Valorization of Pine Cones (Pinus nigras) for Industrial Wastewater Treatment and Crystal Violet Removal: A Sustainable Approach Based on Bio-Coagulants and a Bio-Adsorbent
Abstract
1. Introduction
2. Materials and Methods
2.1. Preparation of Bio-Coagulant
2.1.1. Preparation of Pine Cone Powder (PCP)
2.1.2. Preparation of Pine Cone Extract (PCE)

2.2. Preparation of Adsorbent (Bio-Coagulant Residue)
2.3. Raw Materials and Chemicals
2.4. Analytical Methods
2.5. Bio-Coagulant and Bio-Adsorbent Characterization
2.6. Coagulation/Flocculation Experiments
2.7. Experiment Design
2.8. Batch Adsorption Experiments
3. Results
3.1. Characterization of Bio-Coagulant and Bio-Adsorbent
3.1.1. Fourier-Transform Infrared Spectroscopy
3.1.2. SEM Analysis
3.1.3. BET Surface Area Analysis
3.2. Characterization of the Bio-Coagulant (Pine Cone Extract)
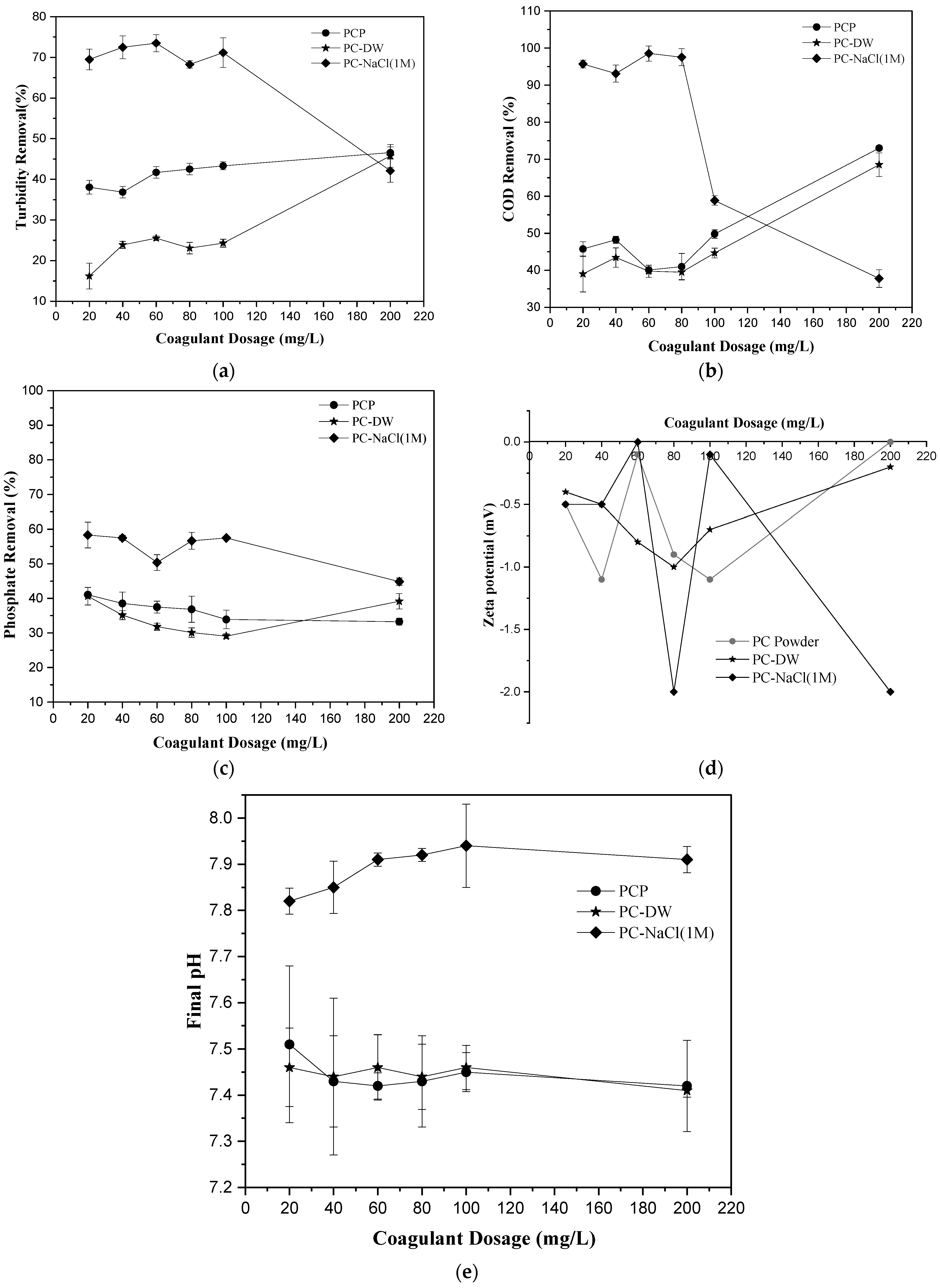
3.3. Effect of Bio-Coagulant Dosage
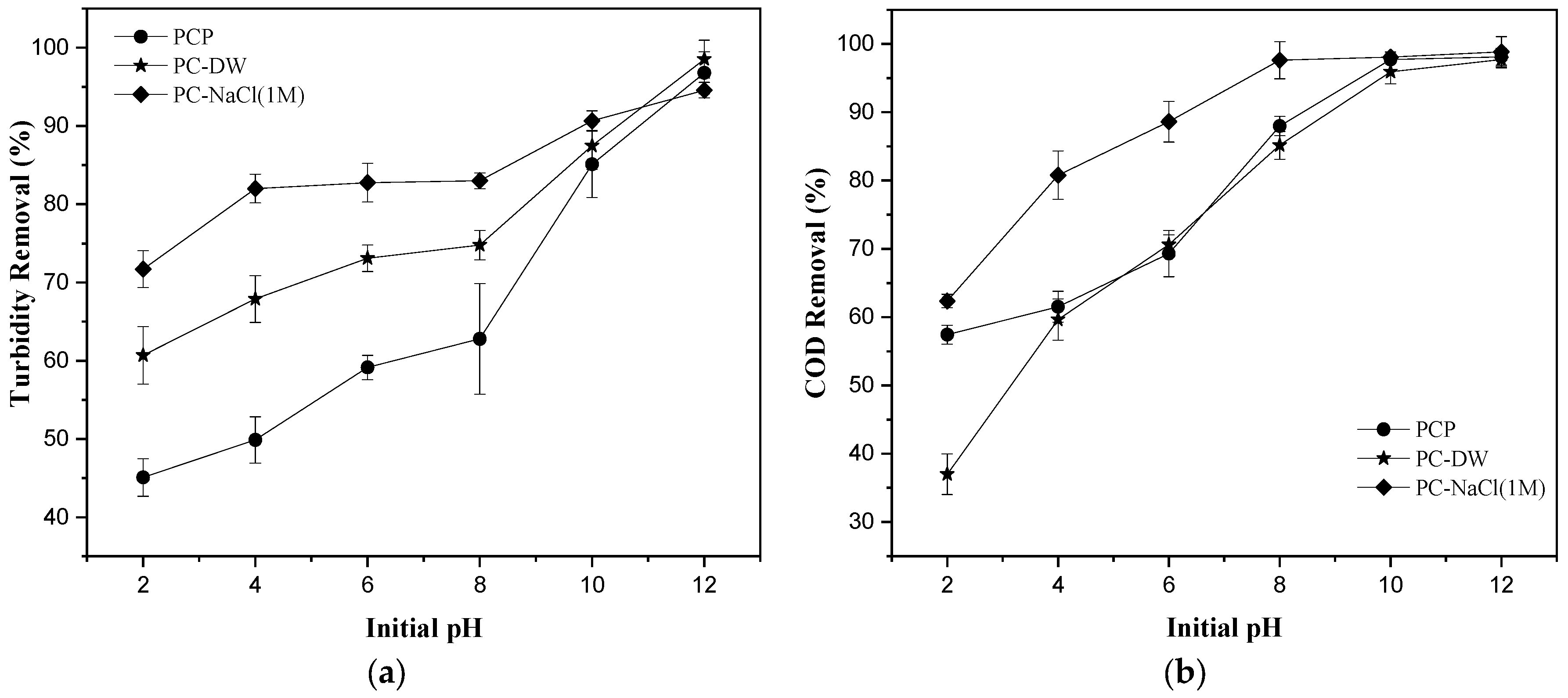
3.4. Effect of pH
3.5. Use of Extract Residues as a Bio-Adsorbent for CV Removal from Water
3.5.1. The Point of Zero Charge of PCER Adsorbent
3.5.2. Optimization and Modeling of the Adsorption Process
3.5.3. The Effect of Factors
3.5.4. Response Surface Plotting
3.5.5. Analysis of Variance (ANOVA Test)
3.5.6. Optimization and Validation
4. Conclusions
Author Contributions
Funding
Data Availability Statement
Acknowledgments
Conflicts of Interest
Abbreviations
| PCs | pine cones |
| PCP | pine cone powder |
| PCE | pine cone extract |
| PCER | pine cone extract residue |
| CV | crystal violet |
| FTIR | Fourier-transform infrared spectrophotometry |
| SEM | scanning electron microscopy |
| BET | Brunauer–Emmett–Teller |
| BBD | Box–Behnken design |
| RSM | response surface method |
| COD | chemical oxygen demand |
| NTU | nephelometric turbidity unit |
| pH | hydrogen potential |
| TSS | total suspended solids |
| PH pzc | the point of zero charge |
References
- Koul, B.; Bhat, N.; Abubakar, M.; Mishra, M.; Arukha, A.P.; Yadav, D. Application of Natural Coagulants in Water Treatment: A Sustainable Alternative to Chemicals. Water 2022, 14, 3751. [Google Scholar] [CrossRef]
- Emin Argun, M.; Dursun, Ş. Activation of Pine Bark Surface with NaOH for Lead Removal. Int. Environ. Appl. Sci. 2007, 2, 5–10. [Google Scholar]
- Asgharnejad, H.; Khorshidi Nazloo, E.; Madani Larijani, M.; Hajinajaf, N.; Rashidi, H. Comprehensive Review of Water Management and Wastewater Treatment in Food Processing Industries in the Framework of Water-Food-Environment Nexus. Compr. Rev. Food Sci. Food Saf. 2021, 20, 4779–4815. [Google Scholar] [CrossRef] [PubMed]
- Shahedi, A.; Darban, A.K.; Taghipour, F.; Jamshidi-Zanjani, A. A Review on Industrial Wastewater Treatment via Electrocoagulation Processes. Curr. Opin. Electrochem. 2020, 22, 154–169. [Google Scholar] [CrossRef]
- Malik, S.N.; Ghosh, P.C.; Vaidya, A.N.; Mudliar, S.N. Hybrid Ozonation Process for Industrial Wastewater Treatment: Principles and Applications: A Review. J. Water Process Eng. 2020, 35, 101193. [Google Scholar] [CrossRef]
- Aguilar, J.R.P.; Cabriales, J.J.P.; Vega, M.M. Identification and Characterization of Sulfur-Oxidizing Bacteria in an Artificial Wetland That Treats Wastewater from a Tannery. Int. J. Phytoremediat. 2008, 10, 359–370. [Google Scholar] [CrossRef] [PubMed]
- Daneshvar, E.; Zarrinmehr, M.J.; Koutra, E.; Kornaros, M.; Farhadian, O.; Bhatnagar, A. Sequential Cultivation of Microalgae in Raw and Recycled Dairy Wastewater: Microalgal Growth, Wastewater Treatment and Biochemical Composition. Bioresour. Technol. 2019, 273, 556–564. [Google Scholar] [CrossRef]
- Hadadi, A.; Imessaoudene, A.; Bollinger, J.C.; Bouzaza, A.; Amrane, A.; Tahraoui, H.; Mouni, L. Aleppo Pine Seeds (Pinus halepensis Mill.) as a Promising Novel Green Coagulant for the Removal of Congo Red Dye: Optimization via Machine Learning Algorithm. J. Environ. Manag. 2023, 331, 117286. [Google Scholar] [CrossRef]
- Laggoun, Z.; Khalfaoui, A.; Benalia, A.; Ghomrani, A.F.; Bouchareb, R.; Mahfouf, A.; Pizzi, A.; Panico, A.; Derbal, K. Application of Response Surface Design for Optimization of Direct Red Dye Biosorption onto Cockleshells. Appl. Sci. 2023, 13, 12333. [Google Scholar] [CrossRef]
- Cheruiyot, G.K.; Wanyonyi, W.C.; Kiplimo, J.J.; Maina, E.N. Adsorption of Toxic Crystal Violet Dye Using Coffee Husks: Equilibrium, Kinetics and Thermodynamics Study. Sci. Afr. 2019, 5, e00116. [Google Scholar] [CrossRef]
- Talarposhti, A.M.; Donnelly, T.; Anderson, G.K. Colour Removal from a Simulated Dye Wastewater Using a Two-Phase Anaerobic Packed Bed Reactor. Water Res. 2001, 35, 425–432. [Google Scholar] [CrossRef] [PubMed]
- Asad, S.; Amoozegar, M.A.; Pourbabaee, A.A.; Sarbolouki, M.N.; Dastgheib, S.M.M. Decolorization of Textile Azo Dyes by Newly Isolated Halophilic and Halotolerant Bacteria. Bioresour. Technol. 2007, 98, 2082–2088. [Google Scholar] [CrossRef]
- Swelam, A.A.; Sherif, S.S.; Hafez, A.I. Removal Comparative Study for Cd(II) Ions from Polluted Solutions by Adsorption and Coagulation Techniques Using Moringa oleifera Seeds. Egypt. J. Chem. 2019, 62, 1499–1517. [Google Scholar] [CrossRef]
- Alazaiza, M.Y.D.; Albahnasawi, A.; Ali, G.A.M.; Bashir, M.J.K.; Nassani, D.E.; Al Maskari, T.; Abu Amr, S.S.; Abujazar, M.S.S. Application of Natural Coagulants for Pharmaceutical Removal from Water and Wastewater: A Review. Water 2022, 14, 140. [Google Scholar] [CrossRef]
- Dayarathne, H.N.P.; Angove, M.J.; Aryal, R.; Abuel-Naga, H.; Mainali, B. Removal of Natural Organic Matter from Source Water: Review on Coagulants, Dual Coagulation, Alternative Coagulants, and Mechanisms. J. Water Process Eng. 2021, 40, 101820. [Google Scholar] [CrossRef]
- Owodunni, A.A.; Ismail, S. Revolutionary Technique for Sustainable Plant-Based Green Coagulants in Industrial Wastewater Treatment—A Review. J. Water Process Eng. 2021, 42, 102096. [Google Scholar] [CrossRef]
- Hadadi, A.; Imessaoudene, A.; Bollinger, J.C.; Cheikh, S.; Assadi, A.A.; Amrane, A.; Kebir, M.; Mouni, L. Parametrical Study for the Effective Removal of Mordant Black 11 from Synthetic Solutions: Moringa oleifera Seeds’ Extracts Versus Alum. Water 2022, 14, 4109. [Google Scholar] [CrossRef]
- Iwuozor, K.O.; Adeniyi, A.G.; Emenike, E.C.; Ojeyemi, T.; Egbemhenghe, A.U.; Okorie, C.J.; Ayoku, B.D.; Saliu, O.D. Prospects and Challenges of Utilizing Sugarcane Bagasse as a Bio-Coagulant Precursor for Water Treatment. Biotechnol. Rep. 2023, 39, e00805. [Google Scholar] [CrossRef]
- Ramavandi, B.; Farjadfard, S. Removal of Chemical Oxygen Demand from Textile Wastewater Using a Natural Coagulant. Korean J. Chem. Eng. 2014, 31, 81–87. [Google Scholar] [CrossRef]
- Bouchareb, R.; Derbal, K.; Benalia, A. Optimization of Active Coagulant Agent Extraction Method from Moringa oleifera Seeds for Municipal Wastewater Treatment. Water Sci. Technol. 2021, 84, 393–403. [Google Scholar] [CrossRef] [PubMed]
- Rmsr, M.; Rahayu, M.J.; Hashim, A.M. Efficiency of Moringa oleifera Seeds for Treatment of Laundry Wastewater. MATEC Web Conf. 2017, 103, 06001. [Google Scholar]
- Okuda, T.; Baes, A.U.; Nishijima, W.; Okada, M. Improvement of extraction method of coagulation active components from moringa oleifera seed. Water Res. 1999, 33, 3373–3378. [Google Scholar] [CrossRef]
- Zaid, A.Q.; Ghazali, S.B.; Mutamim, N.S.A.; Olalere, O.A. Experimental Optimization of Moringa oleifera Seed Powder as Bio-Coagulants in Water Treatment Process. SN Appl. Sci. 2019, 1, 1–5. [Google Scholar] [CrossRef]
- Benalia, A.; Derbal, K.; Panico, A.; Pirozzi, F. Use of Acorn Leaves as a Natural Coagulant in a Drinking Water Treatment Plant. Water 2018, 11, 57. [Google Scholar] [CrossRef]
- Choudhary, M.; Ray, M.B.; Neogi, S. Evaluation of the Potential Application of Cactus (Opuntia ficus-Indica) as a Bio-Coagulant for Pre-Treatment of Oil Sands Process-Affected Water. Sep. Purif. Technol. 2019, 209, 714–724. [Google Scholar] [CrossRef]
- Bouatay, F.; Mhenni, F. Use of the Cactus Cladodes Mucilage (Opuntia ficus Indica) As an Eco-Friendly Flocculants: Process Development and Optimization Using Stastical Analysis. Int. J. Environ. Res. 2014, 8, 1295–1308. [Google Scholar]
- Nharingo, T.; Zivurawa, M.T.; Guyo, U. Exploring the Use of Cactus Opuntia ficus Indica in the Biocoagulation–Flocculation of Pb(II) Ions from Wastewaters. Int. J. Environ. Sci. Technol. 2015, 12, 3791–3802. [Google Scholar] [CrossRef]
- Benalia, A.; Chaibraa, W.; Djeghar, S.; Derbal, K.; Khalfaoui, A.; Mahfouf, A.; Bouchareb, R.; Panico, A.; Pizzi, A. Use of Extracted Proteins from Oak Leaves as Bio-Coagulant for Water and Wastewater Treatment: Optimization by a Fractional Factorial Design. Water 2023, 15, 1984. [Google Scholar] [CrossRef]
- Abidin, Z.Z.; Ismail, N.; Yunus, R.; Ahamad, I.S.; Idris, A. A Preliminary Study on Jatropha Curcas as Coagulant in Wastewater Treatment. Environ. Technol. 2011, 32, 971–977. [Google Scholar] [CrossRef]
- Abidin, Z.Z.; Mohd Shamsudin, N.S.; Madehi, N.; Sobri, S. Optimisation of a Method to Extract the Active Coagulant Agent from Jatropha Curcas Seeds for Use in Turbidity Removal. Ind. Crops Prod. 2013, 41, 319–323. [Google Scholar] [CrossRef]
- Zainal, S.F.F.S.; Aziz, H.A.; Omar, F.M.; Alazaiza, M.Y.D. Influence of Jatropha curcas Seeds as a Natural Flocculant on Reducing Tin (IV) Tetrachloride in the Treatment of Concentrated Stabilised Landfill Leachate. Chemosphere 2021, 285, 131484. [Google Scholar] [CrossRef]
- Dawood, S.; Sen, T.K. Removal of Anionic Dye Congo Red from Aqueous Solution by Raw Pine and Acid-Treated Pine Cone Powder as Adsorbent: Equilibrium, Thermodynamic, Kinetics, Mechanism and Process Design. Water Res. 2012, 46, 1933–1946. [Google Scholar] [CrossRef]
- Kadri, N.; Khettal, B.; Aid, Y.; Kherfellah, S.; Sobhi, W.; Barragan-Montero, V. Some Physicochemical Characteristics of Pinus (Pinus halepensis Mill., Pinus pinea L., Pinus pinaster and Pinus canariensis) Seeds from North Algeria, Their Lipid Profiles and Volatile Contents. Food Chem. 2015, 188, 184–192. [Google Scholar] [CrossRef] [PubMed]
- Argun, M.E.; Dursun, S.; Karatas, M.; Gürü, M. Activation of Pine Cone Using Fenton Oxidation for Cd(II) and Pb(II) Removal. Bioresour. Technol. 2008, 99, 8691–8698. [Google Scholar] [CrossRef] [PubMed]
- Hussain, S.; Ghouri, A.S.; Ahmad, A. Pine Cone Extract as Natural Coagulant for Purification of Turbid Water. Heliyon 2019, 5, e01420. [Google Scholar] [CrossRef] [PubMed]
- Kebaili, M.; Djellali, S.; Radjai, M.; Drouiche, N.; Lounici, H. Valorization of Orange Industry Residues to Form a Natural Coagulant and Adsorbent. J. Ind. Eng. Chem. 2018, 64, 292–299. [Google Scholar] [CrossRef]
- Vieira, A.P.; Santana, S.A.A.; Bezerra, C.W.B.; Silva, H.A.S.; Chaves, J.A.P.; de Melo, J.C.P.; da Silva Filho, E.C.; Airoldi, C. Kinetics and Thermodynamics of Textile Dye Adsorption from Aqueous Solutions Using Babassu Coconut Mesocarp. J. Hazard. Mater. 2009, 166, 1272–1278. [Google Scholar] [CrossRef]
- Al-Maliky, E.A.; Gzar, H.A.; Al-Azawy, M.G. Determination of Point of Zero Charge (PZC) of Concrete Particles Adsorbents. OP Conf. Ser. Mater. Sci. Eng. 2021, 1184, 012004. [Google Scholar] [CrossRef]
- Bouteflika, A. Limit Values for the Parameters of Discharges of Industrial Liquid Effluents. Off. J. People’s Democr. Repub. Alger. 2006, 26, 1–27. [Google Scholar]
- Dubois, M.; Gilles, K.A.; Hamilton, J.K.; Rebers, P.A.; Smith, F. Colorimetric Method for Determination of Sugars and Related Substances. Anal. Chem. 1955, 28, 350–356. [Google Scholar] [CrossRef]
- Tawaha, K.; Alali, F.Q.; Gharaibeh, M.; Mohammad, M.; El-Elimat, T. Antioxidant Activity and Total Phenolic Content of Selected Jordanian Plant Species. Food Chem. 2007, 104, 1372–1378. [Google Scholar] [CrossRef]
- Bradford, M.M. A Rapid and Sensitive Method for the Quantitation of Microgram Quantities of Protein Utilizing the Principle of Protein-Dye Binding. Anal. Biochem. 1976, 72, 248–254. [Google Scholar] [CrossRef]
- Khalfaoui, A.; Meniai, A.H. Application of Chemically Modified Orange Peels for Removal of Copper(II) from Aqueous Solutions. Theor. Found. Chem. Eng. 2012, 46, 732–739. [Google Scholar] [CrossRef]
- Louhıchı, G.; Bousselmı, L.; Ghrabı, A.; Khounı, I. Process Optimization via Response Surface Methodology in the Physico-Chemical Treatment of Vegetable Oil Refinery Wastewater. Environ. Sci. Pollut. Res. 2019, 26, 18993–19011. [Google Scholar] [CrossRef]
- Ayat, A.; Arris, S.; Abbaz, A.; Bencheikh-Lehocine, M.; Meniai, A.H. Application of Response Surface Methodology for Modeling and Optimization of a Bio Coagulation Process (Sewage Wastewater Treatment Plant). Environ. Manag. 2021, 67, 489–497. [Google Scholar] [CrossRef]
- Chen, W.H.; Chiu, G.L.; Chyuan Ong, H.; Shiung Lam, S.; Lim, S.; Sik Ok, Y.; Kwon, E.E. Optimization and Analysis of Syngas Production from Methane and CO2 via Taguchi Approach, Response Surface Methodology (RSM) and Analysis of Variance (ANOVA). Fuel 2021, 296, 120642. [Google Scholar] [CrossRef]
- Shakoor, S.; Nasar, A. Utilization of Punica Granatum Peel as an Eco-Friendly Biosorbent for the Removal of Methylene Blue Dye from Aqueous Solution. J. Appl. Biotechnol. Bioeng. 2018, 5, 242–249. [Google Scholar] [CrossRef]
- Benalia, A.; Derbal, K.; Khalfaoui, A.; Pizzi, A.; Medjahdi, G. The Use of Aloe Vera as Natural Coagulant in Algerian Drinking Water Treatment Plant. J. Renew. Mater. 2022, 10, 625–637. [Google Scholar] [CrossRef]
- Benalia, A.; Derbal, K.; Khalfaoui, A.; Bouchareb, R.; Panico, A.; Gisonni, C.; Crispino, G.; Pirozzi, F.; Pizzi, A. Use of Aloe Vera as an Organic Coagulant for Improving Drinking Water Quality. Water 2021, 13, 2024. [Google Scholar] [CrossRef]
- Lawson, D.H. Atomic Force Microscopy and Raman Spectroscopy Study of Tantala Films. Master’s Thesis, University of Glasgow, Glasgow, UK, 2014. [Google Scholar]
- Choong Lek, B.L.; Peter, A.P.; Qi Chong, K.H.; Ragu, P.; Sethu, V.; Selvarajoo, A.; Arumugasamy, S.K. Treatment of Palm Oil Mill Effluent (POME) Using Chickpea (Cicer arietinum) as a Natural Coagulant and Flocculant: Evaluation, Process Optimization and Characterization of Chickpea Powder. J. Environ. Chem. Eng. 2018, 6, 6243–6255. [Google Scholar] [CrossRef]
- Djema, R.; Rahma, F.; Benalia, A.; Derbal, K.; Khalfaoui, A.; Pizzi, A. Extraction and Purification of The Active Substance Contained in The Aloe Vera for Their Use as a Natural Flocculant. All Sci. Abstr. 2023, 1, 2023. [Google Scholar] [CrossRef]
- Khalfaoui, B.; Meniai, A.H. Removal of Copper from Industrial Wastewater by Raw Charcoal Obtained from Reeds. J. Chem. Technol. Biotechnol. 1995, 64, 153–156. [Google Scholar] [CrossRef]
- Khalfaoui, A.; Khelifi, M.N.; Khelfaoui, A.; Benalia, A.; Derbal, K.; Gisonni, C.; Crispino, G.; Panico, A. The Adsorptive Removal of Bengal Rose by Artichoke Leaves: Optimization by Full Factorials Design. Water 2022, 14, 2251. [Google Scholar] [CrossRef]
- Khalfaoui, A.; Bendjamaa, I.; Bensid, T.; Meniai, A.H.; Derbal, K. Effect of Calcination on Orange Peels Characteristics: Application of an Industrial Dye Adsorption. Chem. Eng. Trans. 2014, 38, 361–366. [Google Scholar] [CrossRef]
- Subramonian, W.; Wu, T.Y.; Chai, S.P. A Comprehensive Study on Coagulant Performance and Floc Characterization of Natural Cassia Obtusifolia Seed Gum in Treatment of Raw Pulp and Paper Mill Effluent. Ind. Crops Prod. 2014, 61, 317–324. [Google Scholar] [CrossRef]
- Yin, C.Y. Emerging Usage of Plant-Based Coagulants for Water and Wastewater Treatment. Process Biochem. 2010, 45, 1437–1444. [Google Scholar] [CrossRef]
- Benalia, A. Extraction and Valorization of Active Products from Natural Plants as Biocoagulants Useful in Water Quality Improvement; University of Constantine 3: The New City, Algeria, 2023. [Google Scholar]
- Dao, M.T.; Nguyen, V.C.N.; Tran, T.N.; Nguyen, X.D.; Vo, D.T.; Nguyen, V.K.; Hoang, L.T.T.T. Pilot-Scale Study of Real Domestic Textile Wastewater Treatment Using Cassia Fistula Seed-Derived Coagulant. J. Chem. 2021, 2021, 7608856. [Google Scholar] [CrossRef]
- Abujazar, M.S.S.; Karaağaç, S.U.; Ramadan, H.; Amr, S.S.A.; Alazaiza, M.Y.D. Application of Pinecones Powder as a Natural Coagulants for Sustainable Treatment of Industrial Wastewater. Desalination Water Treat. 2022, 269, 57–64. [Google Scholar] [CrossRef]
- Bahrodin, M.B.; Zaidi, N.S.; Kadier, A.; Hussein, N.; Syafiuddin, A.; Boopathy, R. A Novel Natural Active Coagulant Agent Extracted from the Sugarcane Bagasse for Wastewater Treatment. Appl. Sci. 2022, 12, 7972. [Google Scholar] [CrossRef]
- Muniz, G.L.; da Silva, T.C.F.; Borges, A.C. Assessment and Optimization of the Use of a Novel Natural Coagulant (Guazuma ulmifolia) for Dairy Wastewater Treatment. Sci. Total Environ. 2020, 744, 140864. [Google Scholar] [CrossRef]
- Zhao, Y.; Zhang, L.Y.; Ni, F.; Xi, B.; Xia, X.; Peng, X.; Luan, Z. Evaluation of a Novel Composite Inorganic Coagulant Prepared by Red Mud for Phosphate Removal. Desalination 2011, 273, 414–420. [Google Scholar] [CrossRef]
- Jiang, J.Q.; Graham, N.J.D. Pre-Polymerised Inorganic Coagulants and Phosphorus Removal by Coagulation—A Review. Water SA 1998, 24, 237–244. [Google Scholar]
- Moise, D.D. Coagulation and Flocculation Mechanisms of Dilute Clay Suspensions Encountered in Water Treatment; Paul Sabatier University: Toulouse, France, 2007. [Google Scholar]
- Fox, D.I.; Pichler, T.; Yeh, D.H.; Alcantar, N.A. Removing Heavy Metals in Water: The Interaction of Cactus Mucilage and Arsenate (As (V)). Environ. Sci. Technol. 2012, 46, 4553–4559. [Google Scholar] [CrossRef]
- Jeon, J.R.; Kim, E.J.; Kim, Y.M.; Murugesan, K.; Kim, J.H.; Chang, Y.S. Use of Grape Seed and Its Natural Polyphenol Extracts as a Natural Organic Coagulant for Removal of Cationic Dyes. Chemosphere 2009, 77, 1090–1098. [Google Scholar] [CrossRef]
- Putra, R.S.; Amri, R.Y.; Ayu, M. Turbidity Removal of Synthetic Wastewater Using Biocoagulants Based on Protein and Tannin. AIP Conf. Proc. 2020, 2242, 040028. [Google Scholar] [CrossRef]
- Kifuani, K.M.; Kifuani Kia Mayeko, A.; Noki Vesituluta, P.; Ilinga Lopaka, B.; Ekoko Bakambo, G.; Mbala Mavinga, B.; Muswema Lunguya, J. Adsorption of a Basic Dye, Methylene Blue, in Aqueous Solution, on a Biosorbent from Agricultural Waste of Cucumeropsis Mannii Naudin. Int. J. Biol. Chem. Sci. 2018, 12, 558. [Google Scholar] [CrossRef]
- Mittal, A.; Mittal, J.; Malviya, A.; Kaur, D.; Gupta, V.K. Adsorption of Hazardous Dye Crystal Violet from Wastewater by Waste Materials. J. Colloid Interface Sci. 2010, 343, 463–473. [Google Scholar] [CrossRef]
- Neupane, S.; Ramesh, S.T.; Gandhimathi, R.; Nidheesh, P.V. Pineapple Leaf (Ananas comosus) Powder as a Biosorbent for the Removal of Crystal Violet from Aqueous Solution. Desalination Water Treat. 2015, 54, 2041–2054. [Google Scholar] [CrossRef]
- Ahmad, R. Studies on Adsorption of Crystal Violet Dye from Aqueous Solution onto Coniferous Pinus Bark Powder (CPBP).). J. Hazard. Mater. 2009, 171, 767–773. [Google Scholar] [CrossRef]
- Shoukat, S.; Bhatti, H.N.; Iqbal, M.; Noreen, S. Mango Stone Biocomposite Preparation and Application for Crystal Violet Adsorption: A Mechanistic Study. Microporous Mesoporous Mater. 2017, 239, 180–189. [Google Scholar] [CrossRef]











| Parameters | Unit | Values | |
|---|---|---|---|
| Industrial Tomato Wastewater | Algerian Standards [39] | ||
| Temperature | °C | 20 | 30 |
| pH | / | 7.4 | 6.5–8.5 |
| Salinity | g/L | 2.9 | / |
| Conductivity | ms/cm | 6.68 | / |
| Turbidity | NTU | 247 | 20 |
| TSS | mg/L | 410–428 | 35 |
| COD | mg/L | 1185.36 | 120 |
| Phosphate (PO43−) | mg/L | 47.51 | / |
| Zeta potential | mV | –0.1 | / |
| Parameters | Values |
|---|---|
| Molecular weight | 407.98 |
| Molecular formula | C25H30N3Cl |
| Synonyms IUPAC name | Basic Violet 3, Gentian Violet N-[4-[Bis [4-dimethylamino)-phenyl]-methylene]-2,5-cyclo hexadien-1-ylidine]-N-methyl-methanaminium chloride |
| ʎmax | 589–594 nm |
| Coded Values | Factor | Coded Level | ||
|---|---|---|---|---|
| −1 | 0 | 1 | ||
| X1 | pH | 4 | 7 | 10 |
| X2 | Stirring time (min) | 20 | 70 | 120 |
| X3 | Concentration of CV (mg/L) | 20 | 45 | 70 |
| X4 | Adsorbent dosage (mg/L) | 20 | 110 | 200 |
| Parameters | Unit | PCP | PCER |
|---|---|---|---|
| Surface area (SBET) | m2/g | 50.016 | 55.800 |
| Pore volume (Vp) | cc/g | 0.857 | 0.396 |
| Pore radius (dp) | Å | 61.564 | 61.893 |
| pH | Protein mg/g | Polysaccharide mg/g | Total Phenolic mg/g | |
|---|---|---|---|---|
| Pine cones (DW) | 7 | 5.88 | 33.62 | 3.29 |
| Pine cones (NaCl 1 M) | 6.32 | 7.18 | 29.11 | 5.48 |
| Standard Run | pH X1 | Stirring Time (min) X2 | Concentration of CV (mg/L) X 3 | Adsorbent Dosage (mg/L) X4 | Removal of Crystal Violet (%) |
|---|---|---|---|---|---|
| 1 | 4 | 20 | 45 | 110 | 65.38 |
| 2 | 10 | 20 | 45 | 110 | 70.87 |
| 3 | 4 | 120 | 45 | 110 | 70.12 |
| 4 | 10 | 120 | 45 | 110 | 99.99 |
| 5 | 7 | 70 | 20 | 20 | 68.82 |
| 6 | 7 | 70 | 70 | 20 | 40.94 |
| 7 | 7 | 70 | 20 | 200 | 65.37 |
| 8 | 7 | 70 | 70 | 200 | 76.80 |
| 9 | 4 | 70 | 45 | 20 | 49.79 |
| 10 | 10 | 70 | 45 | 20 | 97.98 |
| 11 | 4 | 70 | 45 | 200 | 86.71 |
| 12 | 10 | 70 | 45 | 200 | 80.22 |
| 13 | 7 | 20 | 20 | 110 | 36.28 |
| 14 | 7 | 120 | 20 | 110 | 85.46 |
| 15 | 7 | 20 | 70 | 110 | 36.4 |
| 16 | 7 | 120 | 70 | 110 | 44.34 |
| 17 | 4 | 70 | 20 | 110 | 58.64 |
| 18 | 10 | 70 | 20 | 110 | 99.56 |
| 19 | 4 | 70 | 70 | 110 | 69.90 |
| 20 | 10 | 70 | 70 | 110 | 58.77 |
| 21 | 7 | 20 | 45 | 20 | 45.96 |
| 22 | 7 | 120 | 45 | 20 | 57.48 |
| 23 | 7 | 20 | 45 | 200 | 51.39 |
| 24 | 7 | 120 | 45 | 200 | 85.12 |
| 25 | 7 | 70 | 45 | 110 | 57.29 |
| 26 | 7 | 70 | 45 | 110 | 57.41 |
| 27 | 7 | 70 | 45 | 110 | 57.55 |
| Source of Variance | Degree of Freedom | Sum of Square (SS) | Mean Square (MS) | F-Value | p-Value |
|---|---|---|---|---|---|
| Model | 14 | 8685.62 | 620.40 | 24.23 | 0.000 |
| Linear | 4 | 3725.47 | 931.37 | 36.38 | 0.000 |
| X1 | 1 | 951.13 | 951.13 | 37.15 | 0.000 |
| X2 | 1 | 1546.60 | 1546.60 | 60.41 | 0.000 |
| X3 | 1 | 630.55 | 630.55 | 24.63 | 0.000 |
| X4 | 1 | 597.19 | 597.19 | 23.33 | 0.000 |
| Square | 4 | 2452.38 | 613.10 | 23.95 | 0.000 |
| X12 | 1 | 1731.87 | 1731.87 | 67.64 | 0.000 |
| X22 | 1 | 18.69 | 18.69 | 0.73 | 0.410 |
| X32 | 1 | 42.11 | 42.11 | 1.64 | 0.224 |
| X42 | 1 | 152.77 | 152.77 | 5.97 | 0.031 |
| 2-Way Interaction | 6 | 2507.77 | 417.96 | 16.33 | 0.000 |
| X1X2 | 1 | 148.60 | 148.60 | 5.80 | 0.033 |
| X1X3 | 1 | 677.00 | 677.00 | 26.44 | 0.000 |
| X1X4 | 1 | 747.31 | 747.31 | 29.19 | 0.000 |
| X2X3 | 1 | 425.12 | 425.12 | 16.60 | 0.002 |
| X2X4 | 1 | 123.38 | 123.38 | 4.82 | 0.049 |
| X3X4 | 1 | 386.35 | 386.35 | 15.09 | 0.002 |
| Error | 12 | 307.23 | 25.60 | ||
| Lack-of-fit | 10 | 307.20 | 30.2 | 1845.99 | 0.001 |
| Pure Error | 2 | 0.03 | 0.02 | ||
| Total | 26 | 8992.85 |
| Variables | Unit | Optimum Values |
|---|---|---|
| pH | - | 10 |
| Stirring time | min | 120 |
| Concentration of CV | mg/L | 20 |
| Adsorbent dosage | mg/L | 20 |
Disclaimer/Publisher’s Note: The statements, opinions and data contained in all publications are solely those of the individual author(s) and contributor(s) and not of MDPI and/or the editor(s). MDPI and/or the editor(s) disclaim responsibility for any injury to people or property resulting from any ideas, methods, instructions or products referred to in the content. |
© 2024 by the authors. Licensee MDPI, Basel, Switzerland. This article is an open access article distributed under the terms and conditions of the Creative Commons Attribution (CC BY) license (https://creativecommons.org/licenses/by/4.0/).
Share and Cite
Baatache, O.; Derbal, K.; Benalia, A.; Aberkane, I.; Guizah, Q.E.; Khalfaoui, A.; Pizzi, A. Valorization of Pine Cones (Pinus nigras) for Industrial Wastewater Treatment and Crystal Violet Removal: A Sustainable Approach Based on Bio-Coagulants and a Bio-Adsorbent. Water 2024, 16, 260. https://doi.org/10.3390/w16020260
Baatache O, Derbal K, Benalia A, Aberkane I, Guizah QE, Khalfaoui A, Pizzi A. Valorization of Pine Cones (Pinus nigras) for Industrial Wastewater Treatment and Crystal Violet Removal: A Sustainable Approach Based on Bio-Coagulants and a Bio-Adsorbent. Water. 2024; 16(2):260. https://doi.org/10.3390/w16020260
Chicago/Turabian StyleBaatache, Ouiem, Kerroum Derbal, Abderrezzaq Benalia, Ines Aberkane, Qamar Ezamene Guizah, Amel Khalfaoui, and Antonio Pizzi. 2024. "Valorization of Pine Cones (Pinus nigras) for Industrial Wastewater Treatment and Crystal Violet Removal: A Sustainable Approach Based on Bio-Coagulants and a Bio-Adsorbent" Water 16, no. 2: 260. https://doi.org/10.3390/w16020260
APA StyleBaatache, O., Derbal, K., Benalia, A., Aberkane, I., Guizah, Q. E., Khalfaoui, A., & Pizzi, A. (2024). Valorization of Pine Cones (Pinus nigras) for Industrial Wastewater Treatment and Crystal Violet Removal: A Sustainable Approach Based on Bio-Coagulants and a Bio-Adsorbent. Water, 16(2), 260. https://doi.org/10.3390/w16020260

