An Experimental Investigation of the Flexural Strength and Fracture Toughness of Granular Snow Ice Under a Three-Point Bending Test
Abstract
1. Introduction
2. Method
2.1. Ice Sample Preparation
2.2. Ice Crystal Structure Measurement
2.3. Three-Point Bending Test
2.3.1. Test Devices
2.3.2. Test Principles and Procedures
2.4. Fracture Toughness Test
2.4.1. Test Principles
2.4.2. Test Procedures
3. Results and Analysis
3.1. Crystal Structure of Granular Snow Ice
3.2. Three-Point Bending Test
3.2.1. Fracture Process Curve
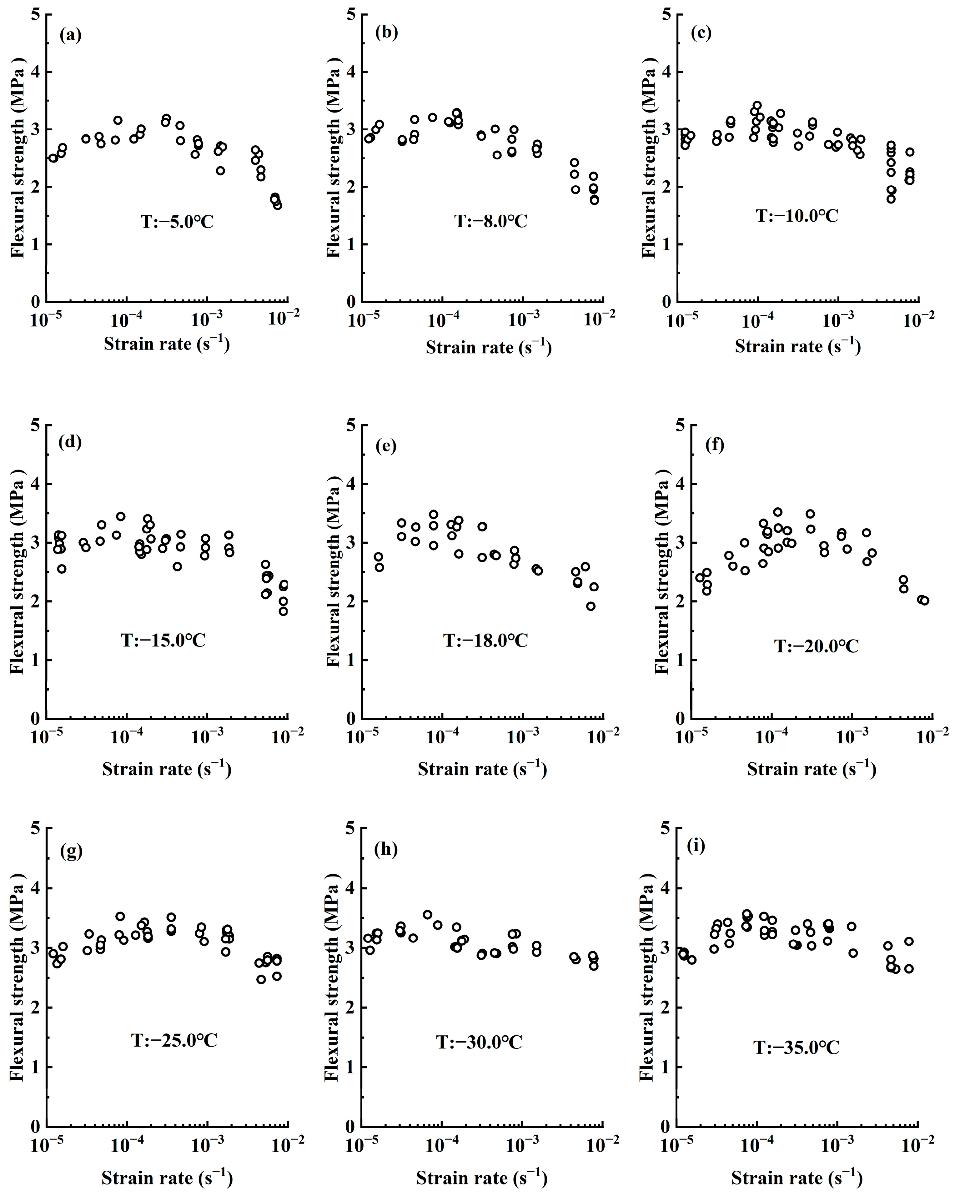
3.2.2. The Relationship Between Flexural Strength and Strain Rate
3.2.3. The Relationship Between Flexural Strength and Temperature
3.2.4. The Relationship Between Flexural Strength and Ice Structure
3.2.5. Flexural Failure Mode
3.3. Fracture Toughness Test
3.3.1. Fracture Process Curve
3.3.2. The Relationship Between Fracture Toughness and Strain Rate
3.3.3. The Relationship Between Fracture Toughness and Temperature
3.3.4. Fracture Toughness Failure Mode
4. Conclusions and Future Prospective
- The flexural strength of granular snow ice is influenced by the strain rate and temperature. The bending performance of ice is affected by the strain rate; within the temperature range of −35 to −5 °C, the flexural strength exhibits a trend of first increasing and then decreasing with increasing strain rate. Ice exhibits ductility at low strain rates and brittleness at high strain rates. There exists a ductile–brittle transition interval for ice, ranging from 6.67 × 10−5 s−1 to 3.11 × 10−4 s−1. The lower the temperature, the higher the flexural strength of ice, but the more pronounced its brittle characteristics, manifesting as a lower strain rate corresponding to the maximum flexural strength. For example, at −5 °C, the strain rate corresponding to the maximum flexural value is 3.11 × 10−4 s−1, while at −10 °C, the strain rate corresponding to the maximum flexural strength is only 6.67 × 10−5 s−1. The flexural strength is influenced by the crystal structure: at −20 °C, the average flexural strength of granular snow ice is 2.85 MPa, while under the same temperature, the average flexural strength of columnar ice is 1.93 MPa.
- The fracture toughness of granular snow ice is influenced by strain rate and temperature. Within the range of −15 to −6 °C, fracture toughness decreases as the strain rate increases. Temperature similarly affects fracture toughness, with higher temperatures resulting in lower values. At −15 °C, the fracture toughness is 181.60 kPa·m1/2, but it decreases to 147.28 kPa·m1/2 at −6 °C.
- In the three-point bending test, the crystal structure, temperature, and strain rate of ice do not significantly influence the fracture mode. Ice cracks can be categorized into two types: straight cracks that develop along grain boundaries and oblique cracks that form at a specific angle to the direction of tensile stress. In the three-point bending test of granular snow ice with a notch, 102 ice samples were analyzed, 96 of which exhibited vertical fractures.
- In practical applications, the temperature of the ice layer varies with depth. The experiment controls the sample temperature to be uniform, but the influence of temperature non-uniformity on ice mechanics parameters has not been explored. In subsequent research, theory should be combined with practice, and the bending strength and fracture toughness obtained from experiments should be used to provide support for the design and construction of ice sports projects and cold-region engineering.
- In the fracture toughness test, we only analyzed the fracture toughness of granular ice at −15 °C to −6 °C. In the future, fracture toughness tests can be conducted on granular ice at different temperatures, and better analytical methods can be found to analyze its fracture toughness.
Author Contributions
Funding
Data Availability Statement
Conflicts of Interest
References
- Mironov, E.U.; Egorova, E.S. Seasonal and interannual variations in the Greenland Sea ice age composition in the winter period. Russ. Meteorol. Hydrol. 2024, 49, 221–229. [Google Scholar] [CrossRef]
- Zhang, Y.X.; Qiu, Y.B.; Li, Y.; Leppäranta, M.; Jia, G.; Jiang, Z.X.; Liang, W.S. Spatial-temporal variation of river ice coverage in the Yenisei river from 2002 to 2021. J. Hydrol. 2024, 637, 131440. [Google Scholar] [CrossRef]
- Zhang, L. A Study on the Brazilian Disk Splitting Test of Antarctic Ice and Liaohe Ice. Master’s Thesis, Dalian University of Technology, Dalian, China, 2022. (In Chinese). [Google Scholar]
- Zhang, Y. Study on the Internal Structure and Surface Crack Characteristics of River Ice. Master’s Thesis, Shenyang Agricultural University, Shenyang, China, 2019. (In Chinese). [Google Scholar]
- Makkonen, L.; Tikanmäki, M.; Sainio, P. Friction in sliding heavy objects on ice. J. Glaciol. 2016, 62, 1186. [Google Scholar] [CrossRef]
- Cheng, P.; Li, J.; Li, X. Analysis of carrying capacity of ice cover based on Winkler Model. Yangtze River 2017, 48, 64–68. (In Chinese) [Google Scholar] [CrossRef]
- Yan, Y.; Zhang, J.; Wang, Y.; Tao, Y.; Xu, Y.; Gu, W. Spatiotemporal distribution characteristics of sea ice disasters in the Northern China Sea from 2001 to 2020. Ocean Coast. Manag. 2023, 246, 106889. [Google Scholar] [CrossRef]
- Xiu, Y.R.; Li, Z.J.; Wang, Q.K.; Han, H.W. Experimental study on the bending mechanical behavior of granular sea ice in Liaodong Bay. Mar. Sci. Bull. 2023, 42, 667–676. (In Chinese) [Google Scholar]
- Zhang, Y.; Qian, Z.; Lv, S.; Huang, W.; Ren, J.; Fang, Z.; Chen, X. Experimental investigation of uniaxial compressive strength of distilled water ice at different growth temperatures. Water 2022, 14, 4079. [Google Scholar] [CrossRef]
- Long, X.; Liu, S.; Ji, S. Discrete element modelling of relationship between ice breaking length and ice load on conical structure. Ocean Eng. 2020, 201, 107152. [Google Scholar] [CrossRef]
- Yu, J. Experimental Study on Physical and Mechanical Properties of Artificially Frozen Ice Considering Irradiation Effects. Master’s Thesis, Northeast Agricultural University, Harbin, China, 2021. (In Chinese). [Google Scholar]
- Zhang, H.B. Experimental Study on Tensile Strength and Fracture Toughness of Yellow River Ice by Using Split Test. Master’s Thesis, Dalian University of Technology, Dalian, China, 2016. (In Chinese). [Google Scholar]
- Zhang, X.P.; Chen, K.; Li, F.; Xing, H.N. Experimental study of the fracture toughness of natural freshwater ice. J. Glaciol. Geocryol. 2010, 32, 960–963. (In Chinese) [Google Scholar]
- Weeks, W.F.; Assur, A. The mechanical properties of sea ice. In US Army Cold Regions Research and Engineering Laboratory (CRREL) Monograph II-C3; Cold Regions Research and Engineering Laboratory: Hanover, NH, USA, 1967. [Google Scholar]
- Sinha, N.K. Short-term rheology of polycrystalline ice. J. Glaciol. 1978, 21, 457–474. [Google Scholar] [CrossRef]
- Lee, R.W.; Schulson, E.M. The strength and ductility of ice under tension. J. Offshore Mech. Arct. Eng. 1988, 110, 187–191. [Google Scholar] [CrossRef]
- Schulson, E.M.; Renshaw, C.E. Fracture, friction, and permeability of ice. Annu. Rev. Earth Planet. Sci. 2022, 50, 323–343. [Google Scholar] [CrossRef]
- Wang, C.; Han, D.; Wang, Q.; Wang, Y.; Zhang, Y.; Jing, C. Study of elastoplastic deformation and crack evolution mechanism of single-crystal ice during uniaxial compression using 3D digital image correlation. Eng. Fract. Mech. 2023, 293, 109712. [Google Scholar] [CrossRef]
- Chen, X.D.; Wang, A.L.; Ji, S.Y. The study on brittle-ductile transition mechanism and failure mode of sea ice under uniaxial compression. Sci. Sin.-Phys. Mech. Astron. 2018, 48, 124601. [Google Scholar] [CrossRef]
- Zhang, Y.; Li, Z.; Guo, W.; Yu, H.; Liang, W. Method and equipment for three-pint flexural strength test of ice. Hydro Sci. Cold Zone Eng. 2018, 1, 63–68. (In Chinese) [Google Scholar]
- Schulson, E.M. Brittle failure of ice. Eng. Fract. Mech. 2001, 68, 1839–1887. [Google Scholar] [CrossRef]
- Schulson, E.M. An analysis of the brittle to ductile transition in polycrystalline ice under tension. Cold Reg. Sci. Technol. 1979, 1, 87–91. [Google Scholar] [CrossRef]
- Yasui, M.; Schulson, E.M.; Renshaw, C.E. Experimental studies on mechanical properties and ductile-to-brittle transition of ice-silica mixtures: Young’s modulus, compressive strength, and fracture toughness. J. Geophys. Res. Solid Earth 2017, 122, 6014–6030. [Google Scholar] [CrossRef]
- Kellner, L.; Stender, M.; Herrnring, H.; Ehlers, S.; Hoffmann, N.; Høyland, K.V. Establishing a common database of ice experiments and using machine learning to understand and predict ice behavior. Cold Reg. Sci. Technol. 2019, 162, 56–73. [Google Scholar] [CrossRef]
- Meng, D.; Chen, X.; Ji, S. Experimental study on the flexural strength and failure process of sea ice. Mar. Sci. Bull. 2021, 40, 609–620. (In Chinese) [Google Scholar] [CrossRef]
- Zhang, J.; Mou, J.; Pan, Z.; Li, Y. Discussion and prospects of the development on measurement while drilling technology in oil and gas wells. Petrol. Sci. Bull. 2024, 9, 240–259. (In Chinese) [Google Scholar] [CrossRef]
- Efimov, V.P. Experimental study on loading rate effects on the tensile strength and fracture toughness of rocks. Geotech. Geol. Eng. 2020, 38, 1–8. [Google Scholar] [CrossRef]
- Yin, T.; Wu, Y.; Wang, C.; Zhuang, D.; Wu, B. Mixed-mode I+II tensile fracture analysis of thermally treated granite using straight-through notch Brazilian disc specimens. Eng. Fract. Mech. 2020, 234, 107111. [Google Scholar] [CrossRef]
- Abdolghanizadeh, K.; Hosseini, M.; Saghafiyazdi, M. Effect of freezing temperature and number of freeze–thaw cycles on mode I and mode II fracture toughness of sandstone. Theor. Appl. Fract. Mech. 2020, 105, 102428. [Google Scholar] [CrossRef]
- Xu, Y.; Yao, W.; Zhao, G.; Xia, K. Evaluation of the short core in compression (SCC) method for measuring mode II fracture toughness of rocks. Eng. Fract. Mech. 2020, 224, 106747. [Google Scholar] [CrossRef]
- Xiao, Z. Reliability Study on the Brazilian Test Method for Determining the Mechanical Properties of Ice. Master’s Thesis, Dalian University of Technology, Dalian, China, 2017. (In Chinese). [Google Scholar]
- Han, H.W.; Jia, Q.; Huang, W.F.; Li, Z.J. Flexural strength and effective modulus of large columnar-grained freshwater ice. J. Cold Reg. Eng. 2016, 30, 04015005. [Google Scholar] [CrossRef]
- Timco, G.W. Flexural strength and fracture toughness of urea model ice. J. Energy Resour. Technol. 1985, 107, 498–505. [Google Scholar] [CrossRef]
- Petrovic, J.J. Review mechanical properties of ice and snow. J. Mater. Sci. 2003, 38, 1–6. [Google Scholar] [CrossRef]
- Liu, H.W.; Miller, K.J. Fracture toughness of fresh-water ice. J. Glaciol. 1979, 22, 135–143. [Google Scholar] [CrossRef]
- Nixon, W.A.; Schulson, E.M. The fracture toughness of ice over a range of grain sizes. J. Offshore Mech. Arct. Eng. 1988, 110, 192–196. [Google Scholar] [CrossRef]
- Timco, G.W.; Frederking, R.M.W. Flexural strength and fracture toughness of sea ice. Cold Reg. Sci. Technol. 1983, 8, 35–41. [Google Scholar] [CrossRef]
- Wang, L. Experimental Study on the Bending Resistance of Artificial Ice and Numerical Simulation Analysis of Artificial Ice Rinks. Master’s Thesis, Harbin Institute of Technology, Harbin, China, 2021. (In Chinese). [Google Scholar]
- Gagnon, R.E.; Gammon, P.H. Characterization and flexural strength of iceberg and glacier ice. J. Glaciol. 1995, 41, 103–111. [Google Scholar] [CrossRef]
- Ji, S.; Liu, H.; Xu, N.; Ma, H. Experiments on sea ice fracture toughness in the Bohai Sea. Adv. Water Sci. 2013, 24, 386–391. (In Chinese) [Google Scholar] [CrossRef]
- Zhang, A.D.; Ji, H.L.; Li, Z.J.; Zhang, B.S.; Xu, J. Experimental research on flexural strength of fresh water ice in Hongqipao Reservoir in Da-qing. Chin. Rural Water Hydropower 2011, 3, 70–72. (In Chinese) [Google Scholar]
- Zhang, L.Z. Flexural strength and effective modules of Songhua River ice. Adv. Mater. Res. 2013, 2569, 783–793. [Google Scholar] [CrossRef]
- Xu, X.; Jeronimidis, G.; Atkins, A.G.; Trusty, P.A. Rate-dependent fracture toughness of pure polycrystalline ice. J. Mater. Sci. 2004, 39, 225–233. [Google Scholar] [CrossRef]
- Litwin, K.L.; Zygielbaum, B.R.; Polito, P.J.; Sklar, L.S.; Collins, G.C. Influence of temperature, composition, and grain size on the tensile failure of water ice: Implications for erosion on Titan. J. Geophys. Res. 2012, 117, E08013. [Google Scholar] [CrossRef]
- Mulmule, S.V.; Dempsey, J.P. Scale effects on sea ice fracture. Mech. Cohesive-Frict. Mater. 1999, 4, 505–524. [Google Scholar] [CrossRef]
- Dempsey, J.P.; Adamson, R.M.; Mulmule, S.V. Scale effects on the in-situ tensile strength and fracture of ice. Part II: First-year sea ice at Resolute, NWT. Int. J. Fract. 1999, 95, 347–366. [Google Scholar] [CrossRef]
- Yuan, B.J. Research and Application of Artificial Ice Failure Criteria in Ice Rink. Master’s Thesis, Harbin Institute of Technology, Harbin, China, 2021. (In Chinese). [Google Scholar]
- Huang, W.F.; Li, Z.J.; Han, H.W.; Jia, Q. Seasonal evolution of static freshwater lake ice microstructures and the effects of growth processes. J. Glaciol. Geocryol. 2016, 38, 699–707. (In Chinese) [Google Scholar]
- Schwarz, J.; Frederking, R.; Gavrillo, V.; Petrov, I.G.; Hirayama, K.I.; Mellor, M.; Tryde, P.; Vaudrey, K.D. Standardized testing methods for measuring mechanical properties of ice. Cold Reg. Sci. Technol. 1981, 4, 245–253. [Google Scholar] [CrossRef]
- Han, H.W. Study on the Spatial and Temporal Distribution of Sea Ice and the Physical, Mechanical Properties of Sea Ice in Polar Routes. Doctoral Thesis, Dalian University of Technology, Dalian, China, 2016. (In Chinese). [Google Scholar]
- Gold, L.W. Some observations on the dependence of strain on stress for ice. Can. J. Phys. 1958, 36, 1265–1275. [Google Scholar] [CrossRef]
- Wei, J.; Zhu, W.C.; Li, R.F.; Niu, L.L.; Wang, Q.Y. Experiment of the tensile strength and fracture toughness of rock using notched three point bending test. J. Water Resour. Archit. Eng. 2016, 14, 128–142. (In Chinese) [Google Scholar]
- Huang, Y. Experimental Study on the Fracture Performance of the Yellow River Ice During Freezing Period. Master’s Thesis, Zhengzhou University, Zhengzhou, China, 2021. (In Chinese). [Google Scholar]
- Han, H.W.; Li, Z.J.; Zhang, L.M.; Qing, X.X.; Zhou, Q. Experimental Study on Three Point Bending Mechanical Properties of Sea Ice in Taiping Bay, Bohai Sea. In Proceedings of the National Conference on Hydraulic and Hydraulic Informatics, Tianjin, China, 13 October 2011. (In Chinese). [Google Scholar]
- Blanchet, D.; Abdelnour, R.; Comfort, G. Mechanical properties of first-year sea ice at Tarsiut Island. J. Cold Reg. Eng. 1997, 11, 59–83. [Google Scholar] [CrossRef]
- Cole, D.M. The microstructure of ice and its influence on mechanical properties. Eng. Fract. Mech. 2001, 68, 1797–1822. [Google Scholar] [CrossRef]













| Temperature (°C) | Maximum Ultimate Flexural Strength (MPa) | Strain Rate (s−1) |
|---|---|---|
| −5 | 3.19 | 3.11 × 10−4 |
| −8 | 3.29 | 1.51 × 10−4 |
| −10 | 3.41 | 9.78 × 10−5 |
| −15 | 3.45 | 8.44 × 10−5 |
| −18 | 3.48 | 7.78 × 10−5 |
| −20 | 3.50 | 7.89 × 10−5 |
| −25 | 3.53 | 8.22 × 10−5 |
| −30 | 3.56 | 6.67 × 10−5 |
| −35 | 3.57 | 7.50 × 10−5 |
Disclaimer/Publisher’s Note: The statements, opinions and data contained in all publications are solely those of the individual author(s) and contributor(s) and not of MDPI and/or the editor(s). MDPI and/or the editor(s) disclaim responsibility for any injury to people or property resulting from any ideas, methods, instructions or products referred to in the content. |
© 2024 by the authors. Licensee MDPI, Basel, Switzerland. This article is an open access article distributed under the terms and conditions of the Creative Commons Attribution (CC BY) license (https://creativecommons.org/licenses/by/4.0/).
Share and Cite
Han, H.; Li, W.; Li, Y.; Liu, Z.; Liu, X. An Experimental Investigation of the Flexural Strength and Fracture Toughness of Granular Snow Ice Under a Three-Point Bending Test. Water 2024, 16, 3358. https://doi.org/10.3390/w16233358
Han H, Li W, Li Y, Liu Z, Liu X. An Experimental Investigation of the Flexural Strength and Fracture Toughness of Granular Snow Ice Under a Three-Point Bending Test. Water. 2024; 16(23):3358. https://doi.org/10.3390/w16233358
Chicago/Turabian StyleHan, Hongwei, Wanyun Li, Yu Li, Zhi Liu, and Xingchao Liu. 2024. "An Experimental Investigation of the Flexural Strength and Fracture Toughness of Granular Snow Ice Under a Three-Point Bending Test" Water 16, no. 23: 3358. https://doi.org/10.3390/w16233358
APA StyleHan, H., Li, W., Li, Y., Liu, Z., & Liu, X. (2024). An Experimental Investigation of the Flexural Strength and Fracture Toughness of Granular Snow Ice Under a Three-Point Bending Test. Water, 16(23), 3358. https://doi.org/10.3390/w16233358

