Enhancing Soil Conditions and Maize Yield Efficiency through Rational Conservation Tillage in Aeolian Semi-Arid Regions: A TOPSIS Analysis
Abstract
1. Introduction
2. Materials and Methods
2.1. Site Description
2.2. Experimental Design
2.3. Measurement and Methods
2.3.1. Rainfall during Growth Period
2.3.2. Soil Bulk Density
2.3.3. Soil Water Content
- (1)
- Soil weight moisture content = (fresh soil quality-dried soil quality)/dried soil quality × 100%.
- (2)
- Soil water storage (mm) = soil depth (cm) × soil bulk density (g·cm−3)× soil weight moisture content (%) × 10.
- (3)
- Soil water consumption (mm) = soil water storage at sowing stage (mm) − soil water storage at maturity stage (mm) + effective precipitation greater than 5 mm at growth stage (mm).
- (4)
- Water use efficiency (WUE, kg·ha−1·mm−1) = grain yield (kg·ha−1)/total soil water consumption (mm).
2.3.4. Soil Nitrate Nitrogen and Ammonium Nitrogen
2.3.5. Soil Dissolved Organic Carbon (DOC)
2.3.6. Soil Wind Erosion
2.3.7. Sediment Discharge
2.3.8. Net Photosynthetic Rate and Stomatal Conductance of Maize
2.3.9. Grain Yield
2.4. Multi-Objective Decision Making and Evaluation Based on TOPSIS
- (1)
- The raw data exhibit a discernible trend. For a comprehensive assessment of multi-objective optimal farming methods, it is essential to categorize and analyze the evaluative indicators, which include those that are extremely large, extremely small, intermediate, and interval-based. In this study, a positive processing approach is adopted for these indicators, where a higher value signifies a more favorable outcome. Consequently, it is imperative to normalize the extremely small, intermediate, and interval-based indicators. Given that this study primarily involves indicators of very large and very small magnitudes, only minor adjustments are required to co-trend these indicators. The specific formula for this transformation is presented as follows:Here, is the post-assimilation index, is the maximum value of this index, and is the pre-assimilation index.
- (2)
- Construct a standardized evaluation matrix to systematically organize the data for analyses. Let us consider a scenario with m distinct evaluation schemes and n evaluative indicators, as depicted in the matrix below.where represents the evaluation index in scheme .Matrix (5) is normalized using Equation (6), and a normalized matrix, Matrix (7), is obtained.where represents the standardized value of evaluation index in scheme .
- (3)
- Determine the weight indicator. The entropy weight method is used to determine the weight of the indicators. The specific methods are as follows:Here, if , then define .where is the characteristic proportion of the index; , , and are the information entropy, difference coefficient, and entropy weight of the index, respectively.Through the above calculation formula, the weighting matrix Y can be obtained.
- (4)
- Calculate the comprehensive evaluation index. The maximum (small) value of each column element of matrix Y is taken to form the optimal (inferior) vector (), and the distance between each column element and () is calculated to obtain a comprehensive evaluation index for each treatment. The calculation process is as follows:where is the standardized value of index in scheme after the weighted calculation; and are the distances between scheme and the maximum value and the minimum value, respectively; and represents the comprehensive evaluation index of option .
2.5. Data Analysis
3. Results
3.1. Characteristics of Precipitation Distribution in the Test Area
3.2. Soil Water
3.2.1. Soil Moisture Content
3.2.2. Soil Water Storage
3.3. Soil Available Nutrient Content
3.3.1. Soil Nitrate Nitrogen
3.3.2. Soil Ammonium Nitrogen
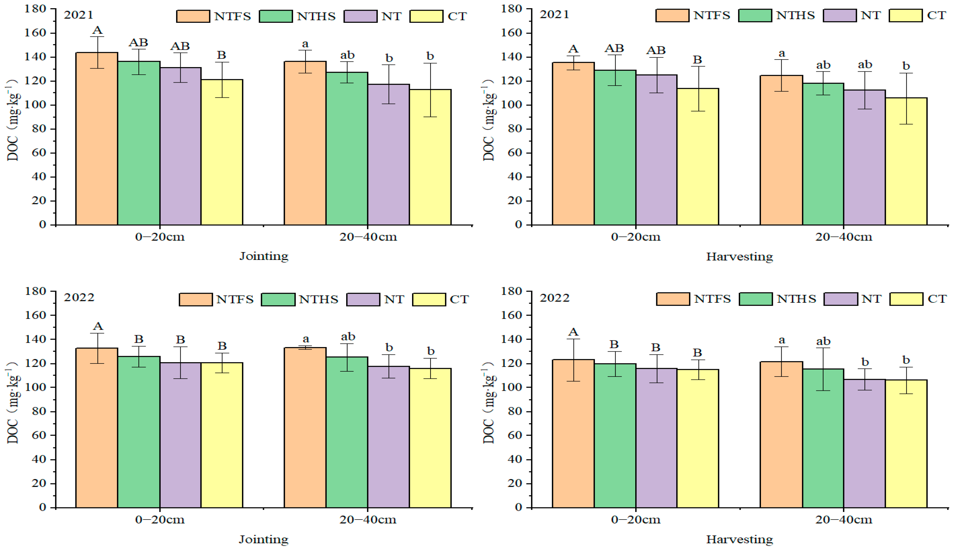
3.3.3. Soil DOC
3.4. Soil Wind Erosion
3.4.1. Soil Sediment Transport Capacity
3.4.2. Soil Wind Erosion
3.5. Crop Photosynthesis
3.6. Crop Yield and Water Use Efficiency
3.6.1. Yield
3.6.2. WUE
3.7. Multi-Objective Decision Making and Evaluation Based on TOPSIS
4. Discussion
4.1. Effects of Different Treatments on Water Utilization and Nutrient Absorption
4.2. Effects of Different Treatments on Soil Wind Erosion
4.3. Effects of Different Treatments on Maize Photosynthesis
4.4. Effects of Different Treatments on Maize Yield and Water Use Efficiency
5. Conclusions
- (1)
- No-tillage combined with straw mulching, as opposed to traditional tillage, enhanced soil water content during the critical jointing and filling stages of maize growth and boosted water retention at the sowing stage. This practice significantly influenced the levels of nitrate nitrogen, soluble organic carbon, and ammonium nitrogen in the top 0–20 cm of soil, creating optimal conditions for water and nutrient availability, essential for maize cultivation.
- (2)
- In regions grappling with aeolian semi-arid conditions and wind-blown sand, no-tillage straw mulching proved effective in curtailing soil sediment transport and wind erosion, particularly at heights of 30–40 cm above the ground. This method aids in the management of farmland wind erosion and bolsters the protection of the ecological environment.
- (3)
- Both no-tillage with full straw mulching (NTFS) and no-tillage with half straw mulching (NTHS) exhibited markedly higher yields and water use efficiency (WUE) than conventional tillage (CT). Notably, NTHS outperformed the others, with its yield and WUE showing increases ranging from 14.5% to 16.6% and from 18.3% to 21.7%, respectively.
- (4)
- TOPSIS analysis outcomes indicate that under the NTHS treatment, there was a comprehensive improvement across various parameters—soil water, nutrient availability, wind erosion, maize photosynthesis, yield, and WUE. NTHS scored the highest in these categories, suggesting its superiority as a tillage method in semi-arid regions where wind-blown sand is a concern.
Supplementary Materials
Author Contributions
Funding
Data Availability Statement
Conflicts of Interest
References
- Jia, Q.; Li, M.; Dou, X. Climate change affects crop production potential in semi-arid regions: A case study in Dingxi, Northwest China, in recent 30 years. Sustainability 2022, 14, 3578. [Google Scholar] [CrossRef]
- Gao, Y.; Sun, Z.; Bai, W.; Feng, L.; Yang, N.; Cai, Q.; Feng, C.; Zhang, Z. Productivity and water use efficiency of maize-peanut intercropping systems in the semi-arid region of western Liaoning province. Sci. Agric. Sin. 2017, 50, 3702–3713. [Google Scholar]
- Cai, Q.; Sun, Z.-x.; Wang, W.-b.; Bai, W.; Du, G.-j.; Zhang, Z.; Zhang, Y.; Feng, C.; Xiang, W.-y.; Zhao, F.-y. Yield and water use of maize/soybean intercropping systems in semi-arid western Liaoning. Chin. J. Agrometeorol. 2022, 43, 551. [Google Scholar]
- Cai, Q.; Sun, Z.X.; Zheng, J.M.; Wang, W.B.; Bai, W.; Feng, L.S.; Yang, N.; Xiang, W.Y.; Zhang, Z.; Feng, C. Dry matter accumulation, allocation, yield and productivity of maize-soybean intercropping systems in the semi-arid region of western Liaoning province. Sci. Agric. Sin. 2021, 54, 909–920. [Google Scholar]
- Rao, Y.; Zhou, M.; Ou, G.; Dai, D.; Zhang, L.; Zhang, Z.; Nie, X.; Yang, C. Integrating ecosystem services value for sustainable land-use management in semi-arid region. J. Clean. Prod. 2018, 186, 662–672. [Google Scholar] [CrossRef]
- Blanco-Canqui, H.; Ruis, S.J. No-tillage and soil physical environment. Geoderma 2018, 326, 164–200. [Google Scholar] [CrossRef]
- Busari, M.A.; Kukal, S.S.; Kaur, A.; Bhatt, R.; Dulazi, A.A. Conservation tillage impacts on soil, crop and the environment. Int. Soil Water Conserv. Res. 2015, 3, 119–129. [Google Scholar] [CrossRef]
- Blanco Sepúlveda, R.; Aguilar Carrillo, A. The erosion threshold for a sustainable agriculture in cultures of bean (Phaseolus vulgaris L.) under conventional tillage and no-tillage in Northern Nicaragua. Soil Use Manag. 2016, 32, 368–380. [Google Scholar] [CrossRef]
- Ali, A.B.; Elshaikh, N.A.; Hong, L.; Adam, A.B.; Haofang, Y. Conservation tillage as an approach to enhance crops water use efficiency. Acta Agric. Scand. Sect. B Soil Plant Sci. 2017, 67, 252–262. [Google Scholar] [CrossRef]
- Chan, K.; Heenan, D.; Oates, A. Soil carbon fractions and relationship to soil quality under different tillage and stubble management. Soil Tillage Res. 2002, 63, 133–139. [Google Scholar] [CrossRef]
- Wang, S.; Xu, X.; Huang, L. Spatial and temporal variability of soil erosion in Northeast China from 2000 to 2020. Remote Sens. 2022, 15, 225. [Google Scholar] [CrossRef]
- Chen, G.; Wang, Q.; Li, H.; He, J.; Lu, C.; Gong, S.; Xu, D.; Cao, X. Research on the effect of conservation tillage mode on the suppression of near-surface dust in farmland. Agriculture 2022, 12, 703. [Google Scholar] [CrossRef]
- Yang, C.; Geng, Y.; Fu, X.Z.; Coulter, J.A.; Chai, Q. The effects of wind erosion depending on cropping system and tillage method in a semi-arid region. Agronomy 2020, 10, 732. [Google Scholar] [CrossRef]
- Cong, P.; Yin, G.; Gu, J. Effects of stubble and mulching on soil erosion by wind in semi-arid China. Sci. Rep. 2016, 6, 29966. [Google Scholar] [CrossRef]
- Wang, J.; Shi, X.; Li, Z.; Zhang, Y.; Liu, Y.; Peng, Y. Responses of runoff and soil erosion to planting pattern, row direction, and straw mulching on sloped farmland in the corn belt of northeast China. Agric. Water Manag. 2021, 253, 106935. [Google Scholar] [CrossRef]
- Meng, F.; Hu, K.; Feng, P.; Feng, G.; Gao, Q. Simulating the Effects of Different Textural Soils and N Management on Maize Yield, N Fates, and Water and N Use Efficiencies in Northeast China. Plants 2022, 11, 3338. [Google Scholar] [CrossRef] [PubMed]
- Dass, A.; Bhattacharyya, R. Wheat residue mulch and anti-transpirants improve productivity and quality of rainfed soybean in semi-arid north-Indian plains. Field Crops Res. 2017, 210, 9–19. [Google Scholar] [CrossRef]
- Li, H.; Zhang, Y.; Sun, Y.; Zhang, Q.; Liu, P.; Wang, X.; Li, J.; Wang, R. No-tillage with straw mulching improved grain yield by reducing soil water evaporation in the fallow period: A 12-year study on the Loess Plateau. Soil Tillage Res. 2022, 224, 105504. [Google Scholar] [CrossRef]
- Wang, Q.; Lu, C.; Li, H.; He, J.; Sarker, K.K.; Rasaily, R.G.; Liang, Z.; Qiao, X.; Li, H.; Mchugh, A.D.J. The effects of no-tillage with subsoiling on soil properties and maize yield: 12-Year experiment on alkaline soils of Northeast China. Soil Tillage Res. 2014, 137, 43–49. [Google Scholar] [CrossRef]
- Yang, Y.; Yu, K.; Feng, H. Effects of straw mulching and plastic film mulching on improving soil organic carbon and nitrogen fractions, crop yield and water use efficiency in the Loess Plateau, China. Agric. Water Manag. 2018, 201, 133–143. [Google Scholar]
- Jia, L.; Zhao, W.; Zhai, R.; Liu, Y.; Kang, M.; Zhang, X. Regional differences in the soil and water conservation efficiency of conservation tillage in China. Catena 2019, 175, 18–26. [Google Scholar] [CrossRef]
- Huang, G.-b.; Qiang, C.; Feng, F.-x.; Yu, A.-z. Effects of different tillage systems on soil properties, root growth, grain yield, and water use efficiency of winter wheat (Triticum aestivum L.) in arid Northwest China. J. Integr. Agric. 2012, 11, 1286–1296. [Google Scholar] [CrossRef]
- Enfors, E.; Barron, J.; Makurira, H.; Rockström, J.; Tumbo, S. Yield and soil system changes from conservation tillage in dryland farming: A case study from North Eastern Tanzania. Agric. Water Manag. 2011, 98, 1687–1695. [Google Scholar] [CrossRef]
- Liu, X.; Dong, W.; Jia, S.; Liu, Q.; Li, Y.; Hossain, M.E.; Liu, E.; Kuzyakov, Y. Transformations of N derived from straw under long-term conventional and no-tillage soils: A 15N labelling study. Sci. Total Environ. 2021, 786, 147428. [Google Scholar] [CrossRef]
- Xu, Y.; Zhu, G.; Wan, Q.; Yong, L.; Ma, H.; Sun, Z.; Zhang, Z.; Qiu, D. Effect of terrace construction on soil moisture in rain-fed farming area of Loess Plateau. J. Hydrol. Reg. Stud. 2021, 37, 100889. [Google Scholar] [CrossRef]
- Pinamonti, F. Compost mulch effects on soil fertility, nutritional status and performance of grapevine. Nutr. Cycl. Agroecosystems 1998, 51, 239–248. [Google Scholar] [CrossRef]
- Liu, J.; Bu, L.; Zhu, L.; Luo, S.; Chen, X.; Li, S. Optimizing plant density and plastic film mulch to increase maize productivity and water-use efficiency in semiarid areas. Agron. J. 2014, 106, 1138–1146. [Google Scholar] [CrossRef]
- Camarotto, C.; Dal Ferro, N.; Piccoli, I.; Polese, R.; Furlan, L.; Chiarini, F.; Morari, F. Conservation agriculture and cover crop practices to regulate water, carbon and nitrogen cycles in the low-lying Venetian plain. Catena 2018, 167, 236–249. [Google Scholar] [CrossRef]
- Medrano, H.; Tomás, M.; Martorell, S.; Escalona, J.-M.; Pou, A.; Fuentes, S.; Flexas, J.; Bota, J. Improving water use efficiency of vineyards in semi-arid regions. A review. Agron. Sustain. Dev. 2015, 35, 499–517. [Google Scholar] [CrossRef]
- Chen, Q.; Liu, Z.; Zhou, J.; Xu, X.; Zhu, Y. Long-term straw mulching with nitrogen fertilization increases nutrient and microbial determinants of soil quality in a maize–wheat rotation on China’s Loess Plateau. Sci. Total Environ. 2021, 775, 145930. [Google Scholar] [CrossRef]
- Wang, J.; Ghimire, R.; Fu, X.; Sainju, U.M.; Liu, W. Straw mulching increases precipitation storage rather than water use efficiency and dryland winter wheat yield. Agric. Water Manag. 2018, 206, 95–101. [Google Scholar] [CrossRef]
- Du, C.; Li, L.; Effah, Z. Effects of straw mulching and reduced tillage on crop production and environment: A review. Water 2022, 14, 2471. [Google Scholar] [CrossRef]
- Li, Q.; Li, H.; Zhang, L.; Zhang, S.; Chen, Y. Mulching improves yield and water-use efficiency of potato cropping in China: A meta-analysis. Field Crops Res. 2018, 221, 50–60. [Google Scholar] [CrossRef]
- Al-Shammary, A.A.G.; Kouzani, A.Z.; Kaynak, A.; Khoo, S.Y.; Norton, M.; Gates, W. Soil bulk density estimation methods: A review. Pedosphere 2018, 28, 581–596. [Google Scholar] [CrossRef]
- Chen, H.; Zhang, X.; Abla, M.; Lü, D.; Yan, R.; Ren, Q.; Ren, Z.; Yang, Y.; Zhao, W.; Lin, P. Effects of vegetation and rainfall types on surface runoff and soil erosion on steep slopes on the Loess Plateau, China. Catena 2018, 170, 141–149. [Google Scholar] [CrossRef]
- Gu, X.-B.; Li, Y.-N.; Du, Y.-D. Effects of ridge-furrow film mulching and nitrogen fertilization on growth, seed yield and water productivity of winter oilseed rape (Brassica napus L.) in Northwestern China. Agric. Water Manag. 2018, 200, 60–70. [Google Scholar] [CrossRef]
- Zhang, X.; Wang, H.; Hou, H.; Yu, X.; Ma, Y.; Fang, Y.; Lei, K. Did plastic mulching constantly increase crop yield but decrease soil water in a semiarid rain-fed area? Agric. Water Manag. 2020, 241, 106380. [Google Scholar] [CrossRef]
- Li, C.; Li, Y.; Fu, G.; Huang, M.; Ma, C.; Wang, H.; Zhang, J. Cultivation and mulching materials strategies to enhance soil water status, net ecosystem and crop water productivity of winter wheat in semi-humid regions. Agric. Water Manag. 2020, 239, 106240. [Google Scholar] [CrossRef]
- Gajda, A.; Przewloka, B.; Gawryjolek, K. Changes in soil quality associated with tillage system applied. Int. Agrophysics 2013, 27, 133–141. [Google Scholar] [CrossRef]
- Zhai, L.; Wang, Z.; Song, S.; Zhang, L.; Zhang, Z.; Jia, X. Tillage practices affects the grain filling of inferior kernel of summer maize by regulating soil water content and photosynthetic capacity. Agric. Water Manag. 2021, 245, 106600. [Google Scholar] [CrossRef]
- Sun, L.; Wang, S.; Zhang, Y.; Li, J.; Wang, X.; Wang, R.; Lyu, W.; Chen, N.; Wang, Q. Conservation agriculture based on crop rotation and tillage in the semi-arid Loess Plateau, China: Effects on crop yield and soil water use. Agric. Ecosyst. Environ. 2018, 251, 67–77. [Google Scholar] [CrossRef]
- San Francisco, S.; Urrutia, O.; Martin, V.; Peristeropoulos, A.; Garcia-Mina, J.M. Efficiency of urease and nitrification inhibitors in reducing ammonia volatilization from diverse nitrogen fertilizers applied to different soil types and wheat straw mulching. J. Sci. Food Agric. 2011, 91, 1569–1575. [Google Scholar] [CrossRef] [PubMed]
- Döring, T.F.; Brandt, M.; Heß, J.; Finckh, M.R.; Saucke, H. Effects of straw mulch on soil nitrate dynamics, weeds, yield and soil erosion in organically grown potatoes. Field Crops Res. 2005, 94, 238–249. [Google Scholar] [CrossRef]
- Biswas, D.K.; Ma, B.-L. Effect of nitrogen rate and fertilizer nitrogen source on physiology, yield, grain quality, and nitrogen use efficiency in corn. Can. J. Plant Sci. 2016, 96, 392–403. [Google Scholar] [CrossRef]
- Fiorini, A.; Boselli, R.; Maris, S.C.; Santelli, S.; Ardenti, F.; Capra, F.; Tabaglio, V. May conservation tillage enhance soil C and N accumulation without decreasing yield in intensive irrigated croplands? Results from an eight-year maize monoculture. Agric. Ecosyst. Environ. 2020, 296, 106926. [Google Scholar] [CrossRef]
- Zhu, L.; Hu, N.; Yang, M.; Zhan, X.; Zhang, Z. Effects of different tillage and straw return on soil organic carbon in a rice-wheat rotation system. PLoS ONE 2014, 9, e88900. [Google Scholar] [CrossRef] [PubMed]
- Cong, P.; Wang, J.; Li, Y.; Liu, N.; Dong, J.; Pang, H.; Zhang, L.; Gao, Z. Changes in soil organic carbon and microbial community under varying straw incorporation strategies. Soil Tillage Res. 2020, 204, 104735. [Google Scholar] [CrossRef]
- Carlos, F.S.; Camargo, F.A.; Marcolin, E.; Veloso, M.G.; Fernandes, R.S.; Bayer, C. No-tillage promotes C accumulation in soil and a slight increase in yield stability and profitability of rice in subtropical lowland ecosystems. Soil Res. 2022, 60, 601–609. [Google Scholar] [CrossRef]
- Xu, H.; Xiao, R.; Song, T. Effects of different fertilization on microbial biomass carbon from the red soil in tea garden. Front. Agric. China 2008, 2, 418–422. [Google Scholar] [CrossRef]
- Gan, Y.; Campbell, C.; Liu, L.; Basnyat, P.; McDonald, C. Water use and distribution profile under pulse and oilseed crops in semiarid northern high latitude areas. Agric. Water Manag. 2009, 96, 337–348. [Google Scholar] [CrossRef]
- Zuazo, V.H.D.; Pleguezuelo, C.R.R. Soil-erosion and runoff prevention by plant covers: A review. Sustain. Agric. 2009, 28, 785–811. [Google Scholar] [CrossRef]
- Zhang, X.; Qian, Y.; Cao, C. Effects of straw mulching on maize photosynthetic characteristics and rhizosphere soil micro-ecological environment. Chil. J. Agric. Res. 2015, 75, 481–487. [Google Scholar] [CrossRef]
- Li, Y.; Li, J.; Zhou, L.; Liu, G.; Zhang, J.; Zhang, Z.; Zheng, Q. Effects of conservation tillage on soil wind erosion characteristics in the Hexi oasis irrigational area. Chin. J. Eco-Agric. 2019, 27, 1421–1429. [Google Scholar]
- Tan, J.; Wu, X.; Zeng, F.; Li, X.; Feng, M.; Liao, G.; Sha, R. Effects of crop residue on wind erosion due to dust storms in Hotan Prefecture, Xinjiang, China. Soil Tillage Res. 2022, 221, 105387. [Google Scholar] [CrossRef]
- Sun, Y.; Ma, S.; Chen, Z. Wind tunnels test on anti-wind erosion effect of conservation tillage farmland and caragana collocated with grassland in strip. Trans. Chin. Soc. Agric. Eng. 2017, 33, 140–146. [Google Scholar]
- Zobeck, T.M.; Sterk, G.; Funk, R.; Rajot, J.L.; Stout, J.E.; Van Pelt, R.S. Measurement and data analysis methods for field-scale wind erosion studies and model validation. Earth Surf. Process. Landf. 2003, 28, 1163–1188. [Google Scholar] [CrossRef]
- Li, H.; Kuang, N.; Gou, Q.; Ma, Y.; Li, Q. Effects of different film mulches on photosynthetic characteristics and yield of summer maize (Zea mays L.) in the North China Plain. Arch. Agron. Soil Sci. 2021, 67, 179–190. [Google Scholar] [CrossRef]
- Zhang, X.; Zhou, Q.; Chen, W.; Wang, Y.; Tong, D.Q. Observation and modeling of black soil wind-blown erosion from cropland in Northeastern China. Aeolian Res. 2015, 19, 153–162. [Google Scholar] [CrossRef]
- Dong, B.; Shi, L.; Shi, C.; Qiao, Y.; Liu, M.; Zhang, Z. Grain yield and water use efficiency of two types of winter wheat cultivars under different water regimes. Agric. Water Manag. 2011, 99, 103–110. [Google Scholar] [CrossRef]
- Zegada-Lizarazu, W.; Iijima, M. Deep root water uptake ability and water use efficiency of pearl millet in comparison to other millet species. Plant Prod. Sci. 2005, 8, 454–460. [Google Scholar] [CrossRef]
- Chaves, M.; Flexas, J.; Pinheiro, C. Photosynthesis under drought and salt stress: Regulation mechanisms from whole plant to cell. Ann. Bot. 2009, 103, 551–560. [Google Scholar] [CrossRef] [PubMed]
- Gan, Y.; Siddique, K.H.; Turner, N.C.; Li, X.-G.; Niu, J.-Y.; Yang, C.; Liu, L.; Chai, Q. Ridge-furrow mulching systems—An innovative technique for boosting crop productivity in semiarid rain-fed environments. Adv. Agron. 2013, 118, 429–476. [Google Scholar]
- Hou, X.; Li, R. Potato tuber yields in semi-arid environments are increased by tillage and mulching practices. Agron. J. 2018, 110, 2641–2651. [Google Scholar] [CrossRef]
- He, J.; Li, H.; Kuhn, N.; Wang, Q.; Zhang, X. Effect of ridge tillage, no-tillage, and conventional tillage on soil temperature, water use, and crop performance in cold and semi-arid areas in Northeast China. Soil Res. 2010, 48, 737–744. [Google Scholar] [CrossRef]
- Cheng, M.; Zhan, W.; Chen, S.; Lan, T.; Liu, Z.; Shao, X.; Wang, L.; Lyu, Y.; Wang, Y. Effects of Straw Return and Nitrogen Fertilization on Grain Yield and Leaf Senescence of Maize in Northeast China. Int. J. Plant Prod. 2023, 17, 503–515. [Google Scholar] [CrossRef]
- Fan, T.-L.; Li, S.-Z.; Gang, Z.; Wang, S.-Y.; Zhang, J.-J.; Lei, W.; Yi, D.; Cheng, W.-L. Response of dryland crops to climate change and drought-resistant and water-suitable planting technology: A case of spring maize. J. Integr. Agric. 2023, 22, 2067–2079. [Google Scholar] [CrossRef]
- Han, G.; Miao, F.-f.; Wang, N.; Hou, X.-q. Effects of subsoiling with mulching pattern on water use efficiency of potato in rainfed region of southern Ningxia. Chin. J. Agrometeorol. 2021, 42, 905. [Google Scholar]
- Qin, X.; Huang, T.; Lu, C.; Dang, P.; Zhang, M.; Guan, X.-k.; Wen, P.-f.; Wang, T.-C.; Chen, Y.; Siddique, K.H. Benefits and limitations of straw mulching and incorporation on maize yield, water use efficiency, and nitrogen use efficiency. Agric. Water Manag. 2021, 256, 107128. [Google Scholar] [CrossRef]






| Code | Treatment | Specific Operation |
|---|---|---|
| NTFS | No-tillage with full straw mulching | After the autumn harvest, all straw is retained in the experimental field. In the subsequent year, the crop is sown directly without tillage, following a single pass of straw crushing. |
| NTHS | No-tillage with half straw mulching | During the autumn harvest, only half of the straw row is removed to achieve a half straw mulching effect. The remaining straw residue is then incorporated into the soil, and the crop is sown without tillage in the following year. |
| NT | No-tillage with no straw mulching | After the autumn harvest, the stubble is entirely removed. The crop is sown without tillage in the next year, leaving the soil bare of straw mulch. |
| CT | Conventional tillage with no straw mulching | Upon completion of the autumn harvest, all stubble and straw are removed. The soil is then subjected to conventional tillage practices, including rotation and ridging, in preparation for the next year’s planting. |
| Year | Seedling Stage | Jointing Stage | Tasseling Stage | Filling Stage | Mature Stage | Growth Stage |
|---|---|---|---|---|---|---|
| 2021 | 55.9 | 108.9 | 56.8 | 98.4 | 70.1 | 390.1 |
| 2022 | 57.9 | 118.9 | 91.8 | 103.8 | 26.0 | 398.4 |
| Average | 38.2 | 81.4 | 128.6 | 110.3 | 47.4 | 406.0 |
| Year | Treatment | Jointing Stage | Filling Stage | ||
|---|---|---|---|---|---|
| 0–20 cm (%) | 20–40 cm (%) | 0–20 cm (%) | 20–40 cm (%) | ||
| 2021 | NTFS | 18.60 ± 0.08 b | 19.37 ± 0.72 b | 14.37 ± 0.38 b | 17.81 ± 0.83 b |
| NTHS | 19.61 ± 0.68 b | 20.62 ± 0.58 b | 14.28 ± 0.93 b | 17.28 ± 0.16 b | |
| NT | 17.09 ± 1.20 ab | 18.21 ± 0.38 ab | 12.39 ± 0.85 ab | 15.73 ± 1.15 a | |
| CT | 16.91 ± 0.35 a | 17.28 ± 1.21 a | 11.68 ± 0.18 a | 16.38 ± 0.29 a | |
| 2022 | NTFS | 17.74 ± 0.36 b | 17.63 ± 0.83 b | 11.13 ± 0.63 b | 12.20 ± 0.70 a |
| NTHS | 18.51 ± 0.06 b | 18.73 ± 0.60 b | 12.05 ± 0.46 b | 12.63 ± 0.18 a | |
| NT | 15.53 ± 1.40 a | 16.14 ± 0.63 a | 10.21 ± 0.08 a | 11.54 ± 1.10 a | |
| CT | 16.21 ± 0.92 a | 16.43 ± 1.22 a | 10.07 ± 0.15 a | 11.45 ± 0.62 a | |
| Year | Treatment | Sowing Stage (mm) | Maturity Stage (mm) |
|---|---|---|---|
| 2021 | NTFS | 321.2 ± 25.9 a | 273.4 ± 12.8 a |
| NTHS | 311.6 ± 42.6 a | 275.8 ± 13.1 a | |
| NT | 291.3 ± 12.8 ab | 281.5 ± 16.2 a | |
| CT | 279.5 ± 23.7 b | 289.0 ± 19.3 a | |
| 2022 | NTFS | 362.2 ± 18.9 a | 310.3 ± 22.5 a |
| NTHS | 338.7 ± 12.8 a | 296.8 ± 12.3 a | |
| NT | 311.0 ± 28.7 b | 291.5 ± 19.1 a | |
| CT | 311.8 ± 33.5 b | 285.1 ± 22.8 a |
| Year | Treatment | 30–40 cm | 40–50 cm | 50–60 cm | 60–70 cm | 70–80 cm |
|---|---|---|---|---|---|---|
| 2021 | NTFS | 24.5 ± 1.1 c | 20.5 ± 2.2 a | 19.6 ± 3.3 a | 15.9 ± 2.2 a | 13.8 ± 1.1 a |
| NTHS | 25.2 ± 0.7 bc | 19.1 ± 0.6 a | 16.2 ± 0.4 a | 14.7 ± 1.0 a | 13.7 ± 1.0 a | |
| NT | 30.2 ± 3.3 ab | 22.3 ± 4.2 a | 19.2 ± 4.4 a | 16.8 ± 4.0 a | 14.9 ± 3.4 a | |
| CT | 34.5 ± 3.2 a | 23.6 ± 5.2 a | 20.9 ± 3.5 a | 17.4 ± 2.5 a | 16.1 ± 2.2 a | |
| 2022 | NTFS | 25.0 ± 2.6 b | 19.9 ± 1.7 a | 17.0 ± 0.8 a | 13.7 ± 1.2 a | 13.1 ± 0.4 a |
| NTHS | 25.8 ± 4.3 b | 20.9 ± 2.9 a | 16.6 ± 1.5 a | 14.7 ± 1.2 a | 13.7 ± 1.2 a | |
| NT | 29.0 ± 1.9 ab | 22.5 ± 3.8 a | 19.2 ± 3.8 a | 16.5 ± 2.9 a | 15.2 ± 3.2 a | |
| CT | 33.0 ± 5.1 a | 22.8 ± 3.3 a | 18.9 ± 2.4 a | 16.7 ± 1.4 a | 15.9 ± 1.3 a |
| Year | Treatment | Yield | WUE |
|---|---|---|---|
| (kg·hm−2) | (kg·hm−2·mm−1) | ||
| 2021 | NTFS | 12,578.0 ± 237.2 c | 23.40 ± 0.35 b |
| NTHS | 12,857.5 ± 239.6 c | 24.77 ± 1.02 b | |
| NT | 11,744.5 ± 110.9 b | 22.09 ± 0.09 b | |
| CT | 10,791.8 ± 158.3 a | 19.22 ± 0.32 a | |
| 2022 | NTFS | 12,263.5 ± 156.1 b | 20.01 ± 0.49 b |
| NTHS | 12,465.5 ± 52.5 b | 20.47 ± 0.08 b | |
| NT | 11,121.5 ± 229.8 ab | 17.07 ± 0.49 a | |
| CT | 10,888.8 ± 274.2 a | 17.31 ± 0.32 a |
| Year | Treatment | D+ | D- | SI | Ranking |
|---|---|---|---|---|---|
| 2021 | NTFS | 0.0848 | 0.0320 | 0.2741 | 2 |
| NTHS | 0.0177 | 0.0853 | 0.8282 | 1 | |
| NT | 0.0851 | 0.0237 | 0.2173 | 3 | |
| CT | 0.0841 | 0.0231 | 0.2158 | 4 | |
| 2022 | NTFS | 0.3119 | 0.0282 | 0.0829 | 2 |
| NTHS | 0.3240 | 0.0570 | 0.1498 | 1 | |
| NT | 0.3359 | 0.0244 | 0.0678 | 3 | |
| CT | 0.8119 | 0.0251 | 0.0300 | 4 |
Disclaimer/Publisher’s Note: The statements, opinions and data contained in all publications are solely those of the individual author(s) and contributor(s) and not of MDPI and/or the editor(s). MDPI and/or the editor(s) disclaim responsibility for any injury to people or property resulting from any ideas, methods, instructions or products referred to in the content. |
© 2024 by the authors. Licensee MDPI, Basel, Switzerland. This article is an open access article distributed under the terms and conditions of the Creative Commons Attribution (CC BY) license (https://creativecommons.org/licenses/by/4.0/).
Share and Cite
Cong, Z.; Gu, J.; Li, C.; Li, F.; Li, F. Enhancing Soil Conditions and Maize Yield Efficiency through Rational Conservation Tillage in Aeolian Semi-Arid Regions: A TOPSIS Analysis. Water 2024, 16, 2228. https://doi.org/10.3390/w16162228
Cong Z, Gu J, Li C, Li F, Li F. Enhancing Soil Conditions and Maize Yield Efficiency through Rational Conservation Tillage in Aeolian Semi-Arid Regions: A TOPSIS Analysis. Water. 2024; 16(16):2228. https://doi.org/10.3390/w16162228
Chicago/Turabian StyleCong, Zijian, Jian Gu, Chunqian Li, Fei Li, and Fengming Li. 2024. "Enhancing Soil Conditions and Maize Yield Efficiency through Rational Conservation Tillage in Aeolian Semi-Arid Regions: A TOPSIS Analysis" Water 16, no. 16: 2228. https://doi.org/10.3390/w16162228
APA StyleCong, Z., Gu, J., Li, C., Li, F., & Li, F. (2024). Enhancing Soil Conditions and Maize Yield Efficiency through Rational Conservation Tillage in Aeolian Semi-Arid Regions: A TOPSIS Analysis. Water, 16(16), 2228. https://doi.org/10.3390/w16162228
