Investigating the Influence of Vegetation Height on the Air Concentration of Supercritical Aerated Flows
Abstract
1. Introduction
1.1. Overflowing Process and the Onset of Aeration
1.2. Vegetation and Flow Parameter
1.3. Vegetation and Aeration
2. Materials and Methods
2.1. Facility and Instrumentation
2.2. Test Program
3. Results and Discussion
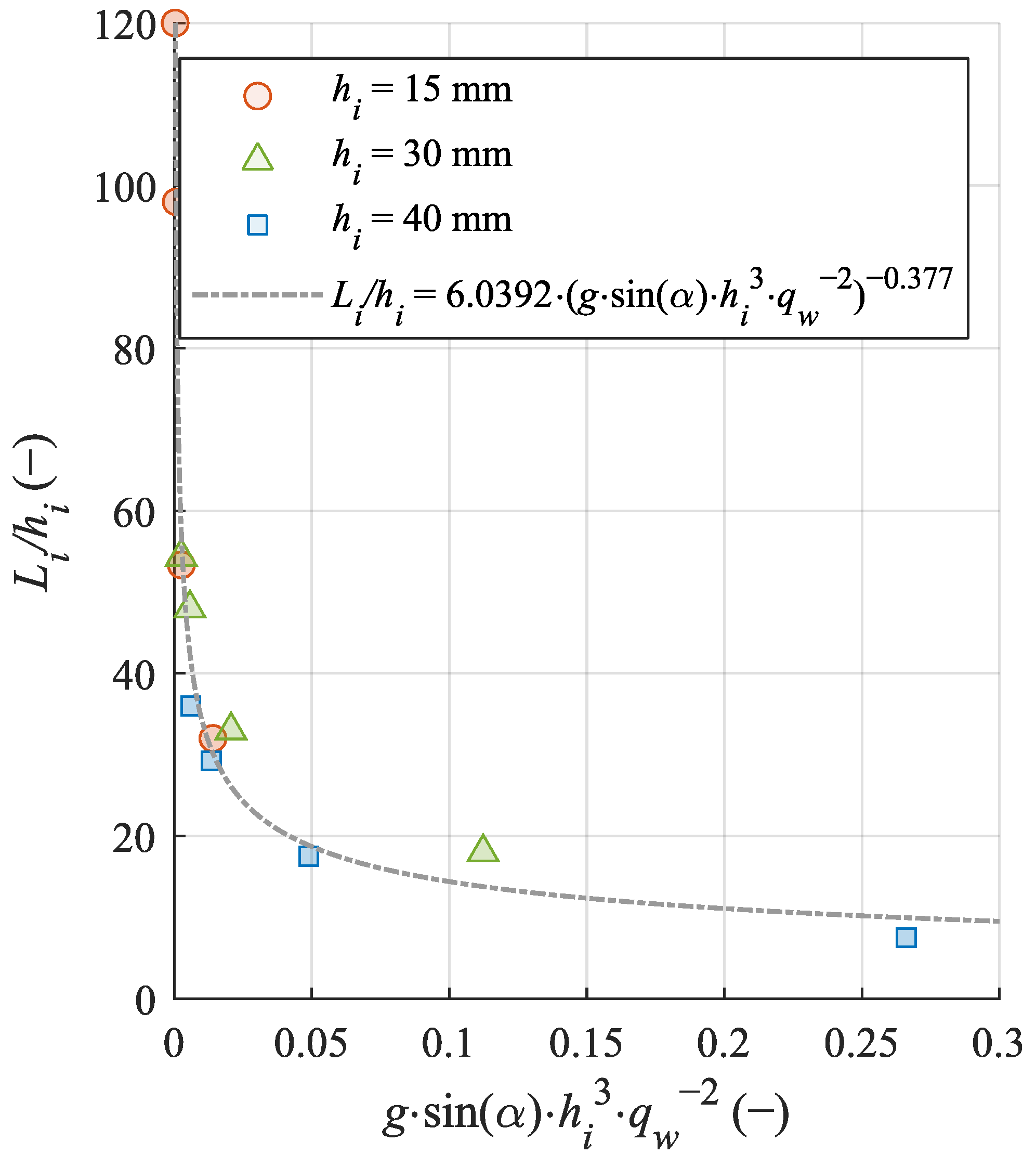
3.1. Inception Point and Friction Factor
3.2. Air Concentration
3.3. Bubble Count Frequency
3.4. Energy Dissipation and Flow Velocity
4. Conclusions and Future Outlook
Author Contributions
Funding
Data Availability Statement
Acknowledgments
Conflicts of Interest
References
- Buck, W. Konzeptionelle Überlegungen und Vorschläge zur Gewährleistung angemessener Hochwassersicherheiten bei wasserwirtschaftlichen Anlagen. In Risiken bei der Bemessung und Bewirtschaftung von Fließgewässern und Stauanlagen: Dresdner Wasserbauliche Mitteilungen; Institut für Wasserbau und technische Hydromechanik, Technische Universität Dresden: Dresden, Germany, 2004; Volume 27. [Google Scholar]
- Ozueigbo, O.; Agunwamba, J.C. New Equations for Energy Dissipation down a Stepped Spillway. J. Eng. Res. Rep. 2022, 23, 1–14. [Google Scholar] [CrossRef]
- Degoutte, G.; Tourment, R. (Eds.) Spillways on River Levees; Quae: Versailles, France, 2021. [Google Scholar]
- Mickovski, S.B.; Gonzalez-Ollauri, A.; Sorolla, A.; Löchner, A.; Emmanuel, R. A case history of co-design and co-deployment of a nature-based solution (NbS) against erosion and slope instability. Ecol. Eng. 2024, 209, 107406. [Google Scholar] [CrossRef]
- Sinha, V.R.; Bimson, K. Nature-Based Solutions in the Ganges Brahmaputra Meghna (GBM) River Basin: Case Studies and Lessons Learned; Sinha, V.R., Bimson, K., Eds.; IUCN Asia Regional Office (ARO): Bangkok, Thailand, 2021; Available online: https://iucn.org/sites/default/files/content/documents/2021/nbs_in_the_gbm_river_basin_case_studies_and_lessons_learned_iucn_final_2.pdf (accessed on 24 October 2024).
- Jakubínský, J.; Prokopová, M.; Raška, P.; Salvati, L.; Bezak, N.; Cudlín, O.; Cudlín, P.; Purkyt, J.; Vezza, P.; Camporeale, C.; et al. Managing floodplains using nature-based solutions to support multiple ecosystem functions and services. WIREs Water 2021, 8, e1545. [Google Scholar] [CrossRef]
- van der Meulen, F.; IJff, S.; van Zetten, R. Nature-based solutions for coastal adaptation management, concepts and scope, an overview. Nord. J. Bot. 2023, 2023, e03290. [Google Scholar] [CrossRef]
- Pontee, N.; Narayan, S.; Beck, M.W.; Hosking, A.H. Nature-based solutions: Lessons from around the world. Marit. Eng. J. 2016, 169, 29–36. [Google Scholar] [CrossRef]
- Griscom, B.W.; Adams, J.; Ellis, P.W.; Houghton, R.A.; Lomax, G.; Miteva, D.A.; Schlesinger, W.H.; Shoch, D.; Siikamäki, J.V.; Smith, P.; et al. Natural climate solutions. Proc. Natl. Acad. Sci. USA 2017, 114, 11645–11650. [Google Scholar] [CrossRef]
- Oral, H.V.; Carvalho, P.; Gajewska, M.; Ursino, N.; Masi, F.; van Hullebusch, E.D.; Kazak, J.K.; Exposito, A.; Cipolletta, G.; Andersen, T.R.; et al. A review of nature-based solutions for urban water management in European circular cities: A critical assessment based on case studies and literature. Blue Green Syst. 2020, 2, 112–136. [Google Scholar] [CrossRef]
- Huang, Y.; Tian, Z.; Ke, Q.; Liu, J.; Irannezhad, M.; Fan, D.; Hou, M.; Sun, L. Nature-based solutions for urban pluvial flood risk management. WIREs Water 2020, 7, e1421. [Google Scholar] [CrossRef]
- Schüttrumpf, H.; Oumeraci, H. Layer thicknesses and velocities of wave overtopping flow at seadikes. Coast. Eng. 2005, 52, 473–495. [Google Scholar] [CrossRef]
- Wang, H.; Bai, Z.; Bai, R.; Liu, S. Self-Aeration of Supercritical Water Flow Rushing Down Artificial Vegetated Stepped Chutes. Water Resour. Res. 2022, 58, e2021WR031719. [Google Scholar] [CrossRef]
- Bai, R.; Bai, Z.; Wang, H.; Liu, S. Air-Water Mixing in Vegetated Supercritical Flow: Effects of Vegetation Roughness and Water Temperature on Flow Self-Aeration. Water Resour. Res. 2022, 58, e2021WR031692. [Google Scholar] [CrossRef]
- Felder, S. Air-Water Flow Properties on Stepped Spillways for Embankment Dams: Aeration, Energy Dissipation and Turbulence on Uniform, Non-Uniform and Pooled Stepped Chutes. Ph.D. Thesis, University of Queensland, Brisbane, Australia, 2013. [Google Scholar]
- Scheres, B.; Schüttrumpf, H.; Felder, S. Flow Resistance and Energy Dissipation in Supercritical Air-Water Flows Down Vegetated Chutes. Water Resour. Res. 2020, 56, e2019WR026686. [Google Scholar] [CrossRef]
- Chanson, H. Self-Aerated Flows on Chutes and Spillways. J. Hydraul. Eng. 1993, 119, 220–243. [Google Scholar] [CrossRef]
- Chanson, H. Design of weirs and spillways. In Hydraulics of Open Channel Flow; Elsevier: Amsterdam, The Netherlands, 2004; pp. 391–430. [Google Scholar]
- Hunt, S.L.; Kadavy, K.C. Inception Point for Embankment Dam Stepped Spillways. J. Hydraul. Eng. 2013, 139, 60–64. [Google Scholar] [CrossRef]
- Jalili Ghazizadeh, M.; Zarrati, A.R.; Ostad Mirza Tehrani, M.J. Numerical Modeling of Self-Aeration in High-Speed Flows over Smooth Chute Spillways. J. Hydraul. Eng. 2023, 149, 04022042. [Google Scholar] [CrossRef]
- Zhang, G.; Chanson, H. Self-aeration in the rapidly- and gradually-varying flow regions of steep smooth and stepped spillways. Environ. Fluid Mech. 2017, 17, 27–46. [Google Scholar] [CrossRef]
- Chanson, H. Turbulent air–water flows in hydraulic structures: Dynamic similarity and scale effects. Environ. Fluid Mech. 2009, 9, 125–142. [Google Scholar] [CrossRef]
- Chanson, H. Air Entrainment in steep chute flows. In Air Bubble Entrainment in Free-Surface Turbulent Shear Flows; Chapter 10; Academic Press: Cambridge, MA, USA, 1996; pp. 110–132. [Google Scholar]
- Hunt, S.L.; Kadavy, K.C. Inception Point Relationship for Flat-Sloped Stepped Spillways. J. Hydraul. Eng. 2011, 137, 262–266. [Google Scholar] [CrossRef]
- Severi, A. Aeration performance and flow resistance in high-velocity flows overmoderately sloped spillways with micro-rough bed. Ph.D. Thesis, UNSW Syndey, Sydney, Australia, 2018. [Google Scholar]
- Wood, I.R. (Ed.) Air Entrainment in Free-Surface Flows; Balkema: Rotterdam, The Netherlands, 1991. [Google Scholar]
- Wei, W.; Deng, J. Free surface aeration and development dependence in chute flows. Sci. Rep. 2022, 12, 1477. [Google Scholar] [CrossRef]
- Straub, L.G.; Anderson, A.G. Experiments on Self-Aerated Flow in Open Channels. J. Hydr. Div. 1958, 84, 1–35. [Google Scholar] [CrossRef]
- Bai, Z.; Wang, H.; Bai, R. Fully developed self-aerated flow in steep chute with various bottom roughness. Phys. Fluids 2024, 36, 073322. [Google Scholar] [CrossRef]
- Felder, S.; Chanson, H. Aeration, Flow Instabilities, and Residual Energy on Pooled Stepped Spillways of Embankment Dams. J. Irrig. Drain Eng. 2013, 139, 880–887. [Google Scholar] [CrossRef]
- Thorwarth, J. Hydraulisches Verhalten von Treppengerinnen mit eingetieften Stufen—Selbstinduzierte Abflussinstationaritäten und Energiedissipation. Ph.D. Thesis, RWTH Aachen University, Aachen, Germany, 2008. [Google Scholar]
- Cui, H.; Felder, S.; Kramer, M. Multilayer Velocity Model Predicting Flow Resistance of Aerated Flows Down Grass-Lined Spillway. J. Hydraul. Eng. 2022, 148, 06022014. [Google Scholar] [CrossRef]
- Nepf, H.; Ghisalberti, M. Flow and transport in channels with submerged vegetation. Acta Geophys. 2008, 56, 753–777. [Google Scholar] [CrossRef]
- Nepf, H.M. Hydrodynamics of vegetated channels. J. Hydraul. Res. 2012, 50, 262–279. [Google Scholar] [CrossRef]
- Kothyari, U.C.; Hayashi, K.; Hashimoto, H. Drag coefficient of unsubmerged rigid vegetation stems in open channel flows. J. Hydraul. Res. 2009, 47, 691–699. [Google Scholar] [CrossRef]
- Mossa, M.; Ben Meftah, M.; de Serio, F.; Nepf, H.M. How vegetation in flows modifies the turbulent mixing and spreading of jets. Sci. Rep. 2017, 7, 6587. [Google Scholar] [CrossRef]
- Murphy, E.; Ghisalberti, M.; Nepf, H. Model and laboratory study of dispersion in flows with submerged vegetation. Water Resour. Res. 2007, 43, 1–12. [Google Scholar] [CrossRef]
- Bai, R.; Ning, R.; Liu, S.; Wang, H. Hydraulic Jump on a Partially Vegetated Bed. Water Resour. Res. 2022, 58, e2022WR032013. [Google Scholar] [CrossRef]
- Henderson, F.M. Open Channel Flow; Macmillan: New York, NY, USA, 1966. [Google Scholar]
- Sena Fael, C.M.; Augusto Vaz Santos, C.; Batista Taborda, C.S. Flow velocity structure and turbulence characteristics in a partially vegetated channel with rigid emergent vegetation. In Solo e Recursos Hídricos: Conservação, Recuperação e Manejo; Da Melo Júnior, A.S., Ed.; Editora Artemis: Curitiba, Brazil, 2022; p. 65. [Google Scholar]
- Steuernagel, J. Möglichkeiten zur Optimierung von Sanierungsmaßnahmen an Flussdeichen. Ph.D. Thesis, Technische Universität Darmstadt, Darmstadt, Germany, 2008. [Google Scholar]
- Li, Y.; Wang, Y.; Anim, D.O.; Tang, C.; Du, W.; Ni, L.; Yu, Z.; Acharya, K. Flow characteristics in different densities of submerged flexible vegetation from an open-channel flume study of artificial plants. Geomorphology 2014, 204, 314–324. [Google Scholar] [CrossRef]
- Velasco, D.; Bateman, A.; Redondo, J.M.; DeMedina, V. An Open Channel Flow Experimental and Theoretical Study of Resistance and Turbulent Characterization over Flexible Vegetated Linings. Flow Turbul. Combust. 2003, 70, 69–88. [Google Scholar] [CrossRef]
- Järvelä, J. Flow resistance of flexible and stiff vegetation: A flume study with natural plants. J. Hydrol. 2002, 269, 44–54. [Google Scholar] [CrossRef]
- Adeli, A.; Ahadiyan, J.; Ghomeshi, M.; Moghadam, M.R. Experimental study of two phase Air-water Flow Parameters in Hydraulic Jumps with vegetated Rough Bed. Iran. J. Ecohydrol. 2021, 8, 763–775. [Google Scholar]
- DIN 19712; Hochwasserschutzanlagen an Fließgewässern (Flood Protection Works on Rivers). Beuth-Verlag: Berlin, Germany, 2013.
- Chanson, H. Air-Water Flow Measurements with Intrusive, Phase-Detection Probes: Can We Improve Their Interpretation? J. Hydraul. Eng. 2002, 128, 252–255. [Google Scholar] [CrossRef]
- Biethman, B.; Ettema, R.; Thornton, C.; Hogan, T.; Lan, Y. Air Entrained in Flow along a Steep-Stepped Spillway: Data and Insights from a Hydraulic Model. J. Hydraul. Eng. 2021, 147, 05021001. [Google Scholar] [CrossRef]
- Felder, S.; Chanson, H. Phase-detection probe measurements in high-velocity free-surface flows including a discussion of key sampling parameters. Exp. Therm. Fluid Sci. 2015, 61, 66–78. [Google Scholar] [CrossRef]
- Kramer, M.; Hohermuth, B.; Valero, D.; Felder, S. Best practices for velocity estimations in highly aerated flows with dual-tip phase-detection probes. Int. J. Multiph. Flow 2020, 126, 103228. [Google Scholar] [CrossRef]
- Felder, S.; Pfister, M. Comparative analyses of phase-detective intrusive probes in high-velocity air–water flows. Int. J. Multiph. Flow 2017, 90, 88–101. [Google Scholar] [CrossRef]
- Pagliara, S.; Felder, S.; Boes, R.M.; Hohermuth, B. Intrusive effects of dual-tip conductivity probes on bubble measurements in a wide velocity range. Int. J. Multiph. Flow 2024, 170, 104660. [Google Scholar] [CrossRef]
- Hohermuth, B.; Kramer, M.; Felder, S.; Valero, D. Velocity bias in intrusive gas-liquid flow measurements. Nat. Commun. 2021, 12, 4123. [Google Scholar] [CrossRef]
- Kramer, M.; Valero, D.; Chanson, H.; Bung, D.B. Towards reliable turbulence estimations with phase-detection probes: An adaptive window cross-correlation technique. Exp. Fluids 2019, 60, 2. [Google Scholar] [CrossRef]
- EurOtop. Manual on Wave Overtopping of Sea Defences and Related Structures: An Overtopping Manual Largely Based on European Research, but for Worldwide Application. 2018. Available online: https://www.overtopping-manual.com/eurotop/downloads/ (accessed on 23 October 2024).
- Wood, I.R.; Ackers, P.; Loveless, J. General Method for Critical Point on Spillways. J. Hydraul. Eng. 1983, 109, 308–312. [Google Scholar] [CrossRef]
- Boes, R.M.; Droz, P.; Leroy, R. Role of Dams and Reservoirs in a Successful Energy Transition, Proceedings of the 12th ICOLD European Club Symposium 2023 (ECS 2023), Interlaken, Switzerland, 5–8 September 2023; Taylor & Francis Group: Milton, UK, 2023. [Google Scholar]
- Felder, S.; Severi, A.; Kramer, M. Self-Aeration and Flow Resistance in High-Velocity Flows Down Spillways with Microrough Inverts. J. Hydraul. Eng. 2023, 149, 04023011. [Google Scholar] [CrossRef]
- Arosquipa Nina, Y.; Shi, R.; Wüthrich, D.; Chanson, H. Air–Water Flows and Head Losses on Stepped Spillways with Inclined Steps. J. Irrig. Drain Eng. 2022, 148, 04022037. [Google Scholar] [CrossRef]
- Bai, R.; Zhang, F.; Liu, S.; Wang, W. Experiments on Turbulence Intensity and Bubble Frequency in Self-Aerated Open Channel Flows. Water 2018, 10, 1201. [Google Scholar] [CrossRef]
- Chanson, H.; Felder, S. Energy Dissipation on Embankment Dam Stepped Spillways, Overflow Stepped Weirs and Masonry Stepped Spillways. In Proceedings of the 17th Congress of IAHR Asia and Pacific Division, Auckland, New Zealand, 21–24 February 2010. [Google Scholar]

















| Smooth | Artificial Turf | |||
|---|---|---|---|---|
| hi (mm) | - | 15 | 30 | 40 |
| hdefl (mm) | - | 7–11 | 13–20 | 25–31 |
| hdefl/hi (-) | - | 0.47–0.72 | 0.42–0.65 | 0.63–0.78 |
| qw (m−2s−1) | 0.027–0.018 | |||
| dc (m) | 0.042–0.15 | |||
| Re (104) (-) | 0.26–1.52 | 0.25–1.46 | 0.24–1.41 | 0.23–1.36 |
| uw (m s−1) | 2.86–5.12 | 1.87–4.65 | 2.12–4.80 | 1.90–4.50 |
| hi = 15 mm | hi = 30 mm | hi = 40 mm | |
|---|---|---|---|
| uw (m s−1) | 1.87–4.67 | 2.12–4.80 | 1.90–4.50 |
| Li (m) | 0.48–1.80 | 0.54–1.63 | 0.3–1.44 |
| y90 (m) | 0.021–0.053 | 0.034–0.065 | 0.046–0.077 |
| deq (m) | 0.018–0.050 | 0.029–0.061 | 0.028–0.071 |
| fe (-) | 0.08–0.26 | 0.13–0.88 | 0.22–2.38 |
| Cmean (-) | 0.061–0.18 | 0.059–0.17 | 0.07–0.16 |
| Hres (m) | 0.11–0.86 | 0.071–0.63 | 0.061–0.46 |
| Fmax (Hz) | 32–113 | 36–113 | 38–124 |
Disclaimer/Publisher’s Note: The statements, opinions and data contained in all publications are solely those of the individual author(s) and contributor(s) and not of MDPI and/or the editor(s). MDPI and/or the editor(s) disclaim responsibility for any injury to people or property resulting from any ideas, methods, instructions or products referred to in the content. |
© 2024 by the authors. Licensee MDPI, Basel, Switzerland. This article is an open access article distributed under the terms and conditions of the Creative Commons Attribution (CC BY) license (https://creativecommons.org/licenses/by/4.0/).
Share and Cite
Mozer, A.; Harish, S. Investigating the Influence of Vegetation Height on the Air Concentration of Supercritical Aerated Flows. Water 2024, 16, 3136. https://doi.org/10.3390/w16213136
Mozer A, Harish S. Investigating the Influence of Vegetation Height on the Air Concentration of Supercritical Aerated Flows. Water. 2024; 16(21):3136. https://doi.org/10.3390/w16213136
Chicago/Turabian StyleMozer, Anne, and S. Harish. 2024. "Investigating the Influence of Vegetation Height on the Air Concentration of Supercritical Aerated Flows" Water 16, no. 21: 3136. https://doi.org/10.3390/w16213136
APA StyleMozer, A., & Harish, S. (2024). Investigating the Influence of Vegetation Height on the Air Concentration of Supercritical Aerated Flows. Water, 16(21), 3136. https://doi.org/10.3390/w16213136

