The Effect of Dam Break Speed on Flood Evolution in a Downstream Reservoir of a Cascade Reservoir System
Abstract
1. Introduction
2. Methodology
2.1. Experimental Setup
2.1.1. Experimental Model
2.1.2. Experimental Design
2.2. Numerical Model Setup
2.2.1. Mathematical Model
2.2.2. Numerical Model
2.2.3. Numerical Model Validation
3. Definition of Slow Dam Break, Fast Dam Break and Instant Dam Break
4. Effect of Dam Break Speed on Flood Evolution in Downstream Reservoirs
4.1. Evolution Patterns
4.2. Discharge Variation
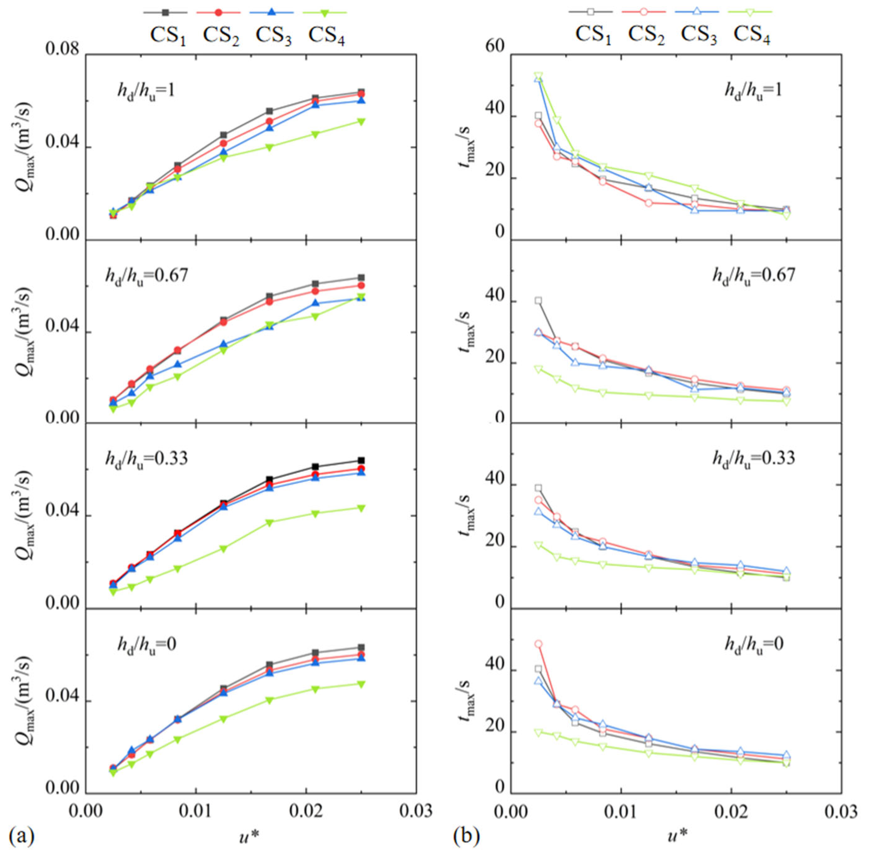
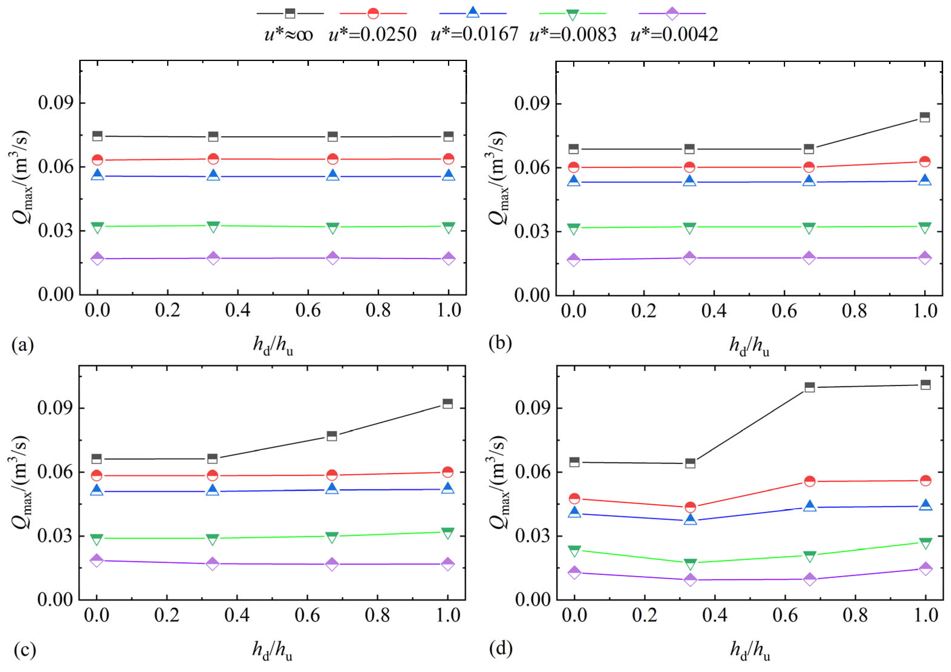
4.3. Peak Flood Discharge and Peak Arrival Time
5. Theoretical Analysis of the Effect of Dam Break Speed on Peak Flood Discharge
6. Conclusions
- The dam break speeds determines the concavity and convexity of the water level curve changes in the upstream reservoir and the generation of negative waves. Accordingly, the dam break process is divided into three modes: an instant dam break, a fast dam break, and a slow dam break. In this study, it can be approximately considered that u* = 0.0083 is the critical speed between the fast and slow dam break modes. When the dam break speed tends to infinity, it is an instant dam break, and the water level changing curve of the upstream reservoir is a “concave curve,” with a significant negative wave propagating upstream. When the dam break speed u* > 0.0083, it is a fast dam break, and the water level process at the dam site initially shows a convex curve followed by a concave curve, with a negative wave propagating upstream. When the dam break speed u* < 0.0083, it is a slow dam break, and the water level process at the dam site is generally a convex curve, with no negative wave generated.
- Different dam break speeds determine different evolution patterns of dam break floods in downstream reservoirs. During an instant dam break, the flood evolves in a leaping pattern; during a fast dam break, it evolves in a climbing pattern; and during a slow dam break, it evolves in a lifting pattern. Additionally, under the slow dam break mode, the peak flood discharge in the downstream reservoir increases linearly with the dam break speed. Under the fast dam break mode, the increase in peak flood discharge significantly slows down with the break speed. The study results show that when the dam break speed reaches 2.5% of the theoretical instantaneous break speed (u* = 0.0250), the peak flood discharge at the dam site reaches 85% of that in the instant dam break. Further increases in dam break speed have little effect on the peak flood discharge.
- A calculation model for the peak flood discharge at the dam site during a gradual dam break at a certain speed is established. The dam break speed influences the peak arrival time, the total duration of the flow process, and the total duration of the dam break, thereby affecting the peak discharge rate at the dam site.
Author Contributions
Funding
Data Availability Statement
Conflicts of Interest
List of Symbols
| hu | Initial water depth before upstream dam (m) |
| hd | Initial water depth before downstream dam (m) |
| S0 | Bottom slope of flume |
| g | Gravitational acceleration (m/s2) |
| hd/hu | Water depth ratio |
| u | Dam break speed (m/s) |
| u* | |
| Qmax | Peak flood discharge (m3/s) |
| Tu | Total duration of dam break when the break speed is u (s) |
| Tm | Total duration of flow process (s) |
| k | The rate of water level decline |
| tmax | Peak arrival time (s) |
| top | Identification time for instantaneous dam break (s) |
| H | Dam height (m) |
| z | Water level (m) |
| B | Flume width (m) |
| v | Water flow velocity (m/s) |
| q | Peak discharge coefficient |
| β | Peak arrival coefficient |
| γ | Peak process coefficient |
References
- Bosa, S.; Petti, M. A Numerical Model of the Wave that Overtopped the Vajont Dam in 1963. Water Resour. Manag. 2013, 27, 1763–1779. [Google Scholar] [CrossRef]
- Wang, B.; Zhang, T.; Zhou, Q.; Wu, C.; Chen, Y.L.; Wu, P. A case study of the Tangjiashan landslide dam-break. J. Hydrodyn. 2015, 27, 223–233. [Google Scholar] [CrossRef]
- Aureli, F.; Maranzoni, A.; Petaccia, G. Review of Historical Dam-Break Events and Laboratory Tests on Real Topography for the Validation of Numerical Models. Water 2021, 13, 1968. [Google Scholar] [CrossRef]
- Ritter, A. The propagation of water waves. Ver. Deutsh. Ingenieure Zeitschr. 1892, 36, 947–954. [Google Scholar]
- Dressler, R.F. Hydraulic Resistance Effect Upon the Dam-Break Functions. J. Res. Natl. Bur. Stand. 1952, 49, 217–225. [Google Scholar] [CrossRef]
- Dressler, R.F. Unsteady Non-Linear Waves in Sloping Channels. Proc. R. Soc. A 1958, 247, 186–198. [Google Scholar]
- Su, S.T.; Barnes, A.H. Geometric and frictional effects on sudden release. J. Hydraul. Div. 1970, 96, 2185–2200. [Google Scholar] [CrossRef]
- Hunt, B. Asymptotic solution for dam-break problem. J. Hydraul. Div. 1982, 108, 115–126. [Google Scholar] [CrossRef]
- Hunt, B. Asymptotic solution for dam-break on sloping channel. J. Hydraul. Div. 1983, 109, 1698–1706. [Google Scholar] [CrossRef]
- Hunt, B. Dam-break solution. J. Hydraul. Eng. 1984, 110, 675–686. [Google Scholar] [CrossRef]
- Hunt, B. Perturbation solution for dam-break floods. J. Hydraul. Eng. 1984, 110, 1058–1071. [Google Scholar] [CrossRef]
- Wang, B.; Chen, Y.L.; Wu, C.; Peng, Y.; Ma, X.; Song, J.J. Analytical solution of dam-break flood wave propagation in a dry sloped channel with an irregular-shaped cross-section. J. Hydro-Environ. Res. 2017, 14, 93–104. [Google Scholar] [CrossRef]
- Stansby, P.K.; Chegini, A.; Barnes, T.C.D. The initial stages of dam-break flow. J. Fluid Mech. 1998, 374, 407–424. [Google Scholar] [CrossRef]
- Liu, H.; Liu, H.J. Experimental Study on Dam-Break Hydrodynamic Characteristics Under Different Conditions. J. Disaster Res. 2017, 12, 198–207. [Google Scholar] [CrossRef]
- Aleixo, R.; Soares-Frazao, S.; Zech, Y. Velocity-field measurements in a dam-break flow using a PTV Voronoï imaging technique. Exp. Fluids 2011, 50, 1633–1649. [Google Scholar] [CrossRef]
- Zhang, L.Y.; Zhang, F.X.; Xu, W.L.; Bo, H.J.; Zhang, X.L. An innovative method for measuring the three-dimensional water surface morphology of unsteady flow using light detection and ranging technology. Ocean Eng. 2023, 276, 114079. [Google Scholar] [CrossRef]
- Lauber, G.; Hager, W.H. Experiments to dambreak wave: Horizontal channel. J. Hydraul. Res. 1998, 36, 291–307. [Google Scholar] [CrossRef]
- Frazao, S.S.; Zech, Y. Dam Break in Channels with 90° Bend. J. Hydraul. Eng. 2002, 128, 956–968. [Google Scholar] [CrossRef]
- LaRocque, L.A.; Imran, J.; Chaudhry, M.H. Experimental and numerical investigations of two-dimensional dam-break flows. J. Hydraul. Eng. 2013, 139, 569–579. [Google Scholar] [CrossRef]
- Guerra, M.; Cienfuegos, R.; Escauriaza, C.; Marche, F.; Galaz, J. Modeling Rapid Flood Propagation Over Natural Terrains Using a Well-Balanced Scheme. J. Hydraul. Eng. 2014, 140, 04014026. [Google Scholar] [CrossRef]
- Chang, T.J.; Kao, H.M.; Chang, K.H.; Hsu, M.H. Numerical simulation of shallow-water dam break flows in open channels using smoothed particle hydrodynamics. J. Hydrol. 2011, 408, 78–90. [Google Scholar] [CrossRef]
- Jaan, H.P.; Shao, S.D.; Huang, Y.F.; Hussain, K. Evaluations of SWEs and SPH numerical modeling techniques for dam break flows. Eng. Appl. Comput. Fluid Mech. 2013, 7, 544–563. [Google Scholar] [CrossRef]
- Zhou, Z.; Wang, X.; Chen, W.; Deng, S.; Liu, M. Numerical Simulation of Dam-Break Flooding of Cascade Reservoirs. Trans. Tianjin Univ. 2017, 23, 570–581. [Google Scholar] [CrossRef]
- Elliot, R.C.; Chaudhry, M.H. A wave propagation model for two-dimensional dam-break flows. J. Hydraul. Res. 1992, 30, 200–221. [Google Scholar] [CrossRef]
- Wang, J.S.; Ni, H.G.; He, Y.S. Finite-Difference TVD Scheme for Computation of Dam-Break Problems. J. Hydraul. Eng. 2000, 126, 253–261. [Google Scholar] [CrossRef]
- Peng, Y.; Meng, J.P.; Zhang, J.M. Multispeed Lattice Boltzmann Model with Space-Filling Lattice for Transcritical Shallow Water Flows. Math. Probl. Eng. 2017, 2017, 8917360. [Google Scholar] [CrossRef]
- Maranzoni, A.; Tomirotti, M. Three-Dimensional Numerical Modelling of Real-Field Dam-Break Flows: Review and Recent Advances. Water 2023, 15, 3130. [Google Scholar] [CrossRef]
- Kocaman, S.; Güzel, H.; Evangelista, S.; Ozmen-Cagatay, H.; Viccione, G. Experimental and Numerical Analysis of a Dam-Break Flow through Different Contraction Geometries of the Channel. Water 2020, 12, 1124. [Google Scholar] [CrossRef]
- Yang, C.; Lin, B.L.; Jiang, C.; Liu, Y. Predicting near-field dam-break flow and impact force using a 3D model. J. Hydraul. Res. 2010, 48, 784–792. [Google Scholar] [CrossRef]
- Cao, Z.; Huang, W.; Pender, G.; Liu, X. Even more destructive: Cascade dam break floods. J. Flood Risk Manag. 2014, 7, 357–373. [Google Scholar] [CrossRef]
- Panicker, P.G.; Goel, A.; Iyer, H.R. Numerical Modeling of Advancing Wave Front in Dam Break Problem by Incompressible Navier-Stokes Solver. Aquat. Procedia 2015, 4, 861–867. [Google Scholar] [CrossRef]
- Říha, J.; Kotaška, S.; Petrula, L. Dam Break Modeling in a Cascade of Small Earthen Dams: Case Study of the Čižina River in the Czech Republic. Water 2020, 12, 2309. [Google Scholar] [CrossRef]
- Xue, Y.; Xu, W.L.; Luo, S.J.; Chen, H.Y.; Li, N.W.; Xu, L.J. Experimental study of dam-break flow in cascade reservoirs with steep bottom slope. Chin. J. Hydrodyn. 2011, 23, 491–497. [Google Scholar] [CrossRef]
- Chen, H.Y.; Xu, W.L.; Deng, J.; Xue, Y.; Li, J. Experimental investigation of pressure load exerted on a downstream dam by dam-break flow. J. Hydraul. Eng. 2014, 140, 199–207. [Google Scholar] [CrossRef]
- Zhang, Y.K.; Xu, W.L. Retarding Effects of an Intermediate Intact Dam on the Dam-Break Flow in Cascade Reservoirs. J. Hydraul. Res. 2017, 55, 438–444. [Google Scholar] [CrossRef]
- Aureli, F.; Maranzoni, A.; Petaccia, G.; Soares-Frazão, S. Review of Experimental Investigations of Dam-Break Flows over Fixed Bottom. Water 2023, 15, 1229. [Google Scholar] [CrossRef]
- Wang, H.; Murzyn, F.; Chanson, H. Interaction between free-surface, two-phase flow and total pressure in hydraulic jump. Exp. Therm. Fluid Sci. 2015, 64, 30–41. [Google Scholar] [CrossRef]
- Lauber, G.; Hager, W.H. Experiments to dam break wave: Slope channel. J. Hydraul. Res. 1998, 36, 761–773. [Google Scholar] [CrossRef]
- Dam Safety Management Center of the Ministry of Water Resources, People’s Republic of China. Dam Breach Register Book of the National Reservoirs; Dam Safety Management Center of the Ministry of Water Resources, People’s Republic of China: Nanjing, China, 2021. (In Chinese) [Google Scholar]
- Lu, Q.; Gu, Y.; Wang, S.; Liu, X.; Wang, H. Deformation Field Analysis of Small-Scale Model Experiment on Overtopping Failure of Embankment Dams. Water 2023, 15, 4309. [Google Scholar] [CrossRef]
- Quecedo, M.; Pastor, M.; Herreros, M.I.; Fernández-Merodo, J.A.; Zhang, Q. Comparison of two mathematical models for solving the dam break problem using the FEM method. Comput. Methods Appl. Mech. Eng. 2005, 194, 3984–4005. [Google Scholar] [CrossRef]
- Biscarini, C.; Di Francesco, S.; Manciola, P. CFD modelling approach for dam break flow studies. Hydrol. Earth Syst. Sci. 2010, 14, 705–718. [Google Scholar] [CrossRef]
- Marsooli, R.; Wu, W. 3-D finite-volume model of dam-break flow over uneven beds based on VOF method. Adv. Water Resour. 2014, 70, 104–117. [Google Scholar] [CrossRef]
- Ye, Z.; Zhao, X. Investigation of water-water interface in dam break flow with a wet bed. J. Hydrol. 2017, 548, 104–120. [Google Scholar] [CrossRef]
- Flow Science Inc. Flow-3D Users Manual; Flow Science Inc.: Santa Fe, NM, USA, 2016. [Google Scholar]
- Larocque, L.A.; Imran, J.; Chaudhry, M.H. 3D numerical simulation of partial breach dam-break flow using the LES and k-ε turbulence models. J. Hydraul. Res. 2013, 51, 145–157. [Google Scholar] [CrossRef]
- Hirt, C.W.; Nichols, B.D. Volume of fluid (VOF) method for the dynamics of free boundaries. J. Comput. Phys. 1981, 39, 201–225. [Google Scholar] [CrossRef]





















| u/(cm/s) | 0.3 | 0.5 | 0.7 | 1.0 | 1.5 | 2.0 | 2.5 | 3.0 | ∞ |
| u* | 0.0025 | 0.0042 | 0.0058 | 0.0083 | 0.0125 | 0.0167 | 0.0208 | 0.0250 | ∞ |
| Tu/s | 100 | 60 | 46 | 30 | 20 | 15 | 12 | 10 | / |
Disclaimer/Publisher’s Note: The statements, opinions and data contained in all publications are solely those of the individual author(s) and contributor(s) and not of MDPI and/or the editor(s). MDPI and/or the editor(s) disclaim responsibility for any injury to people or property resulting from any ideas, methods, instructions or products referred to in the content. |
© 2024 by the authors. Licensee MDPI, Basel, Switzerland. This article is an open access article distributed under the terms and conditions of the Creative Commons Attribution (CC BY) license (https://creativecommons.org/licenses/by/4.0/).
Share and Cite
Bo, H.; Zhang, F.; Zhang, L.; Zhang, X.; Yin, L. The Effect of Dam Break Speed on Flood Evolution in a Downstream Reservoir of a Cascade Reservoir System. Water 2024, 16, 2993. https://doi.org/10.3390/w16202993
Bo H, Zhang F, Zhang L, Zhang X, Yin L. The Effect of Dam Break Speed on Flood Evolution in a Downstream Reservoir of a Cascade Reservoir System. Water. 2024; 16(20):2993. https://doi.org/10.3390/w16202993
Chicago/Turabian StyleBo, Huajiang, Faxing Zhang, Liyuan Zhang, Xiaolong Zhang, and Liang Yin. 2024. "The Effect of Dam Break Speed on Flood Evolution in a Downstream Reservoir of a Cascade Reservoir System" Water 16, no. 20: 2993. https://doi.org/10.3390/w16202993
APA StyleBo, H., Zhang, F., Zhang, L., Zhang, X., & Yin, L. (2024). The Effect of Dam Break Speed on Flood Evolution in a Downstream Reservoir of a Cascade Reservoir System. Water, 16(20), 2993. https://doi.org/10.3390/w16202993

