Assessing Operational Efficiency of Bubble Plumes for Water Circulation Enhancement
Abstract
1. Introduction
2. Materials and Methods
2.1. Field Experiments
2.2. Numerical Analysis
2.3. Numerical Model Setup
2.4. Coherent-Structure Identification
3. Results and Discussion
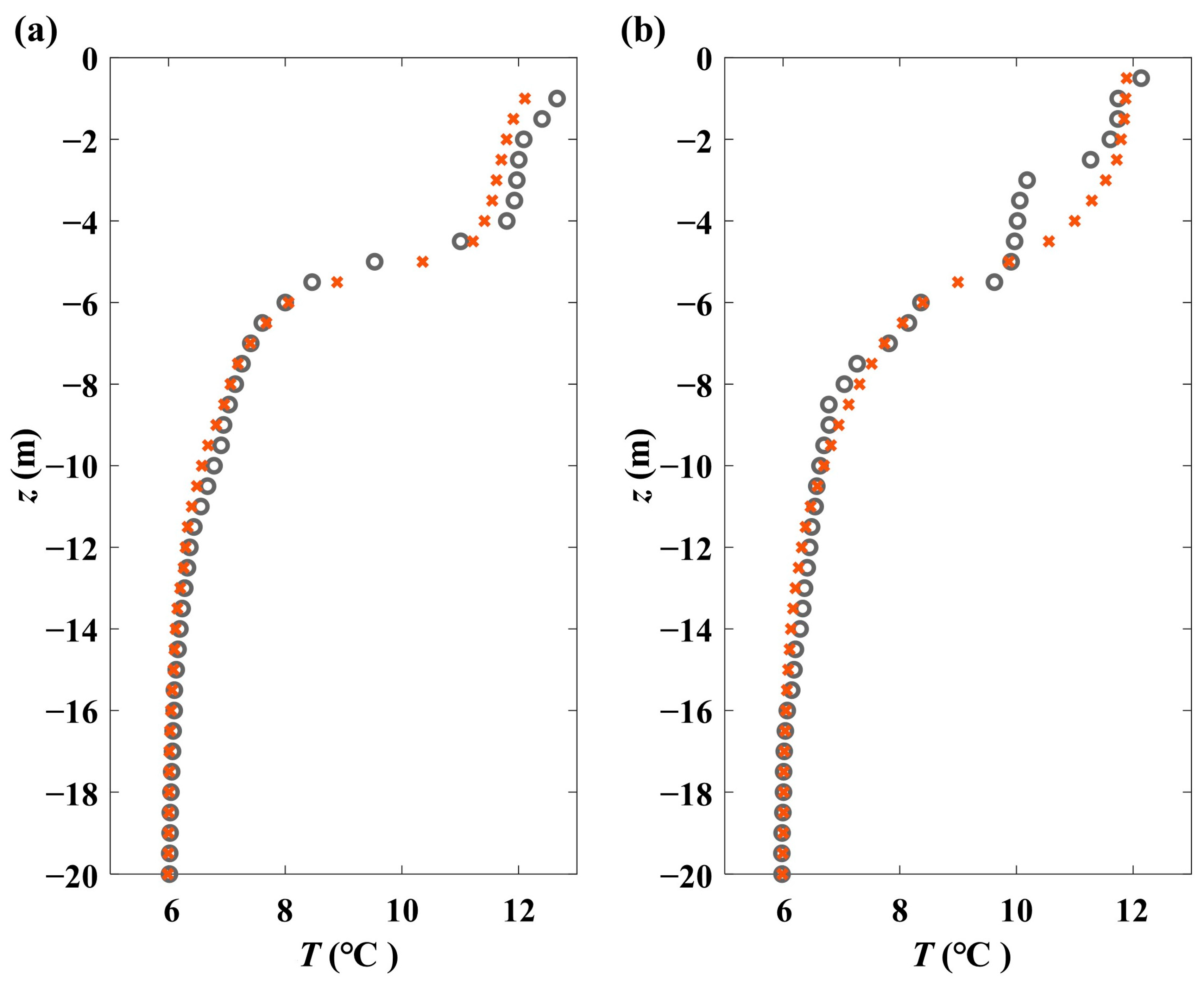
3.1. Field Observations
3.2. Flow Pattern in Thermally Stratified Water
3.3. Mixing Efficiency
4. Conclusions
Author Contributions
Funding
Data Availability Statement
Conflicts of Interest
References
- McClimans, T.A.; Handå, A.; Fredheim, A.; Lien, E.; Reitan, K.I. Controlled artificial upwelling in a fjord to stimulate non-toxic algae. Aquac. Eng. 2010, 42, 140–147. [Google Scholar] [CrossRef]
- Baines, W.D. The principles of operation of bubbling systems. In Proceedings of the Symposium on Air Bubbling, Ottawa, ON, Canada, 11 May 1961. [Google Scholar]
- Wüest, A.; Brooks, N.H.; Imboden, D.M. Bubble plume modeling for lake restoration. Water Resour. Res. 1992, 28, 3235–3250. [Google Scholar] [CrossRef]
- McGinnis, D.F.; Lorke, A.; Wüest, A.; Stöckli, A.; Little, J.C. Interaction between a bubble plume and the near field in a stratified lake. Water Resour. Res. 2004, 40, W10206. [Google Scholar] [CrossRef]
- Xu, X.; Dong, X.; Gao, L.; Liu, F.; Wei, W.; Liu, Z. Mixing of a confined two-layer stratified liquid by a bubble plume. Heat Mass Transf. 2020, 56, 175–182. [Google Scholar] [CrossRef]
- Elçi, Ş. Effects of thermal stratification and mixing on reservoir water quality. Limnology 2008, 9, 135–142. [Google Scholar] [CrossRef]
- Richardson, D.; Felgate, H.; Watmough, N.; Thomson, A.; Baggs, E. Mitigating release of the potent greenhouse gas N2O from the nitrogen cycle–could enzymic regulation hold the key? Trends Biotechnol. 2009, 27, 388–397. [Google Scholar] [CrossRef] [PubMed]
- Noori, R.; Berndtsson, R.; Adamowski, J.F.; Abyaneh, M.R. Temporal and depth variation of water quality due to thermal stratification in Karkheh Reservoir, Iran. J. Hydrol. Reg. Stud. 2018, 19, 279–286. [Google Scholar] [CrossRef]
- Singleton, V.L.; Rueda, F.J.; Little, J.C. A coupled bubble plume–reservoir model for hypolimnetic oxygenation. Water Resour. Res. 2010, 46, W12538. [Google Scholar] [CrossRef]
- Lan, C.; Chen, J.; Wang, J.; Guo, J.; Yu, J.; Yu, P.; Yang, H.; Liu, Y. Application of circular bubble plume diffusers to restore water quality in a sub-deep reservoir. Int. J. Environ. Res. Public Health 2017, 14, 1298. [Google Scholar] [CrossRef]
- Dissanayake, A.L.; Rezvani, M.; Socolofsky, S.A.; Bierlein, K.A.; Little, J.C. Bubble plume integral model for line-source diffusers in ambient stratification. J. Hydraul. Eng. 2021, 147, 0402101. [Google Scholar] [CrossRef]
- McDougall, T.J. Bubble plumes in stratified environments. J. Fluid Mech. 1978, 85, 655–672. [Google Scholar] [CrossRef]
- Asaeda, T.; Imberger, J. Structure of bubble plumes in linearly stratified environments. J. Fluid Mech. 1993, 249, 35–57. [Google Scholar] [CrossRef]
- Chen, B.; Fraga, B.; Hemida, H. Large-eddy simulation of enhanced mixing with buoyant plumes. Chem. Eng. Res. Des. 2022, 177, 394–405. [Google Scholar] [CrossRef]
- Bridgeman, J. Computational fluid dynamics modelling of sewage sludge mixing in an anaerobic digester. Adv. Eng. Softw. 2012, 44, 54–62. [Google Scholar] [CrossRef]
- Fraga, B.; Stoesser, T. Influence of bubble size, diffuser width, and flow rate on the integral behavior of bubble plumes. J. Geophys. Res. Oceans 2016, 121, 3887–3904. [Google Scholar] [CrossRef]
- Chen, M.H.; Cardoso, S.S.S. The mixing of liquids by a plume of low-Reynolds number bubbles. Chem. Eng. Sci. 2000, 55, 2585–2594. [Google Scholar] [CrossRef]
- Kim, D.; Schanz, D.; Novara, M.; Seo, H.; Kim, Y.; Schröder, A.; Kim, K.C. Experimental study of turbulent bubbly jet. Part 1. Simultaneous measurement of three-dimensional velocity fields of bubbles and water. J. Fluid Mech. 2022, 941, A42. [Google Scholar] [CrossRef]
- Kim, S.K.; Choi, S.U. Comparison of environmental flows from a habitat suitability perspective: A case study in the Naeseong-cheon Stream in Korea. Ecohydrology 2019, 12, e2119. (In Korean) [Google Scholar] [CrossRef]
- Lee, D.Y.; Kim, S.E.; Baek, K.O. Modeling of algal fluctuations in the reservoir according to the opening of Yeongju Dam. J. Korea Water Resour. Assoc. 2023, 56, 173–184. (In Korean) [Google Scholar]
- Kim, N.H.; Kim, D.H.; Park, S.H. Prediction of the Turbidity Distribution Characteristics in a Semi-Enclosed Estuary Based on the Machine Learning. Water 2023, 16, 61. [Google Scholar] [CrossRef]
- Masunaga, E.; Yamazaki, H. A new tow-yo instrument to observe high-resolution coastal phenomena. J. Mar. Syst. 2014, 129, 425–436. [Google Scholar] [CrossRef]
- Greenshields, C.J. Openfoam user guide version 6. OpenFOAM Found. 2018, 237, 624. [Google Scholar]
- Menon, S.; Nagawkar, J.; Nilsson, H. Coupled Level-Set with VOF InterFoam; Report; Chalmers University: Göteborg, Sweden, 2016. [Google Scholar]
- Smirnov, A.; Celik, I.; Shi, S. LES of bubble dynamics in wake flows. Comput. Fluids 2005, 34, 351–373. [Google Scholar] [CrossRef]
- Maniscalco, F.; Buffo, A.; Marchisio, D.; Vanni, M. Numerical simulation of bubble columns: LES turbulence model and interphase forces blending approach. Chem. Eng. Res. Des. 2021, 173, 1–14. [Google Scholar] [CrossRef]
- Hunt, J.C.; Wray, A.A.; Moin, P. Eddies, streams, and convergence zones in turbulent Flows. In Studying Turbulence Using Numerical Simulation Databases, 2. Proceedings of the 1988 Summer Program; NASA: Washington, DC, USA, 1988. [Google Scholar]
- Cucitore, R.; Quadrio, M.; Baron, A. On the effectiveness and limitations of local criteria for the identification of a vortex. Eur. J. Mech. B. Fluids 1999, 18, 261–282. [Google Scholar] [CrossRef]
- Fu, W.S.; Lai, Y.C.; Li, C.G. Estimation of turbulent natural convection in horizontal parallel plates by the Q criterion. Int. J. Heat Mass Transf. 2013, 45, 41–46. [Google Scholar] [CrossRef]
- Zhan, J.M.; Li, Y.T.; Wai, W.H.O.; Hu, W.Q. Comparison between the Q criterion and Rortex in the application of an in-stream structure. Phys. Fluids 2019, 31, 121701. [Google Scholar] [CrossRef]
- Dake, J.M.; Harleman, D.R. Thermal stratification in lakes: Analytical and laboratory studies. Water. Resour. Res. 1969, 5, 484–495. [Google Scholar] [CrossRef]
- Sato, K.; Sato, T. A study on bubble plume behavior in stratified water. J. Mar. Sci. Technol. 2001, 6, 59–69. [Google Scholar] [CrossRef]
- Cardoso, S.S.; Cartwright, J.H. Bubble plumes in nature. Annu. Rev. Fluid Mech. 2024, 56, 295–317. [Google Scholar] [CrossRef]
- Domingos, M.G.; Cardoso, S.S. Turbulent two-phase plumes with bubble-size reduction owing to dissolution or chemical reaction. J. Fluid Mech. 2013, 716, 120–136. [Google Scholar] [CrossRef]
- Gohil, T.B.; Saha, A.K.; Muralidhar, K. Large eddy simulation of a free circular jet. J. Fluids Eng. 2014, 136, 051205. [Google Scholar] [CrossRef]
- Zhao, W.; Jia, Y.; Fan, J.; Li, R.; Xi, N.; Li, J.; Zhang, T.; Pu, J. Thermal structure variations and influence factors in a subtropical reservoir, China: Explanations from multiple research methods. Hydrol. Sci. J. 2024, 69, 1616–1630. [Google Scholar] [CrossRef]
- Feng, J.; Xie, Y.; Tang, L.; Li, P.; Zhou, Z.; Zhang, S.; Yang, Z.; Wang, Y. Hydrate formation significantly decreases the uplifting rate of methane bubble from the seafloor to the upper water column. Sci. Bull. 2023, 68, 3149–3153. [Google Scholar] [CrossRef]
- Feng, J.C.; Yan, J.; Wang, Y.; Yang, Z.; Zhang, S.; Liang, S.; Li, X.S. Methane mitigation: Learning from the natural marine environment. Innovation 2022, 3, 100297. [Google Scholar] [CrossRef]
- Judd, A.G. The global importance and context of methane escape from the seabed. Geo-Mar. Lett. 2003, 23, 147–154. [Google Scholar] [CrossRef]
- Tishchenko, P.; Hensen, C.; Wallmann, K.; Wong, C.S. Calculation of the stability and solubility of methane hydrate in seawater. Chem. Geol. 2005, 219, 37–52. [Google Scholar] [CrossRef]










| Purpose | Measurement Time | |
|---|---|---|
| Effects of bubble plume | Before † bubble plume operation | 09:50~11:30 (7 April 2020) |
| After bubble plume operation | 11:30~12:30 (7 April 2020) | |
| Effects of seasonal variability | Summer observation | 10:20~11:20 (25 August 2020) |
| Autumn observation | 10:20~11:20 (13 November 2020) | |
| Point | 1 | 2 | 3 | 4 | 5 | 6 | 7 | 8 |
|---|---|---|---|---|---|---|---|---|
| ) | 0 | 653.4 | 607.5 | 583.2 | 541.9 | 260.5 | 143.0 | 71.7 |
| Operating time (min) | 0 | 17 | 19 | 21 | 23 | 30 | 33 | 36 |
Disclaimer/Publisher’s Note: The statements, opinions and data contained in all publications are solely those of the individual author(s) and contributor(s) and not of MDPI and/or the editor(s). MDPI and/or the editor(s) disclaim responsibility for any injury to people or property resulting from any ideas, methods, instructions or products referred to in the content. |
© 2024 by the authors. Licensee MDPI, Basel, Switzerland. This article is an open access article distributed under the terms and conditions of the Creative Commons Attribution (CC BY) license (https://creativecommons.org/licenses/by/4.0/).
Share and Cite
Choi, S.; Kim, D.H. Assessing Operational Efficiency of Bubble Plumes for Water Circulation Enhancement. Water 2024, 16, 3538. https://doi.org/10.3390/w16233538
Choi S, Kim DH. Assessing Operational Efficiency of Bubble Plumes for Water Circulation Enhancement. Water. 2024; 16(23):3538. https://doi.org/10.3390/w16233538
Chicago/Turabian StyleChoi, Seongeun, and Dong Hyeon Kim. 2024. "Assessing Operational Efficiency of Bubble Plumes for Water Circulation Enhancement" Water 16, no. 23: 3538. https://doi.org/10.3390/w16233538
APA StyleChoi, S., & Kim, D. H. (2024). Assessing Operational Efficiency of Bubble Plumes for Water Circulation Enhancement. Water, 16(23), 3538. https://doi.org/10.3390/w16233538

