Constructing the Joint Probability Spatial Distribution of Different Levels of Drought Risk Based on Copula Functions: A Case Study in the Yellow River Basin
Abstract
1. Introduction
2. Study Area and Data Sources
2.1. Study Area
2.2. Data Sources
3. Methodology
3.1. SWAT Hydrological Model
3.2. Drought Indicators
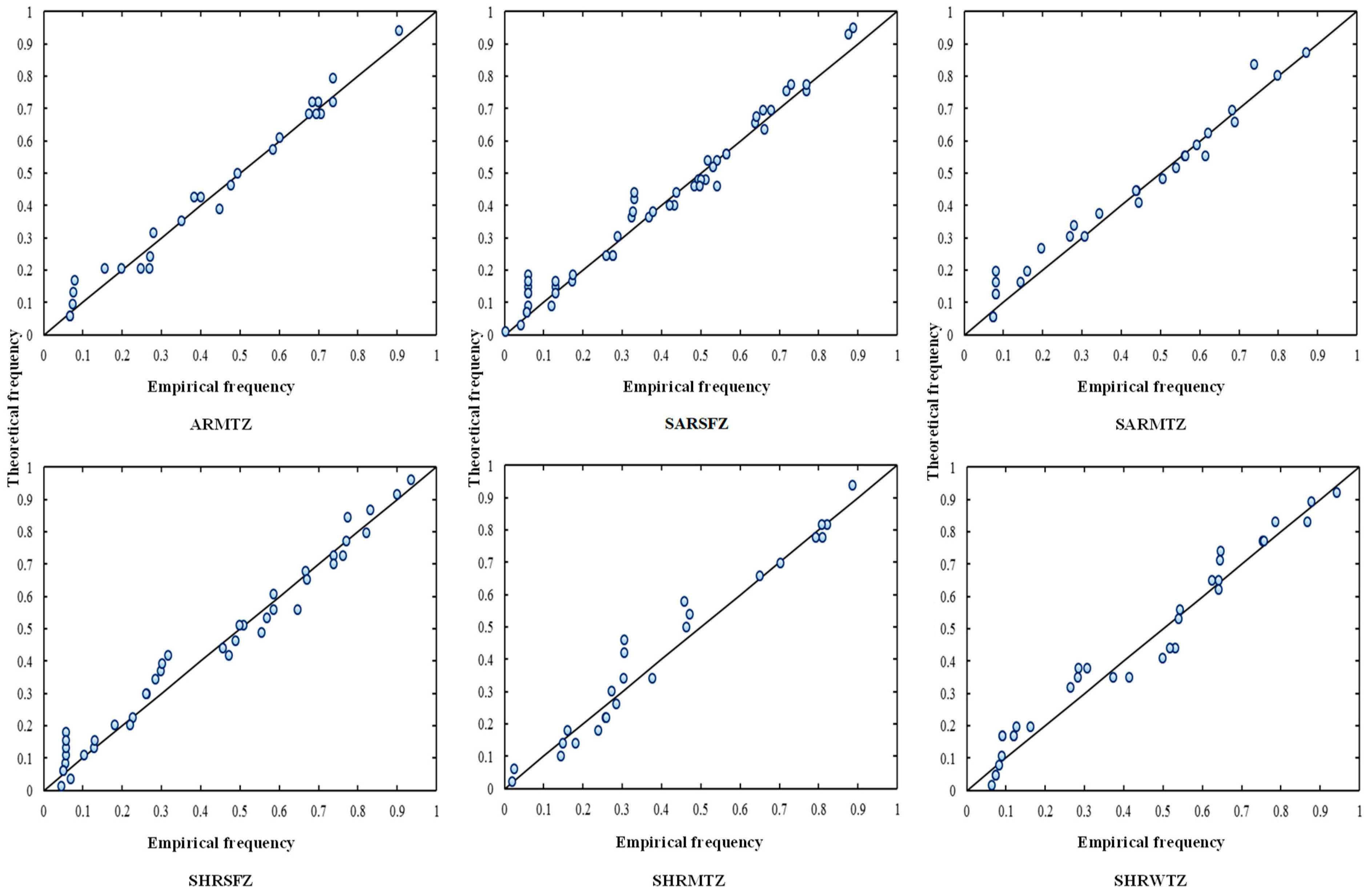
3.3. Copulas
3.4. Combined Probability and Joint Variable Recurrence Period
4. Results
4.1. SWAT Hydrological Model Parameter Rate Determination and Validation Subsection
4.2. Assessment of the Drought Situation in the Yellow River Basin
4.3. Drought Risk Assessment in the Yellow River Basin
4.3.1. Assessment of Drought Recurrence Period
4.3.2. Assessment of Drought Risk Level
5. Discussion
6. Conclusions
Author Contributions
Funding
Data Availability Statement
Conflicts of Interest
References
- Hao, Z.; Hao, F.; Singh, V.P. A general framework for multivariate multi-index drought prediction based on Multivariate Ensemble Streamflow Prediction (MESP). J. Hydrol. 2016, 539, 1–10. [Google Scholar] [CrossRef]
- Maity, R.; Suman, M.; Verma, N.K. Drought prediction using a wavelet based approach to model the temporal consequences of different types of droughts. J. Hydrol. 2016, 539, 417–428. [Google Scholar] [CrossRef]
- Zargar, A.; Sadiq, R.; Naser, B.; Khan, F.I. A review of drought indices. Environ. Rev. 2011, 19, 333–349. [Google Scholar] [CrossRef]
- Apurv, T.; Sivapalan, M.; Cai, X. Understanding the role of climate characteristics in drought propagation. Water Resour. Res. 2017, 53, 9304–9329. [Google Scholar] [CrossRef]
- Crausbay, S.D.; Ramirez, A.R.; Carter, S.L.; Cross, M.S.; Hall, K.R.; Bathke, D.J.; Betancourt, J.L.; Colt, S.; Cravens, A.E.; Dalton, M.S.; et al. Defining ecological drought for the twenty-first century. Bull. Am. Meteorol. Soc. 2017, 98, 2543–2550. [Google Scholar] [CrossRef]
- Tran, T.N.D.; Tapas, M.R.; Do, S.K.; Etheridge, R.; Lakshmi, V. Investigating the impacts of climate change on hydroclimatic extremes in the tar-pamlico river basin, north carolina. J. Environ. Manag. 2024, 363, 121375. [Google Scholar] [CrossRef]
- Vicente-Serrano, S.M.; Quiring, S.M.; Peña-Gallardo, M.; Yuan, S.; Domínguez-Castro, F. Global drought trends and future projections. Philos. Trans. R. Soc. A 2022, 380, 20210285. [Google Scholar] [CrossRef]
- Xu, L.; Chen, N.; Zhang, X. Global drought trends under 1.5 and 2 °C warming. Int. J. Climatol. 2019, 39, 2375–2385. [Google Scholar] [CrossRef]
- Pokhrel, Y.; Guo, Z.; Lin, Z.; Lin, P.; Li, H.Y.; Pan, M.; Qi, J.; Sheffield, J. Global terrestrial water storage and drought severity under climate change. Nat. Clim. Chang. 2021, 11, 226–233. [Google Scholar] [CrossRef]
- Tapas, M.R.; Etheridge, R.; Tran, T.N.D.; Finlay, C.G.; Peralta, A.L.; Bell, N.; Xu, Y.; Lakshmi, V. A methodological framework for assessing sea level rise impacts on nitrate loading in coastal agricultural watersheds using swat+: A case study of the tar-pamlico river basin, North Carolina, USA. Sci. Total Environ. 2024, 951, 175523. [Google Scholar] [CrossRef]
- Christian, J.I.; Basara, J.B.; Hunt, E.D.; Otkin, J.A.; Furtado, J.C.; Mishra, V.; Xiao, X.; Randall, R.M. Global distribution, trends, and drivers of flash drought occurrence. Nat. Commun. 2021, 12, 6330. [Google Scholar] [CrossRef] [PubMed]
- IPCC. Climate change 2023: AR6 Synthesis Report (SYR); Cambridge University Press: Cambridge, UK, 2023; Available online: https://www.ipcc.ch/report/ar6/syr/downloads/report/IPCC_AR6_SYR_SPM.pdf (accessed on 12 November 2024).
- Ashok, K.M.; Vijay, P.S. Drought modeling: A review. J. Hydrol. 2011, 403, 157–175. [Google Scholar]
- Liu, Q.; Huo, A.; Zhao, Z.; Zhao, X.; Rebouh, N.Y.; Luo, C. Spatial differentiation and influencing factors analysis of drought characteristics based on the standardized precipitation index: A case study of the yellow river basin. Water 2024, 16, 1337. [Google Scholar] [CrossRef]
- Mishra, A.K.; Singh, V.P. A review of drought concepts. J. Hydrol. 2010, 391, 204–216. [Google Scholar] [CrossRef]
- Mukherjee, S.; Mishra, A.; Trenberth, K.E. Climate change and drought: A perspective on drought indices. Curr. Clim. Chang. Rep. 2018, 4, 145–163. [Google Scholar] [CrossRef]
- Huo, A.; Peng, J.; Cheng, Y.; Luo, P.; Zhao, Z.; Zheng, C. Hydrological Analysis of Loess Plateau Highland Control Schemes in Dongzhi Plateau. Front. Earth Sci. 2020, 8, 528632. [Google Scholar] [CrossRef]
- Yuan, M.; Chang, J.; Li, Y. Comprehensive evaluation index on temporospatial analysis of drought in Weihe River Basin. Geomat. Inf. Sci. Wuhan Univ. 2018, 51, 401–408. [Google Scholar]
- MWRC. China Water Resources Bulletin 2011; China Water Power Press: Beijing, China, 2011. [Google Scholar]
- Huang, S.; Huang, Q.; Chang, J.; Zhu, Y.; Leng, G.; Xing, L. Drought structure based on a nonparametric multivariate standardized drought index across the Yellow River basin, China. J. Hydrol. 2015, 530, 127–136. [Google Scholar] [CrossRef]
- Zhou, S.; Wang, Y.; Chang, J.; Guo, A.; Li, Z. Investigating the Dynamic Influence of Hydrological Model Parameters on Runoff Simulation Using Sequential Uncertainty Fitting-2-Based Multilevel-Factorial-Analysis Method. Water 2018, 10, 1177. [Google Scholar] [CrossRef]
- Fung, K.F.; Huang, Y.F.; Koo, C.H. Coupling fuzzy–svr and boosting–svr models with wavelet decomposition for meteorological drought prediction. Environ. Earth Sci. 2019, 78, 693. [Google Scholar] [CrossRef]
- Heim, R.R., Jr. A review of twentieth-century drought indices used in the United States. Bull. Am. Meteorol. Soc. 2002, 83, 1149–1166. [Google Scholar] [CrossRef]
- Vicente-Serrano, S.M.; Beguería, S.; López-Moreno, J.I. A multiscalar drought index sensitive to global warming: The standardized precipitation evapotranspiration index. J. Clim. 2010, 23, 1696–1718. [Google Scholar] [CrossRef]
- Gu, L.; Chen, J.; Yin, J.B.; Sullivan, S.C.; Wang, H.M.; Guo, S.L.; Zhang, L.; Kim, J.-S. Projected increases in magnitude and socioeconomic exposure of global droughts in 1.5 and 2 °C warmer climates. Hydrol. Earth Syst. Sci. 2020, 24, 451–472. [Google Scholar] [CrossRef]
- Xu, K.; Yang, D.; Yang, H.; Li, Z.; Qin, Y.; Shen, Y. Spatio-temporal variation of drought in China during 1961–2012: A climatic perspective. J. Hydrol. 2015, 526, 253–264. [Google Scholar] [CrossRef]
- Wilhite, D.A. Drought: A Global Assessment; Routledge: London, UK, 2000. [Google Scholar]
- Cammalleri, C.; Micale, F.; Vogt, J. A novel soil moisture-based drought severity index (DSI) combining water deficit magnitude and frequency. Hydrol. Process. 2015, 30, 289–301. [Google Scholar] [CrossRef]
- Waseem, M.; Ajmal, M.; Kim, T.W. Development of a new composite drought index for multivariate drought assessment. J. Hydrol. 2015, 527, 30–37. [Google Scholar] [CrossRef]
- Yang, J.; Chang, J.; Wang, Y.; Li, Y.; Hu, H.; Chen, Y.; Huang, Q.; Yao, J. Comprehensive drought characteristics analysis based on a nonlinear multivariate drought index. J. Hydrol. 2018, 557, 651–667. [Google Scholar] [CrossRef]
- West, H.; Quinn, N.; Horswell, M. Remote sensing for drought monitoring & impact assessment: Progress, past challenges and future opportunities. Remote Sens. Environ. 2019, 232, 111291. [Google Scholar]
- Meimandi, J.B.; Bazrafshan, O.; Esmaeilpour, Y.; Zamani, H.; Shekari, M. Risk assessment of meteo-groundwater drought using copula approach in the arid region. Stoch. Environ. Res. Risk Assess. 2024, 38, 1523–1540. [Google Scholar] [CrossRef]
- Chang, J.; Li, Y.; Wang, Y.; Yuan, M. Copula-based drought risk assessment combined with an integrated index in the Wei River Basin, China. J. Hydrol. 2016, 540, 824–834. [Google Scholar] [CrossRef]
- Huang, S.; Chang, J.; Huang, Q.; Chen, Y. Spatio-temporal changes and frequency analysis of drought in the wei river basin. China Water Resour. Manag. 2014, 28, 3095–3110. [Google Scholar] [CrossRef]
- Kao, S.C.; Govindaraju, S.G. A copula-based joint deficit index for droughts. J. Hydrol. 2010, 380, 121–134. [Google Scholar] [CrossRef]
- Hao, Z.; Singh, V.P. Drought characterization from a multivariate perspective: A review. J. Hydrol. 2015, 527, 668–678. [Google Scholar] [CrossRef]
- Arnold, J.G.; Moriasi, D.N.; Gassman, P.W.; Abbaspour, K.C.; White, M.J.; Srinivasan, R.; Santhi, C.; Harmel, R.D.; Van Griensven, A.; Van Liew, M.W.; et al. SWAT: Model use, calibration, and validation. Trans. ASABE 2012, 55, 1491–1508. [Google Scholar] [CrossRef]
- Gassman, P.W.; Reyes, M.R.; Green, C.H.; Arnold, J.G. The soil and water assessment tool: Historical development, applications, and future research directions. Trans. ASABE 2007, 50, 1211–1250. [Google Scholar] [CrossRef]
- Tan, M.L.; Gassman, P.W.; Yang, X.; Haywood, J. A review of SWAT applications, performance and future needs for simulation of hydro-climatic extremes. Adv. Water Resour. 2020, 143, 103662. [Google Scholar] [CrossRef]
- Rajsekhar, D.; Singh, V.P.; Mishra, A.K. Multivariate drought index: An information theory based approach for integrated drought assessment. J. Hydrol. 2015, 526, 164–182. [Google Scholar] [CrossRef]
- Huang, S.; Chang, J.; Leng, G.; Huang, Q. Integrated index for drought assessment based on variable fuzzy set theory: A case study in the Yellow River basin. China J. Hydrol. 2015, 527, 608–618. [Google Scholar] [CrossRef]
- Su, Y.; Shi, J.; Zhang, M. Exploring Factors Influencing the HQDMI in the Yellow River Basin: A Grounded Theory Approach. Sustainability 2023, 15, 7036. [Google Scholar] [CrossRef]
- Zhang, Z.; Zou, X.; Zhang, C.; Sharifi, S. Has China’s River Chief System Improved the Quality of Water Environment? Take the Yellow River Basin as an Example. Pol. J. Environ. Stud. 2023, 32, 4403–4416. [Google Scholar] [CrossRef]
- Qin, Z.; Wang, J.; Lu, Y. Multifractal Characteristics Analysis Based on Slope Distribution Probability in the Yellow River Basin, China. ISPRS Int. J. Geo-Inf. 2021, 10, 337. [Google Scholar]
- Tran, T.-N.-D.; Nguyen, Q.B.; Vo, N.D.; Marshall, R.; Gourbesville, P. Assessment of terrain scenario impacts on hydrological simulation with SWAT model. Application to lai Giang catchment, vietnam. In Advances in Hydroinformatics: Models for Complex and Global Water Issues—Practices and Expectations; Springer Nature: Singapore, 2022; pp. 1205–1222. [Google Scholar]
- Jayakrishnan, R.S.R.S.; Srinivasan, R.; Santhi, C.; Arnold, J.G. Advances in the application of the SWAT model for water resources management. Hydrol. Processes Int. J. 2005, 19, 749–762. [Google Scholar] [CrossRef]
- Abbaspour, K.C.; Yang, J.; Maximov, I.; Siber, R.; Bogner, K.; Mieleitner, J.; Zobrist, J.; Srinivasan, R. Modelling hydrology and water quality in the pre-alpine/alpine Thur watershed using SWAT. J. Hydrol. 2007, 333, 413–430. [Google Scholar] [CrossRef]
- Khan, M.A.; Stamm, J. Assessment of the hydrological and coupled soft computing models, based on different satellite precipitation datasets, to simulate streamflow and sediment load in a mountainous catchment. J. Water Clim. Chang. 2023, 14, 610–632. [Google Scholar] [CrossRef]
- Tran, T.-N.; Lakshmi, V. Enhancing human resilience against climate change: Assessment of hydroclimatic extremes and sea level rise impacts on the Eastern Shore of Virginia, United States. Sci. Total Environ. 2024, 947, 174289. [Google Scholar] [CrossRef]
- Li, Y.; Chang, J.; Luo, L.; Wang, Y.; Guo, A.; Ma, F.; Fan, J. Spatiotemporal impacts of land use land cover changes on hydrology from the mechanism perspective using SWAT model with time-varying parameters. Hydrol. Res. 2019, 50, 244–261. [Google Scholar] [CrossRef]
- Li, K.; Wang, Y.; Li, X.; Yuan, Z.; Xu, J. Simulation effect evaluation of single-outlet and multi-outlet calibration of Soil and Water Assessment Tool model driven by Climate Forecast System Reanalysis data and ground-based meteorological station data—A case study in a Yellow River source. Water Supply 2021, 21, 1061–1071. [Google Scholar] [CrossRef]
- Moriasi, D.; Gitau, M.N.; Pai, N.; Daggupati, P. Hydrologic and water quality models: Performance measures and evaluation criteria. Trans. ASABE 2015, 58, 1763–1785. [Google Scholar]
- Sofi, M.S.; Rautela, K.S.; Muslim, M.; Bhat, S.U.; Rashid, I.; Kuniyal, J.C. Modeling the hydrological response of a snow-fed river in the Kashmir Himalayas through SWAT and Artificial Neural Network. Int. J. Environ. Sci. Technol. 2024, 21, 3115–3128. [Google Scholar] [CrossRef]
- Singh, A.; Mondal, S.; Samal, N.; Jha, S.K. Evaluation of precipitation forecasts for five-day streamflow forecasting in Narmada River basin. Hydrol. Sci. J. 2022, 68, 161–179. [Google Scholar] [CrossRef]
- Bae, S.; Lee, S.-H.; Yoo, S.-H.; Kim, T. Analysis of Drought Intensity and Trends Using the Modified SPEI in South Korea from 1981 to 2010. Water 2018, 10, 327. [Google Scholar] [CrossRef]
- Tam, B.; Bonsal, B.; Zhang, X.; Zhang, Q.; Rong, R. Assessing Potential Evapotranspiration Methods in Future Drought Projections across Canada. Atmosphere-Ocean 2024, 62, 193–205. [Google Scholar] [CrossRef]
- Singh, D.; Bhaintwal, M. On the sum-of-squares-modulus indicator of q-ary functions. In Proceedings of the 2013 International Conference on Advances in Computing, Communications and Informatics (ICACCI), Mysore, India, 22–25 August 2013; pp. 599–603. [Google Scholar]
- Singh, D.; Bhaintwal, M.; Singh, B.K. Constructions of q-ary functions with good global avalanche characteristics. Int. J. Comput. Math. 2014, 92, 266–276. [Google Scholar] [CrossRef]
- Dai, L.; Che, T.; Ding, Y. Inter-Calibrating SMMR, SSM/I and SSMI/S Data to Improve the Consistency of Snow-Depth Products in China. Remote Sens. 2015, 7, 7212–7230. [Google Scholar] [CrossRef]
- GB/T 34306–2017; Drought Disaster Classification. National Standardization Administration of China: Beijing, China, 2017. Available online: http://openstd.samr.gov.cn/bzgk/gb/newGbInfo?hcno=D2281945A96E8185F67EDC9E7A698049 (accessed on 13 November 2024).
- Wilcox, L.J.; Liu, Z.; Samset, B.H.; Hawkins, E.; Lund, M.T.; Nordling, K.; Undorf, S.; Bollasina, M.; Ekman, A.M.L.; Krishnan, S.; et al. Accelerated increases in global and Asian summer monsoon precipitation from future aerosol reductions. Atmos. Chem. Phys. 2020, 20, 11955–11977. [Google Scholar] [CrossRef]
- Huang, J.; Zhang, G.; Yu, H. Characteristics of climate change in the Yellow River basin during recent 40 years. J. Hydrol. 2020, 51, 1048–1058. [Google Scholar]
- Wang, Y.; Tan, D.; Han, L. Review of climate change in the Yellow River Basin. J. Desert Res. 2021, 41, 235–246. [Google Scholar]
- Li, Q.F.; He, P.F.; He, Y.C.; Han, X.Y.; Zeng, T.S.; Lu, G.B.; Wang, H.J. Investigation into the relation between meteorological drought and hydrological drought in the upper Shaying River Basin using wavelet analysis. Atmos. Res. 2020, 234, 104743. [Google Scholar] [CrossRef]
- Barker, L.J.; Hannaford, J.; Chiverton, A.; Svensson, C. From meteorological to hydrological drought using standardised indicators. Hydrol. Earth Syst. Sci. 2016, 20, 2483–2505. [Google Scholar] [CrossRef]















| Change Type | Parameter | Description | Range |
|---|---|---|---|
| r | CN2.mgt | Curve number for moisture condition II | (−0.5, 0.5) |
| r | SOL_K.sol | Saturated hydraulic conductivity | (−0.8, 0.8) |
| r | SOL_AWC.sol | Available water capacity of the soil layer | (−0.5, 0.5) |
| r | SOL_Z.sol | Soil depth | (−0.5, 0.5) |
| r | SOL_BD.sol | Moist bulk density | (0.9, 2.5) |
| v | CH_K2.rte | Main channel conductivity | (0, 150) |
| v | ALPHA_BF.gw | Base flow alpha factor | (0, 1) |
| v | GW_DELAY.gw | Groundwater delay time | (0, 500) |
| v | GWQMN.gw | Threshold depth of water in shallow aquifer required for return flow to occur | (0, 5000) |
| v | RCHRG_DP.gw | Percentage of deep aquifer penetration recharge | (0, 1) |
| v | GW_REVAP.gw | Groundwater ‘revap’ coefficient | (−0.02, 0.2) |
| v | REVAPMN.gw | Threshold of evaporation in shallow aquifer | (0, 500) |
| v | ESCO.hru | Soil evaporation compensation factor | (0.01, 1) |
| v | HRU_SLP.hru | Average slope | (0.5, 1.5) |
| v | SLSUBBSN.hru | Average slope length | (10, 150) |
| v | SFTMP.bsn | Average air temperature on days of snowfall | (−5, 5) |
| v | SMFMX.bsn | Snowmelt factor for 21 June | (0, 20) |
| v | SMFMN.bsn | Snowmelt factor for 21 December | (0, 20) |
| v | SMTMP.bsn | Basal temperature of snowmelt | (−5, 5) |
| v | TIMP.bsn | Snow temperature lag coefficient | (0.01, 1) |
| Drought Levels | SPEI | SSMI | SWYI |
|---|---|---|---|
| No drought | SPEI > −0.5 | SSMI > −0.5 | SWYI > −0.5 |
| Slight drought | −1.0 < SPEI ≤ −0.5 | −1.0 < SSMI ≤ −0.5 | −1.0 < SWYI ≤ −0.5 |
| Moderate drought | −1.5 < SPEI ≤ −1.0 | −1.5 < SSMI ≤ −1.0 | −1.5 < SWYI ≤ −1.0 |
| Severe drought | −2.0 < SPEI ≤ −1.5 | −2.0 < SSMI ≤ −1.5 | −2.0 < SWYI ≤ −1.5 |
| Extreme drought | SPEI ≤ −2.0 | SSMI ≤ −2.0 | SWYI ≤ −2.0 |
| Function | Function Expressions | Scope of Parameter θ |
|---|---|---|
| Clayton | ||
| AMH | ||
| Gumbel | ||
| Frank |
| Period | Station | Calibration | Verification | ||||
|---|---|---|---|---|---|---|---|
| NSE | R2 | Re (%) | NSE | R2 | Re (%) | ||
| Baseline period | Tangnaihai | 0.76 | 0.83 | 3.90 | 0.83 | 0.84 | 5.95 |
| Hongqi | 0.67 | 0.89 | −7.54 | 0.78 | 0.95 | −15.64 | |
| Lanzhou | 0.73 | 0.85 | 15.71 | 0.82 | 0.88 | 16.93 | |
| Toudaoguai | 0.68 | 0.80 | 12.45 | 0.74 | 0.78 | 11.62 | |
| Huaxian | 0.60 | 0.77 | −13.71 | 0.78 | 0.85 | 1.61 | |
| Longmen | 0.64 | 0.90 | −3.87 | 0.67 | 0.80 | −7.36 | |
| Huayuankou | 0.63 | 0.79 | 4.88 | 0.74 | 0.80 | 9.70 | |
| 1990s | Tangnaihai | 0.68 | 0.75 | 18.59 | 0.80 | 0.91 | 21.45 |
| Hongqi | 0.62 | 0.89 | −15.31 | 0.63 | 0.92 | −7.04 | |
| Lanzhou | 0.74 | 0.84 | 14.39 | 0.84 | 0.89 | 13.84 | |
| Toudaoguai | 0.65 | 0.74 | 15.69 | 0.76 | 0.77 | 7.86 | |
| Huaxian | 0.62 | 0.71 | 20.08 | 0.66 | 0.70 | 2.11 | |
| Longmen | 0.64 | 0.79 | 19.8 | 0.65 | 0.75 | 15.51 | |
| Huayuankou | 0.59 | 0.73 | 12.43 | 0.67 | 0.74 | 3.87 | |
| 2000s | Tangnaihai | 0.83 | 0.83 | 3.20 | 0.83 | 0.86 | 7.53 |
| Hongqi | 0.63 | 0.84 | −2.51 | 0.64 | 0.72 | −6.54 | |
| Lanzhou | 0.78 | 0.86 | 8.64 | 0.76 | 0.90 | 8.93 | |
| Toudaoguai | 0.70 | 0.76 | 13.86 | 0.65 | 0.76 | 13.91 | |
| Huaxian | 0.76 | 0.76 | −8.64 | 0.69 | 0.78 | −7.72 | |
| Longmen | 0.66 | 0.73 | 11.57 | 0.64 | 0.74 | 6.73 | |
| Huayuankou | 0.61 | 0.72 | 24.73 | 0.62 | 0.71 | 14.23 | |
| land use types (1980) | ARMTZ | SARSFZ | SARMTZ | SHRSFZ | SHRMTZ | SHRWTZ |
| Agricultural land | 15.26 | 6.20 | 20.32 | 2.42 | 37.35 | 46.06 |
| Forestry land | 1.97 | 11.20 | 4.08 | 12.84 | 14.09 | 20.02 |
| Grasslands | 47.63 | 61.13 | 54.37 | 72.72 | 42.75 | 28.33 |
| Water area | 5.18 | 6.51 | 2.41 | 4.68 | 1.43 | 1.65 |
| Urban land | 3.99 | 0.57 | 1.75 | 0.20 | 1.10 | 3.75 |
| Bare land | 25.97 | 14.38 | 17.07 | 7.13 | 3.28 | 0.20 |
| land use types (1990) | ARMTZ | SARSFZ | SARMTZ | SHRSFZ | SHRMTZ | SHRWTZ |
| Agricultural land | 16.28 | 6.08 | 20.44 | 2.47 | 37.22 | 46.36 |
| Forestry land | 2.03 | 11.13 | 4.11 | 12.85 | 14.18 | 19.90 |
| Grasslands | 47.61 | 61.32 | 54.37 | 72.95 | 42.85 | 28.29 |
| Water area | 4.34 | 6.32 | 2.22 | 4.47 | 1.43 | 1.49 |
| Urban land | 4.13 | 0.51 | 1.77 | 0.23 | 1.05 | 3.78 |
| Bare land | 25.61 | 14.65 | 17.09 | 7.04 | 3.26 | 0.17 |
| land use types (2000) | ARMTZ | SARSFZ | SARMTZ | SHRSFZ | SHRMTZ | SHRWTZ |
| Agricultural land | 16.08 | 6.18 | 20.63 | 2.63 | 37.47 | 46.23 |
| Forestry land | 2.10 | 11.20 | 4.61 | 12.76 | 14.15 | 19.96 |
| Grasslands | 46.86 | 61.08 | 53.22 | 72.59 | 43.30 | 28.12 |
| Water area | 4.20 | 6.40 | 2.22 | 4.72 | 1.41 | 1.35 |
| Urban land | 4.42 | 0.61 | 2.09 | 0.22 | 1.18 | 4.19 |
| Bare land | 26.34 | 14.54 | 17.24 | 7.08 | 2.50 | 0.15 |
| land use types (2010) | ARMTZ | SARSFZ | SARMTZ | SHRSFZ | SHRMTZ | SHRWTZ |
| Agricultural land | 16.07 | 6.22 | 20.63 | 2.60 | 36.56 | 45.25 |
| Forestry land | 2.00 | 11.19 | 4.61 | 12.75 | 14.66 | 20.39 |
| Graslands | 46.47 | 59.86 | 53.22 | 72.59 | 43.63 | 28.16 |
| Water area | 4.38 | 6.45 | 2.22 | 4.76 | 1.40 | 1.46 |
| Urban land | 4.76 | 0.65 | 2.09 | 0.24 | 1.31 | 4.59 |
| Bare land | 26.32 | 15.64 | 17.24 | 7.06 | 2.45 | 0.14 |
| Zoning | Function | Variables | Meteorological Drought | Agriculture Drought | Hydrological Drought | |||||||||
|---|---|---|---|---|---|---|---|---|---|---|---|---|---|---|
| Parameter | OLS | AIC | BIC | Parameter | OLS | AIC | BIC | Parameter | OLS | AIC | BIC | |||
| ARMTZ | Clayton | D&S&M | 15.65 | 0.04 | −303.51 | −301.62 | 7.75 | 0.04 | −235.28 | −233.67 | 11.30 | 0.02 | −197.42 | −196.13 |
| AMH | D&S&M | 1.00 | 0.20 | −155.84 | −153.95 | 1.00 | 0.17 | −130.07 | −128.46 | 1.00 | 0.12 | −109.47 | −108.18 | |
| Gumbel | D&S&M | 9.89 | 0.05 | −300.85 | −298.96 | 4.38 | 0.04 | −237.31 | −235.70 | 8.29 | 0.03 | −190.08 | −188.79 | |
| Frank | D&S&M | 39.37 | 0.04 | −302.05 | −300.16 | 14.71 | 0.04 | −236.53 | −234.92 | 38.97 | 0.03 | −189.61 | −188.32 | |
| SARSFZ | Clayton | D&S&M | 20.21 | 0.05 | −314.40 | −312.45 | 21.86 | 0.04 | −223.77 | −222.21 | 7.32 | 0.02 | −376.32 | −374.39 |
| AMH | D&S&M | 1.00 | 0.20 | −164.77 | −162.81 | 1.00 | 0.09 | −163.64 | −162.08 | 1.00 | 0.09 | −242.55 | −240.62 | |
| Gumbel | D&S&M | 21.20 | 0.05 | −312.10 | −310.14 | 14.20 | 0.04 | −222.24 | −220.69 | 6.01 | 0.02 | −374.50 | −372.57 | |
| Frank | D&S&M | 39.51 | 0.05 | −310.99 | −309.04 | 38.00 | 0.04 | −221.32 | −219.77 | 20.42 | 0.03 | −370.76 | −368.83 | |
| SARMTZ | Clayton | D&S&M | 17.59 | 0.04 | −300.67 | −298.82 | 7.41 | 0.05 | −152.10 | −150.84 | 5.35 | 0.02 | −204.45 | −203.12 |
| AMH | D&S&M | 1.00 | 0.20 | −148.36 | −146.51 | 1.00 | 0.19 | −84.13 | −82.88 | 1.00 | 0.06 | −154.82 | −153.49 | |
| Gumbel | D&S&M | 18.02 | 0.04 | −297.93 | −296.08 | 11.36 | 0.06 | −147.04 | −145.78 | 8.96 | 0.02 | −207.37 | −206.04 | |
| Frank | D&S&M | 38.82 | 0.04 | −297.90 | −296.05 | 42.56 | 0.06 | −146.75 | −145.49 | 22.45 | 0.03 | −203.24 | −201.90 | |
| SHRSFZ | Clayton | D&S&M | 16.05 | 0.04 | −353.33 | −351.30 | 6.93 | 0.06 | −217.30 | −215.66 | 8.64 | 0.02 | −345.44 | −343.70 |
| AMH | D&S&M | 1.00 | 0.19 | −185.80 | −183.78 | 1.00 | 0.18 | −125.47 | −123.84 | 1.00 | 0.04 | −264.05 | −262.31 | |
| Gumbel | D&S&M | 47.11 | 0.04 | −349.40 | −347.38 | 6.72 | 0.06 | −212.52 | −210.88 | 5.14 | 0.01 | −357.27 | −355.53 | |
| Frank | D&S&M | 41.76 | 0.04 | −347.55 | −345.53 | 38.66 | 0.06 | −211.86 | −210.22 | 12.75 | 0.01 | −351.06 | −349.33 | |
| SHRMTZ | Clayton | D&S&M | 27.93 | 0.05 | −310.38 | −308.41 | 6.94 | 0.06 | −140.33 | −139.11 | 8.18 | 0.02 | −265.23 | −263.65 |
| AMH | D&S&M | 1.00 | 0.19 | −173.53 | −171.56 | 1.00 | 0.09 | −117.11 | −115.89 | 1.00 | 0.12 | −152.36 | −150.77 | |
| Gumbel | D&S&M | 39.66 | 0.05 | −310.35 | −308.38 | 5.08 | 0.06 | −139.48 | −138.26 | 6.89 | 0.03 | −256.93 | −255.35 | |
| Frank | D&S&M | 38.21 | 0.05 | −310.17 | −308.20 | 14.28 | 0.06 | −140.43 | −139.21 | 21.49 | 0.03 | −257.19 | −255.61 | |
| SHRWTZ | Clayton | D&S&M | 17.59 | 0.05 | −368.39 | −366.27 | 3.50 | 0.04 | −162.02 | −160.76 | 18.53 | 0.03 | −221.58 | −220.08 |
| AMH | D&S&M | 1.00 | 0.18 | −207.92 | −205.79 | 1.00 | 0.06 | −143.64 | −142.39 | 1.00 | 0.11 | −145.43 | −143.94 | |
| Gumbel | D&S&M | 18.02 | 0.05 | −366.73 | −364.60 | 2.67 | 0.04 | −170.85 | −169.59 | 9.60 | 0.03 | −223.04 | −221.55 | |
| Frank | D&S&M | 38.82 | 0.05 | −364.45 | −362.33 | 8.22 | 0.04 | −164.93 | −163.68 | 23.16 | 0.03 | −219.69 | −218.20 | |
| Zoning | T/a | Meteorological Drought | Agricultural Drought | Hydrological Drought | ||||||||||||
|---|---|---|---|---|---|---|---|---|---|---|---|---|---|---|---|---|
| D/month | S/mm | M/mm | D&S&M | D/month | S/mm | M/mm | D&S&M | D/month | S/mm | M/mm | D&S&M | |||||
| Tα | To | Tα | To | Tα | To | |||||||||||
| ARMTZ | 2 | 2.71 | 2.78 | 1.26 | 1.88 | 2.35 | 2.72 | 2.36 | 1.04 | 1.77 | 1.08 | 0.97 | 0.59 | 0.56 | 1.98 | 2.02 |
| 5 | 5.72 | 6.4 | 1.89 | 3.96 | 5.87 | 7.12 | 6.53 | 1.8 | 4.06 | 4.65 | 7.08 | 7.3 | 1.48 | 4.32 | 6.21 | |
| 10 | 8.14 | 9.33 | 2.19 | 6.54 | 10.73 | 10.08 | 10.45 | 2.1 | 7.94 | 20.47 | 10.57 | 12.37 | 1.91 | 7.22 | 17.54 | |
| 20 | 10.7 | 12.42 | 2.4 | 10.68 | 18.6 | 12.77 | 15.2 | 2.27 | 15.71 | 61.29 | 14.15 | 17.45 | 2.19 | 11.7 | 62.52 | |
| 50 | 14.28 | 16.78 | 2.58 | 21.46 | 38.03 | 15.95 | 23 | 2.4 | 39.05 | 360.06 | 19.29 | 24.16 | 2.42 | 22.86 | 540.4 | |
| 100 | 17.17 | 20.31 | 2.67 | 38.5 | 67.75 | 18.09 | 30.21 | 2.45 | 77.95 | 1394.36 | 23.61 | 29.24 | 2.52 | 40.11 | 5145.66 | |
| SARSFZ | 2 | 3.01 | 3.09 | 1.3 | 1.89 | 2.19 | 2.27 | 1.62 | 0.96 | 1.97 | 1.03 | 2.75 | 3.01 | 1.34 | 1.75 | 2.51 |
| 5 | 5.75 | 6.2 | 1.94 | 4.09 | 6.47 | 6.82 | 6.33 | 1.58 | 4.63 | 3.81 | 5.29 | 6.31 | 1.91 | 3.33 | 10.15 | |
| 10 | 7.57 | 8.39 | 2.22 | 6.85 | 15.25 | 9.88 | 10.81 | 1.86 | 8.4 | 11.14 | 7.91 | 8.81 | 2.15 | 5.36 | 31.41 | |
| 20 | 9.21 | 10.48 | 2.41 | 11.2 | 33.44 | 12.76 | 16.27 | 2.09 | 14.36 | 37.86 | 11.49 | 11.3 | 2.3 | 8.96 | 97.86 | |
| 50 | 11.11 | 13.15 | 2.56 | 22.24 | 77 | 16.4 | 25.35 | 2.34 | 27.74 | 298.22 | 18.39 | 14.61 | 2.41 | 19.18 | 446.65 | |
| 100 | 12.38 | 15.11 | 2.62 | 39.41 | 135.37 | 19.05 | 33.98 | 2.5 | 46.45 | 3900.48 | 26.02 | 17.11 | 2.45 | 35.94 | 1497.7 | |
| SARMTZ | 2 | 2.72 | 2.74 | 1.26 | 1.9 | 2.23 | 0.51 | 0.52 | 0.43 | 1.99 | 1.05 | 1.23 | 0.58 | 0.58 | 1.97 | 2.05 |
| 5 | 5.79 | 6.13 | 1.86 | 4.09 | 6.69 | 7.3 | 5.73 | 1.61 | 4.1 | 4.03 | 7.05 | 6.56 | 1.23 | 4.03 | 5.74 | |
| 10 | 8.27 | 9.26 | 2.12 | 6.82 | 15.91 | 11.88 | 13 | 2.05 | 6.63 | 12.51 | 10.58 | 9.83 | 1.62 | 6.5 | 12.11 | |
| 20 | 10.9 | 13 | 2.27 | 11.13 | 34.93 | 16.34 | 26.76 | 2.3 | 10.68 | 44.91 | 13.51 | 13.02 | 1.93 | 10.49 | 24.62 | |
| 50 | 14.62 | 19 | 2.39 | 22.11 | 79.94 | 22.15 | 65.77 | 2.47 | 21.35 | 306.63 | 16.62 | 17.34 | 2.25 | 21.1 | 59.71 | |
| 100 | 17.63 | 24.47 | 2.44 | 39.26 | 140.16 | 26.49 | 127.61 | 2.53 | 38.32 | 1476.66 | 18.51 | 20.76 | 2.44 | 38.04 | 115.44 | |
| SHRSFZ | 2 | 3.24 | 3.38 | 1.33 | 1.85 | 2.23 | 2.56 | 2.35 | 1 | 1.86 | 0.72 | 2.37 | 2.38 | 1.13 | 1.83 | 2.32 |
| 5 | 5.17 | 6.08 | 1.91 | 3.85 | 6.25 | 6.38 | 7.41 | 1.79 | 3.62 | 4.58 | 5.39 | 6.66 | 1.84 | 4.39 | 7.46 | |
| 10 | 6.37 | 7.9 | 2.18 | 6.33 | 13.68 | 8.89 | 11.05 | 2.09 | 5.78 | 15.34 | 8.92 | 10.27 | 2.12 | 8.69 | 20.83 | |
| 20 | 7.45 | 9.61 | 2.36 | 10.36 | 28.48 | 11.21 | 14.53 | 2.27 | 9.5 | 58.52 | 14.28 | 14.23 | 2.29 | 17.29 | 71.86 | |
| 50 | 8.73 | 11.73 | 2.51 | 21.02 | 67.61 | 14.11 | 18.9 | 2.39 | 19.83 | 397.3 | 26.04 | 20.07 | 2.41 | 43.1 | 791.79 | |
| 100 | 9.63 | 13.27 | 2.58 | 38 | 126.23 | 16.21 | 22.03 | 2.44 | 36.64 | 1754.45 | 40.71 | 24.99 | 2.46 | 86.12 | 29,075.77 | |
| SHRMTZ | 2 | 3.11 | 2.73 | 1.34 | 1.92 | 2.31 | 0.86 | 0.25 | 0.42 | 2 | 2.01 | 3.1 | 2.56 | 0.81 | 1.89 | 2.13 |
| 5 | 5.7 | 6.09 | 1.8 | 4.29 | 9.21 | 6.84 | 6.43 | 1.42 | 4.33 | 5.69 | 6.77 | 7.07 | 1.39 | 3.8 | 6.34 | |
| 10 | 7.44 | 8.97 | 2.07 | 7.37 | 43.48 | 11.44 | 12.25 | 1.81 | 7.19 | 11.38 | 8.5 | 10.04 | 1.99 | 6.12 | 15.64 | |
| 20 | 9.05 | 12.19 | 2.3 | 12.13 | 107.16 | 16.1 | 19.86 | 2.16 | 11.62 | 22.9 | 9.66 | 12.82 | 2.83 | 9.97 | 41.44 | |
| 50 | 11.06 | 17.02 | 2.56 | 23.7 | 355.75 | 22.37 | 33.23 | 2.63 | 22.72 | 58.07 | 10.62 | 16.3 | 4.54 | 20.44 | 168.65 | |
| 100 | 12.5 | 21.18 | 2.73 | 41.19 | 2852.9 | 27.18 | 46.36 | 2.97 | 39.93 | 116.26 | 11.07 | 18.81 | 6.5 | 37.32 | 536.11 | |
| SHRWTZ | 2 | 2.77 | 2.73 | 1.34 | 1.83 | 2.25 | 0.83 | 0.44 | 0.85 | 1.98 | 2.1 | 2.65 | 1.7 | 0.94 | 1.9 | 2.14 |
| 5 | 4.98 | 5.48 | 1.87 | 3.82 | 6.54 | 8.15 | 8.38 | 1.61 | 3.77 | 6.61 | 6.81 | 7.22 | 1.54 | 4.55 | 6.54 | |
| 10 | 6.68 | 8.07 | 2.13 | 6.28 | 14.46 | 10.22 | 12.08 | 1.93 | 5.93 | 11.55 | 9.13 | 11.41 | 1.8 | 9.01 | 19.34 | |
| 20 | 8.42 | 11.17 | 2.3 | 10.3 | 29.64 | 11.79 | 15.59 | 2.22 | 9.62 | 19.68 | 11.25 | 15.59 | 2 | 17.92 | 116.14 | |
| 50 | 10.77 | 16.18 | 2.44 | 20.96 | 67.93 | 13.47 | 20.23 | 2.57 | 19.92 | 42.12 | 13.9 | 21.12 | 2.22 | 44.68 | 479.94 | |
| 100 | 12.59 | 20.75 | 2.51 | 37.93 | 124.58 | 14.55 | 23.83 | 2.83 | 36.71 | 78.69 | 15.82 | 25.3 | 2.36 | 89.27 | 2527.19 | |
| Zoning | T/a | Meteorological Drought | Agricultural Drought | Hydrological Drought | ||||||||||||
|---|---|---|---|---|---|---|---|---|---|---|---|---|---|---|---|---|
| D/month | S/mm | M/mm | D&S&M | D/month | S/mm | M/mm | D&S&M | D/month | S/mm | M/mm | D&S&M | |||||
| Tα | To | Tα | To | Tα | To | |||||||||||
| ARMTZ | 3 | 4.01 | 4.35 | 1.57 | 2.65 | 3.59 | 4.01 | 4.35 | 1.57 | 2.65 | 3.59 | 4.3 | 3.56 | 1.03 | 2.84 | 3.24 |
| 6 | 6.34 | 7.16 | 1.98 | 4.54 | 6.92 | 6.34 | 7.16 | 1.98 | 4.54 | 6.92 | 8.01 | 8.63 | 1.61 | 4.97 | 8.01 | |
| 9 | 7.77 | 8.87 | 2.15 | 6.07 | 9.83 | 7.77 | 8.87 | 2.15 | 6.07 | 9.83 | 10.04 | 11.6 | 1.86 | 6.7 | 14.78 | |
| SARSFZ | 3 | 4.27 | 4.51 | 1.63 | 2.7 | 3.49 | 4.27 | 4.51 | 1.63 | 2.7 | 3.49 | 3.78 | 4.47 | 1.64 | 2.35 | 4.56 |
| 6 | 6.25 | 6.79 | 2.03 | 4.71 | 8.11 | 6.25 | 6.79 | 2.03 | 4.71 | 8.11 | 5.9 | 6.97 | 1.99 | 3.76 | 13.62 | |
| 9 | 7.31 | 8.06 | 2.19 | 6.36 | 13.41 | 7.31 | 8.06 | 2.19 | 6.36 | 13.41 | 7.46 | 8.43 | 2.12 | 4.97 | 26.41 | |
| SARMTZ | 3 | 4.05 | 4.15 | 1.58 | 2.7 | 3.58 | 4.05 | 4.15 | 1.58 | 2.7 | 3.58 | 3.98 | 3.82 | 0.89 | 2.74 | 3.25 |
| 6 | 6.43 | 6.9 | 1.94 | 4.7 | 8.41 | 6.43 | 6.9 | 1.94 | 4.7 | 8.41 | 8.04 | 7.44 | 1.34 | 4.58 | 7 | |
| 9 | 7.88 | 8.75 | 2.09 | 6.33 | 13.98 | 7.88 | 8.75 | 2.09 | 6.33 | 13.98 | 10.08 | 9.35 | 1.56 | 6.05 | 10.83 | |
| SHRSFZ | 3 | 4.17 | 4.63 | 1.62 | 2.59 | 3.51 | 4.17 | 4.63 | 1.62 | 2.59 | 3.51 | 3.55 | 4.21 | 1.51 | 2.68 | 3.83 |
| 6 | 5.5 | 6.57 | 1.99 | 4.4 | 7.7 | 5.5 | 6.57 | 1.99 | 4.4 | 7.7 | 6.19 | 7.58 | 1.93 | 5.25 | 9.62 | |
| 9 | 6.2 | 7.63 | 2.14 | 5.87 | 12.17 | 6.2 | 7.63 | 2.14 | 5.87 | 12.17 | 8.28 | 9.7 | 2.09 | 7.83 | 17.62 | |
| SHRMTZ | 3 | 4.32 | 4.16 | 1.57 | 2.77 | 4.02 | 4.32 | 4.16 | 1.57 | 2.77 | 4.02 | 4.97 | 4.68 | 1.05 | 2.62 | 3.4 |
| 6 | 6.17 | 6.81 | 1.88 | 4.97 | 13.01 | 6.17 | 6.81 | 1.88 | 4.97 | 13.01 | 7.3 | 7.87 | 1.53 | 4.32 | 7.98 | |
| 9 | 7.18 | 8.51 | 2.03 | 6.81 | 32.56 | 7.18 | 8.51 | 2.03 | 6.81 | 32.56 | 8.28 | 9.6 | 1.89 | 5.69 | 13.57 | |
| SHRWTZ | 3 | 3.74 | 3.87 | 1.61 | 2.57 | 3.59 | 3.74 | 3.87 | 1.61 | 2.57 | 3.59 | 4.8 | 4.14 | 1.28 | 2.78 | 3.42 |
| 6 | 5.42 | 6.12 | 1.95 | 4.37 | 8.09 | 5.42 | 6.12 | 1.95 | 4.37 | 8.09 | 7.45 | 8.32 | 1.62 | 5.44 | 8.44 | |
| 9 | 6.42 | 7.65 | 2.09 | 5.84 | 12.86 | 6.42 | 7.65 | 2.09 | 5.84 | 12.86 | 8.8 | 10.77 | 1.76 | 8.11 | 16.01 | |
| Type of Drought | Drought Risk Pattern | Definition |
|---|---|---|
| Meteorological drought | Above light drought grade | D ≥ 2.00; S ≥ 1.20; M ≥ 0.60 |
| Above moderate drought grade | D ≥ 4.09; S ≥ 4.28; M ≥ 1.60 | |
| Above severe drought grade | D ≥ 6.02; S ≥ 6.73; M ≥ 1.96 | |
| Extreme drought grade | D ≥ 7.13; S ≥ 8.25; M ≥ 2.11 | |
| Agricultural drought | Above light drought grade | D ≥ 2.00; S ≥ 1.20; M ≥ 0.60 |
| Above moderate drought grade | D ≥ 4.42; S ≥ 3.84; M ≥ 1.27 | |
| Above severe drought grade | D ≥ 8.00; S ≥ 6.73; M ≥ 1.74 | |
| Extreme drought grade | D ≥ 9.91; S ≥ 10.79; M ≥ 1.93 | |
| Hydrological drought | Above light drought grade | D ≥ 2.00; S ≥ 1.20; M ≥ 0.60 |
| Above moderate drought grade | D ≥ 4.23; S ≥ 4.15; M ≥ 1.23 | |
| Above severe drought grade | D ≥ 7.15; S ≥ 7.80; M ≥ 1.67 | |
| Extreme drought grade | D ≥ 8.82; S ≥ 9.91; M ≥ 1.88 |
Disclaimer/Publisher’s Note: The statements, opinions and data contained in all publications are solely those of the individual author(s) and contributor(s) and not of MDPI and/or the editor(s). MDPI and/or the editor(s) disclaim responsibility for any injury to people or property resulting from any ideas, methods, instructions or products referred to in the content. |
© 2024 by the authors. Licensee MDPI, Basel, Switzerland. This article is an open access article distributed under the terms and conditions of the Creative Commons Attribution (CC BY) license (https://creativecommons.org/licenses/by/4.0/).
Share and Cite
Wang, Q.; Wang, Y.; Niu, C.; Huang, M. Constructing the Joint Probability Spatial Distribution of Different Levels of Drought Risk Based on Copula Functions: A Case Study in the Yellow River Basin. Water 2024, 16, 3374. https://doi.org/10.3390/w16233374
Wang Q, Wang Y, Niu C, Huang M. Constructing the Joint Probability Spatial Distribution of Different Levels of Drought Risk Based on Copula Functions: A Case Study in the Yellow River Basin. Water. 2024; 16(23):3374. https://doi.org/10.3390/w16233374
Chicago/Turabian StyleWang, Quanwei, Yimin Wang, Chen Niu, and Mengdi Huang. 2024. "Constructing the Joint Probability Spatial Distribution of Different Levels of Drought Risk Based on Copula Functions: A Case Study in the Yellow River Basin" Water 16, no. 23: 3374. https://doi.org/10.3390/w16233374
APA StyleWang, Q., Wang, Y., Niu, C., & Huang, M. (2024). Constructing the Joint Probability Spatial Distribution of Different Levels of Drought Risk Based on Copula Functions: A Case Study in the Yellow River Basin. Water, 16(23), 3374. https://doi.org/10.3390/w16233374

