Health Risk Assessment of Trace Elements in Surface Water from Dayat Roumi Lake, Morocco
Abstract
1. Introduction
2. Materials and Methods
2.1. Study Area
2.2. Sampling
2.3. Dosage Methods
2.4. Water Quality Index
2.5. Health Risk Assessment
2.5.1. Non-Carcinogenic Risk Index
- Hazard quotient HQ
- b.
- Hazard index HI
2.5.2. Carcinogenic Risk Indexes
2.6. Data Statistical Analysis
3. Results and Discussion
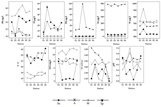
3.1. Spatial and Temporal Distribution of the Parameters Studied
3.2. Correlation Between Variables
3.3. Water Quality Index Calculation
3.4. Health Risk Indexes
3.4.1. Non-Carcinogenic Health Risks
3.4.2. Carcinogenic Health Risks
4. Conclusions
Author Contributions
Funding
Data Availability Statement
Conflicts of Interest
Appendix A


References
- Moubchir, T.; Eloutassi, N.; Bendaoud, A.; Belkhiri, A.; Maai, M.; Moubchir, M.; Zahir, I. Heavy metals analysis and quality evaluation in drinking groundwater around an abandoned mine Area of Ouichane (Nador’s Province, Morocco). J. Ecol. Eng. 2023, 24, 118–127. [Google Scholar] [CrossRef]
- Rezouki, S.; El-Haji, S.; Moubchir, T.; Faouzi, J.; Bendaoud, A.; Beniaich, G.; Allali, A.; Eloutassi, N. Evaluation of the impact of anthropic activities on the physico-chemical and microbiological parameters of the water of the wadi inaouene and its tributaries. Ecol. Eng. Environ. Technol. 2023, 5, 282–294. [Google Scholar]
- Moubchir, T.; Faouzi, J.; Loukili, E.H.; Bendaoud, A.; Belkhiri, A.; Rezouki, S.; Eloutassi, N.; Zahir, I. Investigation of the Hydrochemistry Quality of the Ouichane Groundwater (Morocco) Using Multivariate Statistical Methods and Diagram Analysis. Moroc. J. Chem. 2024, 12, 734–746. [Google Scholar]
- Casellas, P.C. Caractérisation de L’exposition des Écosystèmes Aquatiques à des Produits Phytosanitaires: Spéciation, Biodisponibilité et Toxicité. Exemple du Cuivre dans les eaux de Ruissellement de Parcelles Viticoles (Roujan, Hérault, France). Ph.D. Thesis, Université Montpellier I, Montpellier, France, University of Geneva, Geneva, Switzerland, 2001. Available online: https://theses.hal.science/tel-00011143v2 (accessed on 21 October 2024).
- Rezouki, S.; Moubchir, T.; El Hanafi, L.; Flouchi, R.; Zahir, I.; Alzain, M.N.; El Guerrouj, B.; Noman, O.; Shahat, A.A.; Allali, A. Assessment of Ecological Hazards in the Inaouen Wadi and Its Tributaries Using the Presence of Potentially Toxic Elements in Its Sediments. Water 2024, 16, 2936. [Google Scholar] [CrossRef]
- Elkady, A.A.; Sweet, S.T.; Wade, T.L.; Klein, A.G. Distribution and assessment of heavy metals in the aquatic environment of Lake Manzala, Egypt. Ecol. Indic. 2015, 58, 445–457. [Google Scholar] [CrossRef]
- Dhal, S.; Pal, H. Trace Elements in Mitigating Environmental Stress: An Overview. In Biology and Biotechnology of Environmental Stress Tolerance in Plants; Apple Academic Press: Palm Bay, FL, USA, 2023. [Google Scholar]
- Kolarova, N.; Napiórkowski, P. Trace elements in aquatic environment. Origin, distribution, assessment and toxicity effect for the aquatic biota. Ecohydrol. Hydrobiol. 2021, 21, 655–668. [Google Scholar] [CrossRef]
- Szynkowska, M.I.; Pawlaczyk, A.; Maćkiewicz, E. Bioaccumulation and Biomagnification of Trace Elements in the Environment. In Recent Advances in Trace Elements; Chojnacka, K., Saeid, A., Eds.; Wiley: Hoboken, NJ, USA, 2018; pp. 251–276. [Google Scholar] [CrossRef]
- Devez, A. Caractérisation des Risques Induits par les Activités Agricoles sur les Écosystèmes Aquatiques. Ph.D. Thesis, Hydro Sciences Montpellier, Montpellier, France, 2004. Available online: https://pastel.hal.science/tel-00006497 (accessed on 21 October 2024).
- Dixon, D.G.; Hilton, J.W. Effects of Available Dietary Carbohydrate and Water Temperature on the Chronic Toxicity of Waterborne Copper to Rainbow Trout (Salmo gairdneri). Can. J. Fish. Aquat. Sci. 1985, 42, 1007–1013. [Google Scholar] [CrossRef]
- Gony-Lemaire, S. Etude Experimentale de L’action du Cadmium sur les Juveniles (Civelles et Anguillettes) de L’anguille Europeenne Anguilla Anguilla (l., 1758): Anayse Structurale et Fonctionnelle de Certaines Organes-Cibles. Ph.D. Thesis, Paris 6, Paris, France, 1990. Available online: https://theses.fr/1990PA066525 (accessed on 21 October 2024).
- Joshy, A.; Sharma, S.R.K.; Mini, K.G.; Gangadharan, S.; Pranav, P. Histopathological evaluation of bivalves from the southwest coast of India as an indicator of environmental quality. Aquat. Toxicol. 2022, 243, 106076. [Google Scholar] [CrossRef] [PubMed]
- Qadri, R.; Faiq, M.A. Freshwater Pollution: Effects on Aquatic Life and Human Health. In Fresh Water Pollution Dynamics and Remediation; Qadri, H., Bhat, R.A., Mehmood, M.A., Dar, G.H., Eds.; Springer: Singapore, 2020; pp. 15–26. [Google Scholar] [CrossRef]
- Hughes, M.F.; Beck, B.D.; Chen, Y.; Lewis, A.S.; Thomas, D.J. Arsenic Exposure and Toxicology: A Historical Perspective. Toxicol. Sci. 2011, 123, 305–332. [Google Scholar] [CrossRef]
- Saha, R.; Nandi, R.; Saha, B. Sources and toxicity of hexavalent chromium. J. Coord. Chem. 2011, 64, 1782–1806. [Google Scholar] [CrossRef]
- Charkiewicz, A.E.; Backstrand, J.R. Lead Toxicity and Pollution in Poland. Int. J. Environ. Res. Public Health 2020, 17, 4385. [Google Scholar] [CrossRef] [PubMed]
- MHUAE. Etude du Plan D’aménagement Spécifique de Dayet Roumi. Pahse II: Rapport D’analyse Diagnostic, Variantes D’aménagement; Ministère de l’Habitat, de l’Urbanisme et de l’Aménagement de l’Espace: Paris, France, 2009; p. 40. [Google Scholar]
- MATEE (Ministère de l’Aménagement du Territoire de l’Eau et de l’Environnement). Rapport Thématique sur les Zones Protégées du Maroc; Secrétariat d’Etat chargé de l’Environnement: Rabat, Morocco, 2003; Available online: https://www.cbd.int/doc/world/ma/ma-nr-pa-fr.pdf (accessed on 21 October 2024).
- Flower, R.J.; Stevenson, A.C.; Dearing, J.A.; Foster, I.D.L.; Airey, A.; Rippey, B.; Wilson, J.P.F.; Appleby, P.G. Catchment disturbance inferred from paleolimnological studies of three contrasted sub-humid environments in Morocco. J. Paleolimnol. 1989, 1, 293–322. [Google Scholar] [CrossRef]
- Ihsane, O.; Zahra, E.; Sanae, R.; Mohammed, E.; Bourhia, M.; Ali, G.A.M.; Ouahmane, L.; Salamatullah, A.M.; Aboul-Soud, M.A.M.; Giesy, J.P.; et al. Physicochemical Characterization and Assessment of Magnitude of Pollution to Contribute to Water Sustainability. Sustainability 2022, 14, 6689. [Google Scholar] [CrossRef]
- Ougrad, I.; Elassassi, Z.; Allali, A.; Elbouch, M.; Abid, A.; Fadli, M. Anthropogenic Activities Impact on the Physicochemical and Bacteriological Quality of Water in Dayat Roumi Lake, Morocco. Ecol. Eng. Environ. Technol. 2022, 23, 162–172. [Google Scholar] [CrossRef]
- Sahu, P.; Sikdar, P.K. Hydrochemical framework of the aquifer in and around East Kolkata Wetlands, West Bengal, India. Environ. Geol. 2008, 55, 823–835. [Google Scholar] [CrossRef]
- WHO (World Health Organization). Directives sur la Qualité de L’eau de Boisson, 4th ed.; intégrant le premier additif; Organisation mondiale de la Santé: Genève, Switzerland, 2017; Available online: https://iris.who.int/handle/10665/258887 (accessed on 21 October 2024).
- Pant, R.R.; Pal, K.B.; Pathak, G.; Bishwakarma, K.; Thapa, L.B.; Dhital, Y.P.; Bhatta, Y.R.; Joshi, G.R.; Rijal, K. Water quality and health risk assessment of trace elements contamination in Ghodaghodi Lake, Sudurpaschim Province, Nepal. Nepal J. Environ. Sci. 2021, 9, 29–40. [Google Scholar] [CrossRef]
- US Environmental Protection Agency. Risk Assessment Guidance for Superfund Volume I: Human Health Evaluation Manual (Part E, Supplemental Guidance for Dermal Risk Assessment) Final; EPA/540/R/99/005; US Environmental Protection Agency: Washington, DC, USA, 2004. Available online: https://www.epa.gov/sites/default/files/2015-09/documents/part_e_final_revision_10-03-07.pdf (accessed on 21 October 2024).
- US Environmental Protection Agency. Risk Assessment Guidance for Superfund Volume I Human Health Evaluation Manual (Part A) Interim Final; EPA/540/1-89/002; US Environmental Protection Agency: Washington, DC, USA, 1989. Available online: https://www.epa.gov/sites/default/files/2015-09/documents/rags_a.pdf (accessed on 21 October 2024).
- Tripathee, L.; Kang, S.; Sharma, C.M.; Rupakheti, D.; Paudyal, R.; Huang, J.; Sillanpää, M. Preliminary Health Risk Assessment of Potentially Toxic Metals in Surface Water of the Himalayan Rivers, Nepal. Bull. Environ. Contam. Toxicol. 2016, 97, 855–862. [Google Scholar] [CrossRef] [PubMed]
- U.S. Environmental Protection Agency et Integrated Risk Information System (IRIS). Beryllium and Compounds; CASRN 7440-41-7; U.S. Environmental Protection Agency et Integrated Risk Information System (IRIS): Washington, DC, USA, 1998. Available online: https://iris.epa.gov/static/pdfs/0012tr.pdf (accessed on 21 October 2024).
- Xiao, J.; Wang, L.; Deng, L.; Jin, Z. Characteristics, sources, water quality and health risk assessment of trace elements in river water and well water in the Chinese Loess Plateau. Sci. Total Environ. 2019, 650, 2004–2012. [Google Scholar] [CrossRef]
- Wang, J.; Liu, G.; Liu, H.; Lam, P.K.S. Multivariate statistical evaluation of dissolved trace elements and a water quality assessment in the middle reaches of Huaihe River, Anhui, China. Sci. Total Environ. 2017, 583, 421–431. [Google Scholar] [CrossRef]
- Wu, B.; Zhao, D.Y.; Jia, H.Y.; Zhang, Y.; Zhang, X.X.; Cheng, S.P. Preliminary Risk Assessment of Trace Metal Pollution in Surface Water from Yangtze River in Nanjing Section, China. Bull. Environ. Contam. Toxicol. 2009, 82, 405–409. [Google Scholar] [CrossRef]
- Chen, L.; Ma, T.; Wang, Y.; Zheng, J. Health risks associated with multiple metal(loid)s in groundwater: A case study at Hetao Plain, northern China. Environ. Pollut. 2020, 263, 114562. [Google Scholar] [CrossRef] [PubMed]
- US Environmental Protection Agency. Risk-Based Screening Table—Resident Tapwater Table; US Environmental Protection Agency: Washington, DC, USA, 2015. Available online: https://archive.epa.gov/region9/superfund/web/html/index-23.html (accessed on 21 October 2024).
- US Environmental Protection Agency. Guidelines for Carcinogen Risk Assessment; EPA/630/P-03/001F; US Environmental Protection Agency: Washington, DC, USA, 2005. Available online: https://www.epa.gov/sites/default/files/2013-09/documents/cancer_guidelines_final_3-25-05.pdf (accessed on 21 October 2024).
- Adimalla, N. Heavy metals contamination in urban surface soils of Medak province, India, and its risk assessment and spatial distribution. Environ. Geochem. Health 2020, 42, 59–75. [Google Scholar] [CrossRef] [PubMed]
- Kamunda, C.; Mathuthu, M.; Madhuku, M. Health Risk Assessment of Heavy Metals in Soils from Witwatersrand Gold Mining Basin, South Africa. Int. J. Environ. Res. Public Health 2016, 13, 663. [Google Scholar] [CrossRef] [PubMed]
- Akoto, O.; Gyimah, E.; Zhan, Z.; Xu, H.; Nimako, C. Evaluation of health risks associated with trace metal exposure in water from the Barekese reservoir in Kumasi, Ghana. Hum. Ecol. Risk Assess. Int. J. 2020, 26, 1134–1148. [Google Scholar] [CrossRef]
- Latifa, E.H.; Rachida, F.; Dalale, M.; Kaoutar, H.; Hafida, A.; Mohamed, F. Content of seven metallic elements in water, sediment and in liver and gonads of Lepomis gibbosus Linnaeus, 1758 (Fish Centrachid, percifome, actinopterygiis) living in fouarate lake (Morocco). Int. J. Biol. Res. 2018, 3, 6. [Google Scholar]
- Vetrov, V.A.; Kuznetsova, A.I.; Sklyarova, O.A. Baseline levels of chemical elements in the water of Lake Baikal. Geogr. Nat. Resour. 2013, 34, 228–238. [Google Scholar] [CrossRef]
- Rupakheti, D.; Tripathee, L.; Kang, S.; Sharma, C.M.; Paudyal, R.; Sillanpää, M. Assessment of water quality and health risks for toxic trace elements in urban Phewa and remote Gosainkunda lakes, Nepal. Hum. Ecol. Risk Assess. Int. J. 2017, 23, 959–973. [Google Scholar] [CrossRef]
- Makokha, V.A.; Qi, Y.; Shen, Y.; Wang, J. Concentrations, Distribution, and Ecological Risk Assessment of Heavy Metals in the East Dongting and Honghu Lake, China. Expo. Health 2016, 8, 31–41. [Google Scholar] [CrossRef]
- Kazi, T.G.; Arain, M.B.; Jamali, M.K.; Jalbani, N.; Afridi, H.I.; Sarfraz, R.A.; Baig, J.A.; Shah, A.Q. Assessment of water quality of polluted lake using multivariate statistical techniques: A case study. Ecotoxicol. Environ. Saf. 2009, 72, 301–309. [Google Scholar] [CrossRef]
- GCQES (Grille de Classification Qualité des Eaux de Surface), Arrêté Conjoint du Ministre de l’Equipement et du Ministre Chargé de l’Aménagement du Territoire de l’Urbanisme, de l’Habitat et de l’Environnement; Bulletin officiel N°1275-02 Du 17 Octobre 2002; de l’Urbanisme, de l’Habitat et de l’Environnement: Paris, France, 2002.
- Li, F.; Qiu, Z.; Zhang, J.; Liu, C.; Cai, Y.; Xiao, M. Spatial Distribution and Fuzzy Health Risk Assessment of Trace Elements in Surface Water from Honghu Lake. Int. J. Environ. Res. Public Health 2017, 14, 1011. [Google Scholar] [CrossRef]
- Iqbal, J.; Shah, M.H. Health Risk Assessment of Metals in Surface Water from Freshwater Source Lakes, Pakistan. Hum. Ecol. Risk Assess. Int. J. 2013, 19, 1530–1543. [Google Scholar] [CrossRef]
- Kumari, B.; Kumar, V.; Sinha, A.K.; Ahsan, J.; Ghosh, A.K.; Wang, H.; DeBoeck, G. Toxicology of arsenic in fish and aquatic systems. Environ. Chem. Lett. 2017, 15, 43–64. [Google Scholar] [CrossRef]
- Bounouira, H. Etude des Qualités Chimiques et Géochimiques du Bassin Versant de Bouregreg. Ph.D. Thesis, Université Ibn Tofail—Faculté des Sciences, Kenitra, Morocco, 2007; p. 296. Available online: https://tel.archives-ouvertes.fr/tel-00726475 (accessed on 21 October 2024).
- Rashed, M.N. Cadmium and Lead Levels in Fish (Tilapia Nilotica) Tissues as Biological Indicator for Lake Water Pollution. Environ. Monit. Assess. 2001, 68, 15. [Google Scholar] [CrossRef]
- Malik, N.; Biswas, A.K.; Qureshi, T.A.; Borana, K.; Virha, R. Bioaccumulation of heavy metals in fish tissues of a freshwater lake of Bhopal. Environ. Monit. Assess. 2010, 160, 267–276. [Google Scholar] [CrossRef]
- Malik, R.N.; Nadeem, M. Spatial and temporal characterization of trace elements and nutrients in the Rawal Lake Reservoir, Pakistan using multivariate analysis techniques. Environ. Geochem. Health 2011, 33, 525–541. [Google Scholar] [CrossRef] [PubMed]
- Githaiga, K.B.; Njuguna, S.M.; Gituru, R.W.; Yan, X. Water quality assessment, multivariate analysis and human health risks of heavy metals in eight major lakes in Kenya. J. Environ. Manag. 2021, 297, 113410. [Google Scholar] [CrossRef] [PubMed]
- Crini, G. Chapitre XV. Le sélénium dans les eaux: Une nouvelle substance dangereuse pour demain? In Eaux Industrielles Contaminées; Morin-Crini, N., Ed.; Pratiques & Techniques; Presses Universitaires de Franche-Comté: Besançon, France, 2020; pp. 447–466. Available online: https://www.researchgate.net/publication/347197882_Chapitre_XV_Le_selenium_dans_les_eaux_une_nouvelle_substance_dangereuse_pour_demain (accessed on 21 October 2024).
- Gourcy, L.; Wyns, R.; Garnier-Sereno, C.; Brenot, A. Origine du sélénium dans les eaux souterraines utilisées pour l’alimentation en eau potable dans le bassin de Paris. Géologues Société Géologique Fr. 2014, 179, 44–49. [Google Scholar]
- Lemly, A.D. Symptoms and implications of selenium toxicity in fish: The Belews Lake case example. Aquat. Toxicol. 2002, 57, 39–49. [Google Scholar] [CrossRef] [PubMed]
- Cook, N.J.; Wood, S.A.; Zhang, Y. Transport and fixation of Au, Pt and Pd around the Lac Sheen Cu-Ni-PGE occurrence in Quebec, Canada. J. Geochem. Explor. 1992, 46, 187–228. [Google Scholar] [CrossRef]
- Xiao, J.; Jin, Z.; Wang, J. Geochemistry of trace elements and water quality assessment of natural water within the Tarim River Basin in the extreme arid region, NW China. J. Geochem. Explor. 2014, 136, 118–126. [Google Scholar] [CrossRef]
- dos Santos, M.; Ramires, P.F.; Gironés, M.C.R.; Rubio Armendáriz, M.d.C.; Montelongo, S.P.; Muccillo-Baisch, A.L.; da Silva Junior, F.M.R. Multiple exposure pathways and health risk assessment of selenium for children in a coal mining area. Environ. Sci. Pollut. Res. 2021, 28, 13562–13569. [Google Scholar] [CrossRef] [PubMed]
- Zhang, X.; Wu, Q.; Gao, S.; Wang, Z.; He, S. Distribution, source, water quality and health risk assessment of dissolved heavy metals in major rivers in Wuhan, China. PeerJ 2021, 9, e11853. [Google Scholar] [CrossRef] [PubMed]
- Mohammadi, A.A.; Zarei, A.; Majidi, S.; Ghaderpoury, A.; Hashempour, Y.; Saghi, M.H.; Alinejad, A.; Yousefi, M.; Hosseingholizadeh, N.; Ghaderpoori, M. Carcinogenic and non-carcinogenic health risk assessment of heavy metals in drinking water of Khorramabad, Iran. MethodsX 2019, 6, 1642–1651. [Google Scholar] [CrossRef]
- Myers, R.A.; Gyimah, E.; Gbemadu, K.; Osei, B.; Akoto, O. Appraising groundwater quality and the associated health risks of heavy metal contamination at Suame magazine. Sci. Afr. 2023, 21, e01794. [Google Scholar] [CrossRef]

| Parameters | Description | Unit | Value | |
|---|---|---|---|---|
| Adult | Children | |||
| ADD | Average daily dose of the chemical substance taken by ingestion (ADDing) or by skin contact (ADDder) | µg/kg-jour | Site specific | |
| RfD | Reference dose, specific to the chemical element | µg/kg-jour | Site specific | |
| Cw | Chemical average concentration in water | µg/L | Site specific | |
| IR | Ingestion rate | L/day | 2 | 0.64 |
| EF | Exposure Frequency | days/year | 350 | 350 |
| ED | Exposure Duration | Year | 30 | 6 |
| BW | Body Weight | Kg | 70 | 15 |
| AT | Averaging Time For non-carcinogens For carcinogens | Days | ED × 350 365 × 70 | ED × 350 365 × 70 |
| SA | Exposed skin area | cm2 | 18 | 6.6 |
| ET | Exposure time during bathing and shower | h/day | 0.58 | 1 |
| Kp | Skin Permeability Coefficient in water | cm/hr | Chemical specific | |
| CF | Conversion factor | L/cm3 | 10−3 | 10−3 |
| Parameters | Kp (cm/h) | RfDo (µg/kg/day) | RfDder (µg/kg/day) | ||
|---|---|---|---|---|---|
| Value | Source | Value | Source | ||
| Cd | 1.0 × 10−3 | 0.5 | [28] | 0.025 | [28] |
| Be | 1.0 × 10−3 | 2 | [29] | 1.4 a | - |
| Tl | 1.0 × 10−3 | 0.01 | [30] | 0.01 | [30] |
| Co | 4.0 × 10−4 | 0.3 | [28] | 0.06 | [28] |
| Sb | 1.0 × 10−3 | 0.4 | [31,32] | 0.008 | [31,32] |
| Mo | 1.0 × 10−3 | 5 | [31,32] | 1.9 | [31,32] |
| Cu | 1.0 × 10−3 | 40 | [28] | 8 | [28] |
| Zn | 6.0 × 10−4 | 300 | [28] | 60 | [28] |
| Ni | 2.0 × 10−4 | 20 | [28] | 0.8 | [28] |
| V | 1.0 × 10−3 | 1 | [31,32] | 0.01 | [31,32] |
| Rb | 1.0 × 10−3 | n.d | - | n.d | - |
| Mn | 1.0 × 10−3 | 24 | [28] | 0.96 | [28] |
| As | 1.0 × 10−3 | 0.3 | [28] | 0.123 | [28] |
| Cr | 2.0 × 10−3 | 3 | [28] | 0.075 | [28] |
| Pb | 1.0 × 10−3 | 1.4 | [28] | 0.42 | [28] |
| Li | 1.0 × 10−3 | 2 | [33] | 2 | [33] |
| Ba | 1.0 × 10−3 | 200 | [28] | 14 | [28] |
| Se | 1.0 × 10−3 | 5 | [34] | 2.2 | [34] |
| Pd | 1.0 × 10−3 | n.d | - | n.d | - |
| Sr | 1.0 × 10−3 | 600 | [34] | 120 | [34] |
| Parameters | CSFo | CSFABS | ||
|---|---|---|---|---|
| Value (mg/kg-jour)−1 | Source | Value (mg/kg-jour)−1 | Source | |
| Cd | 6.30 × 10 | [35] | 7.63 × 101 | a |
| Ni | 1.70 × 10 | [36] | 4.25 × 101 | [36] |
| As | 1.50 × 10 | [35] | 1.50 × 10 | [37] |
| Cr | 5.00 × 10−1 | [35] | 2.00 × 101 | [36] |
| Pb | 8.50 × 10−3 | [35] | 8.50 × 10−2 | a |
| Trace Elements | Dayat Roumi Lake | Fouarate Lake [39] | Baikal Lake [40] | Ghodaghodi Lake [25] | Phewa Lake [41] | Gosaikunda Lake [41] | East Dongting Lake [42] | Manchar Lake [43] |
|---|---|---|---|---|---|---|---|---|
| Cd | 0.004 | 90.5 | 0.008 | 0.01 | 0.003 | 0.02 | 0.05 | 5.3 |
| Be | 0.05 | - | <0.0014 | - | - | - | - | - |
| Tl | 0.09 | - | ≤0.0005 | 0.01 | - | - | - | - |
| Co | 0.14 | - | 0.003 | 0.11 | 1.44 | 0.11 | - | 38.93 |
| Sb | 0.23 | - | 0.031 | - | - | - | - | - |
| Mo | 0.58 | - | 1.34 | - | - | - | - | - |
| Cu | 0.86 | 10.5 | 0.21 | 1.39 | 0.3 | 1.76 | 0.07 | 18.9 |
| Zn | 0.97 | 70.5 | 3.2 | 5.79 | 4.55 | 13.79 | 8.86 | 730.4 |
| Ni | 0.99 | 46 | 0.15 | 0.63 | 0.28 | 0.76 | n.d | 34.96 |
| V | 1.2 | - | 0.37 | 0.22 | 0.13 | 0.26 | - | - |
| Rb | 1.45 | - | 0.55 | 1.9 | - | - | - | - |
| Mn | 1.46 | 145.5 | 0.13 | 0.58 | 393.88 | 4.03 | - | 72.56 |
| As | 1.48 | - | 0.4 | 1.55 | 5.7 | 0.12 | 3.23 | 80.8 |
| Cr | 3.75 | 10.5 | 0.07 | 0.7 | 0.71 | 0.21 | n.d | 7.64 |
| Pb | 10.6 | 4710 | <0.02 | 0.19 | 0.16 | 0.65 | 0.04 | 82.42 |
| Li | 13.48 | - | 2.02 | 0.53 | - | - | - | - |
| Ba | 70.49 | - | 9.9 | 12.78 | - | - | - | |
| Se | 127.56 | - | 0.04 | - | - | - | - | 52.76 |
| Pd | 605.9 | - | - | - | - | - | - | - |
| Sr | 672.93 | - | 101 | 39.09 | - | - | - | - |
| Water quality | - | Polluted water | Clean water | Clean water | Poor quality | Excellent quality | Heavy metal pollution | High pollution |
| Li | Rb | Zn | Cd | V | Cr | Mn | Co | Ni | Cu | Mo | Pd | Sr | Ba | Be | As | Sb | Tl | Pb | Se | pH | EC | DO | T | |
|---|---|---|---|---|---|---|---|---|---|---|---|---|---|---|---|---|---|---|---|---|---|---|---|---|
| Li | 1 | |||||||||||||||||||||||
| Rb | −0.597 ** | 1 | ||||||||||||||||||||||
| Zn | 0.766 ** | −0.411 * | 1 | |||||||||||||||||||||
| Cd | 0.700 ** | −0.323 | 0.681 ** | 1 | ||||||||||||||||||||
| V | −0.076 | −0.246 | −0.164 | −0.016 | 1 | |||||||||||||||||||
| Cr | 0.860 ** | −0.734 ** | 0.720 ** | 0.744 ** | 0.136 | 1 | ||||||||||||||||||
| Mn | 0.349 | −0.025 | 0.343 | 0.845 ** | 0.067 | 0.420 * | 1 | |||||||||||||||||
| Co | 0.063 | −0.379 | −0.105 | 0.011 | 0.927 ** | 0.17 | 0.087 | 1 | ||||||||||||||||
| Ni | 0.122 | −0.429 * | −0.041 | 0.088 | 0.933 ** | 0.259 | 0.137 | 0.988 ** | 1 | |||||||||||||||
| Cu | 0.398 | 0.144 | 0.276 | 0.429 * | −0.490 * | 0.041 | 0.297 | −0.375 | −0.378 | 1 | ||||||||||||||
| Mo | 0.386 | −0.492 * | 0.267 | 0.397 | 0.781 ** | 0.649 ** | 0.241 | 0.694 ** | 0.758 ** | −0.311 | 1 | |||||||||||||
| Pd | 0.19 | 0.317 | 0.436 * | 0.036 | −0.727 ** | −0.191 | −0.077 | −0.611 ** | −0.633 ** | 0.588 ** | −0.659 ** | 1 | ||||||||||||
| Sr | 0.163 | 0.266 | 0.361 | 0.004 | −0.856 ** | −0.183 | −0.122 | −0.743 ** | −0.772 ** | 0.554 ** | −0.762 ** | 0.955 ** | 1 | |||||||||||
| Ba | 0.636 ** | −0.463 * | 0.797 ** | 0.688 ** | −0.388 | 0.664 ** | 0.468 * | −0.265 | −0.203 | 0.203 | 0.036 | 0.339 | 0.382 | 1 | ||||||||||
| Be | 0.733 ** | −0.609 ** | 0.632 ** | 0.813 ** | 0.28 | 0.912 ** | 0.633 ** | 0.314 | 0.383 | 0.022 | 0.699 ** | −0.296 | −0.321 | 0.580 ** | 1 | |||||||||
| As | 0.044 | −0.378 | 0.019 | 0.132 | 0.929 ** | 0.349 | 0.154 | 0.847 ** | 0.891 ** | −0.529 ** | 0.886 ** | −0.746 ** | −0.878 ** | −0.18 | 0.464 * | 1 | ||||||||
| Sb | −0.299 | 0.678 ** | −0.228 | −0.174 | 0.051 | −0.457 * | −0.087 | −0.112 | −0.138 | 0.346 | −0.071 | 0.182 | 0.045 | −0.622 ** | −0.34 | −0.05 | 1 | |||||||
| Tl | 0.296 | −0.550 ** | 0.054 | 0.124 | 0.758 ** | 0.323 | 0.128 | 0.912 ** | 0.896 ** | −0.203 | 0.602 ** | −0.465 * | −0.564 ** | −0.086 | 0.452 * | 0.699 ** | −0.226 | 1 | ||||||
| Pb | 0.650 ** | −0.306 | 0.590 ** | 0.956 ** | −0.017 | 0.733 ** | 0.913 ** | 0.018 | 0.092 | 0.309 | 0.363 | −0.047 | −0.058 | 0.682 ** | 0.830 ** | 0.141 | −0.267 | 0.139 | 1 | |||||
| Se | 0.874 ** | −0.707 ** | 0.743 ** | 0.750 ** | 0.023 | 0.992 ** | 0.408 * | 0.058 | 0.148 | 0.095 | 0.569 ** | −0.113 | −0.088 | 0.708 ** | 0.883 ** | 0.241 | −0.459 * | 0.222 | 0.735 ** | 1 | ||||
| pH | 0.183 | −0.077 | 0.209 | 0.103 | −0.311 | 0.218 | −0.007 | −0.378 | −0.37 | −0.06 | −0.084 | 0.079 | 0.219 | 0.254 | 0.087 | −0.263 | −0.218 | −0.346 | 0.153 | 0.27 | 1 | |||
| EC | 0.632 ** | −0.166 | 0.536 ** | 0.538 ** | −0.193 | 0.441 * | 0.29 | −0.104 | −0.066 | 0.476 * | 0.125 | 0.359 | 0.296 | 0.35 | 0.432 * | −0.146 | 0.106 | 0.059 | 0.431 * | 0.462 * | 0.32 | 1 | ||
| DO | −0.01 | 0.024 | 0.057 | 0.013 | −0.722 ** | −0.004 | −0.052 | −0.713 ** | −0.722 ** | 0.043 | −0.540 ** | 0.276 | 0.508 * | 0.417 * | −0.167 | −0.659 ** | −0.401 | −0.643 ** | 0.06 | 0.087 | 0.609 ** | 0.074 | 1 | |
| T | 0.416 * | −0.607 ** | 0.35 | 0.386 | 0.717 ** | 0.704 ** | 0.19 | 0.648 ** | 0.709 ** | −0.398 | 0.926 ** | −0.632 ** | −0.696 ** | 0.144 | 0.714 ** | 0.855 ** | −0.23 | 0.613 ** | 0.358 | 0.629 ** | 0.035 | −0.107 | −0.399 * | 1 |
| Elements (µg/L) | pi | Pi = pi/∑pi | Ci | Si | Ci/Si | Pi × Ci/Si |
|---|---|---|---|---|---|---|
| Cd | 5 | 0.119 | 0.004 | 3.000 | 0.001 | 0.000 |
| Tl | 1 | 0.024 | 0.095 | 2.000 | 0.047 | 0.001 |
| Co | 1 | 0.024 | 0.136 | 40.000 | 0.003 | 0.000 |
| Sb | 4 | 0.095 | 0.226 | 20.000 | 0.011 | 0.001 |
| Mo | 1 | 0.024 | 0.580 | 70.000 | 0.008 | 0.000 |
| Cu | 2 | 0.048 | 0.855 | 2000.000 | 0.000 | 0.000 |
| Zn | 1 | 0.024 | 0.973 | 3000.000 | 0.000 | 0.000 |
| Ni | 1 | 0.024 | 0.993 | 70.000 | 0.014 | 0.000 |
| Mn | 4 | 0.095 | 1.464 | 400.000 | 0.004 | 0.000 |
| As | 5 | 0.119 | 1.480 | 10.000 | 0.148 | 0.018 |
| Cr | 5 | 0.119 | 3.750 | 50.000 | 0.075 | 0.009 |
| Pb | 5 | 0.119 | 10.604 | 10.000 | 1.060 | 0.126 |
| Ba | 2 | 0.048 | 70.488 | 700.000 | 0.101 | 0.005 |
| Se | 5 | 0.119 | 127.558 | 10.000 | 12.756 | 1.519 |
| Total | 42 | 1.000 | 1.679 | |||
| WQI = 167.94 |
| Parameters | ADDing | ADDder | HQing | HQder | HI | |||||
|---|---|---|---|---|---|---|---|---|---|---|
| Adult | Child | Adult | Child | Adult | Child | Adult | Child | Adult | Child | |
| Cd | 1.22 × 10−4 | 1.82 × 10−4 | 6.38 × 10−4 | 1.88 × 10−3 | 2.44 × 10−4 | 3.65 × 10−4 | 2.55 × 10−2 | 7.52 × 10−2 | 2.57 × 10−2 | 7.56 × 10−2 |
| Be | 1.24 × 10−3 | 1.85 × 10−3 | 6.46 × 10−3 | 1.91 × 10−2 | 6.19 × 10−4 | 9.24 × 10−4 | 4.61 × 10−3 | 1.36 × 10−2 | 5.23 × 10−3 | 1.45 × 10−2 |
| Tl | 2.59 × 10−3 | 3.87 × 10−3 | 1.35 × 10−2 | 3.99 × 10−2 | 2.59 × 10−1 | 3.87 × 10−1 | 1.35 × 10 | 3.99 × 10 | 1.61 × 10 | 4.38 × 10 |
| Co | 3.73 × 10−3 | 5.57 × 10−3 | 1.95 × 10−2 | 5.75 × 10−2 | 1.24 × 10−2 | 1.86 × 10−2 | 3.25 × 10−1 | 9.58 × 10−1 | 3.37 × 10−1 | 9.76 × 10−1 |
| Sb | 6.20 × 10−3 | 9.26 × 10−3 | 3.24 × 10−2 | 9.55 × 10−2 | 1.55 × 10−2 | 2.31 × 10−2 | 4.05 × 10 | 1.19 × 101 | 4.06 × 10 | 1.20 × 101 |
| Mo | 1.59 × 10−2 | 2.37 × 10−2 | 8.30 × 10−2 | 2.45 × 10−1 | 3.18 × 10−3 | 4.75 × 10−3 | 4.37 × 10−2 | 1.29 × 10−1 | 4.68 × 10−2 | 1.34 × 10−1 |
| Cu | 2.34 × 10−2 | 3.50 × 10−2 | 1.22 × 10−1 | 3.61 × 10−1 | 5.86 × 10−4 | 8.75 × 10−4 | 1.53 × 10−2 | 4.51 × 10−2 | 1.59 × 10−2 | 4.60 × 10−2 |
| Zn | 2.67 × 10−2 | 3.98 × 10−2 | 1.39 × 10−1 | 4.10 × 10−1 | 8.88 × 10−5 | 1.33 × 10−4 | 2.32 × 10−3 | 6.84 × 10−3 | 2.41 × 10−3 | 6.97 × 10−3 |
| Ni | 2.72 × 10−2 | 4.06 × 10−2 | 1.42 × 10−1 | 4.19 × 10−1 | 1.36 × 10−3 | 2.03 × 10−3 | 1.77 × 10−1 | 5.24 × 10−1 | 1.79 × 10−1 | 5.26 × 10−1 |
| V | 3.30 × 10−2 | 4.93 × 10−2 | 1.72 × 10−1 | 5.08 × 10−1 | 3.30 × 10−2 | 4.93 × 10−2 | 1.72 × 101 | 5.08 × 101 | 1.73 × 101 | 5.09 × 101 |
| Rb | 3.98 × 10−2 | 5.94 × 10−2 | 2.08 × 10−1 | 6.13 × 10−1 | - | - | - | - | - | - |
| Mn | 4.01 × 10−2 | 5.99 × 10−2 | 2.09 × 10−1 | 6.18 × 10−1 | 1.67 × 10−3 | 2.50 × 10−3 | 2.18 × 10−1 | 6.43 × 10−1 | 2.20 × 10−1 | 6.46 × 10−1 |
| As | 4.05 × 10−2 | 6.05 × 10−2 | 2.12 × 10−1 | 6.24 × 10−1 | 1.35 × 10−1 | 2.02 × 10−1 | 1.72 × 10 | 5.08 × 10 | 1.86 × 10 | 5.28 × 10 |
| Cr | 1.03 × 10−1 | 1.53 × 10−1 | 5.36 × 10−1 | 1.58 × 10 | 3.43 × 10−2 | 5.11 × 10−2 | 7.15 × 10 | 2.11 × 101 | 7.19 × 10 | 2.11 × 101 |
| Pb | 2.91 × 10−1 | 4.34 × 10−1 | 1.52 × 10 | 4.47 × 10 | 2.08 × 10−1 | 3.10 × 10−1 | 3.61 × 10 | 1.07 × 101 | 3.82 × 10 | 1.10 × 101 |
| Li | 3.69 × 10−1 | 5.52 × 10−1 | 1.93 × 10 | 5.69 × 10 | 1.85 × 10−1 | 2.76 × 10−1 | 9.64 × 10−1 | 2.84 × 10 | 1.15 × 10 | 3.12 × 10 |
| Ba | 1.93 × 10 | 2.88 × 10 | 1.01 × 101 | 2.97 × 101 | 9.66 × 10−3 | 1.44 × 10−2 | 7.20 × 10−1 | 2.12 × 10 | 7.30 × 10−1 | 2.14 × 10 |
| Se | 3.49 × 10 | 5.22 × 10 | 1.82 × 101 | 5.38 × 101 | 6.99 × 10−1 | 1.04 × 10 | 8.29 × 10 | 2.45 × 101 | 8.99 × 10 | 2.55 × 101 |
| Pd | 1.66 × 101 | 2.48 × 101 | 8.67 × 101 | 2.56 × 102 | - | - | - | - | - | - |
| Sr | 1.84 × 101 | 2.75 × 101 | 9.62 × 101 | 2.84 × 102 | 3.07 × 10−2 | 4.59 × 10−2 | 8.02 × 10−1 | 2.37 × 10 | 8.33 × 10−1 | 2.41 × 10 |
| Total | 4.15 × 101 | 6.20 × 101 | 2.17 × 102 | 6.39 × 102 | 1.63 × 10 | 2.43 × 10 | 4.67 × 101 | 1.38 × 102 | 4.83 × 101 | 1.40 × 102 |
| ΣHI = 1.89 × 102 | ||||||||||
| Parameters | Adult | Child | Adult | Child | ||||||
|---|---|---|---|---|---|---|---|---|---|---|
| ADDing | ADDder | ADDing | ADDder | CRing | CRder | CI | CRing | CRder | CI | |
| Cd | 5.23 × 10−8 | 2.73 × 10−7 | 1.56 × 10−8 | 1.61 × 10−7 | 3.30 × 10−7 | 2.08 × 10−5 | 2.12 × 10−5 | 9.54 × 10−8 | 1.23 × 10−5 | 1.24 × 10−5 |
| Ni | 1.17 × 10−5 | 6.08 × 10−5 | 3.48 × 10−6 | 3.59 × 10−5 | 1.98 × 10−5 | 2.59 × 10−3 | 2.61 × 10−3 | 5.92 × 10−6 | 1.53 × 10−3 | 1.53 × 10−3 |
| As | 1.74 × 10−5 | 9.07 × 10−5 | 5.19 × 10−6 | 5.35 × 10−5 | 2.61 × 10−5 | 1.36 × 10−4 | 1.62 × 10−4 | 7.78 × 10−6 | 8.03 × 10−5 | 8.81 × 10−5 |
| Cr | 4.40 × 10−5 | 2.30 × 10−4 | 1.32 × 10−5 | 1.36 × 10−4 | 2.20 × 10−5 | 4.60 × 10−3 | 4.62 × 10−3 | 6.58 × 10−6 | 2.71 × 10−3 | 2.72 × 10−3 |
| Pb | 1.25 × 10−4 | 6.50 × 10−4 | 3.72 × 10−5 | 3.83 × 10−4 | 1.06 × 10−6 | 5.52 × 10−5 | 5.63 × 10−5 | 3.16 × 10−7 | 3.26 × 10−5 | 3.29 × 10−5 |
| Total | - | - | - | - | 6.93 × 10−5 | 7.40 × 10−3 | 7.46 × 10−3 | 2.07 × 10−5 | 4.36 × 10−3 | 4.38 × 10−3 |
Disclaimer/Publisher’s Note: The statements, opinions and data contained in all publications are solely those of the individual author(s) and contributor(s) and not of MDPI and/or the editor(s). MDPI and/or the editor(s) disclaim responsibility for any injury to people or property resulting from any ideas, methods, instructions or products referred to in the content. |
© 2024 by the authors. Licensee MDPI, Basel, Switzerland. This article is an open access article distributed under the terms and conditions of the Creative Commons Attribution (CC BY) license (https://creativecommons.org/licenses/by/4.0/).
Share and Cite
Ougrad, I.; Elassassi, Z.; Mrabet, A.; Mssillou, I.; Lim, A.; Shahat, A.A.; Rezouki, S.; Moubchir, T. Health Risk Assessment of Trace Elements in Surface Water from Dayat Roumi Lake, Morocco. Water 2024, 16, 3231. https://doi.org/10.3390/w16223231
Ougrad I, Elassassi Z, Mrabet A, Mssillou I, Lim A, Shahat AA, Rezouki S, Moubchir T. Health Risk Assessment of Trace Elements in Surface Water from Dayat Roumi Lake, Morocco. Water. 2024; 16(22):3231. https://doi.org/10.3390/w16223231
Chicago/Turabian StyleOugrad, Ihsane, Zahra Elassassi, Abdessamad Mrabet, Ibrahim Mssillou, Adrian Lim, Abdelaaty Abdelaziz Shahat, Sanae Rezouki, and Tarik Moubchir. 2024. "Health Risk Assessment of Trace Elements in Surface Water from Dayat Roumi Lake, Morocco" Water 16, no. 22: 3231. https://doi.org/10.3390/w16223231
APA StyleOugrad, I., Elassassi, Z., Mrabet, A., Mssillou, I., Lim, A., Shahat, A. A., Rezouki, S., & Moubchir, T. (2024). Health Risk Assessment of Trace Elements in Surface Water from Dayat Roumi Lake, Morocco. Water, 16(22), 3231. https://doi.org/10.3390/w16223231

