A Study on the Optimal Speed Ratio of Rotating Annular Flume Based on the OpenFOAM Simulation
Abstract
1. Introduction
2. Numerical Model
2.1. Specifications of the Rotating Annular Flume
2.2. Mathematical Model and Control Equations
2.3. Boundary Conditions
2.4. Gridding
2.5. Model Validation
3. Results and Discussions
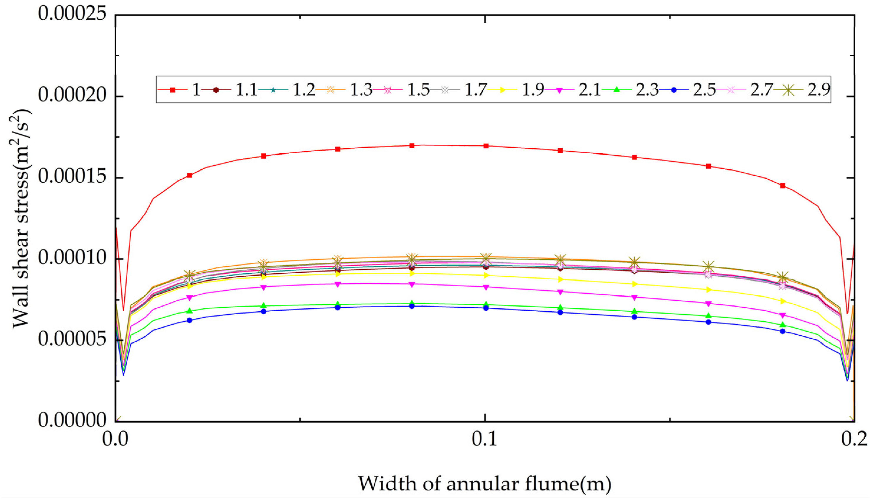
3.1. Bottom Shear Stress Distribution
3.2. Turbulent Velocity Ratio
3.3. Secondary Flow
3.4. Cross-Sectional Velocity Vector Field
4. Conclusions
- OpenFOAM has highly customizable attributes, diversified built-in solvers, and complete post-processing function modules. OpenFOAM-based numerical simulations of flow structure have been compared with the published literature and experimental data, which further validate the capability of OpenFOAM in solving complex flow problems.
- The rotational speed ratio is identified as a key factor influencing the cross-sectional velocity vector field of rotating annular flumes. With regard to the uniform distribution of bottom shear stress, turbulent velocity ratio, and minimum secondary flow, the optimal speed ratios are determined as 1.2, 1.7, and 1.7, respectively. This conclusion is generally consistent with the published literature and experiment data.
- The present study highlighted the predictive capability of OpenFOAM. The optimal rotational speed ratios determined by numerical simulations would provide a reference for the implementation of a rotating annular flume. Moreover, the OpenFOAM-based numerical model could be extended by incorporating a material transport module (e.g., Lagrangian particle method); thus, the sediment motion characteristics could be further investigated.
Author Contributions
Funding
Data Availability Statement
Conflicts of Interest
References
- Booij, R. Measurements of the flow field in a rotating annular flume. In Communications on Hydraulic and Geotechnical Engineering; Report No. 1994-02; Technische Universiteit Delft: Delft, The Netherlands, 1994; Available online: http://resolver.tudelft.nl/uuid:431193bc-8cfb-46ce-81fd-5034941b0769 (accessed on 20 June 2024).
- Feng, X. Research on the mechanism and application of annular flume. J. Waterw. Harb. 1998, 03, 7–11. [Google Scholar]
- Cao, K.; Lv, B.; Shao, Y. Research progress of annular flume technology. Appl. Mech. Mater. 2013, 256, 2498–2508. [Google Scholar] [CrossRef]
- Wang, L. The design of the combined circulating water tank and its characteristics. J. Hangzhou Univ. 1988, 15, 227–233. [Google Scholar]
- Ferro, V. Simple flume with a central baffle. Flow Meas. Instrum. 2016, 52, 53–56. [Google Scholar] [CrossRef]
- James, P.; Jones, T.; Stewart, D. Numerical and experimental studies of annular flume flow. Appl. Math. Model 1996, 20, 225–231. [Google Scholar] [CrossRef]
- Tong, Y.; Liang, T.; Wang, L.; Tian, S. Characteristics of nitrogen release from Lake Dongting sediments under variable water level and velocity in the two-way annular flume. J. Lake Sci. 2016, 28, 59–67. [Google Scholar]
- Baar, A.W.; de Simt, J.; Uijttewaal, W.S.; Kleinhans, M.G. Sediment transport of fine sand to fine gravel on transverse bed slopes in rotating annular flume experiments. Water Resour. Res. 2018, 54, 19–45. [Google Scholar] [CrossRef]
- Chen, Y.; Qiao, Z.; Xv, C.; Yao, P. Influences of sediment composition on scour of silt-sand mixture bed. Int. J. Sediment Res. 2021, 46, 1–8. [Google Scholar]
- Yv, L.; Jing, Y. Experimental study on cohesive sediment in ring channel. J. Waterw. Harb. 2005, 26, 79–81. [Google Scholar]
- Zhou, J.J.; Zhang, C.K.; Jing, Y. Experimental research on cohesive free sediment of the South Passage in the Yangtze estuary by two- way annular flume. Yangtze River 2008, 39, 16. [Google Scholar]
- Cloutier, D.; Lecouturier, M.N.; Amos, C.L.; Hill, P.R. The effects of suspended sediment concentration on turbulence in an annular flume. Aquat. Ecol. 2006, 40, 555–565. [Google Scholar] [CrossRef]
- Wang, Y.W.; Yu, Q.; Gao, S. Relationship between bed shear stress and suspended sediment concentration: Annular flume experiments. Int. J. Sediment Res. 2011, 26, 513–523. [Google Scholar] [CrossRef]
- Neumeier, U.; Lucas, C.H.; Collins, M. Erodibility and erosion patterns of mudflat sediments investigated using an annular flume. Aquat. Ecol. 2006, 40, 543–554. [Google Scholar] [CrossRef]
- Thompson, C.; Couceiro, F.; Fones, G.; Amos, C. Shipboard measurements of sediment stability using a small annular flume—Core Mini Flume (CMF). Limnol. Oceanogr. Methods 2013, 11, 604–615. [Google Scholar] [CrossRef]
- Toffoli, A.; Proment, D.; Salman, H.; Monbaliu, J.; Frascoli, F.; Dafilis, M.; Stramignoni, E.; Forza, R.; Manfrin, M.; Onorato, M. Wind generated rogue waves in an annular wave flume. Phys. Rev. Lett. 2017, 118, 144503. [Google Scholar] [CrossRef] [PubMed]
- Gharabaghi, B.; Inkratas, C.; Krishnappan, B.G.; Rudra, R.P. Flow characteristics in a rotating circular flume. Open Civ. Eng. J. 2007, 1, 1. [Google Scholar] [CrossRef]
- Gardner, T.; Paolinelli, L.D.; Nesic, S. Study of water wetting in oil-water flow in a small-scale annular flume. Exp. Therm. Fluid Sci. 2019, 102, 506–516. [Google Scholar] [CrossRef]
- Hong, A.; Wang, Z.; Zhao, T. Development of cone-plate annular flume and its application on onset motion of particles. Trans. Chin. Soc. Agric. Eng. 2015, 31, 77–82. [Google Scholar]
- Huang, W.; Liu, Y.K.; Wu, H.L.; Wan, Y.Y. The incipient motion features of sediment from Yangtze estuary: Annular flume experiments. Sci. Rep. 2017, 7, 13285. [Google Scholar]
- Abduo, S.S.; Elmoustafa, A.M.; Salam, M.S.A. Study of counteracting the secondary flow in open channel bends. Ain Shams Eng. J. 2021, 12, 2425–2433. [Google Scholar] [CrossRef]
- Yang, Z.; Baptista, A.; Darland, J. Numerical modeling of flow characteristics in a rotating annular flume. Dynam Atmos. Oceans 2000, 31, 271–294. [Google Scholar] [CrossRef]
- Wang, J.; Zhou, J.J.; Zhang, C.K. Experimental study on velocity distribution of two-direction rotating annular flume. J. Sediment Res. 2014, 5, 32–37. [Google Scholar]
- Cao, K.; Lv, B.; Shao, Y. Study on best rotating ratio of annular flume. J. Waterw. Harb. 2016, 37, 484–489. [Google Scholar]
- Yang, S.H.; Im, I.T.; Hwang, K.N.; Cho, Y.S.; Ryn, H.R. A numerical study on optimal rotation ratio and bottom shear stress in the counter-rotation mode of an annular flume. J. Hydro Environ. Res. 2015, 9, 473–481. [Google Scholar] [CrossRef]
- Yan, J.; Zhang, L.T.; Xv, L.J.; Chen, S.N.; Peng, G.H.; Wang, M. Three-Dimensional Numerical Simulation of Flow Structure in Annular Flume Based on CFD Study of Water. Water 2023, 15, 651. [Google Scholar] [CrossRef]
- Fröhlich, J.; Von Terzi, D. Hybrid LES/RANS methods for the simulation of turbulent flows. Prog. Aerosp. Sci. 2008, 44, 349–377. [Google Scholar] [CrossRef]
- Iaccarino, G.; Ooi, A.; Durbin, P.; Behnia, M. Reynolds averaged simulation of unsteady separated flow. Int. J. Heat Fluid 2003, 24, 147–156. [Google Scholar] [CrossRef]
- Yakhot, V.; Orszag, S.; Thangam, S.; Gatski, T.; Speziale, C. Development of turbulence models for shear flows by a double expansion technique. Phys. Fluids 1992, 4, 1510–1520. [Google Scholar] [CrossRef]










| Model Domain | U | P | Turbulent Viscosity | k | Epsilon |
|---|---|---|---|---|---|
| Shear ring | rotatingWallVelocity | fixedFluxPressure | nutUWallFunction | kqRWallFunction | epsilonWallFunction |
| Annular flume | noSlip | fixedFluxPressure | nutUWallFunction | kqRWallFunction | epsilonWallFunction |
| Scheme | Gird Size/cm | Rotation Speed Ratio | Error |
|---|---|---|---|
| A | 4 | 2.68 | 35.71% |
| B | 2 | 2.68 | 6.14% |
| C | 1 | 2.68 | 4.11% |
Disclaimer/Publisher’s Note: The statements, opinions and data contained in all publications are solely those of the individual author(s) and contributor(s) and not of MDPI and/or the editor(s). MDPI and/or the editor(s) disclaim responsibility for any injury to people or property resulting from any ideas, methods, instructions or products referred to in the content. |
© 2024 by the authors. Licensee MDPI, Basel, Switzerland. This article is an open access article distributed under the terms and conditions of the Creative Commons Attribution (CC BY) license (https://creativecommons.org/licenses/by/4.0/).
Share and Cite
Chen, S.; Jiang, Z.; Chen, S.; Yu, Z.; Sun, H. A Study on the Optimal Speed Ratio of Rotating Annular Flume Based on the OpenFOAM Simulation. Water 2024, 16, 2354. https://doi.org/10.3390/w16162354
Chen S, Jiang Z, Chen S, Yu Z, Sun H. A Study on the Optimal Speed Ratio of Rotating Annular Flume Based on the OpenFOAM Simulation. Water. 2024; 16(16):2354. https://doi.org/10.3390/w16162354
Chicago/Turabian StyleChen, Sijin, Zhonglian Jiang, Shijun Chen, Zhen Yu, and Hui Sun. 2024. "A Study on the Optimal Speed Ratio of Rotating Annular Flume Based on the OpenFOAM Simulation" Water 16, no. 16: 2354. https://doi.org/10.3390/w16162354
APA StyleChen, S., Jiang, Z., Chen, S., Yu, Z., & Sun, H. (2024). A Study on the Optimal Speed Ratio of Rotating Annular Flume Based on the OpenFOAM Simulation. Water, 16(16), 2354. https://doi.org/10.3390/w16162354

