Groundwater Pollution Source and Aquifer Parameter Estimation Based on a Stacked Autoencoder Substitute
Abstract
1. Introduction
2. Methodology
2.1. The Mathematical Simulator
2.2. The SAE Substitute
- (1)
- Greedy training layer by layer without supervision
- (2)
- Supervised fine adjustment
2.3. CHSIP
3. Application
3.1. Site Profile
3.2. Operation of Simulator
3.3. Establishment of Substitute
3.3.1. Acquiring of Training and Testing Samples
3.3.2. Establishment of GP Substitute
3.3.3. Establishment of SAE Substitute
4. Outcomes and Discussions
4.1. Accuracy of the Substitute
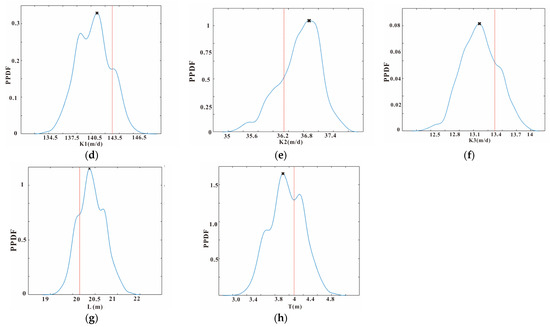
4.2. Estimation Outcomes
5. Conclusions
Author Contributions
Funding
Data Availability Statement
Conflicts of Interest
References
- Guo, J.; Lu, W.; Yang, Q.; Miao, T. The application of 0–1 mixed integer nonlinear programming optimization model based on a surrogate model to identify the groundwater pollution source. J. Contam. Hydrol. 2019, 220, 18–25. [Google Scholar] [CrossRef] [PubMed]
- Lapworth, D.J.; Baran, N.; Stuart, M.E.; Ward, R.S. Emerging organic contaminants in groundwater: A review of sources, fate and occurrence. Environ. Pollut. 2012, 163, 287–303. [Google Scholar] [CrossRef] [PubMed]
- Yao, Y.; Yang, F.; Suuberg, E.M.; Provoost, J.; Liu, W. Estimation of contaminant subslab concentration in petroleum vapor intrusion. J. Hazard. Mater. 2014, 279, 336–347. [Google Scholar] [CrossRef] [PubMed][Green Version]
- Zanini, A.; D’Oria, M.; Tanda, M.G.; Woodbury, A.D. Coupling empirical Bayes and Akaike’s Bayesian information criterion to estimate aquifer transmissivity fields. Math. Geosci. 2020, 52, 425–441. [Google Scholar] [CrossRef]
- Mirghani, B.Y.; Zechman, E.M.; Ranjithan, R.S.; Mahinthakumar, G. Enhanced Simulation-Optimization Approach Using Surrogate Modeling for Solving Inverse Problems. Environ. Forens. 2012, 13, 348–363. [Google Scholar] [CrossRef]
- Shen, C.P. A Transdisciplinary Review of Deep Learning Research and Its Relevance for Water Resources Scientists. Water Resour. Res. 2018, 54, 8558–8593. [Google Scholar] [CrossRef]
- Mirarabi, A.; Nassery, H.R.; Nakhaei, M.; Adamowski, J.; Akbarzadeh, A.H.; Alijani, F. Evaluation of data-driven models (SVR and ANN) for groundwater-level prediction in confined and unconfined systems. Environ. Geol. 2019, 78, 489.1–489.15. [Google Scholar] [CrossRef]
- Zanini, A.; Tanda, M.G.; Woodbury, A.D. Identification of transmissivity fields using a Bayesian strategy and perturbative approach. Adv. Water Resour. 2017, 108, 69–82. [Google Scholar] [CrossRef]
- Asher, M.J.; Croke, B.F.W.; Jakeman, A.J.; Peeters, L.J.M. A review of surrogate models and their application to groundwater modeling. Water Resour. Res. 2015, 51, 5957–5973. [Google Scholar] [CrossRef]
- Prakash, O.; Datta, B. Sequential optimal monitoring network design and iterative spatial estimation of pollutant concentration for identification of unknown groundwater pollution source locations. Environ. Monit. Assess. 2012, 185, 5611–5626. [Google Scholar] [CrossRef]
- Zhao, Y.; Qu, R.; Xing, Z.; Lu, W. Identifying groundwater contaminant sources based on a KELM surrogate model together with four heuristic optimization algorithms Adv. Water Resour. 2020, 138, 103540. [Google Scholar] [CrossRef]
- Lu, W.; Wang, H.; Li, J. Parallel heuristic search strategy based on a Bayesian approach for simultaneous recognition of contaminant sources and aquifer parameters at DNAPL-contaminated sites. Environ. Sci. Pollut. Res. 2020, 27, 37134–37148. [Google Scholar] [CrossRef] [PubMed]
- Xing, Z.; Qu, R.; Zhao, Y.; Fu, Q.; Ji, Y.; Lu, W. Identifying the Release History of a Groundwater Contaminant Source Based on an Ensemble Surrogate Model. J. Hydrol. 2019, 572, 501–516. [Google Scholar] [CrossRef]
- Zhao, Y.; Lu, W.; Xiao, C. A Kriging surrogate model coupled in simulation-optimization approach for identifying release history of groundwater sources. J. Contam. Hydrol. 2016, 185–186, 51–60. [Google Scholar] [CrossRef]
- Han, Z.; Lu, W.; Fan, Y.; Lin, J.; Yuan, Q. A surrogate-based simulation-optimization approach for coastal aquifer management. Water Supply 2020, 20, 3404–3418. [Google Scholar] [CrossRef]
- Matott, L.S.; Rabideau, A.J. Calibration of complex subsurface reaction models using a surrogate-model approach. Adv. Water Resour. 2008, 31, 1697–1707. [Google Scholar] [CrossRef]
- Zanini, A.; Woodbury, A.D. Contaminant source reconstruction by empirical Bayes and Akaike’s Bayesian Information Criterion. J. Contam. Hydrol. 2016, 185–186, 74–86. [Google Scholar] [CrossRef]
- Jin, J.; Zhang, C.; Feng, F.; Na, W.C.; Ma, J.G.; Zhang, Q.J. Deep Neural Network Technique for High-Dimensional Microwave Modeling and Applications to Parameter Extraction of Microwave Filters. IEEE Trans. Microw. Theory 2019, 67, 4140–4155. [Google Scholar] [CrossRef]
- Zhao, Y.; Lu, W.; An, Y. Surrogate model-based simulation-optimization approach for groundwater source identification problems. Environ. Forensics 2015, 16, 296–303. [Google Scholar] [CrossRef]
- Zhou, C.; Zhou, J.; Cai, Y.U.; Zhao, W.; Pan, R. Multi-channel sliced deep RCNN with residual network for text classification. Chin. J. Electron. 2020, 29, 880–886. [Google Scholar] [CrossRef]
- Popa, C.A. Complex-Valued Deep Belief Networks. In Advances in Neural Networks–ISNN 2018: 15th International Symposium on Neural Networks, ISNN 2018, Minsk, Belarus, 25–28 June 2018; Springer: Cham, Switzerland, 2018. [Google Scholar]
- Wang, S.H.; Phillips, P.; Sui, Y.; Liu, B.; Yang, M.; Cheng, H. Classification of Alzheimer’s disease based on Eight-layer convolutional neural network with leaky rectified linear unit and max pooling. J. Med. Syst 2018, 42, 85. [Google Scholar] [CrossRef] [PubMed]
- Hinton, G.E.; Osindero, S.; Teh, Y.W. A fast learning algorithm for deep belief nets. Neural Comput. 2014, 18, 1527–1554. [Google Scholar] [CrossRef] [PubMed]
- Malihi, L.; Malihi, R. Single stuck-at-faults detection using test generation vector and deep stacked-sparse-autoencoder. SN Appl. Sci. 2020, 2, 1715. [Google Scholar] [CrossRef]
- Hinton, G.E.; Salakhutdinov, R. Reducing the dimensionality of data with neural networks. Science 2006, 313, 504–507. [Google Scholar] [CrossRef] [PubMed]
- Wang, H.; Lu, W.; Chang, Z. An iterative updating heuristic search strategy for groundwater contamination source identification based on an ACPSO-ELM surrogate system. Stoch. Env. Res. Risk Assess. 2021, 35, 2153–2172. [Google Scholar] [CrossRef]
- Wang, H.; Lu, W. Groundwater contamination source-sink analysis based on random statistical method for a practical case. Stoch. Env. Res. Risk Assess. 2022, 36, 4157–4174. [Google Scholar] [CrossRef]
- Wang, H.; Lu, W.; Li, J. Groundwater contaminant source characterization with simulator parameter estimation utilizing a heuristic search strategy based on the stochastic-simulation statistic method. J. Contam. Hydrol. 2020, 234, 103681. [Google Scholar] [CrossRef]















| Unknown Variables | Truth Value |
|---|---|
| P1 (g/s) | 29.3 |
| P2 (g/s) | 21.3 |
| P3 (g/s) | 12.8 |
| K1 (m/d) | 143.5 |
| K2 (m/d) | 36.2 |
| K3 (m/d) | 13.4 |
| L (m) | 20 |
| T (m) | 4 |
| Interval | 1 | 2 | 3 | 4 | 5 | 6 | 7 | 8 |
|---|---|---|---|---|---|---|---|---|
| Monitoring well 1 (mg/L) | 101 | 520 | 825 | 1030 | 840 | 600 | 340 | 195 |
| Monitoring well 2 (mg/L) | 11 | 23 | 124 | 275 | 440 | 596 | 610 | 580 |
| Monitoring well 3 (mg/L) | 3 | 6 | 8 | 12 | 45 | 135 | 240 | 365 |
| Parameter | |||||||||
|---|---|---|---|---|---|---|---|---|---|
| Value | 0.17 | 0.06 | 0.02 | 0.06 | 0.50 | 1.47 | 0.27 | 0.15 | 0.29 |
| Unknown Variable | Truth Value | Point Estimation | Relative Error |
|---|---|---|---|
| P1 (g/s) | 29.3 | 29.7 | 1.37% |
| P2 (g/s) | 21.3 | 20.7 | 2.82% |
| P3 (g/s) | 12.8 | 13.2 | 3.12% |
| K1 (m/d) | 143.5 | 140.5 | 2.09% |
| K2 (m/d) | 36.2 | 36.8 | 1.66% |
| K3 (m/d) | 13.4 | 13.1 | 2.24% |
| L (m) | 20 | 20.5 | 2.50% |
| T (m) | 4 | 3.85 | 3.75% |
| Monitoring Well | Precision Evaluation Index | GP | SAE |
|---|---|---|---|
| 1 | Index I | 0.8935 | 0.9912 |
| Index II (%) | 24.66 | 14.73 | |
| Index III (mg/L) | 27.69 | 18.01 | |
| Index IV (%) | 14.16 | 4.17 | |
| 2 | Index I | 0.8827 | 0.9937 |
| Index II (%) | 32.73 | 10.30 | |
| Index III (mg/L) | 30.13 | 16.58 | |
| Index IV (%) | 17.41 | 3.85 | |
| 3 | Index I | 0.8852 | 0.9945 |
| Index II (%) | 27.90 | 8.56 | |
| Index III (mg/L) | 32.23 | 16.12 | |
| Index IV (%) | 15.26 | 3.59 |
Disclaimer/Publisher’s Note: The statements, opinions and data contained in all publications are solely those of the individual author(s) and contributor(s) and not of MDPI and/or the editor(s). MDPI and/or the editor(s) disclaim responsibility for any injury to people or property resulting from any ideas, methods, instructions or products referred to in the content. |
© 2024 by the authors. Licensee MDPI, Basel, Switzerland. This article is an open access article distributed under the terms and conditions of the Creative Commons Attribution (CC BY) license (https://creativecommons.org/licenses/by/4.0/).
Share and Cite
Wang, H.; Zhang, J.; Li, H.; Li, G.; Guo, J.; Lu, W. Groundwater Pollution Source and Aquifer Parameter Estimation Based on a Stacked Autoencoder Substitute. Water 2024, 16, 2564. https://doi.org/10.3390/w16182564
Wang H, Zhang J, Li H, Li G, Guo J, Lu W. Groundwater Pollution Source and Aquifer Parameter Estimation Based on a Stacked Autoencoder Substitute. Water. 2024; 16(18):2564. https://doi.org/10.3390/w16182564
Chicago/Turabian StyleWang, Han, Jinping Zhang, Hang Li, Guanghua Li, Jiayuan Guo, and Wenxi Lu. 2024. "Groundwater Pollution Source and Aquifer Parameter Estimation Based on a Stacked Autoencoder Substitute" Water 16, no. 18: 2564. https://doi.org/10.3390/w16182564
APA StyleWang, H., Zhang, J., Li, H., Li, G., Guo, J., & Lu, W. (2024). Groundwater Pollution Source and Aquifer Parameter Estimation Based on a Stacked Autoencoder Substitute. Water, 16(18), 2564. https://doi.org/10.3390/w16182564
