.8 | 6.5 × 10−4 |
| Mesh | DOF | Number of Elements |
|---|---|---|
| Coarse (fluid dynamics) | 25,685 | 12,658 |
| Normal (fluid dynamics) | 170,799 | 28,192 |
| Finer (fluid dynamics) | 435,543 | 72,152 |
| Extra fine (fluid dynamics) | 689,835 | 343,972 |
Disclaimer/Publisher’s Note: The statements, opinions and data contained in all publications are solely those of the individual author(s) and contributor(s) and not of MDPI and/or the editor(s). MDPI and/or the editor(s) disclaim responsibility for any injury to people or property resulting from any ideas, methods, instructions or products referred to in the content. |
© 2024 by the authors. Licensee MDPI, Basel, Switzerland. This article is an open access article distributed under the terms and conditions of the Creative Commons Attribution (CC BY) license (https://creativecommons.org/licenses/by/4.0/).
Share and Cite
Chalá, D.C.; Quiñones-Bolaños, E.; Mehrvar, M. Land Subsidence Due to Groundwater Exploitation in Unconfined Aquifers: Experimental and Numerical Assessment with Computational Fluid Dynamics. Water 2024, 16, 467. https://doi.org/10.3390/w16030467
Chalá DC, Quiñones-Bolaños E, Mehrvar M. Land Subsidence Due to Groundwater Exploitation in Unconfined Aquifers: Experimental and Numerical Assessment with Computational Fluid Dynamics. Water. 2024; 16(3):467. https://doi.org/10.3390/w16030467
Chicago/Turabian StyleChalá, Dayana Carolina, Edgar Quiñones-Bolaños, and Mehrab Mehrvar. 2024. "Land Subsidence Due to Groundwater Exploitation in Unconfined Aquifers: Experimental and Numerical Assessment with Computational Fluid Dynamics" Water 16, no. 3: 467. https://doi.org/10.3390/w16030467
APA StyleChalá, D. C., Quiñones-Bolaños, E., & Mehrvar, M. (2024). Land Subsidence Due to Groundwater Exploitation in Unconfined Aquifers: Experimental and Numerical Assessment with Computational Fluid Dynamics. Water, 16(3), 467. https://doi.org/10.3390/w16030467

