Algal Decomposition Accelerates Denitrification as Evidenced by the High-Resolution Distribution of Nitrogen Fractions in the Sediment–Water Interface of Eutrophic Lakes
Abstract
1. Introduction
2. Materials and Methods
2.1. Description of Study Area
2.2. Sample Collection and In Situ Measurements
2.3. Analysis of Sediment Microbial Abundance
2.4. Flume Simulation Experiment
2.5. DGT and HR-Peeper Analysis
2.6. Statistical Analysis
3. Results and Discussion
3.1. Physicochemical Properties of the Water Layer above the Sediment
3.2. Profiles of Nitrogen Fractions in the Sediments
3.3. Apparent Diffusion Flux of N across the SWI
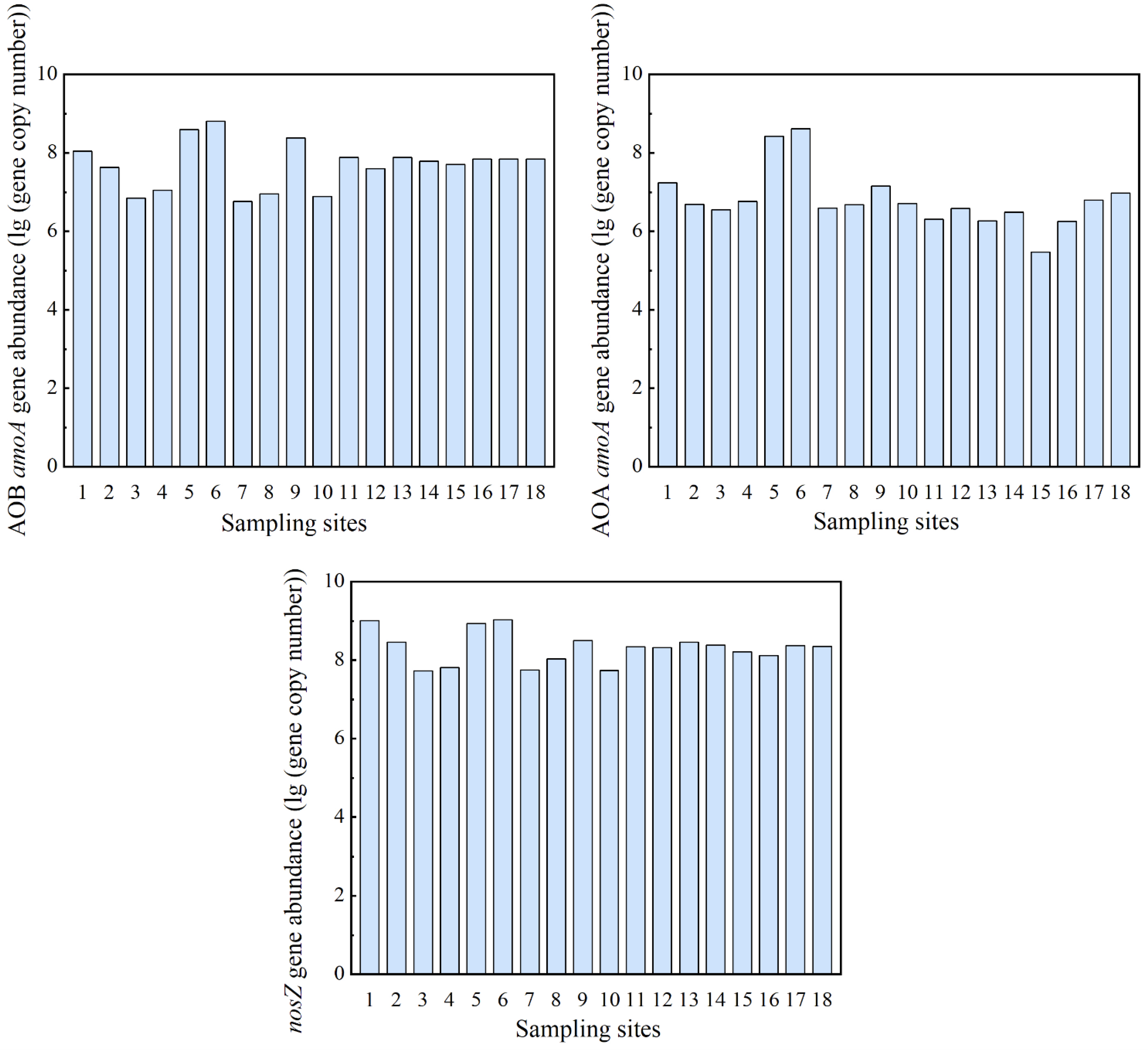
3.4. Absolute Abundance of Functional Genes in Sediment
3.5. The Impact of Algal Decomposition on Dissolved Oxygen and pH
3.6. Impact of Algal Decomposition on DOM Variation
3.7. Impact of Algal Decomposition on Nitrification and Denitrification
4. Conclusions
Supplementary Materials
Author Contributions
Funding
Data Availability Statement
Conflicts of Interest
References
- Ho, J.C.; Michalak, A.M.; Pahlevan, N. Widespread global increase in intense lake phytoplankton blooms since the 1980s. Nature 2019, 574, 667–670. [Google Scholar] [CrossRef]
- Hou, X.; Feng, L.; Dai, Y.; Hu, C.; Gibson, L.; Tang, J.; Lee, Z.; Wang, Y.; Cai, X.; Liu, J.; et al. Global mapping reveals increase in lacustrine algal blooms over the past decade. Nat. Geosci. 2022, 15, 130–134. [Google Scholar] [CrossRef]
- Huisman, J.; Codd, G.A.; Paerl, H.W.; Ibelings, B.W.; Verspagen, J.M.H.; Visser, P.M. Cyanobacterial blooms. Nat. Rev. Microbiol. 2018, 16, 471–483. [Google Scholar] [CrossRef]
- Mooney, R.J.; Stanley, E.H.; Rosenthal, W.C.; Esselman, P.C.; Kendall, A.D.; McIntyre, P.B. Outsized nutrient contributions from small tributaries to a Great Lake. Proc. Natl. Acad. Sci. USA 2020, 117, 28175–28182. [Google Scholar] [CrossRef]
- O’Neil, J.M.; Davis, T.W.; Burford, M.A.; Gobler, C.J. The rise of harmful cyanobacteria blooms: The potential roles of eutrophication and climate change. Harmful Algae 2012, 14, 313–334. [Google Scholar] [CrossRef]
- Chen, M.; Ding, S.; Wu, Y.; Fan, X.; Jin, Z.; Tsang, D.C.W.; Wang, Y.; Zhang, C. Phosphorus mobilization in lake sediments: Experimental evidence of strong control by iron and negligible influences of manganese redox reactions. Environ. Pollut. 2019, 246, 472–481. [Google Scholar] [CrossRef]
- Xu, H.; Paerl, H.W.; Zhu, G.; Qin, B.; Hall, N.S.; Zhu, M. Long-term nutrient trends and harmful cyanobacterial bloom potential in hypertrophic Lake Taihu, China. Hydrobiologia 2016, 787, 229–242. [Google Scholar] [CrossRef]
- Yin, G.; Hou, L.; Liu, M.; Liu, Z.; Gardner, W.S. A novel membrane inlet mass spectrometer method to measure 15NH4+ for isotope-enrichment experiments in aquatic ecosystems. Environ. Sci. Technol. 2014, 48, 9555–9562. [Google Scholar] [CrossRef] [PubMed]
- Zhou, J.; Han, X.; Brookes, J.D.; Qin, B. High probability of nitrogen and phosphorus co-limitation occurring in eutrophic lakes. Environ. Pollut. 2022, 292, 118276. [Google Scholar] [CrossRef] [PubMed]
- Li, X.F.; Hou, L.J.; Liu, M.; Zheng, Y.L.; Yin, G.Y.; Lin, X.B.; Cheng, L.; Li, Y.; Hu, X.T. Evidence of Nitrogen Loss from Anaerobic Ammonium Oxidation Coupled with Ferric Iron Reduction in an Intertidal Wetland. Environ. Sci. Technol. 2015, 49, 11560–11568. [Google Scholar] [CrossRef] [PubMed]
- Zhu, J.; He, Y.; Zhu, Y.S.; Huang, M.S.; Zhang, Y.P. Biogeochemical sulfur cycling coupling with dissimilatory nitrate reduction processes in freshwater sediments. Environ. Rev. 2018, 26, 121–132. [Google Scholar] [CrossRef]
- Yao, Y.; Li, D.; Chen, Y.; Liu, H.; Wang, G.; Han, R. High-resolution distribution of internal phosphorus release by the influence of harmful algal blooms (HABs) in Lake Taihu. Environ. Res. 2021, 201, 111525. [Google Scholar] [CrossRef]
- Sima, W.; Hu, M.; He, Q.; Qiu, Y.; Lv, Y.; Dai, L.; Shao, Q.; Zhou, T.; Li, H.; Zhou, M.; et al. Regulation of nitrogen dynamics at the sediment-water interface during HAB degradation and subsequent reoccurrence. RSC Adv. 2020, 10, 13480–13488. [Google Scholar] [CrossRef]
- Jiang, X.; Gao, G.; Zhang, L.; Tang, X.; Shao, K.; Hu, Y. Denitrification and dissimilatory nitrate reduction to ammonium in freshwater lakes of the Eastern Plain, China: Influences of organic carbon and algal bloom. Sci. Total Environ. 2020, 710, 136303. [Google Scholar] [CrossRef]
- Sharp, J.H. Estuarine oxygen dynamics: What can we learn about hypoxia from long-time records in the Delaware Estuary? Limnol. Oceanogr. 2010, 55, 535–548. [Google Scholar]
- Shen, Q.S.; Liu, C.; Zhou, Q.L.; Shang, J.G.; Zhang, L.; Fan, C.X. Effects of physical and chemical characteristics of surface sediments in the formation of shallow lake algae-induced black bloom. J. Environ. Sci. 2013, 25, 2353–2360. [Google Scholar] [CrossRef] [PubMed]
- Shen, Y.S.; Huang, Y.Y.; Hu, J.; Li, P.P.; Zhang, C.; Li, L.; Xu, P.; Zhang, J.Y.; Chen, X.C. The nitrogen reduction in eutrophic water column driven by Microcystis blooms. J. Hazard. Mater. 2020, 385, 9. [Google Scholar] [CrossRef]
- Shi, W.; Zhu, L.; Van Dam, B.; Smyth, A.R.; Deng, J.; Zhou, J.; Pan, G.; Yi, Q.; Yu, J.; Qin, B. Wind induced algal migration manipulates sediment denitrification N-loss patterns in shallow Taihu Lake, China. Water Res. 2021, 209, 117887. [Google Scholar] [CrossRef]
- Kessler, A.J.; Glud, R.N.; Cardenas, M.B.; Cook, P.L.M. Transport Zonation Limits Coupled Nitrification-Denitrification in Permeable Sediments. Environ. Sci. Technol. 2013, 47, 13404–13411. [Google Scholar] [CrossRef]
- Xia, X.H.; Jia, Z.M.; Liu, T.; Zhang, S.B.; Zhang, L.W. Coupled Nitrification-Denitrification Caused by Suspended Sediment (SPS) in Rivers: Importance of SPS Size and Composition. Environ. Sci. Technol. 2017, 51, 212–221. [Google Scholar] [CrossRef]
- Sun, Q.; Ding, S.M.; Wang, Y.; Xu, L.; Wang, D.; Chen, J.; Zhang, C.S. In-situ characterization and assessment of arsenic mobility in lake sediments. Environ. Pollut. 2016, 214, 314–323. [Google Scholar] [CrossRef]
- Wu, Z.H.; Jiang, X.; Wang, S.H.; Zhao, L.; Jiao, L.X.; Chen, J.Y.; Cai, Q.; Wang, K.; Yao, C. Mobilization and geochemistry of nutrients in sediment evaluated by diffusive gradients in thin films: Significance for lake management. J. Environ. Manag. 2021, 292, 112770. [Google Scholar]
- Chen, X.F.; Jiang, H.Y.; Sun, X.; Zhu, Y.; Yang, L.Y. Nitrification and denitrification by algae-attached and free-living microorganisms during a cyanobacterial bloom in Lake Taihu, a shallow Eutrophic Lake in China. Biogeochemistry 2016, 131, 135–146. [Google Scholar] [CrossRef]
- Wang, C.; Yao, Y.; Wang, P.; Hou, J.; Qian, J.; Yuan, Y.; Fan, X. In situ high-resolution evaluation of labile arsenic and mercury in sediment of a large shallow lake. Sci. Total Environ. 2016, 541, 83–91. [Google Scholar] [CrossRef]
- Wu, Z.; Wang, S.; Jiao, L. Geochemical behavior of metals-sulfide-phosphorus at SWI (sediment/water interface) assessed by DGT (Diffusive gradients in thin films) probes. J. Geochem. Explor. 2015, 156, 145–152. [Google Scholar] [CrossRef]
- Xu, D.; Wu, W.; Ding, S.; Sun, Q.; Zhang, C. A high-resolution dialysis technique for rapid determination of dissolved reactive phosphate and ferrous iron in pore water of sediments. Sci. Total Environ. 2012, 421–422, 245–252. [Google Scholar] [CrossRef] [PubMed]
- Duan, H.; Ma, R.; Xu, X.; Kong, F.; Zhang, S.; Kong, W.; Hao, J.; Shang, L. Two-decade reconstruction of algal blooms in China’s Lake Taihu. Environ. Sci. Technol. 2009, 43, 3522–3528. [Google Scholar] [CrossRef] [PubMed]
- Qin, B.Q.; Xu, P.Z.; Wu, Q.L.; Luo, L.C.; Zhang, Y.L. Environmental issues of Lake Taihu, China. Hydrobiologia 2007, 581, 3–14. [Google Scholar] [CrossRef]
- Xu, H.; McCarthy, M.J.; Paerl, H.W.; Brookes, J.D.; Zhu, G.; Hall, N.S.; Qin, B.; Zhang, Y.; Zhu, M.; Hampel, J.J.; et al. Contributions of external nutrient loading and internal cycling to cyanobacterial bloom dynamics in Lake Taihu, China: Implications for nutrient management. Limnol. Oceanogr. 2021, 66, 1492–1509. [Google Scholar] [CrossRef]
- Xu, H.; Paerl, H.W.; Qin, B.; Zhu, G.; Hall, N.S.; Wu, Y. Determining Critical Nutrient Thresholds Needed to Control Harmful Cyanobacterial Blooms in Eutrophic Lake Taihu, China. Environ. Sci. Technol. 2015, 49, 1051–1059. [Google Scholar] [CrossRef] [PubMed]
- Qin, B.; Paerl, H.W.; Brookes, J.D.; Liu, J.; Jeppesen, E.; Zhu, G.; Zhang, Y.; Xu, H.; Shi, K.; Deng, J. Why Lake Taihu continues to be plagued with cyanobacterial blooms through 10 years (2007–2017) efforts. Sci. Bull. 2019, 64, 354–356. [Google Scholar] [CrossRef] [PubMed]
- Jiang, X.Y.; Gao, G.; Zhang, L.; Tang, X.M.; Shao, K.Q.; Hu, Y.; Cai, J. Role of algal accumulations on the partitioning between N2 production and dissimilatory nitrate reduction to ammonium in eutrophic lakes. Water Res. 2020, 183, 116075. [Google Scholar] [CrossRef]
- Peng, Y.; Liu, L.; Jiang, L.; Xiao, L. The roles of cyanobacterial bloom in nitrogen removal. Sci. Total Environ. 2017, 609, 297–303. [Google Scholar] [CrossRef] [PubMed]
- Zhu, L.; Shi, W.; Zhou, J.; Yu, J.; Kong, L.; Qin, B. Strong turbulence accelerates sediment nitrification-denitrification for nitrogen loss in shallow lakes. Sci. Total Environ. 2021, 761, 143210. [Google Scholar] [CrossRef]
- Yao, Y.; Li, D.; Chen, Y.; Han, X.; Wang, G.; Han, R. High-resolution characteristics and mechanisms of endogenous phosphorus migration and transformation impacted by algal blooms decomposition. Sci. Total Environ. 2022, 820, 152907. [Google Scholar] [CrossRef]
- Ren, M.Y.; Ding, S.M.; Shi, D.; Zhong, Z.L.; Cao, J.X.; Yang, L.Y.; Tsang, D.C.W.; Wang, D.; Zhao, D.H.; Wang, Y. A new DGT technique comprised in a hybrid sensor for the simultaneous measurement of ammonium, nitrate, phosphorus and dissolved oxygen. Sci. Total Environ. 2020, 725, 11. [Google Scholar] [CrossRef]
- Ding, S.; Chen, M.; Gong, M.; Fan, X.; Qin, B.; Xu, H.; Gao, S.; Jin, Z.; Tsang, D.C.W.; Zhang, C. Internal phosphorus loading from sediments causes seasonal nitrogen limitation for harmful algal blooms. Sci. Total Environ. 2018, 625, 872–884. [Google Scholar] [CrossRef]
- Ding, S.M.; Han, C.; Wang, Y.P.; Yao, L.; Wang, Y.; Xu, D.; Sun, Q.; Williams, P.N.; Zhang, C.S. In situ, high-resolution imaging of labile phosphorus in sediments of a large eutrophic lake. Water Res. 2015, 74, 100–109. [Google Scholar] [CrossRef]
- Yao, Y.; Han, X.; Chen, Y.; Li, D. The variations of labile arsenic diffusion driven by algal bloom decomposition in eutrophic lake ecosystems. Sci. Total Environ. 2022, 842, 156703. [Google Scholar] [CrossRef] [PubMed]
- Chen, X.F.; Yang, L.Y.; Xiao, L.; Miao, A.J.; Xi, B.D. Nitrogen removal by denitrification during cyanobacterial bloom in Lake Taihu. J. Freshw. Ecol. 2012, 27, 243–258. [Google Scholar] [CrossRef]
- Hou, J.; Song, C.; Cao, X.; Zhou, Y. Shifts between ammonia-oxidizing bacteria and archaea in relation to nitrification potential across trophic gradients in two large Chinese lakes (Lake Taihu and Lake Chaohu). Water Res. 2013, 47, 2285–2296. [Google Scholar] [CrossRef]
- Sobek, S.; Gudasz, C.; Koehler, B.; Tranvik, L.J.; Bastviken, D.; Morales-Pineda, M. Temperature Dependence of Apparent Respiratory Quotients and Oxygen Penetration Depth in Contrasting Lake Sediments. J. Geophys. Res. Biogeosci. 2017, 122, 3076–3087. [Google Scholar] [CrossRef]
- Bastviken, D.; Persson, L.; Odham, G.; Tranvik, L. Degradation of dissolved organic matter in oxic and anoxic lake water. Limnol. Oceanogr. 2004, 49, 109–116. [Google Scholar] [CrossRef]
- Lambert, T.; Bouillon, S.; Darchambeau, F.; Morana, C.; Roland, F.A.E.; Descy, J.-P.; Borges, A.V. Effects of human land use on the terrestrial and aquatic sources of fluvial organic matter in a temperate river basin (The Meuse River, Belgium). Biogeochemistry 2017, 136, 191–211. [Google Scholar] [CrossRef]
- Walker, S.A.; Amon, R.M.W.; Stedmon, C.A. Variations in high-latitude riverine fluorescent dissolved organic matter: A comparison of large Arctic rivers. J. Geophys. Res. Biogeosci. 2013, 118, 1689–1702. [Google Scholar] [CrossRef]
- Lee, S.-A.; Kim, T.-H.; Kim, G. Tracing terrestrial versus marine sources of dissolved organic carbon in a coastal bay using stable carbon isotopes. Biogeosciences 2020, 17, 135–144. [Google Scholar] [CrossRef]
- Ren, W.; Wu, X.; Ge, X.; Lin, G.; Zhou, M.; Long, Z.; Yu, X.; Tian, W. Characteristics of dissolved organic matter in lakes with different eutrophic levels in southeastern Hubei Province, China. J. Oceanol. Limnol. 2021, 39, 1256–1276. [Google Scholar] [CrossRef]
- Catala, T.S.; Reche, I.; Fuentes-Lema, A.; Romera-Castillo, C.; Nieto-Cid, M.; Ortega-Retuerta, E.; Calvo, E.; Alvarez, M.; Marrase, C.; Stedmon, C.A.; et al. Turnover time of fluorescent dissolved organic matter in the dark global ocean. Nat. Commun. 2015, 6, 5986. [Google Scholar] [CrossRef]
- Dainard, P.G.; Guéguen, C. Distribution of PARAFAC modeled CDOM components in the North Pacific Ocean, Bering, Chukchi and Beaufort Seas. Mar. Chem. 2013, 157, 216–223. [Google Scholar] [CrossRef]
- Sharma, P.; Laor, Y.; Raviv, M.; Medina, S.; Saadi, I.; Krasnovsky, A.; Vager, M.; Levy, G.J.; Bar-Tal, A.; Borisover, M. Compositional characteristics of organic matter and its water-extractable components across a profile of organically managed soil. Geoderma 2017, 286, 73–82. [Google Scholar] [CrossRef]
- Liu, C.; Du, Y.; Yin, H.; Fan, C.; Chen, K.; Zhong, J.; Gu, X. Exchanges of nitrogen and phosphorus across the sediment-water interface influenced by the external suspended particulate matter and the residual matter after dredging. Environ. Pollut. 2019, 246, 207–216. [Google Scholar] [CrossRef]
- Lu, K.; Gao, H.; Yu, H.; Liu, D.; Zhu, N.; Wan, K. Insight into variations of DOM fractions in different latitudinal rural black-odor waterbodies of eastern China using fluorescence spectroscopy coupled with structure equation model. Sci. Total Environ. 2022, 816, 151531. [Google Scholar] [CrossRef] [PubMed]
- Retelletti Brogi, S.; Ha, S.Y.; Kim, K.; Derrien, M.; Lee, Y.K.; Hur, J. Optical and molecular characterization of dissolved organic matter (DOM) in the Arctic ice core and the underlying seawater (Cambridge Bay, Canada): Implication for increased autochthonous DOM during ice melting. Sci. Total Environ. 2018, 627, 802–811. [Google Scholar] [CrossRef] [PubMed]
- Bao, Y.; Huang, T.; Ning, C.; Sun, T.; Tao, P.; Wang, J.; Sun, Q. Changes of DOM and its correlation with internal nutrient release during cyanobacterial growth and decline in Lake Chaohu, China. J. Environ. Sci. 2023, 124, 769–781. [Google Scholar] [CrossRef]
- Zhu, L.; Shi, W.; Van Dam, B.; Kong, L.; Yu, J.; Qin, B. Algal Accumulation Decreases Sediment Nitrogen Removal by Uncoupling Nitrification-Denitrification in Shallow Eutrophic Lakes. Environ. Sci. Technol. 2020, 54, 6194–6201. [Google Scholar] [CrossRef]
- Shi, K.; Zhang, Y.L.; Zhang, Y.B.; Li, N.; Qin, B.Q.; Zhu, G.W.; Zhou, Y.Q. Phenology of Phytoplankton Blooms in a Trophic Lake Observed from Long-Term MODIS Data. Environ. Sci. Technol. 2019, 53, 2324–2331. [Google Scholar] [CrossRef] [PubMed]
- Poulson, S.R.; Sullivan, A.B. Assessment of diel chemical and isotopic techniques to investigate biogeochemical cycles in the upper Klamath River, Oregon, USA. Chem. Geol. 2010, 269, 3–11. [Google Scholar] [CrossRef]
- Zhang, H.; Davison, W. Performance characteristics of diffusion gradients in thin films for the in situ measurement of trace metals in aqueous solution. Anal. Chem. 1995, 67, 3391–3400. [Google Scholar] [CrossRef]
- Sun, Q.; Chen, J.; Zhang, H.; Ding, S.M.; Li, Z.; Williams, P.N.; Cheng, H.; Han, C.; Wu, L.H.; Zhang, C.S. Improved diffusive gradients in thin films (DGT) measurement of total dissolved inorganic Arsenic in waters and soils using a hydrous zirconium oxide binding layer. Anal. Chem. 2014, 86, 3060–3067. [Google Scholar] [CrossRef]
- Xu, D.; Ding, S.M.; Sun, Q.; Zhong, J.C.; Wu, W.; Jia, F. Evaluation of in situ capping with clean soils to control phosphate release from sediments. Sci. Total Environ. 2012, 438, 334–341. [Google Scholar] [CrossRef]
- Gao, Y.; Lesven, L.; Gillan, D.; Sabbe, K.; Billon, G.; De Galan, S.; Elskens, M.; Baeyens, W.; Leermakers, M. Geochemical behavior of trace elements in sub-tidal marine sediments of the Belgian coast. Mar. Chem. 2009, 117, 88–96. [Google Scholar] [CrossRef]
- Krausfeldt, L.E.; Tang, X.; van de Kamp, J.; Gao, G.; Bodrossy, L.; Boyer, G.L.; Wilhelm, S.W. Spatial and temporal variability in the nitrogen cyclers of hypereutrophic Lake Taihu. FEMS Microbiol. Ecol. 2017, 93, fix024. [Google Scholar] [CrossRef] [PubMed]







| Sample Sites | DO (mg L−1) | ORP (mV) | pH | Chl-a (μg L−1) | NH4+-N (mg L−1) | NO3−-N (mg L−1) | NO2−-N (mg L−1) |
|---|---|---|---|---|---|---|---|
| 1 | 5.73 | 273.3 | 7.60 | 15.17 | 5.98 | 7.91 | 0.03 |
| 2 | 5.67 | 261.7 | 7.68 | 137.38 | 12.37 | 2.69 | 0.05 |
| 3 | 6.75 | 249.7 | 8.18 | 80.97 | 3.65 | 7.07 | 0.05 |
| 4 | 6.77 | 244.8 | 8.01 | 105.12 | 2.66 | 3.75 | 0.04 |
| 5 | 6.65 | 247.0 | 8.09 | 15.58 | 1.80 | 4.12 | 0.20 |
| 6 | 6.65 | 249.4 | 8.13 | 13.83 | 3.60 | 4.78 | 0.04 |
| 7 | 8.83 | 263.0 | 8.34 | 58.54 | 5.11 | 6.73 | 0.04 |
| 8 | 7.23 | 269.0 | 8.26 | 47.13 | 3.25 | 4.82 | 0.08 |
| 9 | 5.35 | 269.6 | 7.61 | 12.26 | 8.89 | 3.68 | 0.17 |
| 10 | 9.58 | 267.4 | 8.11 | 112.26 | 12.15 | 2.39 | 0.06 |
| 11 | 8.65 | 284.2 | 7.39 | 89.89 | 5.74 | 7.00 | 0.07 |
| 12 | 8.66 | 251.7 | 7.54 | 23.25 | 1.23 | 5.11 | 0.05 |
| 13 | 8.72 | 276.6 | 7.64 | 13.93 | 10.42 | 6.25 | 0.05 |
| 14 | 9.22 | 282.6 | 7.74 | 13.57 | 11.44 | 4.84 | 0.07 |
| 15 | 7.43 | 286.8 | 7.30 | 34.05 | 8.73 | 5.52 | 0.08 |
| 16 | 9.04 | 299.1 | 7.47 | 47.79 | 2.78 | 7.32 | 0.07 |
| 17 | 9.09 | 290.6 | 7.65 | 44.83 | 8.27 | 7.41 | 0.12 |
| 18 | 9.02 | 289.8 | 7.72 | 249.33 | 8.13 | 7.08 | 0.15 |
Disclaimer/Publisher’s Note: The statements, opinions and data contained in all publications are solely those of the individual author(s) and contributor(s) and not of MDPI and/or the editor(s). MDPI and/or the editor(s) disclaim responsibility for any injury to people or property resulting from any ideas, methods, instructions or products referred to in the content. |
© 2024 by the authors. Licensee MDPI, Basel, Switzerland. This article is an open access article distributed under the terms and conditions of the Creative Commons Attribution (CC BY) license (https://creativecommons.org/licenses/by/4.0/).
Share and Cite
Yao, Y.; Chen, Y.; Han, R.; Chen, D.; Ma, H.; Han, X.; Feng, Y.; Shi, C. Algal Decomposition Accelerates Denitrification as Evidenced by the High-Resolution Distribution of Nitrogen Fractions in the Sediment–Water Interface of Eutrophic Lakes. Water 2024, 16, 341. https://doi.org/10.3390/w16020341
Yao Y, Chen Y, Han R, Chen D, Ma H, Han X, Feng Y, Shi C. Algal Decomposition Accelerates Denitrification as Evidenced by the High-Resolution Distribution of Nitrogen Fractions in the Sediment–Water Interface of Eutrophic Lakes. Water. 2024; 16(2):341. https://doi.org/10.3390/w16020341
Chicago/Turabian StyleYao, Yu, Ying Chen, Ruiming Han, Desheng Chen, Huanxin Ma, Xiaoxiang Han, Yuqi Feng, and Chenfei Shi. 2024. "Algal Decomposition Accelerates Denitrification as Evidenced by the High-Resolution Distribution of Nitrogen Fractions in the Sediment–Water Interface of Eutrophic Lakes" Water 16, no. 2: 341. https://doi.org/10.3390/w16020341
APA StyleYao, Y., Chen, Y., Han, R., Chen, D., Ma, H., Han, X., Feng, Y., & Shi, C. (2024). Algal Decomposition Accelerates Denitrification as Evidenced by the High-Resolution Distribution of Nitrogen Fractions in the Sediment–Water Interface of Eutrophic Lakes. Water, 16(2), 341. https://doi.org/10.3390/w16020341

