Experimental Study on Upstream Water Level Rise of Submerged Rock Weirs
Abstract
1. Introduction
2. Methods
2.1. Experimental Setup
2.2. Framework of Analysis
3. Results and Discussion
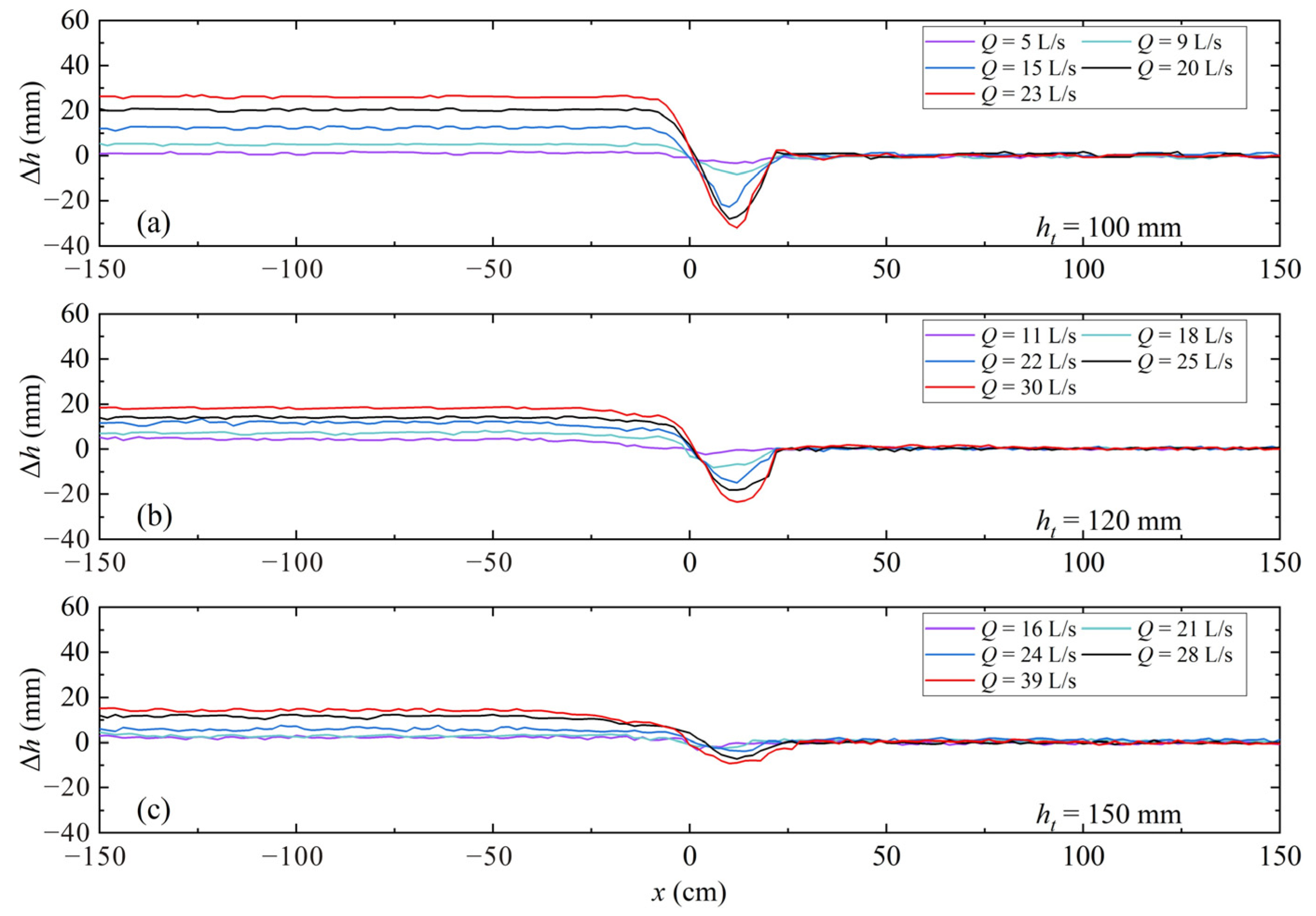
3.1. Effect of Tail-Water Depth on Upstream Water Level Rise
3.2. Effect of Weir Void Ratio on Upstream Water Level Rise
3.3. Estimation of Upstream Water Level Rise
4. Conclusions
Author Contributions
Funding
Data Availability Statement
Acknowledgments
Conflicts of Interest
References
- USBR (United States Bureau of Reclamation). Rock Weir Design Guidance; USBR Technical Service Center, Sedimentation and River Hydraulics Group: Denver, CO, USA, 2016.
- Nichols, M.H.; Polyakov, V.O. The impacts of porous rock check dams on a semiarid alluvial fan. Sci. Total Environ. 2019, 664, 576–582. [Google Scholar] [CrossRef]
- Chen, Z.C.; Shao, X.J.; Zhang, J.W. Experimental study on the upstream water level rise and downstream scour length of a submerged dam. J. Hydraul. Res. 2005, 43, 703–709. [Google Scholar] [CrossRef]
- Martens, K.D.; Connolly, P.J. Effectiveness of a redesigned water diversion using rock vortex weirs to enhance longitudinal connectivity for small salmonids. N. Am. J. Fish Manage. 2010, 30, 1544–1552. [Google Scholar] [CrossRef]
- Baki, A.B.M.; Zhu, D.Z.; Harwood, A.; Lewis, A.; Healey, K. Hydraulic design aspects of rock-weir fishways with notch for habitat connectivity. J. Ecohydraulics 2019, 5, 94–109. [Google Scholar] [CrossRef]
- Gordon, R.P.; Lautz, L.K.; Daniluk, T.L. Spatial patterns of hyporheic exchange and biogeochemical cycling around cross-vane restoration structures: Implications for stream restoration design. Water Resour. Res. 2013, 49, 2040–2055. [Google Scholar] [CrossRef]
- Radspinner, R.R.; Diplas, P.; Lightbody, A.F.; Sotiropoulos, F. River training and ecological enhancement potential using in-stream structures. J. Hydraul. Eng. 2010, 136, 967–980. [Google Scholar] [CrossRef]
- Wang, C.L.; Zhao, Y.; Ning, B.; Bi, J. Permeability evolution of coal subjected to triaxial compression based on in-situ nuclear magnetic resonance. Int. J. Rock Mech. Min. 2022, 159, 105213. [Google Scholar]
- Wang, C.L.; Pan, L.H.; Zhao, Y.; Zhang, Y.F.; Shen, W.K. Analysis of the pressure-pulse propagation in rock: A new approach to simultaneously determine permeability, porosity, and adsorption capacity. Rock Mech. Rock Eng. 2019, 52, 4301–4317. [Google Scholar] [CrossRef]
- Pasternack, G.B.; Ellis, C.R.; Marr, J.D. Jet and hydraulic jump near-bed stresses below a horseshoe waterfall. Water Resour. Res. 2007, 43, W07449. [Google Scholar] [CrossRef]
- Wyrick, J.R.; Pasternack, G.B. Modeling energy dissipation and hydraulic jump regime responses to channel nonuniformity at river steps. J. Geophys. Res. 2008, 113, F03003. [Google Scholar] [CrossRef]
- Horton, R.E. Weir Experiments, Coefficients and Formulas; USGS (United States Geological Survey): Washington, DC, USA, 1907.
- Ramamurthy, A.S.; Tim, U.S.; Rao, M.V.J. Characteristics of square-edged and round-nosed broad-crested weirs. J. Irrig. Drain. Eng. 1988, 114, 61–73. [Google Scholar] [CrossRef]
- Dust, D.; Wohl, E. Characterization of the hydraulics at natural step crests in step-pool streams via weir flow concepts. Water Resour. Res. 2012, 48, 1–14. [Google Scholar] [CrossRef]
- FAO/DVWK (Food and Agriculture Organization of the United Nations with Deutscher Verband fur Wasserwirtschaft und Kulturbau). Fish Passes: Design, Dimensions, and Monitoring; DVWK: Rome, Italy, 2002. [Google Scholar]
- Holmquist-Johnson, C.L. Numerical Analysis of River Spanning Rock U-Weirs: Evaluating Effects of Structure Geometry on Local Hydraulics. Ph.D. Thesis, Colorado State University, Fort Collins, CO, USA, 2011. [Google Scholar]
- Thornton, C.I.; Meneghetti, A.M.; Collins, K.; Abt, S.R.; Scurlock, S.M. Stage-discharge relationships for U-, A-, and W-weirs in un-submerged flow conditions. J. Am. Water Resour. Assoc. 2011, 47, 169–178. [Google Scholar] [CrossRef]
- Meneghetti, A.M. Stage-Discharge Relationships for U-, W-, and A-Weirs in Unsubmerged Conditions. Ph.D. Thesis, Colorado State University, Fort Collins, CO, USA, 2009. [Google Scholar]
- Baki, A.B.M.; Zhu, D.Z.; Harwood, A.; Lewis, A.; Healey, K. Rock-weir fishway. I: Flow regimes and hydraulic characteristics. J. Ecohydraul. 2017, 2, 122–141. [Google Scholar] [CrossRef]
- Kupferschmidt, C.; Zhu, D.Z. Physical modelling of pool and weir fishways with rock weirs. River Res. Appl. 2017, 33, 1130–1142. [Google Scholar] [CrossRef]
- Zeng, Y.X.; Ismail, H.; Liu, X.F. Flow decomposition method based on computational fluid dynamics for rock weir head-discharge relationship. J. Irrig. Drain. E. 2021, 147, 04021030. [Google Scholar] [CrossRef]
- Pagliara, S.; Palermo, M.; Kurdistania, S.M.; Hassanabadi, L.S. Erosive and hydrodynamic processes downstream of low-head control structures. J. Appl. Water. Eng. Res. 2015, 3, 122–131. [Google Scholar] [CrossRef]
- Zhang, W.; Nie, R.H.; Melville, B.W.; Whittaker, C.N.; Shamseldin, A.Y.; Liu, X.N.; Wang, L. Failure of rock weirs due to rock dislodgements. J. Hydraul. Res. 2023, 61, 356–368. [Google Scholar] [CrossRef]
- Pagliara, S.; Palermo, M. Rock grade control structures and stepped gabion weirs: Scour analysis and flow features. Acta. Geophys. 2013, 61, 126–150. [Google Scholar] [CrossRef]
- Mohamed, H.I. Flow over gabion weir. J. Irrig. Drain. E. 2010, 136, 573–577. [Google Scholar] [CrossRef]
- Bell, F.G. Engineering Properties of Soils and Rocks, 3rd ed.; Butterworth-Heinemann: Oxford, Boston, 1992. [Google Scholar]
- Zhao, Y.; Liu, H.H. An elastic stress-strain relationship for porous rock under anisotropic stress conditions. Rock Mech. Rock Eng. 2012, 45, 389–399. [Google Scholar] [CrossRef]
- Zhang, W.; Wang, L.; Melville, B.W.; Guan, D.W.; Whittaker, C.N.; Shamseldin, A.Y. Characteristics of the flow field within a developing scour hole at a submerged weir. J. Hydraul. Res. 2021, 60, 283–294. [Google Scholar] [CrossRef]
- Ettema, R.; AuBuchon, J.; Holste, N.; Varyu, D.; Baird, D.; Padilla, R.; Posner, A.; Thornton, C. Large flume tests on flow dislodgment of rocks forming bendway weirs. J. Hydraul. Eng. 2020, 146, 04020008. [Google Scholar] [CrossRef]
- Shatalov, A.; Hafez, M. Numerical solutions of incompressible Navier–Stokes equations using modified Bernoulli’s law. Int. J. Numer. Meth. Fl. 2003, 43, 1107–1137. [Google Scholar] [CrossRef]
- Guan, D.W.; Melville, B.W.; Friedrich, H. Live-bed scour at submerged weirs. J. Hydraul. Eng. 2015, 141, 04014071. [Google Scholar] [CrossRef]






| Q (L/s) | z (mm) | D (mm) | e | ht (mm) | Hd (mm) | h0 (mm) | Fu |
|---|---|---|---|---|---|---|---|
| 9~18 | 50 | 12 | 0.13 | 100 | 5~15 | 105~115 | 0.17~0.29 |
| 11~21 | 50 | 12 | 0.13 | 120 | 4~11 | 124~131 | 0.16~0.29 |
| 18~26 | 50 | 12 | 0.13 | 150 | 2~6 | 152~156 | 0.19~0.27 |
| 5~23 | 50 | 24 | 0.21 | 100 | 1~26 | 101~126 | 0.11~0.33 |
| 11~30 | 50 | 24 | 0.21 | 120 | 3~18 | 123~138 | 0.17~0.37 |
| 16~39 | 50 | 24 | 0.21 | 150 | 1~14 | 151~164 | 0.19~0.40 |
| 9~23 | 50 | 33 | 0.35 | 100 | 3~27 | 103~127 | 0.17~0.33 |
| 14~29 | 50 | 33 | 0.35 | 120 | 3~21 | 123~141 | 0.20~0.35 |
| 24~39 | 50 | 33 | 0.35 | 150 | 4~15 | 154~165 | 0.25~0.37 |
Disclaimer/Publisher’s Note: The statements, opinions and data contained in all publications are solely those of the individual author(s) and contributor(s) and not of MDPI and/or the editor(s). MDPI and/or the editor(s) disclaim responsibility for any injury to people or property resulting from any ideas, methods, instructions or products referred to in the content. |
© 2024 by the authors. Licensee MDPI, Basel, Switzerland. This article is an open access article distributed under the terms and conditions of the Creative Commons Attribution (CC BY) license (https://creativecommons.org/licenses/by/4.0/).
Share and Cite
Zhang, W.; Liu, X.; Gan, B. Experimental Study on Upstream Water Level Rise of Submerged Rock Weirs. Water 2024, 16, 2136. https://doi.org/10.3390/w16152136
Zhang W, Liu X, Gan B. Experimental Study on Upstream Water Level Rise of Submerged Rock Weirs. Water. 2024; 16(15):2136. https://doi.org/10.3390/w16152136
Chicago/Turabian StyleZhang, Wen, Xingnian Liu, and Binrui Gan. 2024. "Experimental Study on Upstream Water Level Rise of Submerged Rock Weirs" Water 16, no. 15: 2136. https://doi.org/10.3390/w16152136
APA StyleZhang, W., Liu, X., & Gan, B. (2024). Experimental Study on Upstream Water Level Rise of Submerged Rock Weirs. Water, 16(15), 2136. https://doi.org/10.3390/w16152136

