Abstract
In response to the incident of tourists falling into the sea due to waves on the seawall berm at Macau Road, Qingdao, during the passage of Typhoon “Songda” in 2022, a combination of numerical simulations and physical model experiments was performed to investigate the mechanics of the event, with emphasis on the wave flow characteristics and the flow evolution process on the seawall berm as well as the force exerted on a human body-equivalent cylinder model. The study found that the thickness of the return flow was significantly greater than that of the overtopping flow on the landward part of the berm. The recoil forces applied to the model on the berm were larger than the impact forces, and the ratio tended towards 1 as the wave height increased. In addition, the stability of pedestrians on the seawall berm was analyzed. The instability conditions for pedestrians in cross-wave flows differed slightly from those in floods.
1. Introduction
In recent years, offshore areas and coastal zones have attracted increasing attention because of their favorable natural environments and the abundance of water activities. Coastal and shoreline facilities in these areas have more diverse functions and uses than ports and near-shore facilities, which are traditionally used for industrial and transport purposes. For example, scenic sloped seawalls can effectively resist offshore waves while harmoniously blending with the surrounding landscape, enhancing the aesthetic appeal. This represents a new type of environmentally friendly hydraulic structure. As shown in Figure 1, such scenic sloped seawalls typically have smooth, impermeable surfaces and are mainly composed of a lower slope, a berm, and an upper slope. The viewing platform not only has a relatively low crest but also provides sufficient width, offering ample space for tourists. However, under the action of larger waves, such scenic sloped seawalls may face the challenge of overtopping flows. In specific cases, statistics provided by Allsop [1] show that between 1999 and 2002, at least 12 people in the UK died due to overtopping accidents. The EurOtop [2] manual also mentions that in 2005, many pedestrians perished on similar seawall structures due to wave action, and coastal managers found it challenging to completely prevent tourists from coming to the shore to watch the giant waves. Typhoons “Lekima” (No. 9) and “Lingling” (No. 13) in 2019, and Typhoon “Songda” (No. 5) in 2022 had significant impacts on the eastern coastal areas of China. During “Lekima” and “Lingling”, multiple incidents of tourist injuries occurred. A more severe situation occurred during Typhoon Sanda, as shown in Figure 2. Two tourists were playing on the viewing platform of the scenic sloped seawall shown in Figure 1 when they were swept into the sea by the return flow action generated by the wave impact, resulting in their unfortunate deaths. These cases highlight the importance and challenges of coastal safety management under extreme weather conditions. Therefore, it is crucial to accurately assess the overtopping flow and return flow characteristics of such scenic sloped seawalls, as well as the wave forces experienced by pedestrians.
Figure 1.
Typical landscaped sloping dikes.
Figure 2.
Two tourists were swept out to sea during Typhoon Songda on 31 July 2022.
In the assessment of the damage mechanisms of overtopping flows on seawalls, a substantial body of physical experimental results already exists. VanderMeer et al. [3] synthesized a large number of experimental results and pointed out that overtopping flow velocity is a key factor in determining whether a seawall will suffer erosive damage. Schüttrumpf and Oumeraci [4] compiled previous physical experimental data and conducted physical model tests on the flow velocity and thickness of overtopping flows on seawalls. They used the imaginary climbing method to study the overtopping process of waves from both theoretical and experimental perspectives, deriving a set of semi-theoretical and semi-empirical formulas. The formulas for calculating the flow thickness and velocity on the seawall crest are as follows:
with: hc = layer thickness; vc = overtopping flow velocity on the dike crest; xc = coordinate on the dike crest; f = bottom friction coefficient.
For scenic sloped seawalls, it is essential not only to assess the damage mechanisms of overtopping flows on the seawall but also to prioritize the safety of tourists in the viewing area. Figure 2 shows a photo of the incident where two tourists were swept into the sea during Typhoon “Songda”. Using this incident as a typical case for analysis, the impact of typhoon waves on people on the viewing platform can be divided into two stages: the first stage is when the waves climb up to the viewing platform and strike the people; the second stage is the influence of the return flow on pedestrians after the waves’ second climb. Selecting a wave type similar to typhoon waves is particularly important for this study. Due to the similarity in waveform and water particle velocity between solitary waves and long waves like tsunamis and typhoon waves, many researchers often use solitary waves to simulate the overtopping and impact phenomena of tsunamis and typhoon waves. Hsiao and Lin et al. [5] and Lin and Hwang et al. [6] conducted a series of indoor experiments using solitary waves to simulate the effects of three types of tsunamis on sloping beach seawalls. They measured and compared the wave evolution process, impact pressure along the seawall surface, the total overtopping volume behind the seawall, and the maximum run-up height on the rear slope. Dodd et al. [7] conducted experiments on solitary waves overtopping seawalls. The model reproduced the water depth over the seawall crest and accurately simulated the initial wave height of the regenerated waves. Yamamoto et al. [8] analyzed the disaster case on the western coast of Thailand caused by the Indian Ocean tsunami. Through physical model experiments on cross-sections of seawall overtopping, they proposed a formula for the average overtopping volume of tsunami waves. Stansby et al. [9] established a numerical model for solitary wave run-up and overtopping based on higher-order Boussinesq equations and analyzed the variation patterns of solitary wave run-up and overtopping flow layer thickness under different incident wave conditions. Özhan et al. [10] conducted physical model experiments to measure the overtopping characteristics of a steep slope seawall model under different incident wave conditions and used the weir flow analogy method to propose an empirical formula for calculating the overtopping volume of solitary waves. Baldock et al. [11] conducted physical model experiments, comprehensively analyzing the experimental data and previous research results, and concluded that the overtopping volume of solitary waves is influenced by run-up height and crest freeboard. Franco et al. [12,13,14] conducted a comprehensive experimental study on the overtopping volumes of breakwaters and statistically evaluated the impact of overtopping flows on pedestrians behind the breakwater. The study identified that the critical threshold for potential danger from overtopping volumes ranges between 0.2 and 2 m3/m. Additionally, Franco made a significant observation that a concentrated jet of overtopping water, even at a volume as low as 0.05 m3/m, is sufficient to cause a person to fall, which is far below previous expectations. This research underscores the necessity of thoroughly considering the potential threat of overtopping water to pedestrian safety in breakwater design.
The study of wave impacts on the human body has many similarities with research on human safety in floods. Abt et al. [15] tested the destabilizing factors of floods on real people under different road conditions. Arrighi et al. [16] introduced dimensionless parameters composed of water flow and human characteristics as criteria for determining instability and conducted numerical simulations of human instability under flood flow, providing a new method for assessing the risk to people during floods. Postacchini et al. [17] simplified human legs as two cylinders and tested the forces and moments on the human body under different combinations of water depth and flow velocity, finding that during high-speed/shallow-water conditions, the hydrostatic components of the forces and moments were comparable to the hydrodynamic components. Cao et al. [18] pointed out that the forces on the human body from overtopping flow differ somewhat from those in flood conditions. The impact of overtopping flow on the human body can be understood as the impact of high-speed water flow. Using an equivalent cylinder to approximate pedestrians, Cao conducted studies combining experiments and numerical simulations to examine the forces on a cylinder on a vertical seawall under non-breaking overtopping flow. Later, Cao and Chen et al. [19,20] continued to study the interaction between overtopping flow and a cylinder on a sloped seawall, again combining experiments and numerical simulations. Physical model experiments provided direct observations of the entire physical process, as well as measurements of overtopping flow depth and the inward forces on the cylinder, focusing mainly on overtopping flow velocity and pressure distribution around the cylinder, and demonstrated the effectiveness of using an equivalent cylinder to approximate pedestrians through physical experiments. Additionally, Tan et al. [21] studied the forces on different human postures on a sloped seawall, finding that the maximum force on the human body in sitting and lying postures was approximately three and four times greater, respectively, than that in standing posture due to the increased collision area. It is noteworthy that Cao’s research primarily focused on the impact forces on the human body on simple seawalls (without an upper slope), without addressing the phenomena of secondary wave run-up and return flow, or considering the threat of the human body being swept into the sea by return flow.
This study establishes a scaled model of the seawall at the accident site near Macao Road in Qingdao during Typhoon “Songda,” using solitary waves to simulate the overtopping flow characteristics and impact forces of typhoon waves on the human body. A numerical model based on the Reynolds-Averaged Navier-Stokes (RANS) equations is established, with the human body simplified as an equivalent cylinder, to simulate the impact and recoil forces on the cylinder on the viewing platform. The focus is on the differences in peak impact and recoil forces and the influencing factors. Related physical wave tank experiments are conducted to obtain verification data for the simulations. The verified numerical model is then used to analyze the effect of flow thickness and velocity on the forces experienced by the cylinder. The rest of the paper is arranged as follows. Section 2 describes the experimental setup and testing instruments. Section 3 details the numerical methods and verification. Section 4 discusses the numerical results. Section 5 evaluates the stability of individuals on the viewing platform in conjunction with previous research on floods. Section 6 summarizes the relevant conclusions.
2. Experimental Model
The physical model experiments were conducted in the wave tank at Zhejiang Ocean University. The dimensions of the wave tank are 32 m in length, 0.8 m in width, and 1 m in height. The left side of the tank is equipped with a paddle-type wave generator. A schematic diagram of the physical model experiment is shown in Figure 3. In this experiment, a scaled model of the Macao Road seawall in Qingdao was selected as the research subject. The berm freeboard Rc and other specific physical parameters are shown in Figure 3c. According to the Froude similarity criterion, the model scale ratio is determined to be l = 1:5. The composite sloped seawall is located 20 m from the wave generator (X = 20 m). To ensure accurate wave formation in front of the sloped seawall, two wave gauges (WG1 and WG2) are placed 1–2 m in front of the scenic sloped seawall, with each wave gauge spaced 1 m apart. The actual width of the lower part of the human body is chosen to be 0.4 m [11]. In the experiment, an acrylic cylinder with a diameter of 0.08 m is introduced to simulate the human body. The front edge of the cylinder is positioned 0.1 m from the front edge of the seawall (xc = 0.1 m). As shown in Figure 4, two six-axis force sensors (KWR75 series-RS422, range 40N, sampling frequency 1 kHz) are installed above the cylinder to measure the forces on the cylinder. There is a small gap between the bottom of the cylinder and the seawall to minimize the impact of wave tank vibrations on the cylinder. A Sony FDR-AX100E high-speed camera is mounted on the side of the wave tank to record the experimental process. The camera has a sampling rate of up to 25 frames per second, supports 12× optical zoom, and has a resolution of 3840 × 2160 pixels. The water depth used in the experiment was set based on the Qingdao tide table, with four different water depths and four different wave heights selected. The specific settings are shown in Table 1.
Figure 3.
Schematic of physical wave tank. (a) Side view. (b) Top view. (c) Definition of relevant physical quantities.
Figure 4.
Schematic diagram of six-axis force sensors installation.
Table 1.
Test Setting and Parameters.
3. Numerical Model and Verification
3.1. Governing Equations
In the simulation of wave propagation, the water body is assumed as a continuous incompressible viscous fluid. In this paper, the two-phase flow solver in OpenFOAM is used to solve the Navier-Stokes (RANS) equations based on the finite volume method and fluid incompressibility, and the governing equations are as follows:
where xi represents the Cartesian coordinates, i = (1, 2, 3), ui is the Reynolds-averaged velocity, gi is the force vector, ρ is the density, p is the pressure, and μ is the dynamic viscosity. The shear strain rate Sij is defined as follows:
And the Reynolds stress τij is calculated based on the Boussinesq approximation as follows:
where the superscript denotes turbulent pulsation and the underlined line denotes the Reynolds-averaged process. k is the turbulent kinetic energy, δij is the Kronecker delta, and μT the eddy viscosity. The numerical model is the standard k-ω SST turbulence model, which mainly simulates the turbulent kinetic energy k and the specific dissipation rate ω.
The Volume of Fluid (VOF) method is used to capture the free surface, where the water volume fraction field α is implicitly employed to indicate the position of the free surface. The governing equation for α is the following:
To correct sharp surfaces and constrain α values between 0 and 1, an artificial compression term is introduced to modify the equation:
where is the relative velocity. The term is the artificial compression term, which is conservative and equals zero when the medium is entirely water or air. This term only acts at the water-air interface and does not affect the rest of the flow field.
The fluid density ρ and dynamic viscosity μ in each grid cell at the free surface can be distinguished using α as follows:
where and represent the densities of water and air, respectively; and represent the dynamic viscosities of water and air, respectively.
In this model, the inflow boundary on the left side of the wave tank is defined as the wave boundary, and the solitary wave is simulated using the velocity inlet wave generation method. Based on the analytical solution of wave theory, the wave height and water particle velocity at the incident boundary are set for wave generation. The Boussinesq-type solitary wave surface equation is the following:
where η is the wave surface elevation, H is the wave height, d is the water depth, x is the horizontal position, t is the time, c is the wave speed, and g is the gravitational acceleration.
The water particle velocity induced by the forward movement of the solitary wave can be calculated using Equations (12) and (13):
3.2. Model Design
The numerical model uses a three-dimensional wave tank with dimensions of 11.24 m in length, and the width and height are consistent with the physical model experiment. To improve computational efficiency, symmetry boundaries are applied on both sides. In the computational domain, x = 8 m represents the position of the lower slope toe, y = 0 indicates the centerline of the wave tank, and z = 0 corresponds to the bottom of the wave tank. Figure 5 shows a three-dimensional view of the numerical wave tank and a refined view around the cylinder. Three different grid sizes were selected, defined as coarse, medium, and fine grids (with the average mesh sizes in each direction being dx = 0.030, 0.025, 0.020, dy = 0.025, 0.015, 0.010 and dz = 0.015, 0.012, 0.010, respectively, in meters). The grid numbers are 1.5 million, 3.1 million, and 4.7 million, respectively, with grid refinement applied to the water–air interface region and around the cylinder. All three grid sets use adaptive time stepping with a maximum Courant number of 0.25. The grid convergence verification is shown in Figure 6. Figure 6a shows the time history curve of the free surface at WG1, Figure 6b presents the time history curve of the water flow thickness at the front edge of the seawall berm, Figure 6c depicts the time history curve of the average flow velocity at the front edge cross-section of the seawall berm, and Figure 6d illustrates the time history curve of the force on the cylinder at xc = 0.1 m. The results show good consistency in free surface and water flow thickness. In terms of velocity and cylinder force, both the medium and fine grids exhibit good agreement. Considering the numerical simulation accuracy and efficiency, the medium grid size is chosen for the subsequent numerical simulation study.
Figure 5.
Computational domain and mesh around the cylinder.
Figure 6.
Verification of grid convergence. (a) Wavefront pattern at WG1. (b) Thickness of water flow at the front edge of the berm of the dike. (c) Cross-sectional flow velocity at the front edge of the berm of the dike. (d) Cylinder force.
3.3. Numerical Model Verification
To verify the accuracy of the numerical wave tank, comparisons were made between the numerical model and the physical model experiments described above. Due to the limitations of the experimental instruments, the flow velocity at the berm section of the dike could not be measured. Therefore, in this section, the numerical simulation results only compare the forces on the cylinder, the free surface at WG1, and the thickness at the leading edge of the dike berm with the physical test model. Figure 7 shows the comparison of cylinder forces, free surface at WG1, and flow thickness at the front edge of the seawall berm under the conditions of H = 0.10 m and Rc = 0.08 m. Figure 7a compares the numerical simulation and physical model experimental results of the forces on the cylinder at xc = 0.1, showing a peak error of 6%, which is within a reasonable range. The numerical simulation also accurately captures the two small peaks during the negative peak phase. It is worth noting that in the cylinder force experiments, the oscillation of the wave tank affects the force gauge recordings, leading to fluctuations in the force curve of the cylinder. As shown in Figure 8, we added three sets of cylinder force verifications at a water depth of 0.46 m and xc = 0.2 m, with peak errors all within 10%. The numerical simulation and experimental results show good agreement. Figure 7b compares the numerical simulation and physical model experimental results of the free surface at WG1, showing a relative peak error of 0.9%. This indicates that the numerical model can accurately simulate the wave shape in front of the seawall. After 4 s, the wave surface is affected by the reflection from the sloped seawall, causing slight deviations between the experimental results and the numerical simulation. However, this does not affect the main conclusions of the study, as the reflected wave is not the focus of this research. Figure 7c compares the numerical simulation and physical experimental results of the overtopping flow thickness at the front edge of the seawall berm, showing a relative peak error of 8%. This error is due to the use of a high-speed camera to read the thickness frame by frame, leading to larger experimental measurement errors. Overall, the three-dimensional numerical wave tank can accurately simulate the interaction of solitary waves with the cylinder on the viewing platform.
Figure 7.
Verification of grid convergence and comparison of numerical and physical modeling results. (a) Force verification. (b) Free level verification. (c) Thickness verification.
Figure 8.
d = 0.46 m cylinder force verification. (a) H = 0.08 m. (b) H = 0.10 m. (c) H = 0.12 m.
4. Numerical Results Analysis and Discussion
4.1. Flow Characteristics on the Seawall Berm
When studying the impact of water flow on the human body, the thickness and velocity of the water directly determine the forces exerted on the body. Therefore, investigating the flow characteristics of the seawall berm is fundamental for analyzing pedestrian safety on the seawall. Referring to studies on human forces in flood conditions [16,22], the influence of the human body on flow velocity and water depth is usually neglected, and flow velocity and water depth are directly used to determine the forces on the human body. Since the purpose of this study is to assess the safety of pedestrians on the viewing platform, and the flow field around the human body is not the focus, this is also why a cylinder is used to replace the human model. By simplifying the problem, we can effectively analyze the impact of seawall berm flow characteristics on human safety, improving the accuracy and efficiency of the research.
4.1.1. Flow Layer Thickness on the Seawall Berm
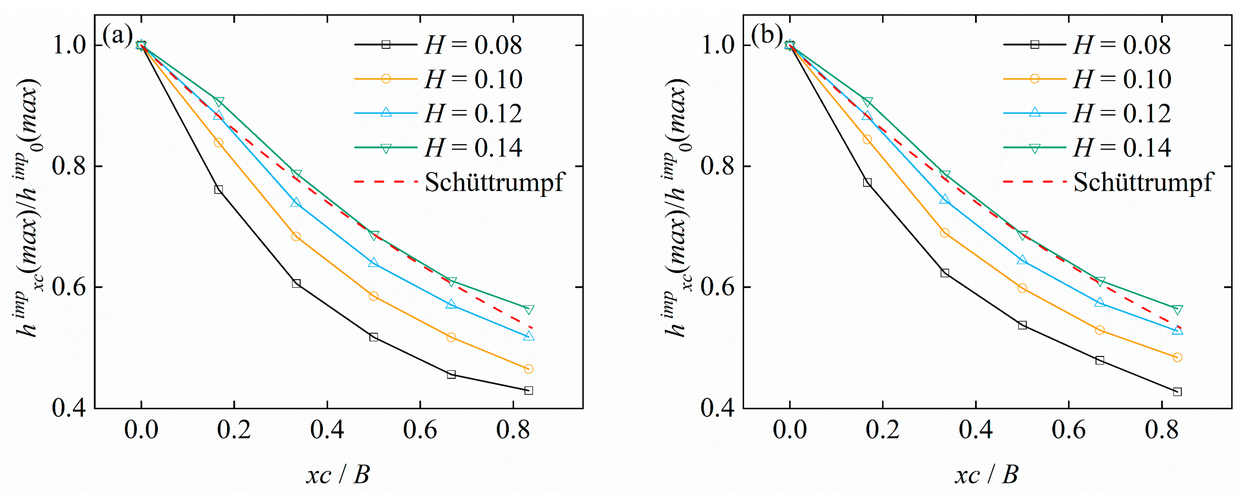
The flow thickness on the seawall berm can be directly determined using the wave overtopping thickness h. Taking d = 0.42 m, H = 0.14 m as examples, Figure 9 shows the time series of flow thickness at six positions on the viewing platform. From the figure, it can be observed that the flow thickness can be roughly divided into two peak values: the impact flow thickness caused by the wave run-up in the first stage and the return flow thickness caused by the wave return flow in the second stage. Figure 10 shows the dimensionless results of the solitary wave overtopping flow thickness along the seawall berm, compared with the empirical formula for regular wave overtopping flow decay proposed by Schüttrumpf. It can be observed that there are similarities in the decay characteristics between the two. Some researchers [23,24] have also improved Schüttrumpf’s empirical formula, noting differences between the solitary wave and regular wave berm decay thickness. The decay of the berm thickness for solitary waves is also related to wave height; the greater the wave height, the slower the decay.
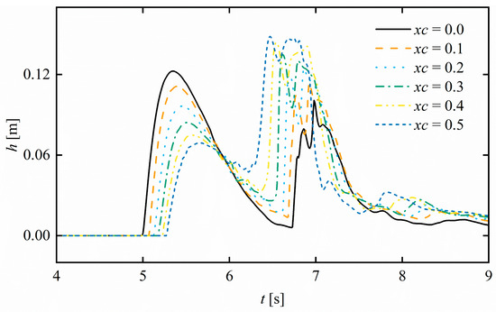
Figure 9.
d = 0.42 m, H = 0.14 m. Thickness of water flow at different locations on the viewing platform.
Figure 10.
Thickness distribution along the berm of the dike cross-wave flow (a) d = 0.40 m; (b) d = 0.42 m.
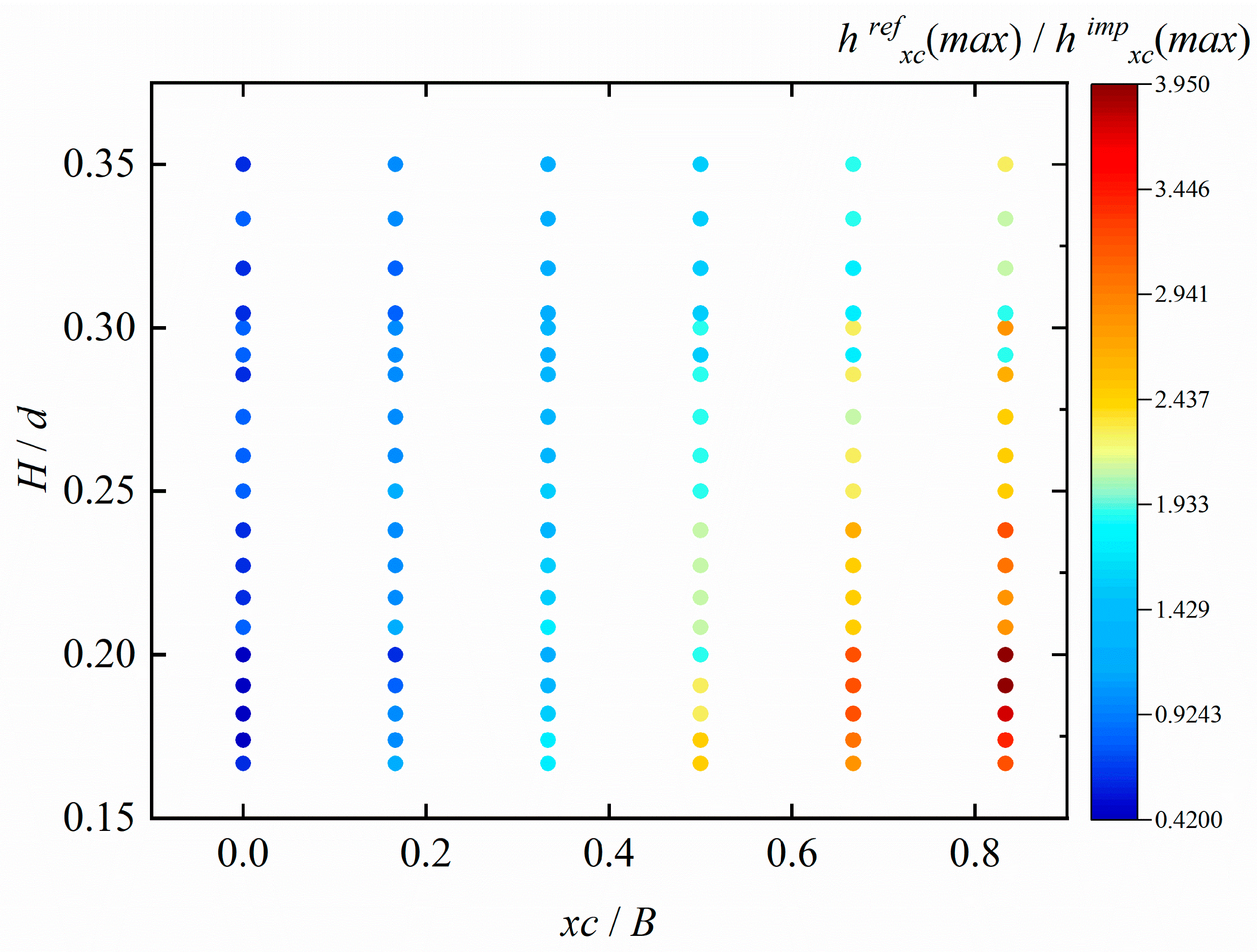
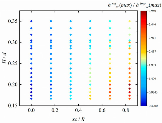
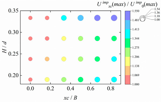
The distribution of the berm return flow thickness along the seawall is closely related to the relative position xc/B and the relative wave height H/d. Additionally, the return flow layer thickness is closely linked to the impact flow layer thickness. The ratio of the return flow thickness to the impact thickness at the same position is taken for dimensionless analysis. Figure 11 shows the relationship distribution between the berm return flow thickness and the impact flow thickness on the seawall berm xc(max)
xc(max) with xc/B and H/d. From the figure, it can be seen that the greater the relative wave height, the smaller the ratio; the greater the relative position, the larger the ratio.
Figure 11.
Relationship between thickness distribution along the return flow layer at the berm of the dike.
4.1.2. Flow Layer Velocity on the Seawall Berm
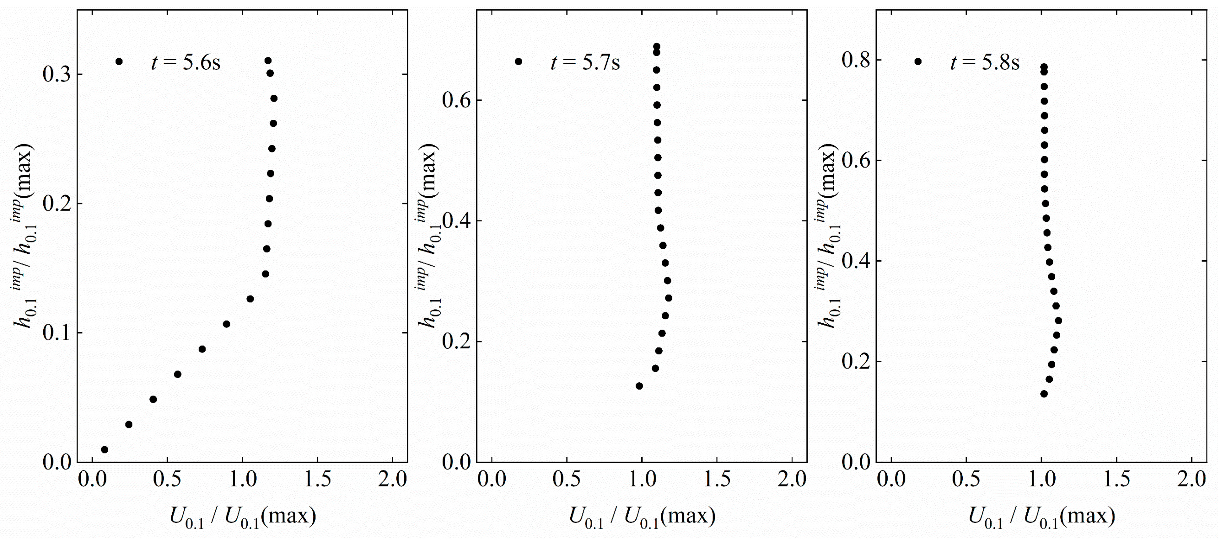
In flood studies, it is generally assumed that the flow velocity is uniform across the cross-section. In this study, we used numerical simulations to set a monitoring point every 0.7 mm in the vertical direction (z) across the cross-section, with a total of 1000 monitoring points to measure the instantaneous flow velocity. The instantaneous velocity and water depth were nondimensionalized using the maximum water depth and maximum average velocity across the cross-section. Figure 12 and Figure 13 show the evolution of the velocity profiles of the wave run-up, and return flow at 0.1 m from the front edge of the seawall berm, respectively. As shown in Figure 12, in the initial stage, the water flow thickness is relatively small, and the flow velocity at the upper part of the water column is significantly greater than that at the bottom. As the wave climbs, the velocity across the cross-section tends to become vertically uniform, similar to the findings of Cao [18]. During the return flow stage, as shown in Figure 13, at 7.2 s, the flow velocity initially increases and then decreases in the vertical direction. In the middle part of the vertical direction, the instantaneous velocity of the water flow is significantly greater than the maximum average velocity across the cross-section, which is due to the higher velocity of the front part of the water tongue during return flow. As the water recedes, the instantaneous velocity across the cross-section also tends to become vertically uniform. Figure 14 shows the time history curves of flow layer velocity at different positions on the viewing platform. It can be clearly observed that the impact velocity increases with the increase of xc, while the return flow velocity decreases with the increase of xc.
Figure 12.
Evolution of the wave current velocity profile at 0.1 m from the leading edge of the seawall.
Figure 13.
Evolution of wave return flow velocity profile at 0.1 m from the leading edge of the seawall.
Figure 14.
d = 0.42 m, H = 0.14 m. velocity of water flow at different locations on the viewing platform.
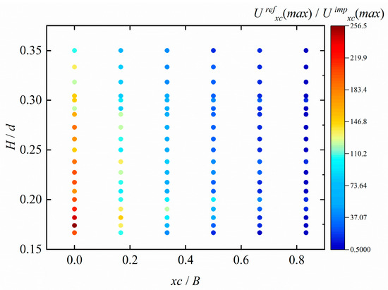
The berm flow velocity of solitary waves differs from the along-berm flow velocity decay formula for regular waves proposed by Schüttrumpf. The berm flow velocity of solitary waves generally shows an increasing trend along the berm. Figure 15 shows the relationship between the dimensionless impact flow velocity along the berm and the relative position xc/B and relative wave height H/d. It can be observed that the ratio increases with the increase of the relative position xc/B and the relative wave height H/d. This is consistent with the empirical formula proposed by Zeng [24]. For specific empirical formulas, please refer to Zeng’s paper. Figure 16 shows the relationship distribution between the dimensionless return flow velocity to impact flow velocity ratio xc(max)
xc(max) and the relative position xc/B and relative wave height H/d. The results indicate that the trend of return flow layer velocity along the berm is opposite to the trend of return flow layer thickness along the berm about the relative position: the ratio decreases with the increase of the relative position xc/B and decreases with the increase of the relative wave height H/d.
Figure 15.
d = 0.42 m. Relationships between flow velocity distribution in the impact flow layer at the berm of the dike.
Figure 16.
Relationship between flow velocity distribution along the return flow layer at the berm of the dike.
4.2. Impact Forces and Recoil Forces
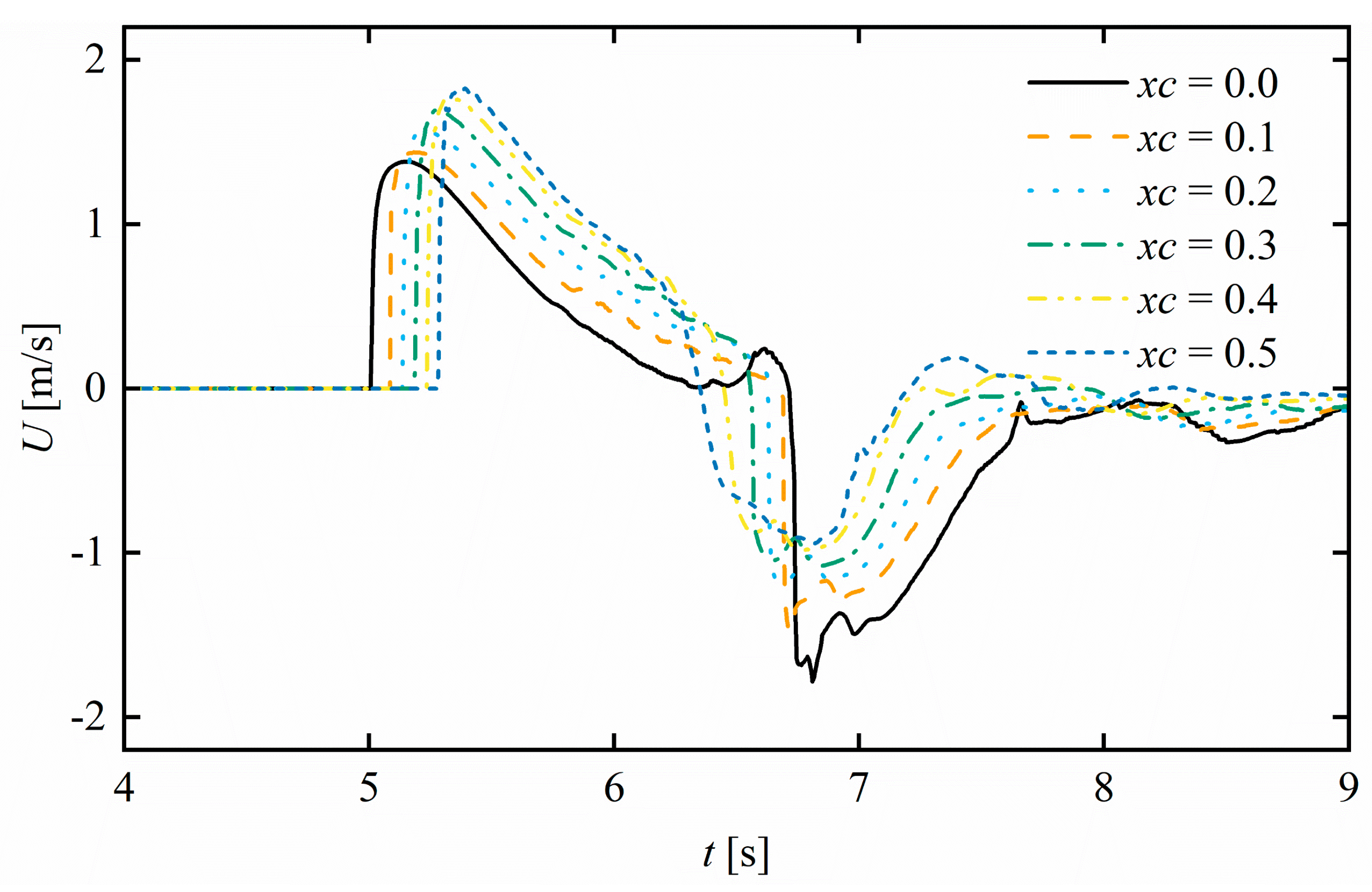
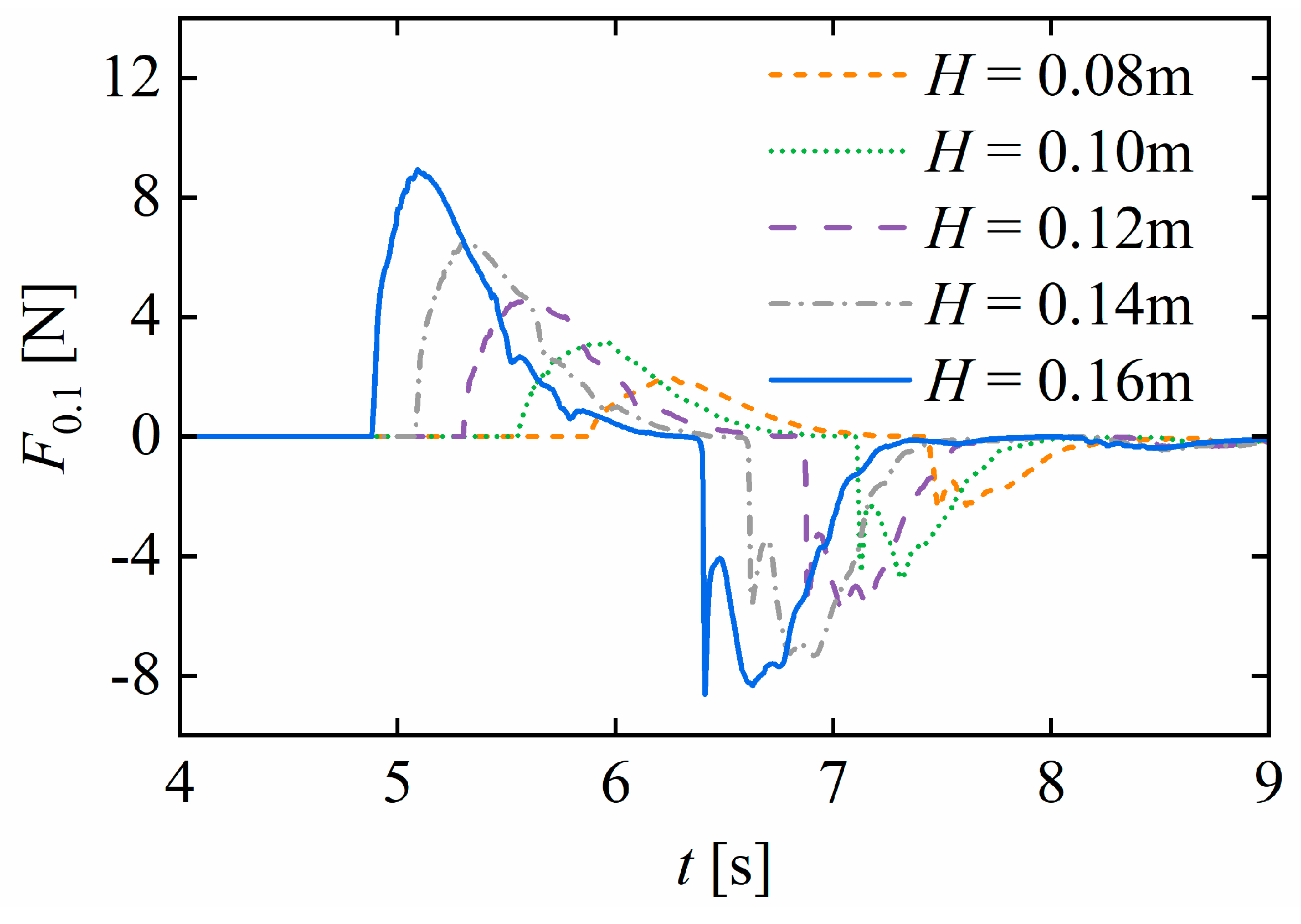
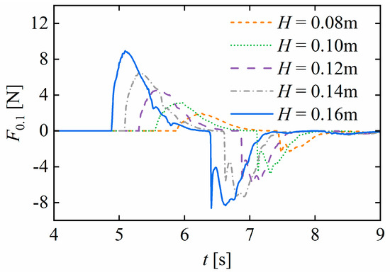
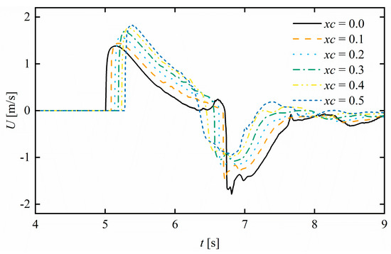
In this section, the numerical simulation conditions of d = 0.42 m and H = 0.10 m are used as examples to focus on analyzing the physical process of wave run-up and return flow acting on the cylinder. The cylinder is positioned 0.1 m from the front edge of the seawall berm. Figure 17 and Figure 18 illustrate the entire process of solitary wave run-up and return flow. The period from 5.6 s to 5.9 s represents the forward impact of the wave on the cylinder. The solitary wave is generated from the left side, crosses the first section of the slope, reaches the viewing platform, and interacts with the human body situated on the viewing platform. The design of such sloped seawalls includes an upper slope section. During the period from 6.2 s to 6.4 s, the solitary wave continues to climb the upper slope after crossing the viewing platform. In this process, the wave energy is fully converted into the gravitational potential energy of the water, causing the water to lose its wave characteristics. Figure 18 illustrates the wave’s return flow process. During the period from 6.8 s to 7.0 s, under the influence of gravity, the gravitational potential energy of the water is gradually converted into kinetic energy, leading to the return flow phenomenon. After 7.13 s, the return flow water exerts a secondary impact on the cylinder. Under the condition of a water depth of 0.42 m, Figure 19 shows the time series of forces on the cylinder at five different wave heights. The forces on the cylinder can be divided into two stages: forward impact forces and reverse recoil forces. Additionally, the higher the wave height, the earlier the impact on the cylinder occurs. During the impact forces stage, the cylinder experiences only one significant peak, which corresponds to 5.9 s in Figure 17. In the recoil forces stage, the cylinder experiences two peaks. The first peak corresponds to 7.13 s in Figure 18, where the reflux water just begins to contact the cylinder, resulting in a high flow velocity and a significant impact on the cylinder. The second peak corresponds to 7.31 s in Figure 18 and is similar to the pressure distribution on the cylinder at 5.9 s. This is mainly due to the pressure difference between the front and back of the cylinder [18].
Figure 17.
Climbing process of over-wave flow.
Figure 18.
Wave reflux process.
Figure 19.
Historical force curves of the cylinder under different wave heights.
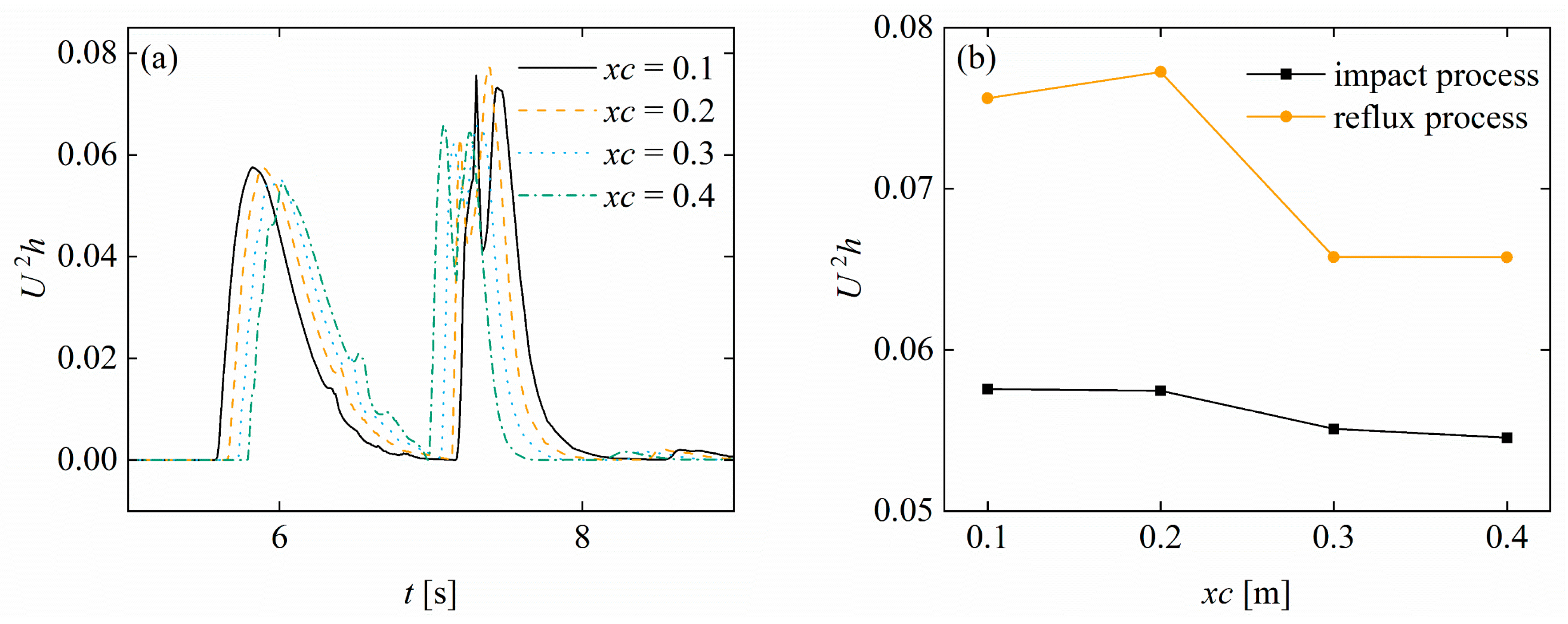
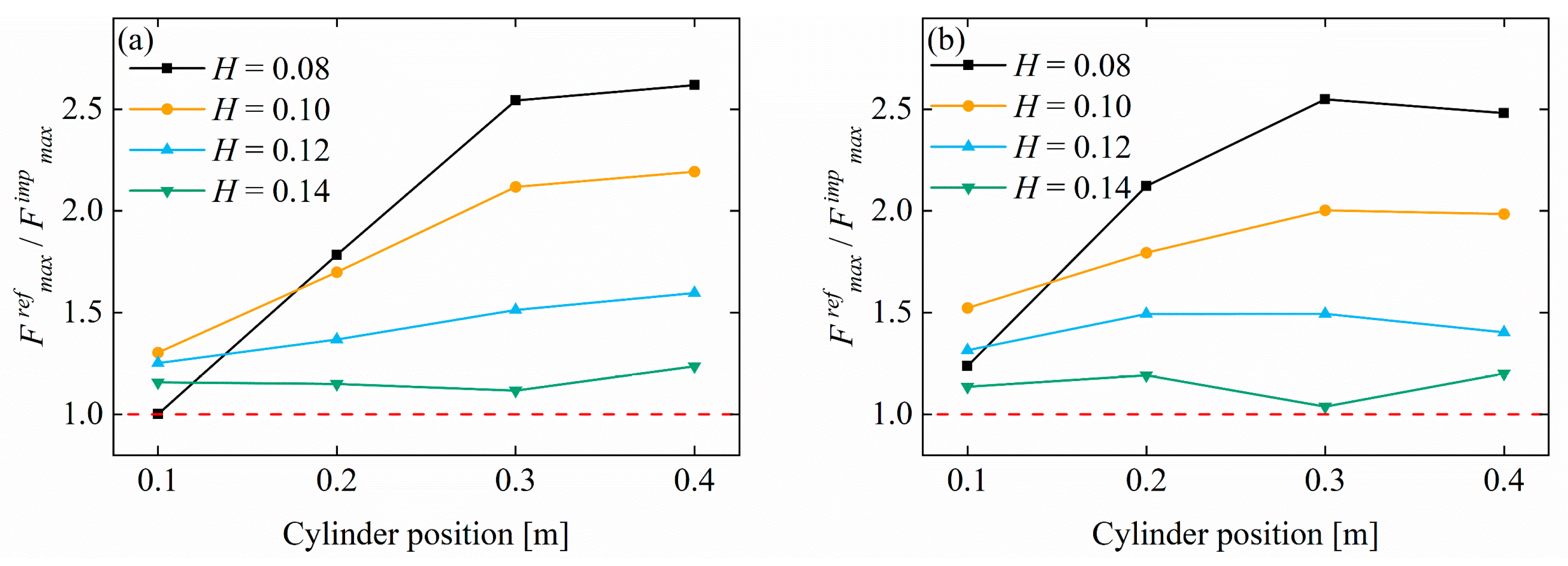
4.3. Forces on Cylinders at Different Positions
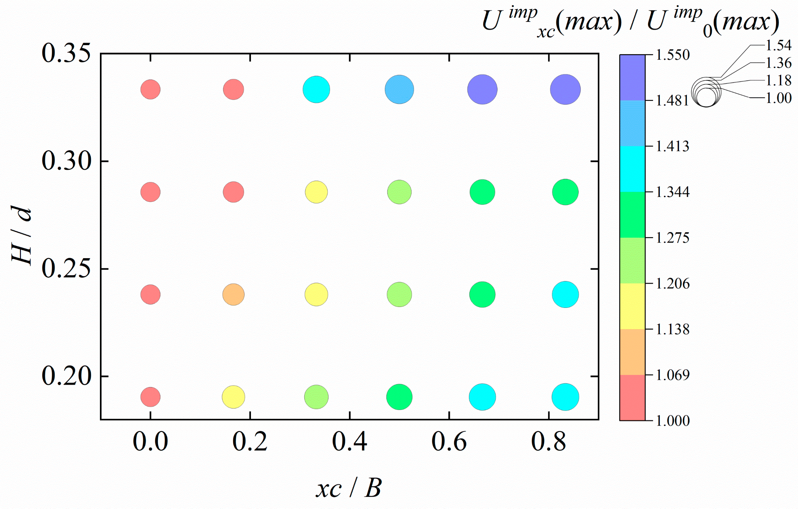
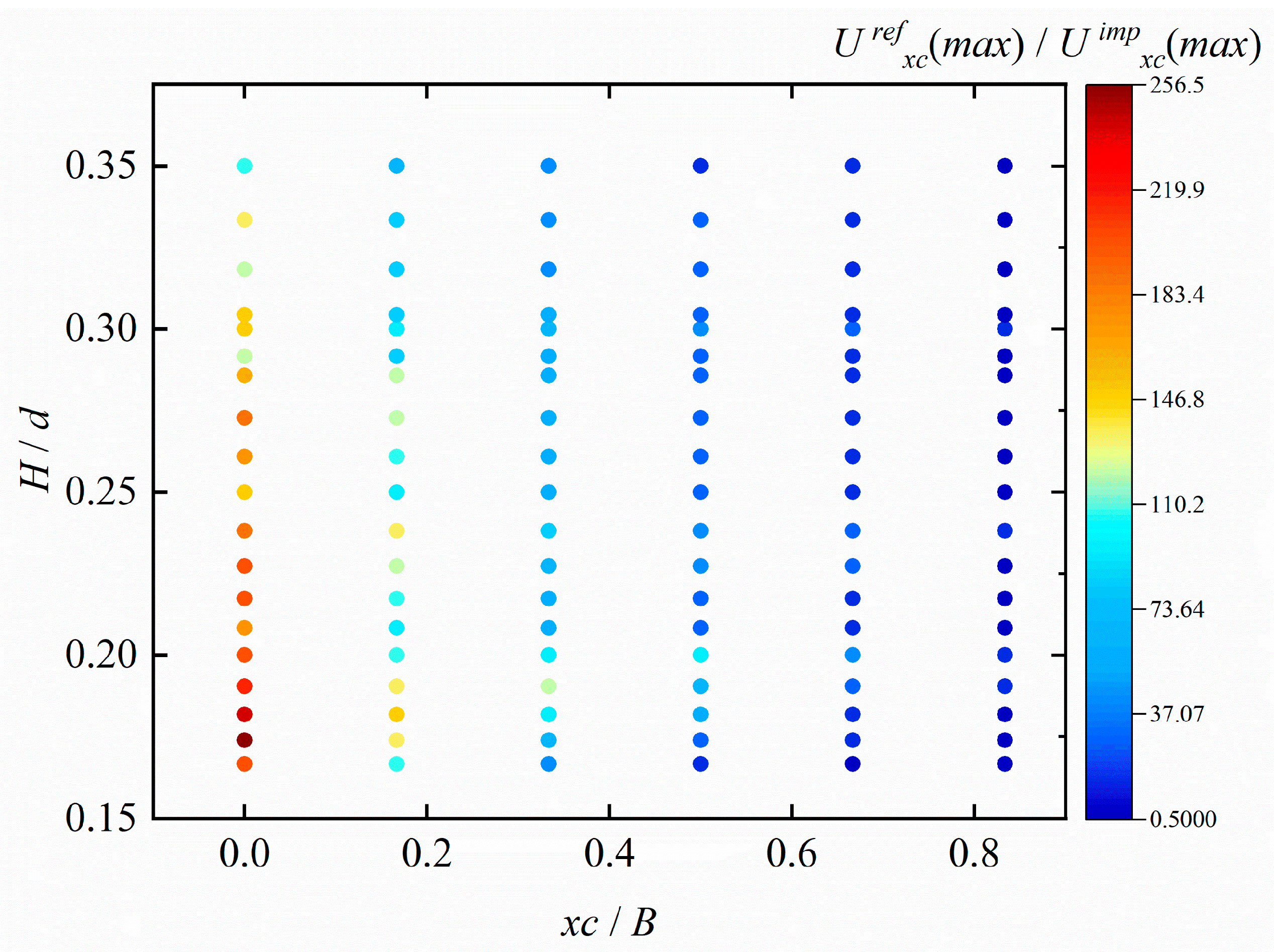
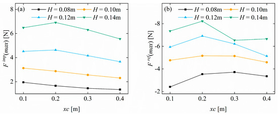
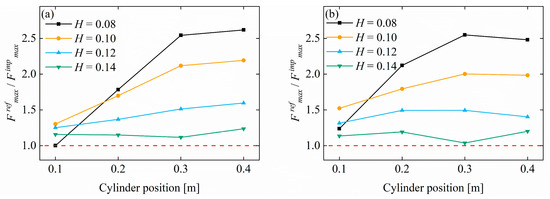
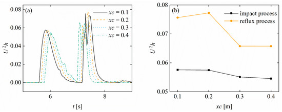
In the previous section, we discussed that the human body on the viewing platform faces the dual threats of impact forces and recoil forces. To further investigate the relative magnitudes of the impact and recoil forces experienced by the human body on the sloped seawall viewing platform, as well as how these forces vary at different positions on the viewing platform, it is necessary to analyze the forces on cylinders placed at different locations on the platform. In this section, based on the numerical simulation results, we analyze the forces on cylinders at four positions: xc = 0.1, 0.2, 0.3 and 0.4 m. Using a water depth of d = 0.42 m as an example, Figure 20 presents the peak recoil forces and peak impact forces on the cylinders at different positions, quantitatively comparing the maximum impact forces and maximum recoil forces for four different wave heights. The results show that as the distance xc from the front edge of the seawall increases, the impact force on the cylinder decreases. However, the recoil forces do not exhibit a monotonous increase or decrease with the position xc along the seawall berm. This is a very interesting phenomenon. Taking H = 0.10 m as an example, Figure 21 shows the variation of momentum flux U 2h at four positions on the seawall berm. It can be seen intuitively that the momentum flux during the impact process decreases along the berm, while during the return flow process, the momentum flux shows an increasing trend between xc = 0.3 m and 0.2 m. This explains well why the recoil forces overall first increase and then decrease as xc decreases. The reason for this phenomenon lies in the wave return flow process, during which the gravitational potential energy of the water gradually converts into kinetic energy. When the water fully returns to the viewing platform, its kinetic energy is at its maximum. Therefore, the variation in recoil forces experienced by the cylinders at different positions reflects this energy conversion process. Figure 22 shows the ratio of peak recoil forces to peak impact forces at four different positions. The results indicate that, for all four wave heights, the ratio of recoil forces to impact force exceeds 1, further demonstrating that the threat posed by return flow is greater than that of impact. Additionally, the larger the wave height, the closer the ratio of recoil forces to impact forces approaches to 1.
Figure 20.
Peak force on the cylinder at different locations. (a) d = 0.42 m peak impact forces; (b) d = 0.42 m peak recoil forces.
Figure 21.
d = 0.42 m. U 2h at different locations on the berm of the embankment. (a) U 2h time profile. (b) Peak value of U 2h during impact and return.
Figure 22.
The ratio of recoil forces to peak impact forces: (a) d = 0.40 m; (b) d = 0.42 m.
5. Analysis of Human Stability
Based on previous studies on human stability in floods [16,22], there are two main types of instability that the human body can experience in underwater flow: sliding instability and toppling instability. When the water depth is shallow and the flow velocity is high, the human body is prone to sliding instability due to the drag force of the water flow. Conversely, when the water depth is greater and the flow velocity is lower, the human body is more likely to experience toppling instability. In this study, the flow thickness on the viewing platform is less than 0.1 m, which translates to an actual scale of no more than 0.5 m. For an adult with a standard height of 180 cm, such water flow thickness is below the knee, primarily leading to sliding instability. Regarding human stability in floods, many researchers have used water depth or flow velocity as criteria to determine human stability [25,26]. However, these methods only consider water depth or flow velocity, resulting in relatively low accuracy. The unit-width discharge can effectively reflect both water depth and flow velocity, the two primary disaster-causing factors. Cox et al. [27] provided a method for determining the safety of children and adults in floods based on the unit-width discharge. As shown in Figure 23, on the viewing platform, the human body is mainly subjected to the wave impact force F, ground frictional resistance Ff, gravitational force Fg, and buoyant force Fh. The frictional force experienced by the human body satisfies the following relationship:
where μ is the friction coefficient between the ground and the human body.
Figure 23.
Schematic diagram of human body forces under wave impacts.
In this study, we assume the weight of an adult with a height of 180 cm to be 65 kg, corresponding to a gravitational force Fg of 637 N. The human body is simplified as a uniform cylinder, with the scaled-down cylinder height being 0.36 m. An instability index WWW is defined, and the above equation is transformed as follows:
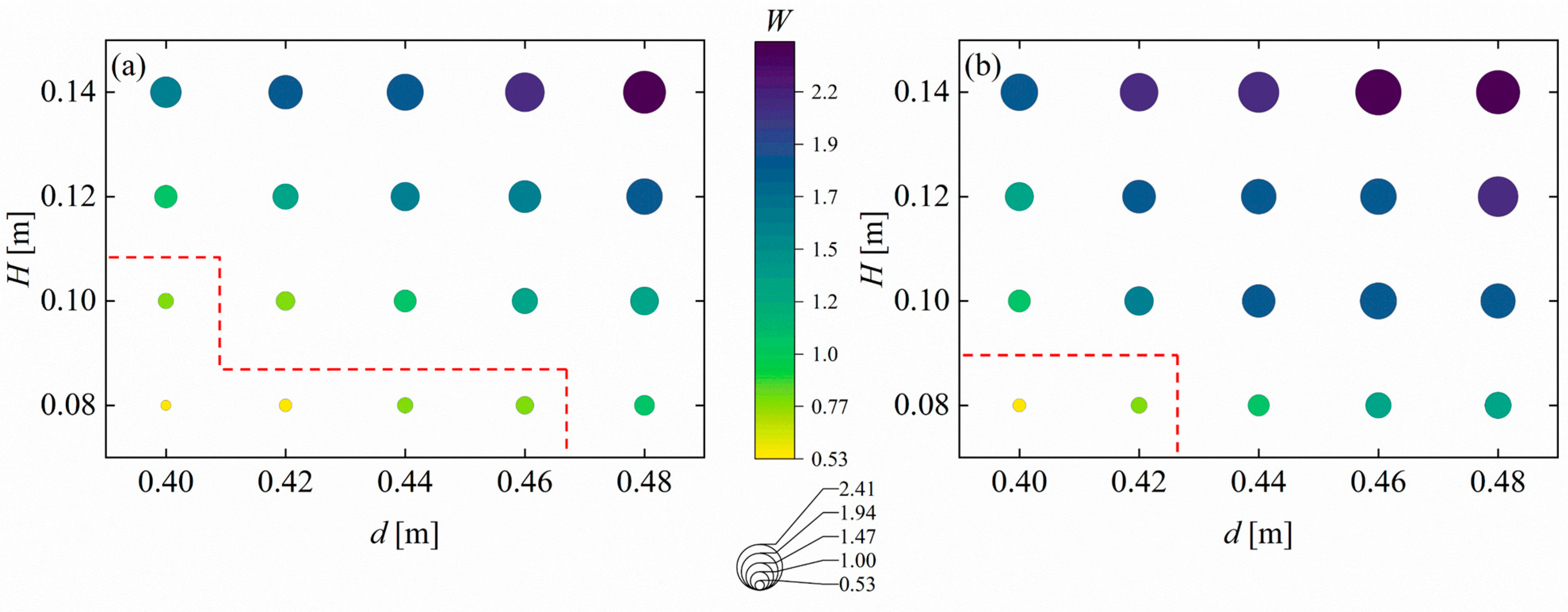
According to the research by Jonkman [28] and Milanesi [29], the value of μ ranges from 0.4 to 0.5. In this study, μ is taken as 0.5. When W is greater than 1, the human body will become unstable. According to the Froude similarity criterion, this translates to a scale of 3.13 N in this study, where the unit-width flow rate is approximately 0.077 m2/s, corresponding to an actual scale of 0.861 m2/s. This differs from the critical unit-width flow rate for human instability of around 0.5 m2/s proposed by Martínez-Gomariz and Shand in their studies on floods [30,31]. This indicates that the stability conditions for pedestrians under wave impact differ from those under flood conditions.
Figure 24 shows the W values for 20 scenarios under this model, with the red dashed line representing W values less than 1. Considering the unique characteristics of high-speed water flow under wave impact, W < 0.5 is defined as low risk. Converting these data to the actual model scale yields a suitable instability criterion for humans similar to this model:
Figure 24.
W at different water depths and wave heights. (a) Impact process. (b) Return process.
It is worth noting that, as mentioned in Section 3.2 and Section 3.3, the recoil forces experienced by the human body are comparable to the impact forces in magnitude. Still, the threat from return flow is greater. However, this study uses an equivalent cylinder to approximate the pedestrian, which only accounts for the forces on the human body in a standing posture. When the human body is impacted by waves, its posture will change. In addition, when the body is destabilized by wave impact, the friction of the ground on the body is drastically reduced, and the return flow effect makes it very easy for the body to be swept out to sea. Therefore, more in-depth investigations are needed for the case of a return flow that involves a human body in the sea. In the future, more detailed studies can be conducted using real-person models to effectively assess the critical safety conditions for tourists playing on the dike.
6. Conclusions
This study scaled down the prototype of the seawall at Macao Road in Shinan District, Qingdao, and used an equivalent cylinder to approximate the human body. A three-dimensional numerical wave tank was constructed using OpenFOAM, and the accuracy of the numerical model was verified through physical model experiments. The focus was on analyzing the flow characteristics of the seawall berm and the wave forces experienced by the human body on the viewing platform. The main conclusions are as follows:
- During the return flow process after the secondary run-up of solitary waves, the return flow layer thickness gradually decreases, while the return flow layer velocity gradually increases. In other words, the closer to the upper slope, the greater the return flow thickness; the closer to the front edge of the seawall berm, the greater the return flow velocity.
- After solitary waves cross the viewing platform and exert impact forces on the human body, the waves continue to climb the upper slope of the sloped seawall. Subsequently, the climbing waves generate return flow due to gravity, which also exerts secondary impact forces on the human body, referred to in this study as the recoil forces. The recoil forces exhibit two small peaks: the first small peak is caused by the impact of high-speed water flow, and the second small peak is due to the pressure difference on both sides of the cylinder.
- When the waves do not cross the upper slope of the seawall, the recoil forces are not only not smaller than the impact forces but may even exceed it. The impact force decreases along the berm as xc increases, while the relationship between recoil forces and the relative position on the seawall berm is not monotonic. Instead, the recoil forces first increase and then decrease as xc decreases. As the water depth and wave height increase, the ratio of recoil forces to impact force approaches 1.
- Based on previous research on human stability in floods, this study found that pedestrians on the viewing platform primarily exhibit sliding instability under wave impact. The unit-width discharge was introduced as a criterion for determining human instability under wave impact. The results indicate that the unit-width discharge for human instability under wave impact differs from that in flood conditions. Relevant criteria were provided based on the data from this study.
This study still has some limitations. Firstly, using an equivalent cylinder to approximate pedestrians only discusses the relationship between the force exerted on the human body in a standing posture and the maximum friction force, leading to the derivation of instability conditions. In calculating friction, the buoyant force on the human body was also simplified. The study did not consider the forces on the human body in other postures. For example, people might sit on the sea dike during high tides for recreational activities such as fishing. Moreover, the analysis was conducted only based on the physical conditions of a standard adult, while different groups may have different resistance to external forces; for instance, children and the elderly may have poorer stability. Additionally, tourists’ psychological conditions, such as panic when facing huge waves, may also affect their stability. In the future, we will use real human models to analyze the forces on the human body in different postures and, if conditions permit, conduct real-person water tank tests. This will help derive more reasonable critical values for human instability under overtopping flow conditions and the critical values for tourists being swept into the sea. Based on these critical values, we can classify coastal areas according to their safety levels, providing a management basis for coastal managers and allowing tourists to enjoy the seaside scenery in designated safe zones.
Author Contributions
Conceptualization, X.Z. and Y.H.; methodology, Y.H.; software, Y.H.; formal analysis, X.Z.; data curation, Z.H.; writing—original draft preparation, Y.H.; writing—review and editing, Y.H., G.T. and Z.H.; supervision, G.T., Z.L., N.X. and Z.H.; funding acquisition, Z.H. and X.Z. All authors have read and agreed to the published version of the manuscript.
Funding
This work was supported by the National Natural Science Foundation of China (Grant No. 51979245); the Key Project of Zhejiang Provincial Joint Fund (Grant No. LHZ22E090002); the Central Guidance on Local Science and Technology Development Fund (Grant No. 2023ZY1021); and the Zhoushan Major Industry Science and Technology Project (Grant No. 2023C03004).
Data Availability Statement
The datasets generated during and/or analyzed during the current study are available from the corresponding author on reasonable request.
Conflicts of Interest
The authors declare no conflict of interest.
References
- Allsop, W.; Bruce, T.; Pearson, J.; Alderson, J.; Pullen, T. Violent wave overtopping at the coast, when are we safe? In Proceedings of the International Conference on Coastal Management 2003, Brighton, UK, 15–17 October 2003; Thomas Telford Publishing: London, UK, 2003; pp. 54–69. [Google Scholar]
- EurOtop, I.I. Manual on Wave Overtopping of Sea Defences and Related Structures. An Overtopping Manual Largely Based on European Research, But for Worldwide Application; European Overtopping Manual; Taylor & Francis: Abingdon, UK, 2018. [Google Scholar]
- Van der Meer, J.W.; Hardeman, B.; Steendam, G.J.; Schuttrumpf, H.; Verheij, H. Flow depths and velocities at crest and landward slope of a dike, in theory and with the wave overtopping simulator. Coast. Eng. Proc. 2010, 1, 10. [Google Scholar] [CrossRef]
- Schüttrumpf, H.; Oumeraci, H. Layer thicknesses and velocities of wave overtopping flow at seadikes. Coast. Eng. 2005, 52, 473–495. [Google Scholar] [CrossRef]
- Hsiao, S.C.; Lin, T.C. Tsunami-like solitary waves impinging and overtopping an impermeable seawall: Experiment and RANS modeling. Coast. Eng. 2010, 57, 1–18. [Google Scholar] [CrossRef]
- Lin, T.-C.; Hwang, K.-S.; Hsiao, S.-C.; Yang, R.-Y. An experimental observation of a solitary wave impingement, run-up and overtopping on a seawall. J. Hydrodyn. Ser. B 2012, 24, 76–85. [Google Scholar] [CrossRef]
- Dodd, N. Numerical model of wave run-up, overtopping, and regeneration. J. Waterw. Port Coast. Ocean Eng. 1998, 124, 73–81. [Google Scholar] [CrossRef]
- Yamamoto, Y.; Takanashi, H.; Hettiarachchi, S.; Samarawickrama, S. Verification of the destruction mechanism of structures in Sri Lanka and Thailand due to the Indian Ocean tsunami. Coast. Eng. J. 2006, 48, 117–145. [Google Scholar] [CrossRef]
- Stansby, P.K. Solitary wave run up and overtopping by a semi-implicit finite-volume shallow-water Boussinesq model. J. Hydraul. Res. 2003, 41, 639–647. [Google Scholar] [CrossRef]
- Özhan, E.; Yalcmer, A.C. Overtopping of solitary waves at model sea dikes. Coast. Eng. 1990, 1991, 1487–1498. [Google Scholar]
- Baldock, T.E.; Peiris, D.; Hogg, A.J. Overtopping of solitary waves and solitary bores on a plane beach. Proc. R. Soc. A Math. Phys. Eng. Sci. 2012, 468, 3494–3516. [Google Scholar] [CrossRef]
- Franco, L.; De Gerloni, M.; Van der Meer, J.W. Wave overtopping on vertical and composite breakwaters. Coast. Eng. 1994, 1995, 1030–1045. [Google Scholar]
- Franco, C.; van der Meer, J.W.; Franco, L. Multidirectional wave loads on vertical breakwaters. Coast. Eng. 1996, 1996, 2008–2021. [Google Scholar]
- Franco, C.; Franco, L. Overtopping formulas for caisson breakwaters with nonbreaking 3D waves. J. Waterw. Port Coast. Ocean Eng. 1999, 125, 98–108. [Google Scholar] [CrossRef]
- Abt, S.R.; Wittier, R.J.; Taylor, A.; Love, D.J. Human stability in a high flood hazard zone 1. JAWRA J. Am. Water Resour. Assoc. 1989, 25, 881–890. [Google Scholar] [CrossRef]
- Arrighi, C.; Oumeraci, H.; Castelli, F. Hydrodynamics of pedestrians’ instability in floodwaters. Hydrol. Earth Syst. Sci. 2017, 21, 515–531. [Google Scholar] [CrossRef]
- Postacchini, M.; Bernardini, G.; D’Orazio, M.; Quagliarini, E. Human stability during floods: Experimental tests on a physical model simulating human body. Saf. Sci. 2021, 137, 105153. [Google Scholar] [CrossRef]
- Cao, D.; Chen, H.; Yuan, J. Inline force on human body due to non-impulsive wave overtopping at a vertical seawall. Ocean Eng. 2021, 219, 108300. [Google Scholar] [CrossRef]
- Cao, D.; Yuan, J.; Chen, H.; Zhao, K.; Liu, P. Wave overtopping flow striking a human body on the crest of an impermeable sloped seawall. Part I: Physical modeling. Coast. Eng. 2021, 167, 103891. [Google Scholar] [CrossRef]
- Chen, H.; Yuan, J.; Cao, D.; Liu, P. Wave overtopping flow striking a human body on the crest of an impermeable sloped seawall. Part II: Numerical modelling. Coast. Eng. 2021, 168, 103892. [Google Scholar] [CrossRef]
- Tan, W.; Cao, D.; Yuan, J. Numerical modelling of green-water overtopping flow striking a pedestrian on the crest of a sloped coastal structure. Ocean Eng. 2022, 260, 112153. [Google Scholar] [CrossRef]
- Xia, J.; Falconer, R.A.; Wang, Y.; Xiao, X. New criterion for the stability of a human body in floodwaters. J. Hydraul. Res. 2014, 52, 93–104. [Google Scholar] [CrossRef]
- Sharifian, M.; Moghim, M.N.; Chamani, M.R. Numerical simulation of waves overtopping over impermeable sloped seadikes. Ocean Eng. 2022, 266, 113100. [Google Scholar] [CrossRef]
- Zeng, J.; Wu, W.; Liu, H. Numerical Analysis of Overtopping Flow on Crest and Landward Slope of Seadike in Solitary Wave. Chin. Q. Mech. 2013, 34, 181–190. [Google Scholar]
- Lind, N.; Hartford, D.; Assaf, H. Hydrodynamic models of human stability in a flood 1. JAWRA J. Am. Water Resour. Assoc. 2004, 40, 89–96. [Google Scholar] [CrossRef]
- Chanson, H.; Brown, R. Stability of individuals during urban inundations: What should we learn from field observations? Geosciences 2018, 8, 341. [Google Scholar] [CrossRef]
- Cox, R.J.; Shand, T.D.; Blacka, M.J. Australian Rainfall and Runoff revision project 10: Appropriate safety criteria for people. Water Res. 2010, 978, 085825–089454. [Google Scholar]
- Jonkman, S.N.; Penning-Rowsell, E. Human instability in flood flows 1. JAWRA J. Am. Water Resour. Assoc. 2008, 44, 1208–1218. [Google Scholar] [CrossRef]
- Milanesi, L.; Pilotti, M.; Ranzi, R. A conceptual model of people’s vulnerability to floods. Water Resour. Res. 2015, 51, 182–197. [Google Scholar] [CrossRef]
- Martínez-Gomariz, E.; Gómez, M.; Russo, B. Experimental study of the stability of pedestrians exposed to urban pluvial flooding. Nat. Hazards 2016, 82, 1259–1278. [Google Scholar] [CrossRef]
- Shand, T.D.; Smith, G.P.; Cox, R.J.; Blacka, M. Development of appropriate criteria for the safety and stability of persons and vehicles in floods. In Proceedings of the 34th IAHR Conference, Brisbane, Australia, 26 June–1 July 2011; p. 26. [Google Scholar]
Disclaimer/Publisher’s Note: The statements, opinions and data contained in all publications are solely those of the individual author(s) and contributor(s) and not of MDPI and/or the editor(s). MDPI and/or the editor(s) disclaim responsibility for any injury to people or property resulting from any ideas, methods, instructions or products referred to in the content. |
© 2024 by the authors. Licensee MDPI, Basel, Switzerland. This article is an open access article distributed under the terms and conditions of the Creative Commons Attribution (CC BY) license (https://creativecommons.org/licenses/by/4.0/).























