Occurrence and Speciation of Pollutants in Guilin Huixian Wetland: Nutrients, Microplastics, Heavy Metals, and Emerging Contaminants
Abstract
1. Introduction
2. Materials and Methods
3. Results
3.1. Water Chemistry Conditions
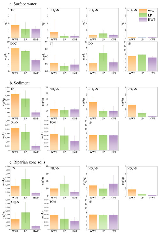
3.2. Spatiotemporal Distribution Characteristics of Nutrients
3.3. Heavy Metal Content and Pollution Status
3.4. Pollution Status of Emerging Contaminants
3.4.1. Antibiotic Pollution Status
- Antibiotics are released into the environment in their original form or as metabolites through feces and urine. In Huixian Wetland, antibiotics have been detected in varying degrees in soil, sediments, and water. Although the concentrations of antibiotics in the environment are generally low and have a weak direct impact on the ecological environment and human health, they can increase bacterial resistance, which poses a risk to human health [40].
- Xia Feiyang et al. [41] detected four types of antibiotics in surface water and sediments of Huixian Wetland. The average concentrations of these antibiotics during the summer and autumn seasons were as follows: tetracyclines > fluoroquinolones > sulfonamides > antimicrobial enhancers. This distribution was suspected to be influenced by surrounding aquaculture activities. Plants can accumulate antibiotics from surface water sediments, and the average concentrations of the four types of antibiotics in plant tissues were ranked as follows: antimicrobial enhancers > fluoroquinolones > sulfonamides > tetracyclines.
- In 2018, a total of 12 typical antibiotics were detected in the wetland, with 10 types found in aquaculture water and 8 types in surface water, while 5 types were detected in the soil. Among these, sulfa-dimethoxine (SMD) was the most frequently detected in aquaculture water, posing a high potential ecological risk, while sulfa-chloropyridine (SCP) had the highest concentration in surface water, representing a moderate potential ecological risk. The increase in antibiotic concentrations in water bodies is attributed to external pollution and the development of aquaculture within the wetland [42]. The conversion of most natural lakes and wastelands into fish farms has impacted the water quality and the original hydrological conditions of Huixian Wetland. Livestock farming and fish farms discharge sulfonamides into the environment. To mitigate the ecological and health risks posed by sulfonamides, Qin et al. [43] investigated the presence and spatial distribution of sulfonamides in four main aquatic environments of the wetland (including aquaculture water, ditch water, wetland water, and groundwater). Monitoring results showed that the concentration of sulfonamides in surface water ranged from 0 to 1281.50 µg/L, while in groundwater it ranged from 0 to 20.06 µg/L. The highest concentration was found in ditch water, and the lowest in groundwater. Ecological and human health risk assessments using green algae indicated that sulfamethoxazole and sulfamethoxypyridazine posed high ecological risks in both surface and groundwater, with sulfamethoxazole being particularly risky in ditch water. Therefore, sulfonamides pose an ecological risk to the wetland system and require effective pollution control measures.
3.4.2. Organochlorine Pesticides (OCPs) Content and Pollution Status
- Agriculture is the primary economic source around the Huixian Wetland. Organochlorine pesticides (OCPs), known for their high efficiency and low cost, are widely used in agricultural activities. However, the extensive use of these pesticides affects OCP concentrations in water, soil, and the atmosphere [44,45]. Additionally, atmospheric transport and deposition processes, such as wet and dry deposition, also play a significant role in influencing OCP levels in the study area [46].
- Research on OCPs in the water and soil of Huixian Wetland has already been conducted. Table 3 Range of Organochlorine Pesticides (OCPs) Concentrations in Different Environmental Media of Huixian Wetland. In 2016–2017, Fu Xin et al. [47] conducted the first study on OCPs in the water bodies of Huixian Wetland. The average total OCP residues in lakes, ditches, and shallow groundwater were 137 ng/L, 137 ng/L, and 38.6 ng/L, respectively. Analyzing the concentration ranges and standard deviations, the results indicate that OCP pollution in surface water is at a high level, while in shallow groundwater, it is at a moderate level. Hexachlorocyclohexane (HCHs) was found to be the dominant pollutant, accounting for over 61.7% of the total OCPs. The risk assessment results revealed that OCPs posed medium to high risks to the aquatic ecosystem.
- Additionally, the temporal and spatial analysis showed that OCP concentrations were highest during the summer in agricultural areas, likely due to the concentrated planting of rice during this period. As agricultural land is the primary land use type surrounding the wetland, it is essential to evaluate the ecological risk of OCPs in the soil. Cheng Cheng et al. [46] collected soil samples from different land use types and confirmed that agricultural activities significantly contributed to elevated OCP levels. Component analysis showed that the main OCPs in agricultural soil samples were DDTs and MXC (methoxychlor), accounting for 39.2% and 30.5%, respectively. Fortunately, the overall OCP levels in the surface soils of the study area were relatively low, and the ecological risks were also minimal.
- Yu Yue et al. [48] conducted a health risk assessment based on Monte Carlo simulations. The results indicated that while OCPs in water posed a potential health risk to humans, the risk was within an acceptable range, and the residual levels were insufficient to cause non-carcinogenic harm. Currently, OCPs pose a low to moderate ecological risk; however, potential risks still exist. Therefore, proper management of OCPs usage in agricultural areas is necessary to mitigate further risks.
| Sampling Time | Medium | Concentration Range | Average Concentration | Reference |
|---|---|---|---|---|
| August 2018–January 2019 | Wetland Lake | ND–182.59(ng/L) | 11.633(ng/L) | [49] |
| August 2018–January 2019 | Agricultural Ditch Water | ND–146.636(ng/L) | 16.813(ng/L) | [49] |
| November 2019 | Surface Soil | 3.56–69.7(ng/g) | 14(ng/g) | [46] |
| December 2019 (Dry Season) | Water | 4.33–47.30(ng/L) | 12.2(ng/L) | [48] |
| August 2020 (Wet Season) | Water | 3.17–92.50(ng/L) | 21.15(ng/L) | [48] |
| December 2019 (Dry Season) | Surface Sediment | 2.99–219.52(ng/g) | 39.25(ng/g) | [48] |
| August 2020(Wet Season) | Surface Sediment | 1.12–56.16(ng/g) | 10.80(ng/g) | [48] |
| August 2020 | Well Water (Farmhouses) | 5.76–15.4(ng/L) | 10.58(ng/L) | [48] |
3.4.3. Microplastic Pollution Status
- Microplastics are emerging pollutants, defined as plastic fragments and particles with a diameter of less than 5 mm [50]. In recent years, microplastics have been reported in various environments, including oceans [51], lakes [52], terrestrial areas [53], and wastewater [54]. Microplastics can enter the environment through atmospheric deposition, tides, aquaculture, wastewater treatment plant discharges, and agricultural waste. They accumulate in organisms and pose risks to them through biological magnification via the food chain. The transport of microplastics in aquatic environments is influenced by factors such as density, shape, size, and hydrodynamics of the water system. The most common polymers found are polyethylene (PE), polypropylene (PP), and polystyrene (PS), followed by polyethylene terephthalate (PET) and polyamide (PA) [55]. In Huixian Wetland, the predominant microplastic polymers are PE and PP. Due to their lower density, PE and PP are more likely to migrate in surface water, resulting in higher proportions of these polymers in surface water compared to sediment.
- Table 4 summarizes the distribution of microplastics in Huixian Wetland. The abundance of microplastics in the wetland is spatially correlated with population density. Areas like Hehuatang Wharf, Maojia Wharf, and Qixing Wharf, which have higher population densities due to concentrated economic activities and better transportation, exhibit significantly higher microplastic abundance. High-intensity human activities, whether in urban or rural areas, tend to create hotspots for microplastics. Tourist areas, fishing and agriculture-intensive zones, and densely populated villages have higher microplastic abundances compared to other regions.
- Chen Yan [56] found that the temporal characteristic of microplastics in Huixian Wetland shows higher abundance during the dry season compared to the wet season. The abundance of microplastics in sediments varies between different water periods, primarily influenced by hydrological factors. Frequent rainfall during the wet season disrupts riverbed sediments, releasing microplastics from sediments into the water, thereby reducing the sediment microplastic abundance. In the water and sediments, transparent microplastics constitute 32.02% and 39.35% respectively, followed by black (17.97% and 17.75%), with white, red, blue, purple, green, and yellow in descending order of abundance. Feiyang Xia [57] found that underwater exchange processes capture or retain more particles smaller than 100 µm in sediments, while microplastics sized 100–500 µm are more prevalent in surface waters. Additionally, the microplastics’ surfaces contain inorganic non-metallic elements like C, O, B, Si, and various metallic elements such as Al, Fe, Ca, Zr, and platinum. Huixian Wetland acts as a sink for microplastics, with primary sources including rural domestic wastewater discharge, aquaculture, agricultural production, and tourism activities. Point source emissions are the major contributors of microplastics to the wetland. To protect the wetland ecosystem, controlling the emission of microplastics from their sources is essential.
| Sampling Time | Medium | Abundance | Physical Characteristics | Polymer Type | Reference |
|---|---|---|---|---|---|
| October 2019 (Dry Season) | Surface Water | 16.5 ± 4.4 − 89.0 ± 14.2 items/L | Primarily ranging from 50 to 500 µm; consisting of fibers, films, and fragments; surfaces exhibit fractures and cracks | PE:37.6% PP:24.7% PVC:15.3% PA:11.8% PS:10.6% | [57] |
| October 2019 (Dry Season) | Sediment | (16.8 ± 14.0) × 103 − (52.8 ± 5.1) × 103 items/kg | Primarily ranging from 50 to 500 µm; consisting of fibers, films, and fragments; surfaces exhibit fractures and cracks | PE:32.2% PP:23.0% PVC:18.4% PA:14.9% PS:11.5% | [57] |
| May 2021 (Wet Season) | Surface Water | 5466.7 − 24,333.3 n/m3 | 0.45 μm to 0.5 mm in diameter: 29.43% Fibrous: 55.59% Film-like: 24.37% Fragmented: 19.81% Granular: 0.23% | PE:37.99% PS:14.44% PP:25.12% PET:17.43% | [56] |
| October 2021 (Dry Season) | Surface Water | 12,713.3 − 34,906.7 n/m3 | 0.45 μm to 0.5 mm in diameter: 34.80% Fibrous: 52.63% Film-like: 26.14% Fragmented: 21.06% Granular: 0.17% | PE:42.78% PS:17.85% PP:22.55% PET:14.23% | [56] |
| May 2021 (Wet Season) | Sediment | 3380.0 − 14,533.3 n/kg | 0.45 μm to 0.5 mm in diameter: 36.02% Fragmented: 43.05% Film-like: 33.11% Fibrous: 28.28% Granular: 0.36% | PE:26.84% PS:21.51% PP:16.80% PET:29.05% | [56] |
| October 2021 (Dry Season) | Sediment | 11,866.7 − 42,486.7 n/kg | 0.45 μm to 0.5 mm in diameter: 40.41% Fragmented: 38.25% Film-like: 33.18% Fibrous: 23.67% Granular: 0.10% | PE:30.50% PS:19.76% PP:13.94% PET:32.37% | [56] |
3.5. Biodiversity Characteristics
3.6. Protection Measures
- Livestock and Poultry Farming Pollution: All livestock and poultry farming enterprises within the wetland area were required to relocate within a set timeframe. Enterprises on both sides of the Guigui and Liuyun Canals without environmental approval were shut down in accordance with the law. Those with environmental approval were required to manage waste following principles of reduction, resource utilization, and harmlessness. Strict measures were enforced to prevent livestock wastewater from entering the Guigui and Liuyun Canals.
- Agricultural Pollution: The government encouraged and promoted the use of biological pesticides or highly effective, low-toxicity, and low-residue pesticides. Integrated pest management, biological control techniques, and scientific fertilization were advocated, including soil testing and formulation-based fertilization. Farmers were also encouraged to recycle agricultural film.
- Solid Waste Management: The sale and use of single-use foam food containers and non-degradable plastic bags were banned within the wetland area. A comprehensive cleanup of waste was conducted, and necessary disinfection was carried out in areas with severe waste pollution to prevent disease spread.
- Biodiversity Restoration: Efforts were made to restore aquatic biodiversity by utilizing the existing micro-topography and landforms of lakes and rivers. This included planting submerged, floating-leaved, emergent, and wetland plants to restore and reconstruct a complete aquatic plant community structure. The goal was to restore the wetland ecosystem’s functions by leveraging the physical, chemical, and biological interactions among substrates, aquatic plants, and microorganisms to purify the water through filtration, interception, adsorption, sedimentation, ion exchange, plant absorption, and microbial decomposition.
4. Discussion
Author Contributions
Funding
Data Availability Statement
Conflicts of Interest
References
- Costanza, R. Nature: Ecosystems without commodifying them. Nature 2006, 443, 749. [Google Scholar] [CrossRef] [PubMed]
- Tiner, R.W. Assessing cumulative loss of wetland functions in the Nanticoke River watershed using enhanced National Wetlands Inventory data. Wetlands 2005, 25, 405–419. [Google Scholar] [CrossRef]
- Gardner, R.C.; Barchiesi, S.; Beltrame, C.; Finlayson, C.M.; Galewski, T.; Harrison, I.; Paganini, M.; Perennou, C.; Pritchard, D.E.; Rosenqvist, A.; et al. 2018 Ramsar Convention on Wetlands Global Wetland Outlook: State of the World’s Wetlands and Their Services to People, 1st ed.; Ramsar Convention Secretariat: Gland, Switzerland, 2008. [Google Scholar]
- Meng, W.; He, M.; Hu, B.; Mo, X.; Li, H.; Liu, B.; Wang, Z. Status of wetlands in China: A review of extent, degradation, issues and recommendations for improvement. Ocean Coast. Manag. 2017, 146, 50–59. [Google Scholar] [CrossRef]
- Sun, Z.; Sun, W.; Tong, C.; Zeng, C.; Yu, X.; Mou, X. China’s coastal wetlands: Conservation history, implementation efforts, existing issues and strategies for future improvement. Environ. Int. 2015, 79, 25–41. [Google Scholar] [CrossRef]
- Xiao, H.; Shahab, A.; Li, J.; Xi, B.; Sun, X.; He, H.; Yu, G. Distribution, ecological risk assessment and source identification of heavy metals in surface sediments of Huixian karst wetland, China. Ecotoxicol. Environ. Saf. 2019, 185, 109700. [Google Scholar] [CrossRef]
- Huang, K.C.; Shen, Y.Y.; Xu, G.P.; Huang, Y.Q.; Zhang, D.A.; Sun, Y.J.; Li, Y.Q.; He, W.; Zhou, L.W. Effects of reclamation on soil nutrients and microbial activity in the Guixian Karst Wetland, Guilin. Environ. Sci. 2018, 39, 1813–1823. [Google Scholar]
- Li, S.J.; Cai, D.S.; Zhang, H.; Shen, D.; Zhao, X.; Li, C. Preliminary study on sediment records of environmental changes in the Guixian Karst Wetland, Guilin. J. Guangxi Norm. Univ. 2009, 27, 94–100. [Google Scholar]
- Chen, J.; Luo, M.; Ma, R.; Zhou, H.; Zou, S.; Gan, Y. Nitrate distribution under the influence of seasonal hydrodynamic changes and human activities in Huixian karst wetland, South China. J. Contam. Hydrol. 2020, 234, 103700. [Google Scholar] [CrossRef]
- Li, Y.Q.; Shen, Y.Y.; Huang, Y.Q.; Xu, G.P.; Pu, G.Z.; He, C.X.; Wang, X.G.; Mo, L. Differences in soil nutrient distribution and microbial activity characteristics among different plant communities in the Guixian Karst Wetland. Ecol. Sci. 2018, 37, 24–34. [Google Scholar] [CrossRef]
- Zhang, L.H.; Wu, Y.Q.; Zhu, Z.Q.; Li, Y.H.; Song, X.H.; Xiong, J.W.; Huang, S. Sedimentation rate of sediments in the Guixian Karst Wetland. Wetl. Sci. 2021, 19, 255–260. [Google Scholar]
- Jiao, Y.; Pan, X.; Zeng, J.; Ren, K.; Peng, C.; Liang, J. Study on the characteristics of groundwater divide movement in the Guixian Karst Wetland. Wetl. Sci. 2021, 19, 137–146. [Google Scholar] [CrossRef]
- Li, J.; Zou, S.Z.; Zhao, Y.; Zhao, R.K.; Dang, Z.W.; Pan, M.Q.; Zhu, D.N.; Zhou, C.S. Major ion characteristics and genesis analysis of groundwater in the Guixian Karst Wetland. Environ. Sci. 2021, 42, 1750–1760. [Google Scholar] [CrossRef]
- Zou, S.Z.; Yang, J.; Zhou, C.S.; Fan, L.J.; Lu, L.; Lin, Y.S.; Wang, J. Guilin Huixian Karst Wetland Landscape Types and Their Aesthetic Value. China Min. 2023, 32, 110–113. [Google Scholar] [CrossRef]
- Qin, Y.H. Current Status and Protection Management Measures of Guixian Karst National Wetland Park in Guilin, Guangxi. South. Agric. 2023, 17, 229–231. [Google Scholar]
- Hu, G.F.; Zhang, Z.Y.; He, Y.Q.; Pu, T. Analysis of water-rock interactions and ion characteristics in the hydrological system of typical karst basins in the southwest region during summer. Bull. Soil Water Conserv. 2011, 31, 21–25. [Google Scholar]
- Zhang, Q.; Kang, S.; Li, C.; Chen, F.; Boukalova, Z.; Cerny, I. Assessment of elemental distribution and trace element contamination in surficial wetland sediments, Southern Tibetan Plateau. Environ. Monit. Assess. 2011, 177, 301–313. [Google Scholar] [CrossRef]
- Regulations on the Protection and Management of Guixian Karst National Wetland Park, Guilin. Guilin Daily, 29 December 2022.
- Khan, K.S.; Kunz, R.; Kleijnen, J.; Antes, G. Five steps to conducting a systematic review. J. R. Soc. Med. 2003, 96, 118–121. [Google Scholar] [CrossRef]
- Li, J.; Zhao, Y.; Lan, F.N.; Zhou, C.S.; Lin, Y.S.; Zou, S.Z. Hydrochemical characteristics and microbial status of the typical karst wetland in Guilin. People’s Yangtze River 2021, 52, 37–43. [Google Scholar] [CrossRef]
- Leng, M.; Feng, L. Assessment of Water Eutrophication at Bao’an Lake in the Middle Reaches of the Yangtze River Based on Multiple Methods. Int. J. Environ. Res. Public Health 2023, 20, 4615. [Google Scholar] [CrossRef]
- Jiang, L. Study on Bacterial Community Structure and Its Correlation with Environmental Factors in the Ecological Restoration of Huixian Wetland; Guilin University of Technology: Guangxi, China, 2019. [Google Scholar]
- Han, J.L.; Dai, J.F.; Xie, X.L. Characteristics of Temporal and Spatial Distribution of Soil Nutrients in the Small Watershed of Huixian Wetland. People’s Yangtze River 2022, 53, 70–77. [Google Scholar] [CrossRef]
- Zhang, Y.M.; Wang, J.; Meng, K.; Zhao, L. Temporal and spatial changes of nutrient content and eutrophication condition in waters of the abandoned yellow river delta. Appl. Ecol. Environ. Res. 2019, 17, 14069–14085. [Google Scholar] [CrossRef]
- Temino-Boes, R.; Romero-Lopez, R.; Patricia, I.-Z.S.; Romero, I. Using grey clustering to evaluate nitrogen pollution in estuaries with limited data. Sci. Total Environ. 2020, 722, 137964. [Google Scholar] [CrossRef] [PubMed]
- Yang, X.E.; Wu, X.; Hao, H.L.; He, Z.L. Mechanisms and assessment of water eutrophication. J. Zhejiang Univ. Sci. B 2008, 9, 197–209. [Google Scholar] [CrossRef] [PubMed]
- Lu, Z.J.; Hou, M.Z.; Liang, S.C. Distribution of Phosphatase Activity Levels in Overlying Water During the Dry Season in the Central Area of Huixian Wetland. J. Guangxi Norm. Univ. (Nat. Sci. Ed.) 2011, 29, 76–81. [Google Scholar] [CrossRef]
- Li, L.X.; Li, J.C.; Wei, C.M.; Zhou, J.; Zhang, Q.; Liu, H.L.; Wang, J.; Qiao, Z.H. Analysis and Evaluation of Water Quality Status in Huixian Wetland, Guangxi. J. Guilin Univ. Technol. 2019, 39, 693–699. [Google Scholar]
- Liu, X.N. Study on Nitrogen Element Migration and Transformation Based on Anaerobic Ammonia Oxidation Process in Huixian Wetland, Guilin; Guilin University of Technology: Guangxi, China, 2021. [Google Scholar]
- Morshdy, A.E.M.A.; Darwish, W.S.; Daoud, J.R.M.; Sebak, M.A.M. Estimation of metal residues in Oreochromis niloticus and Mugil cephalus intended for human consumption in Egypt: A health risk assessment study with some reduction trials. J. Consum. Prot. Food Saf. 2019, 14, 81–91. [Google Scholar] [CrossRef]
- Lin, J.; Yan, H.Y.; Yang, G.H. Distribution Characteristics of Mercury in Biofilms and Sediments of Typical Mercury-Contaminated Rivers. Earth Environ. 2020, 48, 341–347. [Google Scholar] [CrossRef]
- Li, M.S.; Luo, Y.P.; Su, Z.Y. Heavy metal concentrations in soils and plant accumulation in a restored manganese mineland in Guangxi, South China. Environ. Pollut. 2007, 147, 168–175. [Google Scholar] [CrossRef]
- Cnemc, C. Background Values of Soil Elements in China; China Environment Science Press: Beijing, China, 1990. [Google Scholar]
- Huang, L.; Rad, S.; Xu, L.; Gui, L.; Song, X.; Li, Y.; Wu, Z.; Chen, Z. Heavy Metals Distribution, Sources, and Ecological Risk Assessment in Huixian Wetland, South China. Water 2020, 12, 431. [Google Scholar] [CrossRef]
- Zhang, H.; Jiang, Y.; Ding, M.; Xie, Z. Level, source identification, and risk analysis of heavy metal in surface sediments from river-lake ecosystems in the Poyang Lake, China. Environ. Sci. Pollut. Res. 2017, 24, 21902–21916. [Google Scholar] [CrossRef]
- Xu, L. Distribution Characteristics and Risk Assessment of Soil Heavy Metals in Huixian Wetland, Guangxi; Guilin University of Technology: Guangxi, China, 2017. [Google Scholar]
- Li, J.; Zhao, Y.I.; Zou, S.Z.; Lan, F.N.; Fan, L.J.; Xie, H.; Qin, Y.; Zhu, D.N. Pollution and Health Risks of Metal Elements in Groundwater During the Flood and Drought Periods in Huixian Karst Wetland. Environ. Sci. 2021, 42, 184–194. [Google Scholar] [CrossRef]
- Li, J.; Zou, S.Z.; Liang, Y.P.; Lin, Y.S.; Zhou, C.S.; Zhao, Y. Distribution and Health Risk Assessment of Metal Elements in the Water of Huixian Karst Wetland. Environ. Sci. 2020, 41, 4948–4957. [Google Scholar] [CrossRef]
- Zhu, D.N.; Zou, S.Z.; Li, J.; Fan, L.J.; Zhao, Y.; Xie, H.; Zhu, T.L.; Pan, M.Q.; Xu, L. Surface Water Pollution and Irrigation Suitability Assessment During the Flood and Drought Periods in Huixian Karst Wetland. Environ. Sci. 2021, 42, 2240–2250. [Google Scholar] [CrossRef]
- Berglund, B.; Khan, G.A.; Weisner, S.E.B.; Ehde, P.M.; Fick, J.; Lindgren, P.-E. Efficient removal of antibiotics in surface-flow constructed wetlands, with no observed impact on antibiotic resistance genes. Sci. Total Environ. 2014, 476, 29–37. [Google Scholar] [CrossRef]
- Xiao, F.Y.; Ma, D.D.; Zhang, J.; Wang, D.Q. Characteristics and Risk Assessment of Antibiotic Pollution in Typical Rivers of Huixian Wetland. J. Guilin Univ. Technol. 2021, 41, 174–182. [Google Scholar]
- Peng, C.; Ba, J.J.; Hu, F.; Pan, X.D.; Jiao, Y.J.; Ren, K.; Zeng, J.; Liang, J.P. Characteristics of Typical Antibiotic Pollution and Ecological Risk Assessment in Huixian Karst Wetland, Guangxi. Acta Sci. Circumstantiae 2019, 39, 2207–2217. [Google Scholar] [CrossRef]
- Qin, L.T.; Pang, X.R.; Zeng, H.H.; Liang, Y.P.; Mo, L.Y.; Wang, D.Q.; Dai, J.F. Ecological and human health risk of sulfonamides in surface water and groundwater of Huixian karst wetland in Guilin, China. Sci. Total Environ. 2020, 708, 134552. [Google Scholar] [CrossRef]
- Bai, J.; Lu, Q.; Zhao, Q.; Wang, J.; Gao, Z.; Zhang, G. Organochlorine pesticides (OCPs) in wetland soils under different land uses along a 100-year chronosequence of reclamation in a Chinese estuary. Sci. Rep. 2015, 5, 17624. [Google Scholar] [CrossRef]
- Guo, W.; Zhang, H.; Huo, S. Organochlorine pesticides in aquatic hydrophyte tissues and surrounding sediments in Baiyangdian wetland, China. Ecol. Eng. 2014, 67, 150–155. [Google Scholar] [CrossRef]
- Cheng, C.; Liu, W.J.; Hu, T.P.; Xing, X.L.; Shi, M.M.; Xu, A.; Su, Y.W.; Li, X.Y.; Yu, H.K.; Qi, S.H. Current Status of Organochlorine Pesticide Pollution in Surface Soil of Huixian Wetland, Guilin. J. Agric. Environ. Sci. 2021, 40, 371–381. [Google Scholar] [CrossRef]
- Fu, X.; Ling, Y.P.; Qin, L.T.; Zeng, H.H.; Mo, L.Y.; Wang, D.Q.; Qin, L.M. Distribution Characteristics of Organochlorine Pesticides and Environmental Risk Assessment of Mixtures in the Water of Huixian Karst Wetland, Guilin. J. Agric. Environ. Sci. 2018, 37, 974–983. [Google Scholar] [CrossRef]
- Yu, Y.; Xing, X.L.; Cheng, C.; Liu, W.J.; Zhang, B.; Kong, X.S.; Li, M.; Yu, H.K.; Luo, W.Z.; Qi, S.H. Pollution Characteristics of Organochlorine Pesticides in Water and Sediments of Huixian Karst Wetland, Guilin. Environ. Sci. 2023, 44, 1387–1396. [Google Scholar] [CrossRef]
- Zhang, J.W.; Zeng, S.S.; Liang, Y.P.; Qin, L.T.; Zen, H.H.; Ma, C.Y. Pollution Characteristics and Ecological Risk of Organophosphorus Pesticides in the Water of Huixian Wetland. J. Agric. Environ. Sci. 2021, 40, 1990–1997. [Google Scholar]
- Thompson, R.C.; Olsen, Y.; Mitchell, R.P. Lost at Sea: Where Is All the Plastic? Science 2004, 304, 838. [Google Scholar] [CrossRef] [PubMed]
- Luqman, H.; Anju, A.A.; Yoga, R.P. Microplastic pollution profile in the Indian Ocean of the Southern Java Island, Indonesia. Environ. Chall. 2023, 13, 100786. [Google Scholar] [CrossRef]
- Danial, N.; Alireza, S.M.; Ali, A. First Report of Occurrence, Distribution, and Characterization of Macro- and Microplastics in the Freshwater: A Case Study on Sarab Niloofar Lake, Kermanshah, Iran. Water Air Soil Pollut. 2023, 234, 753. [Google Scholar] [CrossRef]
- Vito, C.; Daniela, M.; Maria, L. Microplastics in inland and offshore sediments in the Apulo-Lucanian region (Southern Italy). Mar. Pollut. Bull. 2023, 197, 115775. [Google Scholar] [CrossRef]
- Kong, W.; Jalalah, M.; Alsareii, S.A.; Harraz, F.A.; Almadiy, A.A.; Zheng, Y.; Thakur, N.; Salama, E.-S. Microplastics (MPs) in wastewater treatment plants sludges: Substrates, digestive properties, microbial communities, mechanisms, and treatments. J. Environ. Chem. Eng. 2023, 11, 111408. [Google Scholar] [CrossRef]
- Mancini, M.; Solari, L.; Colomer, J.; Serra, T. Retention of microplastics by interspersed lagoons in both natural and constructed wetlands. J. Water Process Eng. 2023, 56, 104559. [Google Scholar] [CrossRef]
- Chen, Y.; Zhang, L.H. The week is like the moon; A surname; Zhong Shan; Liu Junyong. Temporal and Spatial Distribution Characteristics of Microplastics and Their Influencing Factors in Huixian Karst Wetland. J. Ecol. Rural Environ. 2023, 39, 934–942. [Google Scholar] [CrossRef]
- Xia, F.Y.; Liu, H.T.; Zhang, J.; Wang, D.Q. Migration characteristics of microplastics based on source-sink investigation in a typical urban wetland. Water Res. 2022, 213, 118154. [Google Scholar] [CrossRef] [PubMed]
- Guangping, X.; Yanqiong, L.; Yuyi, S.; Denan, Z.; Yingjie, S.; Zhongfeng, Z.; Longwu, Z.; Chunyan, D. Characteristics of Soil Organic Carbon and Its Components in Different Plant Communities Under Water Level Gradients in Huixian Karst Wetland, Guilin. Environ. Sci. 2019, 40, 1491–1503. [Google Scholar] [CrossRef]
- Zhang, C.; Xie, Y.Q.; Ning, L.D.; Yu, H.; Wang, J.L.; Li, F. Characteristics of δ~ (13)C in Typical Aquatic Plants and Carbon Sequestration Estimation in Huixian Karst Wetland, Guilin. Carso Cave 2013, 32, 247–252. [Google Scholar] [CrossRef]
- Wang, X.; Li, W.; Xiao, Y.; Cheng, A.; Shen, T.; Zhu, M.; Yu, L. Abundance and diversity of carbon-fixing bacterial communities in karst wetland soil ecosystems. Catena 2021, 204, 105418. [Google Scholar] [CrossRef]
- Yan, Z.; Shen, T.; Li, W.; Cheng, W.; Wang, X.; Zhu, M.; Yu, Q.; Xiao, Y.; Yu, L. Contribution of microalgae to carbon sequestration in a natural karst wetland aquatic ecosystem: An in-situ mesocosm study. Sci. Total Environ. 2021, 768, 144387. [Google Scholar] [CrossRef]
- Shen, Y.Y.; Zhang, D.N.; Xu, G.P.; Teng, Q.M.; Zhou, L.W.; Huang, K.C.; Mou, Z.Y.; Sun, Y.J. Carbon Isotope (δ~(13)C) Characteristics of Leaves from Three Typical Plants in Huixian Karst Wetland and Their Indicative Significance. Guiyang Plants 2021, 41, 769–779. [Google Scholar] [CrossRef]
- Li, Y.Q.; Huang, Y.Q.; Xu, G.P.; Sun, Y.J.; Zhang, Z.F.; He, C.X.; Huang, K.C.; He, W. Soil Nutrients and Microbial Activity in Reed Communities of Huixian Karst Wetland, Guilin. J. Ecol. 2018, 37, 64–74. [Google Scholar] [CrossRef]
- Li, C.; Zhang, B.; Zhang, J.; Wu, H.; Xie, H.; Xu, J.; Qi, P. Physiological responses of three plant species exposed to excess ammonia in constructed wetland. Desalin. Water Treat. 2011, 32, 271–276. [Google Scholar] [CrossRef]
- Wang, W.B.; Li, H.X.; Wang, D.Q.; Tu, Y.; Li, Q.; Dong, K. Study on the Rhizosphere Soil Bacterial Community Characteristics of Dominant Plants in Huixian Wetland During Spring and Summer. Environ. Sci. Technol. 2020, 43, 18–26. [Google Scholar] [CrossRef]
- Tu, Y.; Li, H.X.; Jiang, L.; Dong, K.; Wang, D.Q. Study on Rhizosphere Bacterial Community Structure and Diversity of Different Plants in Huixian Wetland, Guangxi. J. Ecol. Environ. 2019, 28, 252–261. [Google Scholar] [CrossRef]
- Jia, Y.H.; Jin, Z.J.; Yuan, W.; Cheng, Y.Y.; Qiu, J.M.; Ling, J.T.; Pan, F.J.; Liu, D.S. Comparison of Soil Bacterial Community Structure Characteristics Among Huixian Karst Wetland, Paddy Fields, and Uplands. Environ. Sci. 2019, 40, 3313–3323. [Google Scholar] [CrossRef]
- Cheng, Y.Y.; Jin, Z.J.; Wang, X.T.; Jia, Y.H.; Yuan, W.; Zhou, J.B. Impact of Land Use Types on Soil Fungal Communities and Functional Groups in Huixian Karst Wetland. Environ. Sci. 2020, 41, 4294–4304. [Google Scholar] [CrossRef]
- State Environmental Protection Administration and General Administration of Quality Supervision. GB 3838-2002 Environmental quality standards for surface water. China Environ. Press 2002, 4, 18. [Google Scholar]


| Group | pH | Temperature | (mg/L) | ||||||||||||
|---|---|---|---|---|---|---|---|---|---|---|---|---|---|---|---|
| DO | K+ | Na+ | Ca2+ | Mg2+ | Sr2+ | NO3− | Cl− | SO42− | HCO3− | TDS | |||||
| Rainy Season | 1 | n = 1 | 9.7 | 37.0 | 15.9 | 4.5 | 1.2 | 15.9 | 1.7 | 0.01 | 0.02 | 7.2 | 11.4 | 40.2 | 62 |
| 2 | n = 11 | 7.4 | 28.4 | 3.8 | 3.4 | 1.4 | 51.9 | 8.3 | 0.03 | 5.98 | 6.7 | 38.1 | 143.1 | 187 | |
| SD | 0.2 | 1.1 | 1.6 | 0.9 | 0.5 | 27.3 | 15.4 | 0.01 | 2.86 | 0.8 | 84.6 | 56.4 | 149 | ||
| 3 | n = 3 | 7.7 | 29.8 | 8.3 | 2.9 | 1.4 | 51.8 | 3.6 | 0.03 | 7.53 | 6.4 | 10.7 | 152.1 | 160 | |
| SD | 0.1 | 0.0 | 2.5 | 0.5 | 0.3 | 1.6 | 0.2 | 0.00 | 0.42 | 0.4 | 0.4 | 3.9 | 4 | ||
| 4 | n = 1 | 8.0 | 21.3 | 8.5 | 0.0 | 0.2 | 80.1 | 0.1 | 0.03 | 0.08 | 4.0 | 9.8 | 225.3 | 207 | |
| 5 | n = 13 | 7.3 | 21.5 | 4.3 | 14.7 | 5.9 | 88.0 | 17.3 | 0.07 | 35.19 | 12.4 | 92.5 | 220.2 | 376 | |
| SD | 0.4 | 1.6 | 1.2 | 17.2 | 4.4 | 49.8 | 39.5 | 0.03 | 30.61 | 6.0 | 232.9 | 91.6 | 329 | ||
| Dry Season | 1 | n = 1 | 8.9 | 9.3 | 10.6 | 2.1 | 1.1 | 50.5 | 4.4 | 0.03 | 26.07 | 6.8 | 10.7 | 152.5 | 184 |
| 2 | n = 11 | 7.6 | 9.7 | 7.8 | 3.4 | 1.7 | 51.1 | 7.0 | 0.04 | 15.35 | 6.7 | 27.2 | 148.2 | 191 | |
| SD | 0.3 | 0.6 | 1.4 | 1.5 | 1.7 | 12.0 | 5.0 | 0.02 | 9.79 | 2.5 | 32.5 | 38.4 | 56 | ||
| 3 | n = 3 | 7.6 | 10.7 | 7.5 | 3.1 | 1.2 | 76.3 | 5.3 | 0.04 | 16.46 | 6.4 | 14.4 | 220.6 | 238 | |
| SD | 0.0 | 0.1 | 0.6 | 0.4 | 0.2 | 3.1 | 0.6 | 0.00 | 1.66 | 0.4 | 0.8 | 8.7 | 3 | ||
| 4 | n = 1 | 7.9 | 13.5 | 10.2 | ND | ND | 77.0 | 0.3 | 0.03 | 0.17 | 1.1 | 9.6 | 221.8 | 199 | |
| 5 | n = 13 | 7.5 | 15.1 | 4.8 | 13.9 | 6.6 | 94.1 | 26.1 | 0.07 | 32.17 | 12.8 | 160.0 | 239.5 | 473 | |
| SD | 0.4 | 1.7 | 1.6 | 17.5 | 5.5 | 63.8 | 65.3 | 0.03 | 24.26 | 10.6 | 460.0 | 92.7 | 589 | ||
| Sampling Year | Collection Site | Average Concentration Order of Metal Elements | Pollution Assessment | Temporal/Spatial Scale Characteristics | Health Risk Assessment | References |
|---|---|---|---|---|---|---|
| 2018, 2019 | Important well points in the central wetland area | Mn, Fe, Zn, Al, Hg, Cr, Cu, Cd, As, Pb | Flood period: Mn pollution level VI, Cd, Al, Zn, Fe pollution levels all III; Normal water period: Hg pollution level VI, Al pollution level III | Dry period water quality is better than flood and normal water periods; Hg and Pb concentrations have obvious temporal characteristics | Cr is a major carcinogenic metal; control Mn, Hg, and Cr to some extent | [37] |
| 2019 | Well water, surface river water, underground river water, and karst spring water | Al, Mn, Zn, Cr, Ni, As, Hg, Cu, Pb | - | Well water and underground river water quality are generally better than surface river water and karst spring water | Cr is a major carcinogenic metal; control Hg and Cr to some extent | [38] |
| - | Soil samples from corn fields, rice fields, rapeseed fields, vegetable fields, and forests; Sediments from rivers, swamps, lakes, farmland ditches, and fish ponds | Cd, Ni, As, Pb, Cr, Hg, Zn, Cu | Cd is the highest pollution level in the area; rivers, swamps, lakes, and rapeseed fields have moderate pollution, fish ponds, corn fields, rice fields, and farmland ditches have slight pollution | Rivers and rapeseed fields have the highest ecological risk; forests have the lowest ecological risk, and other land use types have moderate ecological risk | Cd poses considerable potential ecological risks in rivers, swamps, lakes, fish ponds, corn fields, rice fields, and rapeseed fields; Hg has higher potential risk in rivers | [34] |
| 2018–2019 | River surface water | Al, Cu, Pb, Zn, Cr, Cd, Ni, Mn, As, Hg | Overall water quality is good, but some sampling points have seasonal pollution, with pollution levels ranging from mild to moderate, and the highest pollution level in flood period surface water | Most metal ions show seasonal variation as flood period > normal water period > dry period; Hg shows normal water period > flood period > dry period | - | [39] |
Disclaimer/Publisher’s Note: The statements, opinions and data contained in all publications are solely those of the individual author(s) and contributor(s) and not of MDPI and/or the editor(s). MDPI and/or the editor(s) disclaim responsibility for any injury to people or property resulting from any ideas, methods, instructions or products referred to in the content. |
© 2024 by the authors. Licensee MDPI, Basel, Switzerland. This article is an open access article distributed under the terms and conditions of the Creative Commons Attribution (CC BY) license (https://creativecommons.org/licenses/by/4.0/).
Share and Cite
Gao, H.; Chen, H.; Jin, Y.; Gao, R.; Wei, C.; Zhang, C.; Zhang, W. Occurrence and Speciation of Pollutants in Guilin Huixian Wetland: Nutrients, Microplastics, Heavy Metals, and Emerging Contaminants. Water 2024, 16, 2816. https://doi.org/10.3390/w16192816
Gao H, Chen H, Jin Y, Gao R, Wei C, Zhang C, Zhang W. Occurrence and Speciation of Pollutants in Guilin Huixian Wetland: Nutrients, Microplastics, Heavy Metals, and Emerging Contaminants. Water. 2024; 16(19):2816. https://doi.org/10.3390/w16192816
Chicago/Turabian StyleGao, Hang, Hao Chen, Yue Jin, Ruoting Gao, Chunzhong Wei, Chunfang Zhang, and Wenjie Zhang. 2024. "Occurrence and Speciation of Pollutants in Guilin Huixian Wetland: Nutrients, Microplastics, Heavy Metals, and Emerging Contaminants" Water 16, no. 19: 2816. https://doi.org/10.3390/w16192816
APA StyleGao, H., Chen, H., Jin, Y., Gao, R., Wei, C., Zhang, C., & Zhang, W. (2024). Occurrence and Speciation of Pollutants in Guilin Huixian Wetland: Nutrients, Microplastics, Heavy Metals, and Emerging Contaminants. Water, 16(19), 2816. https://doi.org/10.3390/w16192816

