Effects of Deficit-Regulated Irrigation on Root-Growth Dynamics and Water-Use Efficiency of Winter Wheat in a Semi-Arid Area
Abstract
1. Introduction
2. Materials and Methods
2.1. Experiment Site
2.2. Experiment Design
2.3. Measurements and Data Analysis
2.3.1. Soil Moisture Content
2.3.2. Determination of Root System Characteristics
2.3.3. Grain Yield, ET, and WP
2.3.4. Statistical Analysis
3. Results
3.1. Effects of Deficit-Regulated Irrigation on Soil Water Consumption Characteristics and Its Water-Use Efficiency
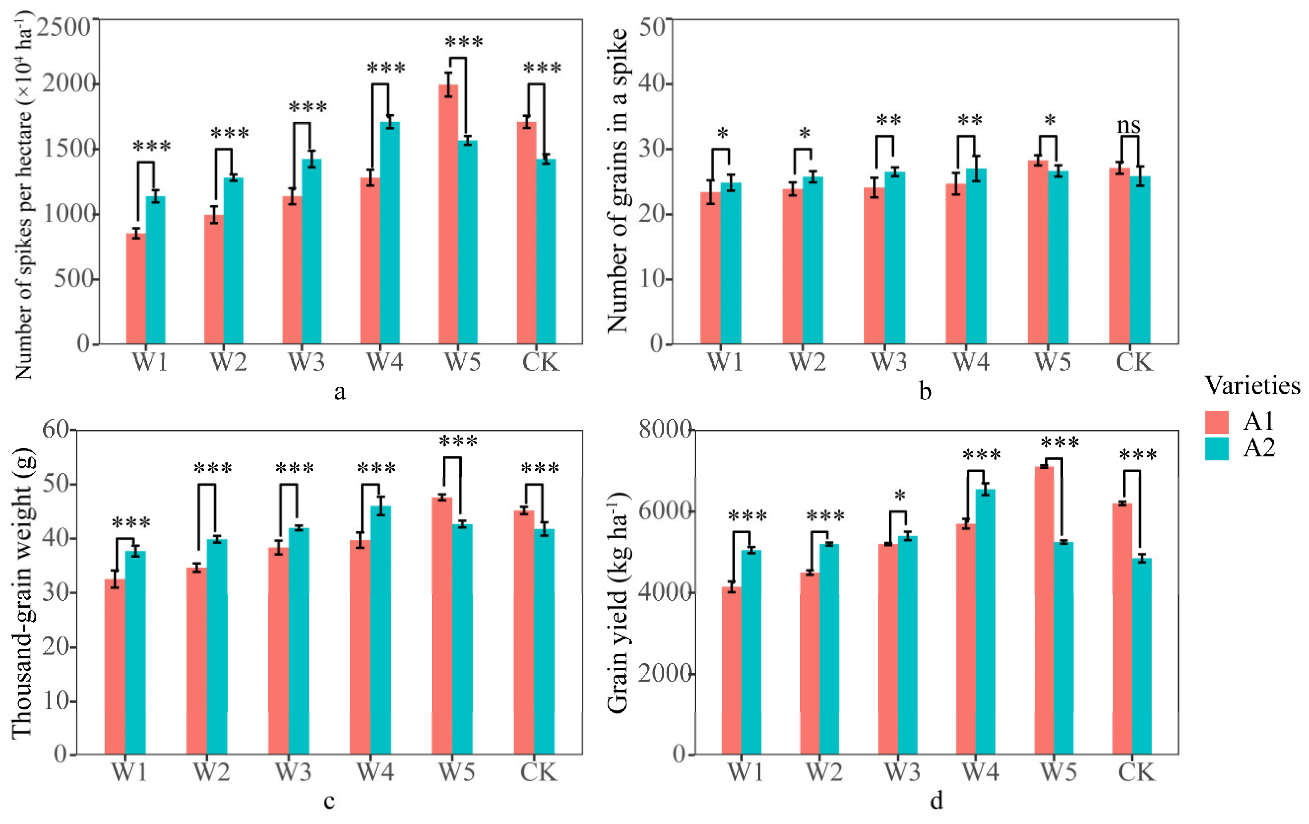
3.2. Effects of Deficit-Regulated Irrigation on Yield and Its Components in Drip-Irrigated Winter Wheat
3.3. Effects of Deficit-Regulated Irrigation on Root Development Indices and Root Architecture
3.4. Effects of Regulated Deficit Irrigation on Root Growth of Winter Wheat under Drip Irrigation
3.5. Effects of Deficit-Regulated Irrigation on Root Growth of Winter Wheat under Drip Irrigation
3.6. Correlation Analysis of Root-Growth Parameters and Yield of Winter Wheat under Drip Irrigation
4. Discussion
5. Conclusions
Author Contributions
Funding
Data Availability Statement
Acknowledgments
Conflicts of Interest
References
- Cui, L.; Ren, Y.; Murray, T.D.; Yan, W.; Guo, Q.; Niu, Y.; Sun, Y.; Li, H. Development of Perennial Wheat Through Hybridization Between Wheat and Wheatgrasses: A Review. Engineering 2018, 4, 507–513. [Google Scholar] [CrossRef]
- Li, C.; Li, L.; Reynolds, M.P.; Wang, J.; Chang, X.; Mao, X.; Jing, R. Recognizing the hidden half in wheat: Root system attributes associated with drought tolerance. J. Exp. Bot. 2021, 72, 5117–5133. [Google Scholar] [CrossRef] [PubMed]
- Hao, R.X.; Sun, M.; Ren, A.X.; Lin, W.; Wang, P.R.; Han, X.Y.; Wang, Q.; Gao, Z.Q. Relationship between water utilization and dry matter accumulation, quality and regulation of sowing density in wide strip sown winter wheat. J. Crop. 2022, 38, 119–126. [Google Scholar]
- Zhao, X.L.; Xing, J.G.; Xue, L.H.; Sun, S.R.; Zhang, J.X.; Mao, Z.M. Effects of sowing pattern on dry matter accumulation, yield and water use efficiency of wheat in Xinjiang. J. Wheat Crop. 2024, 44, 639–647. [Google Scholar]
- Singh, Y.; Rao, S.S.; Regar, P.L. Deficit irrigation and nitrogen effects on seed cotton yield, water productivity and yield response factor in shallow soils of semi-arid environment. Agric. Water Manag. 2010, 97, 965–970. [Google Scholar] [CrossRef]
- Cao, Z.X.; Li, Y.; Shen, X.J.; Sun, N.; Wang, F.; Wang, X.P. Influence of different irrigation parameters on water and salt transport in agricultural fields. J. Irrig. Drain. 2020, 39, 57–62+71. [Google Scholar]
- Li, J.; Wang, J.J.; Chen, J.M. Xinjiang water right reform experience and inspiration. China Water Resour. 2017, 13, 17–19. [Google Scholar]
- Tao, W.H.; Deng, M.J.; Wang, Q.J.; Su, L.J.; Ma, C.K.; Ning, S.R. Connotation and path of eco-agriculture in high-quality development system of agriculture in Northwest Dry Zone. J. Agric. Eng. 2023, 39, 221–232. [Google Scholar]
- Li, Y.X.; Fan, J.L.; Guan, X.Y.; Liu, H.; Yi, F.H. Current situation and countermeasures of agricultural water conservation development in Xinjiang irrigation area. J. Huazhong Agric. Univ. 2024, 43, 93–98. [Google Scholar]
- Zhao, Y.; Zhao, J.B.; Fan, W.J.; Zuo, Q.; Wu, X.; Shen, J.D.; Jiang, P.A.; Shi, J.C. Optimization of water conservation and salt control in cotton fields in Xinjiang based on crop water deficit index and salt leaching coefficient. J. Agric. Eng. 2024, 40, 96–108. [Google Scholar]
- Li, J.; Wang, Z.; Song, Y.; Li, J.; Zhang, Y. Effects of reducing nitrogen application rate under different irrigation methods on grain yield, water and nitrogen utilization in winter wheat. Agronomy 2022, 12, 1835. [Google Scholar] [CrossRef]
- Zhao, L.; Liu, R.H.; Zhang, G.Y.; Tang, Q.Y.; Wang, Z.J.; Wei, M.; Wang, G.D.; Li, Y.X. Effects of different irrigation amounts on the photosynthetic characteristics of rice leaves and root endogenous hormones under mulching drip irrigation. China Agric. Univ. 2023, 28, 12–26. [Google Scholar]
- Hia, E.M.; Maharjan, B.; Park, C.H.; Kim, C.S. Integration of hydroxyapatite on polydopamine-coated zinc oxide nanoparticles: Physicochemical, antibacterial and cytocompatibility study. Mater. Today Commun. 2023, 36, 106747. [Google Scholar] [CrossRef]
- Chen, S.; Sun, H.; Shao, L.; Zhang, X. Performance of winter wheat under different irrigation regimers associated with weather conditions in the North China plain. Aust. J. Crop Sci. 2014, 8, 550–557. [Google Scholar]
- Zhou, L.L.; Liao, S.H.; Wang, Z.M.; Wang, P.; Zhang, Y.-H.; Yan, H.-J.; Gao, Z.; Shen, S.; Liang, X.G.; Wang, J.H.; et al. A simulation of winter wheat crop responses to irrigation management using CERES-Wheat model in the North China Plain. J. Integr. Agric. 2018, 17, 1181–1193. [Google Scholar] [CrossRef]
- Ram, H.; Dadhwal, V.; Vashist, K.K.; Kaur, H. Grain yield and water use efficiency of wheat (Triticum aestivum L.) in relation to irrigation levels and rice straw mulching in North West India. Agric. Water Manag. 2013, 128, 92–101. [Google Scholar] [CrossRef]
- Yang, Y.; Ding, J.; Zhang, Y.; Wu, J.; Zhang, J.; Pan, X.; Gao, C.; Wang, Y.; He, F. Effects of tillage and mulching measures on soil moisture and temperature, photosynthetic characteristics and yield of winter wheat. Agric. Water Manag. 2018, 201, 299–308. [Google Scholar] [CrossRef]
- Meng, Z.J.; Jia, D.L.; Liu, A.N.; Pang, H.B.; Wang, H.Z.; Chen, J.P. Effect of regulated deficit irrigation on physiological mechanism and water use efficiency of winter wheat. Trans. CSAE 2003, 19, 66–69. [Google Scholar]
- Zhang, P.; Ma, G.; Wang, C.; Lu, H.; Li, S.; Lu, X.Q.; Ma, D.; Zhu, Y.; Guo, T. Effect of irrigation and nitrogen application on grain amino acid composition and protein quality in winter wheat. PLoS ONE 2017, 12, e0178494. [Google Scholar] [CrossRef]
- Sun, Y.Y. Research progress on the effect of different cultivation modes on wheat root development. Mod. Agric. Sci. Technol. 2017, 19, 4–6. [Google Scholar]
- Hu, C.; Sadras, V.O.; Lu, G.; Zhang, R.; Yang, X.; Zhang, S. Root pruning enhances wheat yield, harvest index and water-use efficiency in semiarid area. Field Crop. Res. 2019, 230, 62–71. [Google Scholar] [CrossRef]
- Xu, C.; Tao, H.; Tian, B.; Gao, Y.; Ren, J.; Wang, P. Limited-irrigation improves water use efficiency and soil reservoir capacity through regulating root and canopy growth of winter wheat. Field Crop. Res. 2016, 196, 268–275. [Google Scholar] [CrossRef]
- Liu, D.; Mou, S.; Zou, Y.; Yang, B.; Ding, R.; Nie, J.; Zhang, X.; Jia, Z.; Han, Q. Exploring the relationship between deep roots and shoot growth of wheat under different soil moisture: A large soil column experiment 1. Rhizosphere 2023, 25, 100675. [Google Scholar] [CrossRef]
- Gajri, P.R.; Prihar, S.S.; Cheema, H.S.; Kapoor, A. Irrigation and tillage effects on root development, water use and yield of wheat on coarse textured soils. Irrig. Sci. 1991, 12, 161–168. [Google Scholar] [CrossRef]
- Hai, F.; Zhang, Y.Q.; Xie, X.R.; Lu, X.Q.; Cheng, C.X.; Xu, Q.J.; Nie, S.H.; Wang, J.C.; Lei, J.J. Effects of different drip irrigation volumes on photosynthetic characteristics and yield of drip-irrigated winter wheat under limited irrigation. Xinjiang Agric. Sci. 2024, 1–15. Available online: http://kns.cnki.net/kcms/detail/65.1097.S.20240523.0927.002.html (accessed on 21 August 2024).
- Wu, J.; Zhang, R.; Gui, S. Modeling soil water movement with water uptake by roots. Plant Soil 1999, 215, 7–17. [Google Scholar] [CrossRef]
- Wang, Y.H.; Wang, Y.J.; Feng, W.; Wang, C.Y.; Hu, W.L.; Xuan, H.M.; Guo, T.C. Effects of different cultivation patterns on spatial and temporal root distribution and yield of winter wheat under two climatic regimes. Chin. Agric. Sci. 2012, 45, 2826–2837. [Google Scholar]
- Mosaddeghi, M.R.; Mahboubi, A.A.; Safadoust, A. Short-term effects of tillage and manure on some soil physical properties and maize root growth in a sandy loam soil in western Iran. Soil Tillage Res. 2009, 104, 173–179. [Google Scholar] [CrossRef]
- Li, Q.; Dong, B.; Qiao, Y.; Liu, M.; Zhang, J. Root growth, available soil water, and water-use efficiency of winter wheat under different irrigation regimes applied at different growth stages in North China. Agric. Water Manag. 2010, 97, 1676–1682. [Google Scholar] [CrossRef]
- Wang, C.; Liu, W.; Li, Q.; Ma, D.; Lu, H.; Feng, W.; Xue, Y.; Zhu, Y.; Guo, T. Effects of different irrigation and nitrogen regimes on root growth and its correlation with above-ground plant parts in high-yielding wheat under field conditions. Field Crop. Res. 2014, 165, 138–149. [Google Scholar] [CrossRef]
- Guan, D.; Zhang, Y.; Al-Kaisi, M.M.; Wang, Q.; Zhang, M.; Li, Z. Tillage practices effect on root distribution and water use efficiency of winter wheat under rain-fed condition in the North China Plain. Soil Tillage Res. 2015, 146, 286–295. [Google Scholar] [CrossRef]
- Yu, J.T.; Zhao, C.; Shuang, L.; Fan, L.J.; Song, Z.X.; Yang, S.; Zhang, X.Q.; Xia, Q.; Gao, C.; Yang, Z.P. Effect of irrigation on grain yield and nutritional quality of strong wheat. J. Wheat Crops. 2020, 40, 1514–1523. [Google Scholar]
- He, L.Q.; Zhang, W.H.; Du, X.; Zhang, Y.S.; Wang, L.; Cao, C.Y.; Li, K.J. Subsoil mulching and appropriate irrigation to improve water utilisation in winter wheat. J. Agric. Eng. 2016, 32, 94–104. [Google Scholar]
- Devloo-Delva, F.; Gosselin, T.; Butcher, P.A.; Grewe, P.M.; Huveneers, C.; Thomson, R.B.; Werry, J.M.; Feutry, P. An R-based tool for identifying sex-linked markers from restriction site-associated DNA sequencing with applications to elasmobranch conservation. Conserv. Genet. Resour. 2023, 16, 11–16. [Google Scholar] [CrossRef]
- Maqbool, S.; Hassan, M.A.; Xia, X.; York, L.M.; Rasheed, A.; He, Z. Root system architecture in cereals: Progress, challenges and perspective. Plant J. 2022, 110, 23–42. [Google Scholar] [CrossRef] [PubMed]
- Zhang, W.; Li, L.H.; Lu, X. Effects of different irrigation rates on spatial and temporal distribution, water utilization and yield of drip-irrigated spring wheat roots. Northwest J. Agric. 2016, 25, 361–371. [Google Scholar]
- Wang, Y.H.; Liu, H.; Xin, M.H.; Huang, Y.; Wang, Z.Z.; Wang, J.F.; Duan, J.Z.; Feng, W.; Kang, G.Z.; Guo, T.C. Effects of tillage practices and frequency of irrigation on water utilization and seed yield of winter wheat in sandy ginger and black soil. Chin. Agric. Sci. 2019, 52, 801–812. [Google Scholar]
- Zhao, D.D.; Shen, J.Y.; Lang, K.; Liu, Q.R.; Li, Q.Q. Effects of irrigation and wide-precision planting on water use, radiation interception, and grain yield of winter wheat in the North China Plain. Agric. Water Manag. 2013, 118, 87–92. [Google Scholar]
- Xue, L.H.; Duan, J.J.; Wang, Z.M.; Guo, Z.W.; Lu, L.Q. Effects of different water conditions on the spatial and temporal distribution of winter wheat roots, soil water utilization and yield. J. Ecol. 2010, 30, 5296–5305. [Google Scholar]
- Sun, Q.K.; Zhang, J.X.; Zhao, L.J.; Xue, L.H.; Du, L.N. Study on water consumption characteristics and dry matter accumulation distribution of winter wheat under different drip irrigation rates. Arid. Reg. Agric. Res. 2017, 35, 66–73. [Google Scholar]
- Xue, L.H.; Wang, Z.M.; Guo, Z.W.; Liu, Y.P.; Zhao, Z.G. Effects of different irrigation treatments on the spatial and temporal distribution of soil enzyme activities in wheat fields. J. Soil Water Conserv. 2010, 24, 228–232. [Google Scholar]
- Zhang, Y.E.; Yang, X.; Wang, Y.; Zhou, H.M.; Du, C.Y.; He, D.X. Effects of tillage pattern and nitrogen fertilizer transport on major physicochemical properties of soil and crop yield. Arid. Reg. Agric. Res. 2018, 36, 186–193. [Google Scholar]
- Zhang, X.; Hu, C. Root growth and distribution in relation to different water levels. In Enhancing Understanding and Quantification of Soil–Root Growth Interactions; American Society of Agronomy: Madison, WI, USA, 2013; Volume 4, pp. 45–65. Available online: https://acsess.onlinelibrary.wiley.com/doi/abs/10.2134/advagricsystmodel4.c3 (accessed on 21 August 2024).
- Ye, H.; Roorkiwal, M.; Valliyodan, B.; Zhou, L.; Chen, P.; Varshney, R.K.; Nguyen, H.T. Genetic diversity of root system architecture in response to drought stress in grain legumes. J. Exp. Bot. 2018, 69, 3267–3277. [Google Scholar] [CrossRef] [PubMed]
- Tennant, D.; Hall, D. Improving water use of annual crops and pastures—Limitations and opportunities in Western Australia. Aust. J. Agric. Res. 2001, 52, 171–182. [Google Scholar] [CrossRef]
- Nakhforoosh, A.; Grausgruber, H.; Kaul, H.; Bodner, G. Wheat root diversity and root functional characterization. Plant Soil 2014, 380, 211–229. [Google Scholar] [CrossRef]
- Ali, S.; Xu, Y.; Ahmad, I.; Jia, Q.; Ma, X.; Ullah, H.; Alam, M.; Adnan, M.; Daur, I.; Ren, X.; et al. Tillage and deficit irrigation strategies to improve winter wheat production through regulating root development under simulated rainfall conditions. Agric. Water Manag. 2018, 209, 44–54. [Google Scholar] [CrossRef]
- Meng, W.W.; Wang, D.; Yu, Z.; Shi, Y. Effects of different irrigation treatments on nitrogen uptake and partitioning and utilization efficiency of wheat by ~(15)N tracer. J. Plant Nutr. Fertil. 2011, 17, 831–837. [Google Scholar]
- Ma, S.C.; Zhang, W.Q.; Duan, A.W. Effects of different deficit irrigation methods on yield and water use efficiency of winter wheat. J. Irrig. Drain. 2019, 38, 9–14. [Google Scholar]
- Liao, Q.; Chebotarov, D.; Islam, M.S.; Quintana, M.R.; Natividad, M.A.; De Ocampo, M.; Beredo, J.C.; Torres, R.O.; Zhang, Z.; Song, H.; et al. Aus rice root architecture variation contributing to grain yield under drought suggests a key role of nodal root diameter class. Plant Cell Environ. 2022, 45, 854–870. [Google Scholar] [CrossRef]
- Zhang, X.Q.; Cao, C.F.; Qiao, Y.Q.; Li, W.; Chen, H. Response of root traits and canopy photosynthesis of wheat in sand ginger black soil to different irrigation methods. Chin. Agric. Sci. 2015, 48, 1506–1517. [Google Scholar]








| Soil Layer (cm) | 2023–2024 | |
|---|---|---|
| Capacity (g cm−3) | Field Water-Holding Capacity (%) | |
| 0–20 | 1.54 | 25.45 |
| 20–40 | 157 | 24.30 |
| 40–60 | 1.58 | 25.22 |
| 60–80 | 1.56 | 24.34 |
| Varieties | Treatment | Total Water Consumption (g m−2) | |||||
|---|---|---|---|---|---|---|---|
| Rising | Jointing | Botting | Heading | Flowering | Filling | ||
| A1 | W1 | 56.49 a | 66.62 a | 57.06 a | 43.77 a | 30.99 a | 66.91 a |
| W2 | 64.50 b | 69.63 b | 62.30 b | 71.04 b | 34.74 b | 70.65 b | |
| W3 | 67.64 c | 75.91 c | 69.35 c | 81.55 c | 41.94 c | 147.28 c | |
| W4 | 70.05 d | 82.78 d | 74.42 d | 94.54 d | 61.57 d | 92.00 d | |
| W5 | 69.42 e | 89.52 e | 83.43 e | 110.42 e | 92.11 e | 96.88 e | |
| CK | 66.42 f | 85.85 f | 99.48 f | 137.05 f | 124.75 f | 104.86 f | |
| A2 | W1 | 60.30 a | 52.00 a | 45.77 a | 69.94 a | 21.72 a | 60.64 a |
| W2 | 71.76 b | 64.16 b | 49.12 b | 76.50 b | 30.73 b | 72.79 b | |
| W3 | 76.00 c | 73.64 c | 59.24 c | 92.14 c | 53.42 c | 86.91 c | |
| W4 | 77.85 d | 78.82 d | 65.05 d | 102.09 d | 65.01 d | 99.20 d | |
| W5 | 81.52 e | 86.20 e | 76.00 e | 105.31 e | 82.04 e | 103.15 e | |
| CK | 85.62 f | 75.66 f | 94.98 f | 92.59 f | 105.21 f | 70.24 f | |
| Significance level | |||||||
| A | *** | *** | *** | *** | *** | *** | |
| W | *** | *** | *** | *** | *** | *** | |
| A × W | *** | *** | *** | *** | *** | *** | |
| Varieties | Treatment | WUE (kg ha−1 mm−2) | |||||
|---|---|---|---|---|---|---|---|
| Rising | Jointing | Botting | Heading | Flowering | Filling | ||
| A1 | W1 | 73.46 a | 62.29 a | 72.73 a | 94.81 a | 133.89 a | 62.02 a |
| W2 | 69.77 b | 64.63 b | 72.23 b | 63.34 b | 129.54 b | 63.70 b | |
| W3 | 76.88 c | 68.51 c | 74.98 c | 63.76 c | 123.99 c | 35.31 c | |
| W4 | 81.37 d | 68.86 d | 76.59 d | 60.29 d | 92.58 d | 61.96 d | |
| W5 | 102.28 e | 79.31 e | 85.11 e | 64.30 e | 77.09 e | 73.29 e | |
| CK | 93.34 f | 72.22 f | 62.32 f | 45.24 f | 49.70 f | 59.13 f | |
| A2 | W1 | 83.76 a | 97.12 a | 110.33 a | 72.20 a | 232.56 a | 83.27 a |
| W2 | 72.47 b | 81.05 b | 105.86 b | 67.98 b | 169.19 b | 71.44 b | |
| W3 | 71.05 c | 73.33 c | 91.15 c | 58.61 c | 101.09 c | 62.13 c | |
| W4 | 84.14 d | 83.10 d | 100.70 d | 64.16 d | 100.76 d | 66.03 d | |
| W5 | 64.41 e | 60.91 e | 69.076 e | 49.85 e | 63.99 e | 50.90 e | |
| CK | 56.64 f | 64.10 f | 51.06 f | 52.38 f | 46.10 f | 69.05 f | |
| Significance level | |||||||
| A | *** | *** | *** | *** | *** | *** | |
| W | *** | *** | *** | *** | *** | *** | |
| A × W | *** | *** | *** | *** | *** | *** | |
| Varieties | Treatment | TRSA (×103 m2 ha−1) | |||||
|---|---|---|---|---|---|---|---|
| Rising | Jointing | Botting | Heading | Flowering | Filling | ||
| A1 | W1 | 7.54 a | 21.70 a | 5.09 a | 6.81 a | 2.76 a | 6.29 a |
| W2 | 9.33 b | 23.29 b | 5.22 b | 8.74 b | 4.91 b | 7.75 b | |
| W3 | 9.79 c | 24.51 c | 5.55 c | 8.68 c | 7.35 c | 7.51 c | |
| W4 | 9.11 d | 30.54 d | 8.12 d | 11.32 d | 26.03 d | 9.13 d | |
| W5 | 20.34 e | 42.34 e | 15.09 e | 21.16 e | 25.32 e | 21.87 e | |
| CK | 14.00 f | 27.50 f | 12.81 f | 15.45 f | 10.53 f | 14.95 f | |
| A2 | W1 | 13.10 a | 34.53 a | 7.45 a | 9.21 a | 9.19 a | 10.24 a |
| W2 | 12.55 b | 29.11 b | 8.24 b | 10.61 b | 8.96 b | 10.93 b | |
| W3 | 14.22 c | 31.78 c | 8.25 c | 11.20 c | 7.80 c | 10.64 c | |
| W4 | 21.33 d | 47.22 d | 13.62 d | 15.32 d | 11.95 d | 18.37 d | |
| W5 | 14.01 e | 30.19 e | 11.51 e | 8.92 e | 7.58 e | 11.70 e | |
| CK | 11.73 f | 22.16 f | 8.71 f | 7.96 f | 7.32 f | 10.26 f | |
| Significance level | |||||||
| A | *** | *** | *** | *** | *** | *** | |
| W | *** | *** | *** | *** | *** | *** | |
| A × W | *** | *** | *** | *** | *** | *** | |
| Varieties | Treatment | TRV (m3 ha−1) | |||||
|---|---|---|---|---|---|---|---|
| Rising | Jointing | Botting | Heading | Flowering | Filling | ||
| A1 | W1 | 1.32 a | 21.70 a | 5.09 a | 6.81 a | 2.76 a | 6.29 a |
| W2 | 1.97 b | 23.29 b | 5.22 b | 8.74 b | 4.91 b | 7.75 b | |
| W3 | 2.21 c | 24.51 c | 5.55 c | 8.68 c | 7.35 c | 7.51 c | |
| W4 | 2.14 d | 30.54 d | 8.12 d | 11.32 d | 26.03 d | 9.13 d | |
| W5 | 5.37 e | 42.34 e | 15.09 e | 21.16 e | 25.32 e | 21.87 e | |
| CK | 3.53 f | 27.50 f | 12.81 f | 15.45 f | 10.53 f | 14.95 f | |
| A2 | W1 | 2.27 a | 34.53 a | 7.45 a | 9.21 a | 9.19 a | 10.24 a |
| W2 | 2.09 b | 29.11 b | 8.24 b | 10.61 b | 8.96 b | 10.93 b | |
| W3 | 2.93 c | 31.78 c | 8.25 c | 11.20 c | 7.80 c | 10.64 c | |
| W4 | 4.16 d | 47.22 d | 13.62 d | 15.32 d | 11.95 d | 18.37 d | |
| W5 | 3.34 e | 30.19 e | 11.51 e | 8.92 e | 7.58 e | 11.70 e | |
| CK | 2.69 f | 22.16 f | 8.71 f | 7.96 f | 7.32 f | 10.26 f | |
| Significance level | |||||||
| A | *** | *** | *** | *** | *** | *** | |
| W | *** | *** | *** | *** | *** | *** | |
| A × W | *** | *** | *** | *** | *** | *** | |
Disclaimer/Publisher’s Note: The statements, opinions and data contained in all publications are solely those of the individual author(s) and contributor(s) and not of MDPI and/or the editor(s). MDPI and/or the editor(s) disclaim responsibility for any injury to people or property resulting from any ideas, methods, instructions or products referred to in the content. |
© 2024 by the authors. Licensee MDPI, Basel, Switzerland. This article is an open access article distributed under the terms and conditions of the Creative Commons Attribution (CC BY) license (https://creativecommons.org/licenses/by/4.0/).
Share and Cite
Wang, Z.; Zhang, B.; Li, J.; Lian, S.; Zhang, J.; Shi, S. Effects of Deficit-Regulated Irrigation on Root-Growth Dynamics and Water-Use Efficiency of Winter Wheat in a Semi-Arid Area. Water 2024, 16, 2678. https://doi.org/10.3390/w16182678
Wang Z, Zhang B, Li J, Lian S, Zhang J, Shi S. Effects of Deficit-Regulated Irrigation on Root-Growth Dynamics and Water-Use Efficiency of Winter Wheat in a Semi-Arid Area. Water. 2024; 16(18):2678. https://doi.org/10.3390/w16182678
Chicago/Turabian StyleWang, Ziqian, Bo Zhang, Jiahao Li, Shihao Lian, Jinshan Zhang, and Shubing Shi. 2024. "Effects of Deficit-Regulated Irrigation on Root-Growth Dynamics and Water-Use Efficiency of Winter Wheat in a Semi-Arid Area" Water 16, no. 18: 2678. https://doi.org/10.3390/w16182678
APA StyleWang, Z., Zhang, B., Li, J., Lian, S., Zhang, J., & Shi, S. (2024). Effects of Deficit-Regulated Irrigation on Root-Growth Dynamics and Water-Use Efficiency of Winter Wheat in a Semi-Arid Area. Water, 16(18), 2678. https://doi.org/10.3390/w16182678
