Effects of Alternative Stress of Drought–Flood on Summer Maize Growth and Yield
Abstract
1. Introduction
2. Materials and Methods
2.1. Overview of the Experimental Site
2.2. Experiment Design
2.3. Observational Parameters and Methods
2.3.1. Investigation of the Cultivated Summer Maize
2.3.2. Growth Monitoring and Yield Survey
2.3.3. Determination of the Physiological Indices
2.3.4. Measuring of Soil Moisture
2.3.5. Summer Maize Drought Stress Indicators
2.3.6. Indicators of Crop Waterlogging Stress
2.3.7. Statistical Test Method
3. Results and Discussion
3.1. Effects of the Drought and Flood Conditions on the Plant Height of the Cultivated Summer Maize
3.2. Effects of the Drought and Flood Conditions on the Chlorophyll Contents in the Cultivated Summer Maize
3.3. Effects of the Drought and Flood Scenarios on Dry Matter Accumulation in Summer Maize
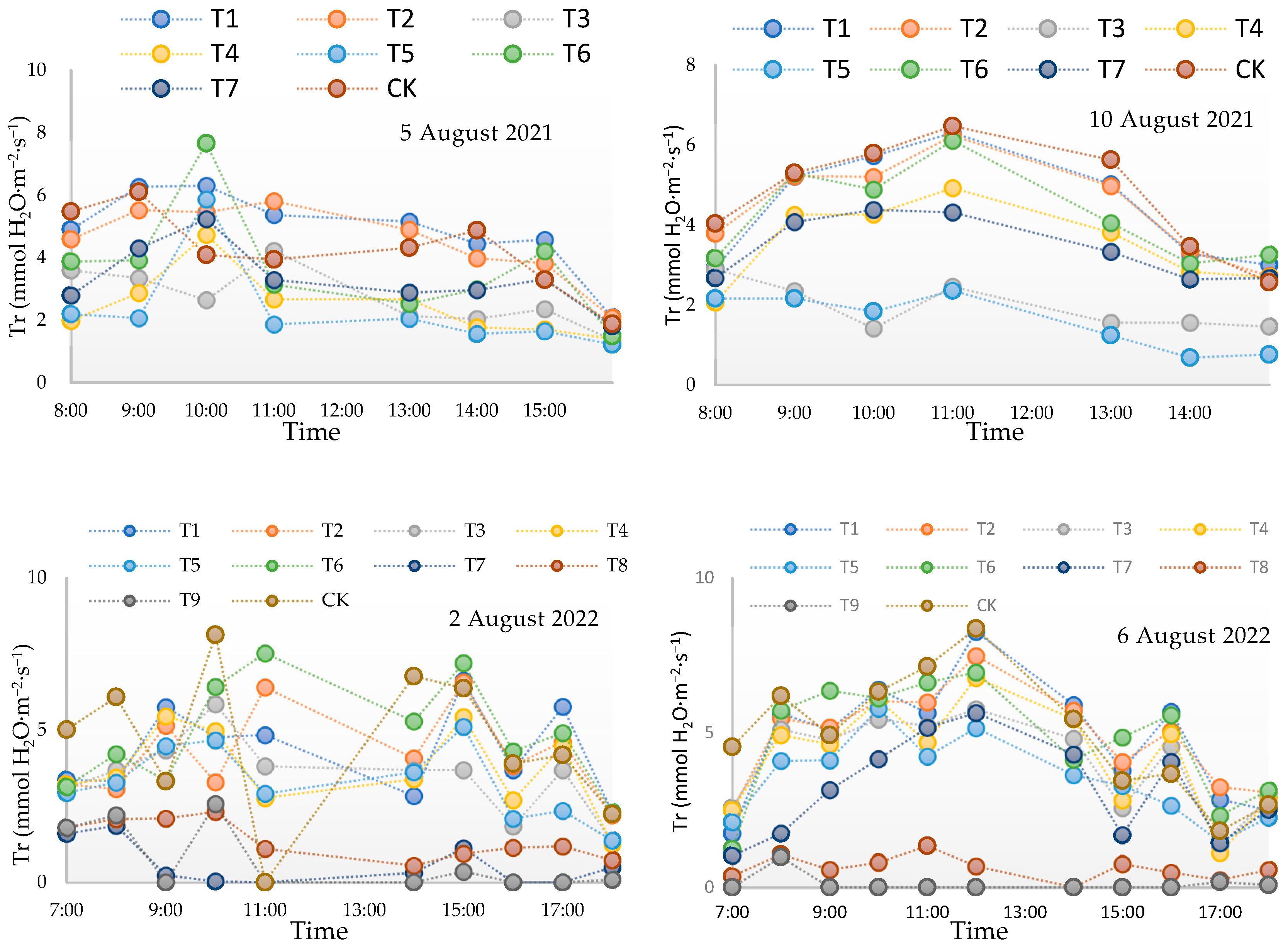
3.4. Effects of the Drought and Flood Conditions on the Photosynthetic Capacity of Summer Maize
3.5. Effects of the Drought and Flood Conditions on the Summer Maize Yields and Yield Components
3.6. Relationships between the Water Stress Scenarios and Summer Maize Yields
4. Conclusions
Author Contributions
Funding
Data Availability Statement
Acknowledgments
Conflicts of Interest
References
- Geng, S.; Yan, D.; Yang, Z.; Zhang, Z.; Yang, M.; Kan, G. Characteristics Analysis of Summer Maize Yield Loss Caused by Drought Stress in the Northern Huaihe Plain, China. Irrig. Drain. 2017, 67, 251–268. [Google Scholar] [CrossRef]
- Wei, Y.; Jin, J.; Jiang, S.; Ning, S.; Cui, Y.; Zhou, Y. Simulated Assessment of Summer Maize Drought Loss Sensitivity in Huaibei Plain, China. Agronomy 2019, 9, 78. [Google Scholar] [CrossRef]
- Qian, L.; Chen, X.; Wang, X.; Huang, S.; Luo, Y. The effects of flood, drought, and flood followed by drought on yield in cotton. Agronomy 2020, 10, 555. [Google Scholar] [CrossRef]
- Zhang, X.; Xu, W.; Shi, H.; Han, C. Understanding and studies of law of sudden turn of drought and flood in Anhui Province. China Water Resour. 2007, 5, 40–42. [Google Scholar]
- Zhang, X.; Zhao, D.; Zhao, Y.; Wen, Y. Analysis of precipitation characteristics and changes of drought and flood disasters on Anhui Province between 1961 and 2020, based on time series. Water Sci. Technol. Water Supply 2022, 22, 5265–5280. [Google Scholar] [CrossRef]
- Gao, C.; Zhang, Z.; Zhai, J.; Qing, L.; Mengting, Y. Research on meteorological thresholds of drought and flood disaster: A case study in the Huai River Basin, China. Stoch. Environ. Res. Risk Assess. 2014, 29, 157–167. [Google Scholar] [CrossRef]
- Bi, W.; Weng, B.; Yan, D.; Wang, M.; Wang, H.; Wang, J.; Yan, H. Effects of drought-flood abrupt alternation on phosphorus in summer maize farmland systems. Geoderma 2020, 363, 114147. [Google Scholar] [CrossRef]
- Reavis, C.W.; Suvočarev, K.; Reba, M.L.; Runkle, B.R.K. Impacts of alternate wetting and drying and delayed flood rice irrigation on growing season evapotranspiration. J. Hydrol. 2021, 596, 126080. [Google Scholar] [CrossRef]
- Zhen, B.; Guo, X.; Lu, H. Effects of alternative stress of drought and waterlogging at tillering stage on rice root anatomical structure. Trans. Chin. Soc. Agric. Eng. 2015, 31, 107–113. [Google Scholar]
- Bi, W.; Weng, B.; Yan, D.; Zhang, D.; Liu, C.; Shi, X.; Jing, L.; Yan, S.; Wang, H. Response of summer maize growth to drought-flood abrupt alternation. Front. Earth Sci. 2023, 11, 1086769. [Google Scholar] [CrossRef]
- Jiang, Y.; Su, S.; Chen, H.; Li, S.; Shan, X.; Li, H.; Liu, H.; Dong, H.; Yuan, Y. Transcriptome analysis of drought-responsive and drought-tolerant mechanisms in maize leaves under drought stress. Physiol. Plant. 2023, 175, e13875. [Google Scholar] [CrossRef] [PubMed]
- Muthuvel, D.; Sivakumar, B.; Mahesha, A. Future global concurrent droughts and their effects on maize yield. Sci. Total Environ. 2022, 855, 158860. [Google Scholar] [CrossRef] [PubMed]
- Wan, W.; Liu, Z.; Li, K.; Wang, G.; Wu, H.; Wang, Q. Drought monitoring of the maize planting areas in Northeast and North China Plain. Agric. Water Manag. 2021, 245, 106636. [Google Scholar] [CrossRef]
- Geerts, S.; Raes, D. Deficit irrigation as an on-farm strategy to maximize crop water productivity in dry areas. Agric. Water Manag. 2009, 96, 1275–1284. [Google Scholar] [CrossRef]
- Khatibi, A.; Omrani, S.; Omrani, A.; Shojaei, S.H.; Mousavi, S.M.N.; Illés, Á.; Bojtor, C.; Nagy, J. Response of Maize Hybrids in Drought-Stress Using Drought Tolerance Indices. Water 2022, 14, 1012. [Google Scholar] [CrossRef]
- Zhang, Y.; Liu, B.; Jia, G.; Yu, X.; Zhang, X.; Yin, X.; Zhao, Y.; Wang, Z.; Cheng, C.; Wang, Y.; et al. Scaling Up from Leaf to Whole-Plant Level for Water Use Efficiency Estimates Based on Stomatal and Mesophyll Behaviour in Platycladus orientalis. Water 2022, 14, 263. [Google Scholar] [CrossRef]
- Wang, D.; Dong, Z.; Jiang, F.; Zhu, S.; Ling, Z.; Ma, J. Spatiotemporal variability of drought/flood and its teleconnection with large-scale climate indices based on standard precipitation index: A case study of Taihu Basin, China. Environ. Sci. Pollut. Res. 2022, 29, 50117–50134. [Google Scholar] [CrossRef]
- Yang, P.; Zhang, S.; Xia, J.; Zhan, C.; Cai, W.; Wang, W.; Luo, X.; Chen, N.; Li, J. Analysis of drought and flood alternation and its driving factors in the Yangtze River Basin under climate change. Atmos. Res. 2022, 270, 106087. [Google Scholar] [CrossRef]
- Ma, Y.; Yang, Y.; Wang, C. How essential of the balance between large and small scale features to reproduce precipitation during a sudden sharp turn from drought to flood. Clim. Dyn. 2018, 52, 5013–5029. [Google Scholar] [CrossRef]
- Ji, Z.; Li, N.; Wu, X. Threshold determination and hazard evaluation of the disaster about drought/flood sudden alternation in Huaihe River basin, China. Theor. Appl. Climatol. 2017, 133, 1279–1289. [Google Scholar] [CrossRef]
- Wang, C.; Li, K.; Santisirisomboon, J. Wave activities characteristics during a sudden sharp drought–flood turn event in 2011 in East China. Int. J. Climatol. 2021, 41, 3469–3480. [Google Scholar] [CrossRef]
- Tian, R.; Cao, C.; Peng, L.; Ma, G.; Bao, D.; Guo, J.; Yomwan, P. The use of HJ-1A/B satellite data to detect changes in the size of wetlands in response in to a sudden turn from drought to flood in the middle and lower reaches of the Yangtze River system in China. Geomat. Nat. Hazards Risk 2014, 7, 287–307. [Google Scholar] [CrossRef]
- Shan, L.; Zhang, L.; Xiong, Z.; Chen, X.; Chen, S.; Yang, W. Spatio-temporal evolution characteristics and prediction of dry–wet abrupt alternation during the summer monsoon in the middle and lower reaches of the Yangtze River Basin. Meteorol. Atmos. Phys. 2017, 130, 427–440. [Google Scholar] [CrossRef]
- Kiro, Y.; Goldstein, S.L.; Kushnir, Y.; Olson, J.M.; Bolge, L.; Lazar, B.; Stein, M. Droughts, flooding events, and shifts in water sources and seasonality characterize last interglacial Levant climate. Quat. Sci. Rev. 2020, 248, 106546. [Google Scholar] [CrossRef]
- Liu, J.; Jia, J.; Yang, Y.; Tang, M.; Xue, Y.; Lu, H. Risk Assessment for Drought-flood Abrupt Alternation in the Pearl River Basin, China. IOP Conf. Ser. Mater. Sci. Eng. 2018, 452, 022029. [Google Scholar] [CrossRef]
- Zhao, Y.; Weng, Z.; Chen, H.; Yang, J. Analysis of the Evolution of Drought, Flood, and Drought-Flood Abrupt Alternation Events under Climate Change Using the Daily SWAP Index. Water 2020, 12, 1969. [Google Scholar] [CrossRef]
- Bi, W.; Weng, B.; Yuan, Z.; Yang, Y.; Xu, T.; Yan, D.; Ma, J. Evolution of Drought—Flood Abrupt Alternation and Its Impacts on Surface Water Quality from 2020 to 2050 in the Luanhe River Basin. Int. J. Environ. Res. Public Health 2019, 16, 691. [Google Scholar] [CrossRef]
- Shi, W.; Huang, S.; Liu, D.; Huang, Q.; Han, Z.; Leng, G.; Wang, H.; Liang, H.; Li, P.; Wei, X. Drought-flood abrupt alternation dynamics and their potential driving forces in a changing environment. J. Hydrol. 2021, 597, 126179. [Google Scholar] [CrossRef]
- Fan, H. Spatial and Temporal Evolution Characteristics of Drought-Flood Abrupt Alternation in Guizhou Province in Recent 50 Years Based on DWAAI Index. Appl. Ecol. Environ. Res. 2019, 17, 12227–12244. [Google Scholar] [CrossRef]
- Wang, Y.; Zong, Y.; McCreight, J.L.; Hughes, J.D.; Tartakovsky, A.M. Bayesian reduced-order deep learning surrogate model for dynamic systems described by partial differential equations. Comput. Methods Appl. Mech. Eng. 2024, 429, 117147. [Google Scholar] [CrossRef]
- Xie, Z.; Huete, A.; Cleverly, J.; Phinn, S.; McDonald-Madden, E.; Cao, Y.; Qin, F. Multi-climate mode interactions drive hydrological and vegetation responses to hydroclimatic extremes in Australia. Remote Sens. Environ. 2019, 231, 111270. [Google Scholar] [CrossRef]
- Cai, Y.; Li, H.; Yan, J.; Huang, H.; Feng, Y.; Huang, H. Experimental Study on Prevention and Control of Ground Fissures in Coal Mining Subsidence in Huaibei Plain of China. Sustainability 2022, 14, 12932. [Google Scholar] [CrossRef]
- Li, W.; Liu, S.; Qin, T.; Xiao, S.; Li, C.; Zhang, X.; Wang, K.; Abebe, S.A. Experiment Study of Porous Fiber Material on Infiltration and Runoff of Winter Wheat Farmland in Huaibei Plain, China. Front. Earth Sci. 2022, 10, 817084. [Google Scholar] [CrossRef]
- GB/T 32136-2015; Reference Document for Academic Papers Formatting Standards. General Administration of Quality Supervision, Inspection and Quarantine of the People’s Republic of China: Beijing, China, 2015.
- Haghighattalab, A.; González Pérez, L.; Mondal, S.; Singh, D.; Schinstock, D.; Rutkoski, J.; Ortiz-Monasterio, I.; Singh, R.P.; Goodin, D.; Poland, J. Application of unmanned aerial systems for high throughput phenotyping of large wheat breeding nurseries. Plant Methods 2016, 12, 35. [Google Scholar] [CrossRef]
- Sturm, P.; Eugster, W.; Knohl, A. Eddy covariance measurements of CO2 isotopologues with a quantum cascade laser absorption spectrometer. Agric. For. Meteorol. 2012, 152, 73–82. [Google Scholar] [CrossRef]
- Wagner, D.; Wheeler, J.M.; Burr, S.J. The leaf miner Phyllocnistis populiella negatively impacts water relations in aspen. Tree Physiol. 2020, 40, 580–590. [Google Scholar] [CrossRef]
- Meng, C.; Wang, F.; Yang, K.; Shock, C.C.; Engel, B.A.; Zhang, Y.; Tao, L.; Gu, X. Small wetted proportion of drip irrigation and non-mulched treatment with manure application enhanced methane uptake in upland field. Agric. For. Meteorol. 2020, 281, 107821. [Google Scholar] [CrossRef]
- Chen, C.; Zhou, H.; Shang, J.; Hu, K.; Ren, T. Estimation of soil water content at permanent wilting point using hygroscopic water content. Eur. J. Soil Sci. 2019, 71, 392–398. [Google Scholar] [CrossRef]
- Liu, J.; Chen, W.; Fang, W.; Zhang, B. Sub-Shrub Components Change the Soil Water Storage Response to Daily Precipitation and Air Temperature in the Loess Plateau. Water 2023, 15, 4157. [Google Scholar] [CrossRef]
- Bi, W.; Weng, B.; Yan, D.; Wang, H.; Wang, M.; Yan, S.; Jing, L.; Liu, T.; Chang, W. Responses of Phosphate-Solubilizing Microorganisms Mediated Phosphorus Cycling to Drought-Flood Abrupt Alternation in Summer Maize Field Soil. Front. Microbiol. 2022, 12, 768921. [Google Scholar] [CrossRef]
- Zhu, J.; Li, A.; Zhang, J.; Sun, C.; Tang, G.; Chen, L.; Hu, J.; Zhou, N.; Wang, S.; Zhou, Y.; et al. Effects of nitrogen application after abrupt drought-flood alternation on rice root nitrogen uptake and rhizosphere soil microbial diversity. Environ. Exp. Bot. 2022, 201, 105007. [Google Scholar] [CrossRef]
- Jing, L.; Weng, B.; Yan, D.; Yuan, F.; Zhang, S.; Bi, W.; Yan, S. Assessment of resilience in maize suitable planting areas under drought stress. Agric. Water Manag. 2022, 277, 108096. [Google Scholar] [CrossRef]
- Asargew, M.F.; Masutomi, Y.; Kobayashi, K.; Aono, M. Water stress changes the relationship between photosynthesis and stomatal conductance. Sci. Total Environ. 2023, 907, 167886. [Google Scholar] [CrossRef] [PubMed]
- Jaiphong, T.; Tominaga, J.; Watanabe, K.; Nakabaru, M.; Takaragawa, H.; Suwa, R.; Ueno, M.; Kawamitsu, Y. Effects of duration and combination of drought and flood conditions on leaf photosynthesis, growth and sugar content in sugarcane. Plant Prod. Sci. 2016, 19, 427–437. [Google Scholar] [CrossRef]
- Wen, B.; Li, X.; Yang, F.; Lu, X.; Li, X.; Yang, F. Growth and physiology responses of Phragmites australis to combined drought-flooding condition in inland saline-alkaline marsh, Northeast China. Ecol. Eng. 2017, 108, 234–239. [Google Scholar] [CrossRef]
- Zhang:, Y.; Wu, X.; Wang, X.; Dai, M.; Peng, Y. Crop root system architecture in drought response. J. Genet. Genom. 2024, in press. [CrossRef] [PubMed]
- Lamaoui, M.; Jemo, M.; Datla, R.; Bekkaoui, F. Heat and Drought Stresses in Crops and Approaches for Their Mitigation. Front. Chem. 2018, 6, 26. [Google Scholar] [CrossRef]
- Shao, J.; Wang, Q.; Liu, P.; Zhao, B.; Han, W.; Zhang, J.; Ren, B. The complex stress of waterlogging and high temperature accelerated maize leaf senescence and decreased photosynthetic performance at different growth stages. J. Agron. Crop Sci. 2024, 210, e12689. [Google Scholar] [CrossRef]
- Zhang, R.H.; Zhang, X.H.; Camberato, J.J.; Xue, J.Q. Photosynthetic performance of maize hybrids to drought stress. Russ. J. Plant Physiol. 2015, 62, 788–796. [Google Scholar] [CrossRef]
- Lv, Z.; Zhang, H.; Huang, Y.; Zhu, L.; Yang, X.; Wu, L.; Chen, M.; Wang, H.; Jing, Q.; Shen, J.; et al. Drought priming at seedling stage improves photosynthetic performance and yield of potato exposed to a short-term drought stress. J. Plant Physiol. 2023, 292, 154157. [Google Scholar] [CrossRef]
- Zeng, H.; Yi, K.; Yang, S.; Jiang, Y.; Mao, P.; Yu, Y.; Feng, Y.; Dong, Y.; Dou, L.; Li, M. Photosynthetic performance of glumes of oat spikelets is more stable for grain-filling stage under drought stress. Plant Physiol. Biochem. 2024, 214, 108890. [Google Scholar] [CrossRef] [PubMed]
- Bi, W.; Wang, M.; Weng, B.; Yan, D.; Yang, Y.; Wang, J. Effects of Drought-Flood Abrupt Alternation on the Growth of Summer Maize. Atmosphere 2019, 11, 21. [Google Scholar] [CrossRef]
- Gao, Y.; Hu, T.; Wang, Q.; Yuan, H.; Yang, J. Effect of Drought–Flood Abrupt Alternation on Rice Yield and Yield Components. Crop Sci. 2019, 59, 280–292. [Google Scholar] [CrossRef]







| Soil Nutrient Content | TN g·kg−1 | TP g·kg−1 | TK g·kg−1 | OP mg·kg−1 | NO3−-N mg·kg−1 | NH4+-N mg·kg−1 | OM g·kg−1 | pH | Ec g·kg−1 |
| 0.73 | 0.44 | 6.06 | 27.55 | 4.65 | 19.44 | 13.71 | 6.75 | 0.87 | |
| Soil Physical Properties | Soil Particle Distribution/% | Bulk Density g·cm−3 | Field Capacity g·g−1 | Wilting Point g·g−1 | / | / | |||
| Sand | Clay | Silt | |||||||
| 3.40 | 26.00 | 70.70 | 1.45 | 0.28 | 0.093 | ||||
| Growth Stage | Stage I | Stage II | Stage III | Stage IV |
|---|---|---|---|---|
| Seeding Stage | Elongation Stage | Tasseling and Silking Stage | Grain Filling Stage | |
| Start and end date (2021) | 6.18–7.21 | 7.22–8.06 | 8.07–8.23 | 8.24–9.27 |
| Start and end date (2022) | 6.14–7.13 | 7.14–8.01 | 8.02–8.17 | 8.18–9.24 |
| Treatments | Soil Moisture Contents at the End of Drought/g·g−1 | Drought Degrees | Days of Waterlogging | |
|---|---|---|---|---|
| 2021 | T1 | 0.1625 (58.02) | Slight drought | 0 |
| T2 | 0.1950 (69.64) | No drought | 4 | |
| T3 | 0.1897 (67.75) | No drought | 6 | |
| T4 | 0.1696 (60.57) | Slight drought | 4 | |
| T5 | 0.1712 (61.14) | Slight drought | 6 | |
| T6 | 0.1464 (52.29) | Moderate drought | 4 | |
| T7 | 0.1478 (52.79) | Moderate drought | 6 | |
| CK | 0.1913 (68.32) | No drought | 0 | |
| 2022 | T1 | 0.1575 (56.25) | Slight drought | 0 |
| T2 | 0.1375 (49.12) | Moderate drought | 0 | |
| T3 | 0.1758 (62.78) | No drought | 3 | |
| T4 | 0.1897 (67.76) | No drought | 6 | |
| T5 | 0.1564 (55.87) | Slight drought | 3 | |
| T6 | 0.1463 (52.24) | Moderate drought | 3 | |
| T7 | 0.1223 (43.67) | Severe drought | 3 | |
| T8 | 0.1377 (49.18) | Moderate drought | 6 | |
| T9 | 0.1247 (44.54) | Severe drought | 6 | |
| CK | 0.1878 (67.08) | No drought | 0 | |
| Treatments | Date (m/d) | ||||||
|---|---|---|---|---|---|---|---|
| 7/15 | 7/21 | 7/29 | 8/3 | 8/7 | 8/10 | 8/15 | |
| T1 | 89.54 a | 112.21 a | 128.02 b | 143.47 b | 172.07 ab | 197.81 a | 206.28 a |
| T2 | 90.91 a | 114.61 a | 134.53 ab | 153.03 ab | 178.65 a | 199.14 a | 208.10 a |
| T3 | 92.78 a | 116.9 a | 140.45 a | 161.51 a | 178.78 a | 192.03 a | 200.76 ab |
| T4 | 89.38 a | 110.7 a | 128.98 b | 139.19 b | 149.47 b | 161.65 b | 175.41 cd |
| T5 | 93.88 a | 114.31 a | 133.93 ab | 147.43 b | 152.33 b | 157.48 b | 168.39 d |
| T6 | 88.66 a | 108.98 a | 123.26 b | 136.81 b | 152.13 b | 177.66 ab | 181.61 bcd |
| T7 | 90.16 a | 112.14 a | 127.02 b | 140.47 b | 151.63 b | 176.71 ab | 180.59 bcd |
| CK | 92.03 a | 114.28 a | 149.13 a | 168.24 a | 180.22 a | 183.51 ab | 193.59 abc |
| Treatments | Date (m/d) | ||||||||
|---|---|---|---|---|---|---|---|---|---|
| 7/17 | 7/23 | 7/28 | 7/30 | 8/1 | 8/3 | 8/5 | 8/8 | 8/13 | |
| T1 | 106.11 a | 135.54 a | 153.44 abc | 174.15 ab | 195.87 abcd | 215.80 ab | 233.25 ab | 236.51 ab | 236.43 ab |
| T2 | 107.14 a | 135.43 a | 154.00 abc | 172.86 ab | 193.50 bcd | 211.15 b | 229.44 abc | 241.36 ab | 237.69 ab |
| T3 | 103.91 a | 134.02 a | 157.98 abc | 181.38 ab | 206.10 abc | 219.47 ab | 227.35 abc | 230.89 ab | 231.41 ab |
| T4 | 109.07 a | 144.66 a | 167.86 a | 192.94 a | 217.76 ab | 227.71 ab | 233.56 ab | 231.46 ab | 231.42 ab |
| T5 | 112.66 a | 142.10 a | 162.55 ab | 184.96 ab | 204.42 abc | 210.90 b | 216.30 bc | 218.32 bc | 218.18 bc |
| T6 | 112.38 a | 142.19 a | 162.29 abc | 184.24 ab | 210.01 ab | 229.31 ab | 242.53 b | 243.28 ab | 243.18 ab |
| T7 | 108.68 a | 134.08 a | 144.14 c | 160.94 b | 168.42 d | 168.04 d | 174.04 d | 175.64 de | 175.60 de |
| T8 | 112.24 a | 142.05 a | 162.33 ab | 182.12 ab | 202.66 abc | 206.42 bc | 203.44 cd | 203.00 cd | 203.04 cd |
| T9 | 106.38 a | 134.98 a | 148.12 bc | 163.82 b | 175.96 cd | 176.30 cd | 174.78 d | 174.72 e | 174.70 e |
| CK | 111.99 a | 143.56 a | 168.36 a | 197.48 a | 225.21 a | 246.46 a | 255.48 a | 257.88 a | 257.75 a |
| Treatments | Date (m/d) | |||||||
| 7/23 | 7/26 | 7/29 | 7/31 | 8/2 | 8/4 | 8/7 | 8/9 | |
| T1 | 50.01 a | 53.51 ab | 54.99 ab | 47.82 b | 49.94 a | 54.07 a | 56.81 a | 60.39 a |
| T2 | 48.94 a | 52.46 ab | 55.83 ab | 49.59 ab | 45.59 b | 46.69 b | 49.43 b | 53.25 b |
| T3 | 50.75 a | 51.73 b | 58.31 a | 52.33 a | 46.61 ab | 47.79 b | 43.69 c | 41.6 d |
| T4 | 49.94 a | 55.91 a | 58.18 a | 50.21 ab | 44.33 b | 40.55 c | 41.12 c | 46.84 c |
| T5 | 51.09 a | 54.87 ab | 56.67 ab | 47.59 b | 44.42 b | 43.23 bc | 39.71 c | 37.74 d |
| T6 | 50.46 a | 53.1 ab | 53.55 b | 49.35 ab | 42.64 b | 42.04 bc | 46.47 bc | 49.23 bc |
| T7 | 49.57 a | 55.34 ab | 55.3 ab | 47.99 ab | 42.04 b | 42.67 bc | 40.04 c | 39.7 d |
| CK | 50.23 a | 51.08 b | 56.43 ab | 49.9 ab | 50.51 a | 54.98 a | 57.02 a | 60.36 a |
| Treatments | Date (m/d) | |||||||
| 8/12 | 8/17 | 8/25 | 9/1 | 9/8 | 9/15 | 9/21 | ||
| T1 | 60 a | 61.72 a | 60.77 a | 61.57 a | 61.43 a | 51.93 a | 45.94 a | |
| T2 | 56.2 a | 57.75 b | 58.82 ab | 60.43 a | 59.96 a | 50.24 a | 45.09 a | |
| T3 | 40.14 c | 46.32 d | 48.04 bc | 51.65 b | 52.11 b | 40.35 b | 37.71 b | |
| T4 | 48.89 b | 52.99 c | 53.26 b | 53.17 b | 53.31 b | 46.84 ab | 42.95 ab | |
| T5 | 36.64 c | 44.06 d | 45.73 c | 46.98 c | 50.24 b | 41.5 b | 43.32 ab | |
| T6 | 51.77 ab | 52.79 c | 50.13 bc | 57.47 ab | 57.27 ab | 43.96 ab | 47.18 a | |
| T7 | 43.32 bc | 46.68 d | 50.32 bc | 53.05 b | 53.99 b | 43.65 b | 41.29 ab | |
| CK | 60.26 a | 60.99 ab | 62.14 a | 61.03 a | 59.45 ab | 49.91 a | 48.68 a | |
| Treatment | Date (m/d) | |||||||||||||
|---|---|---|---|---|---|---|---|---|---|---|---|---|---|---|
| 7/26 | 7/29 | 7/31 | 8/2 | 8/4 | 8/7 | 8/9 | 8/12 | 8/17 | 8/25 | 9/1 | 9/8 | 9/15 | 9/21 | |
| T1 | 6.99 | 9.96 | −4.38 | −0.15 | 8.11 | 13.59 | 20.75 | 19.98 | 23.42 | 21.52 | 23.12 | 22.84 | 3.84 | −8.14 |
| T2 | 7.20 | 14.09 | 1.32 | −6.83 | −4.59 | 1.01 | 8.80 | 14.83 | 18.01 | 20.19 | 23.49 | 22.52 | 2.67 | −7.87 |
| T3 | 1.94 | 14.90 | 3.12 | −8.16 | −5.83 | −13.92 | −18.04 | −20.90 | −8.73 | −5.34 | 1.77 | 2.69 | −20.49 | −25.69 |
| T4 | 11.95 | 16.50 | 0.54 | −11.24 | −18.80 | −17.67 | −6.21 | −2.10 | 6.09 | 6.63 | 6.47 | 6.75 | −6.21 | −14.00 |
| T5 | 7.40 | 10.94 | −6.83 | −13.04 | −15.38 | −22.27 | −26.13 | −28.27 | −13.75 | −10.48 | −8.03 | −1.66 | −18.77 | −15.20 |
| T6 | 5.23 | 6.12 | −2.20 | −15.51 | −16.70 | −7.91 | −2.45 | 2.59 | 4.60 | −0.67 | 13.89 | 13.49 | −12.89 | −6.50 |
| T7 | 11.63 | 11.55 | −3.19 | −15.19 | −13.93 | −19.23 | −19.92 | −12.61 | −5.84 | 1.52 | 7.02 | 8.92 | −11.95 | −16.71 |
| CK | 1.69 | 12.34 | −0.65 | 0.56 | 9.47 | 13.53 | 20.17 | 19.97 | 21.43 | 23.73 | 21.50 | 18.37 | −0.63 | −3.08 |
| Treatment | Destructive Test after 6 Days of Waterlogging | |||||
|---|---|---|---|---|---|---|
| Plant Height/cm | Root Length/cm | Root Dry Matter/g | Weight of Aboveground Dry Matter/g | Total Weight of Dry Matter/g | ||
| 2021 | T1 | 194.53 b | 22.32 a | 58.11 d | 228.20 b | 286.31 b |
| T3 | 182.16 c | 21.06 b | 61.74 b | 224.67 c | 286.41 b | |
| T5 | 172.56 d | 20.25 c | 57.94 d | 209.35 d | 267.29 c | |
| T7 | 158.08 e | 19.75 c | 60.21 c | 199.86 e | 260.07 d | |
| CK | 196.62 a | 21.80 a | 69.76 a | 293.93 a | 363.68 a | |
| 2022 | T2 | 248.83 b | 22.48 c | 36.28 a | 246.54 b | 282.82 b |
| T8 | 225.35 c | 29.08 b | 20.88 c | 210.31 c | 231.18 c | |
| CK | 266.67 a | 33.53 a | 30.41 b | 260.80 a | 291.21 a | |
| Treatments | Transpiration Rate (mmol/m−2/s−1) | Stomatal Conductance (mmol/m−2/s−1) | Net Photosynthesis Rate (μmol/m−2/s−1) | |||
|---|---|---|---|---|---|---|
| 2021 | 8/5 | 8/10 | 8/5 | 8/10 | 8/5 | 8/10 |
| T1 | 4.89 a | 4.50 a | 0.33 a | 0.30 a | 29.46 a | 27.65 a |
| T2 | 4.52 ab | 4.50 a | 0.26 b | 0.32 a | 24.63 b | 26.84 a |
| T3 | 2.71 c | 1.96 b | 0.12 c | 0.11 c | 13.63 c | 11.47 b |
| T4 | 2.48 c | 3.55 a | 0.12 c | 0.23 b | 15.66 c | 24.14 a |
| T5 | 2.31 c | 1.60 b | 0.10 c | 0.10 c | 13.40 c | 10.98 b |
| T6 | 3.73 b | 4.26 a | 0.18 b | 0.25 ab | 20.19 bc | 27.74 a |
| T7 | 3.32 bc | 3.44 a | 0.17 bc | 0.19 b | 19.13 bc | 22.18 a |
| CK | 4.25 ab | 4.75 a | 0.22 b | 0.31 a | 23.03 b | 28.34 a |
| 2022 | 8/2 | 8/6 | 8/2 | 8/6 | 8/2 | 8/6 |
| T1 | 4.33 a | 4.86 a | 0.26 d | 0.39 b | 19.02 c | 20.16 a |
| T2 | 4.25 a | 4.89 a | 0.25 d | 0.42 a | 23.31 b | 19.87 a |
| T3 | 3.5 b | 4.09 b | 0.36 b | 0.27 e | 16.45 e | 17.28 b |
| T4 | 3.71 b | 4.24 b | 0.25 d | 0.30 d | 15.80 f | 15.30 c |
| T5 | 3.28 b | 3.52 c | 0.19 e | 0.25 f | 18.18 d | 15.42 c |
| T6 | 4.87 a | 4.82 a | 0.33 c | 0.36 c | 23.84 b | 20.28 a |
| T7 | 0.81 c | 3.17 c | 0.05 g | 0.18 g | 3.70 i | 13.36 d |
| T8 | 1.39 c | 0.68 d | 0.11 f | 0.03 h | 8.21 g | 2.95 e |
| T9 | 1.40 c | 0.40 e | 0.11 f | 0.02 h | 5.32 h | 0.45 f |
| CK | 5.12 a | 4.96 a | 0.45 a | 0.42 a | 24.25 a | 20.02 a |
| Treatments | Yield Components and Yields of Summer Maize | ||||||||
|---|---|---|---|---|---|---|---|---|---|
| Spike Length (cm) | Loss Ratio (%) | Spike Diameter (cm) | Loss Ratio (%) | 100-Grain Weight (g) | Loss Ratio (%) | Yield (kg·hm−2) | Yield Reduction Rate (%) | ||
| 2021 | T1 | 16.48 a | 9.83 | 4.41 a | 1.16 | 33.11 ab | 5.77 | 5806.11 a | 9.33 |
| T2 | 16.46 a | 9.94 | 4.36 a | 2.20 | 34.01 a | 3.21 | 5298.88 a | 17.25 | |
| T3 | 13.83 b | 24.35 | 4.06 a | 8.94 | 30.79 b | 12.39 | 3178.27 b | 50.37 | |
| T4 | 14.29 b | 21.78 | 4.13 a | 7.4 | 31.66 b | 9.89 | 3997.85 b | 37.57 | |
| T5 | 11.48 c | 37.18 | 3.58 b | 19.77 | 30.99 b | 11.82 | 1576.49 c | 75.38 | |
| T6 | 16.67 a | 8.81 | 4.29 a | 3.79 | 31.79 ab | 9.54 | 4056.83 b | 36.65 | |
| T7 | 12.58 bc | 31.14 | 4.04 a | 9.36 | 32.63 ab | 7.14 | 2909.69 bc | 54.56 | |
| CK | 18.28 a | 0.00 | 4.46 a | 0.00 | 35.14 a | 0.00 | 6403.38 a | 0.00 | |
| 2022 | T1 | 16.79 b | 2.87 | 3.70 b | 2.85 | 26.52 a | −2.87 | 2341.83 a | −7.54 |
| T2 | 15.99 c | 7.50 | 3.55 c | 6.70 | 26.17 ab | −1.51 | 2193.47 b | −0.73 | |
| T3 | 15.06 d | 12.89 | 3.38 e | 11.06 | 25.20 c | 2.26 | 1493.72 e | 31.41 | |
| T4 | 12.98 f | 24.94 | 3.23 f | 14.99 | 23.18 e | 10.11 | 768.10 g | 64.73 | |
| T5 | 14.38 e | 16.83 | 3.26 f | 14.23 | 24.46 d | 5.15 | 1073.82 f | 50.69 | |
| T6 | 15.22 d | 11.97 | 3.49 d | 8.27 | 24.32 d | 5.67 | 1652.31 d | 24.13 | |
| T7 | 12.48 g | 27.82 | 2.68 g | 29.58 | 24.18 d | 6.24 | 153.20 h | 92.96 | |
| T8 | 10.18 h | 41.10 | 2.46 h | 35.28 | 19.82 f | 23.13 | 59.53 i | 97.27 | |
| T9 | 0.00 i | 100.00 | 0.00 i | 100.00 | 0.00 g | 100.00 | 0.00 j | 100.00 | |
| CK | 17.29 a | 0.00 | 3.81 a | 0.00 | 25.78 bc | 0.00 | 2177.67 c | 0.00 | |
| Year | No. | Cumulative Drought Stress Degree | Cumulative Waterlogging Stress Degree (cm·d) | Relative Yield (%) |
|---|---|---|---|---|
| 2021 | T1 | 1.70 | 0.00 | 90.70 |
| T2 | 2.00 | 22.00 | 82.80 | |
| T3 | 3.00 | 39.00 | 49.60 | |
| T4 | 4.72 | 24.00 | 62.40 | |
| T5 | 5.34 | 42.00 | 24.60 | |
| T6 | 7.86 | 26.00 | 63.40 | |
| T7 | 8.77 | 39.00 | 45.40 | |
| CK | 0.00 | 0.00 | 100.00 | |
| 2022 | T1 | 1.53 | 0.00 | 84.30 |
| T2 | 2.60 | 0.00 | 82.00 | |
| T3 | 0.00 | 19.50 | 58.10 | |
| T4 | 0.00 | 39.00 | 29.90 | |
| T5 | 1.47 | 19.50 | 41.80 | |
| T6 | 1.66 | 19.50 | 64.30 | |
| T7 | 4.14 | 21.00 | 6.00 | |
| T8 | 2.18 | 45.00 | 2.30 | |
| T9 | 4.00 | 45.00 | 0.00 | |
| CK | 0.00 | 0.00 | 100.00 |
Disclaimer/Publisher’s Note: The statements, opinions and data contained in all publications are solely those of the individual author(s) and contributor(s) and not of MDPI and/or the editor(s). MDPI and/or the editor(s) disclaim responsibility for any injury to people or property resulting from any ideas, methods, instructions or products referred to in the content. |
© 2024 by the authors. Licensee MDPI, Basel, Switzerland. This article is an open access article distributed under the terms and conditions of the Creative Commons Attribution (CC BY) license (https://creativecommons.org/licenses/by/4.0/).
Share and Cite
Yuan, H.; Peng, Z.; Yang, J.; Liu, J.; Zhao, H.; Ning, S.; Xu, X.; A., R.; Li, H. Effects of Alternative Stress of Drought–Flood on Summer Maize Growth and Yield. Water 2024, 16, 2742. https://doi.org/10.3390/w16192742
Yuan H, Peng Z, Yang J, Liu J, Zhao H, Ning S, Xu X, A. R, Li H. Effects of Alternative Stress of Drought–Flood on Summer Maize Growth and Yield. Water. 2024; 16(19):2742. https://doi.org/10.3390/w16192742
Chicago/Turabian StyleYuan, Hongwei, Ziwei Peng, Jiwei Yang, Jia Liu, Hui Zhao, Shaowei Ning, Xiaoyan Xu, Rong A., and Huimin Li. 2024. "Effects of Alternative Stress of Drought–Flood on Summer Maize Growth and Yield" Water 16, no. 19: 2742. https://doi.org/10.3390/w16192742
APA StyleYuan, H., Peng, Z., Yang, J., Liu, J., Zhao, H., Ning, S., Xu, X., A., R., & Li, H. (2024). Effects of Alternative Stress of Drought–Flood on Summer Maize Growth and Yield. Water, 16(19), 2742. https://doi.org/10.3390/w16192742

