Next Article in Journal
Adsorption of a Multicomponent Pharmaceutical Wastewater on Charcoal-Based Activated Carbon: Equilibrium and Kinetics
Next Article in Special Issue
Tidal-Driven Water Residence Time in the Bohai and Yellow Seas: The Roles of Different Tidal Constituents
Previous Article in Journal
Soil-Microbial Interactions in Rice-Loach-Shrimp Integrated Farming: Multivariate Analysis of Ecological Intensification
Previous Article in Special Issue
The General Relationship between Mean Dissolved Oxygen Concentrations and Timescales in Estuaries
 
 
Font Type:
Arial Georgia Verdana
Font Size:
Aa Aa Aa
Line Spacing:
Column Width:
Background:
Article

Timescales of Ecological Processes, Settling, and Estuarine Transport to Create Estuarine Turbidity Maxima: An Application of the Peter–Parker Model

Department of Civil and Environmental Engineering, University of California, Berkeley, CA 94720, USA
*
Author to whom correspondence should be addressed.
Water 2024, 16(15), 2084; https://doi.org/10.3390/w16152084
Submission received: 20 June 2024 / Revised: 17 July 2024 / Accepted: 19 July 2024 / Published: 24 July 2024

Abstract

The estuarine exchange flow increases the longitudinal dispersion of passive tracers and trap sinking particles, potentially creating an estuarine turbidity maximum (ETM): a localized maximum of suspended particulate matter concentration in an estuary. The ETM can have many implications: dead zones due to increased turbidity or hypoxia from organic matter decomposition, naval navigation challenges, and other water quality problems. Using timescales, we investigate how the interaction between exchange flow and particle sinking leads to ETMs by modeling a sinking tracer in an idealized box model of the Total Exchange Flow (TEF) first developed by Parker MacCready. Results indicate that the balance of particle sinking and vertical mixing is critical to determining ETM size and location. We then focus on the role of ecology in ETM formation through the use of the Peter–Parker Model, a new biophysical model which combines the TEF box model with a Nutrient–Phytoplankton–Zooplankton–Detritus (NPZD) model, the likes of which were first developed by Peter J.S. Franks. Detritus sinking rates similarly influence detritus peak concentration and location (an ETM), but detritus ETMs occur in a different location than the sinking tracer due to the influence of biological factors, which create a time lag of about 1 day. Lastly, we characterize the flow of the models with a dimensionless parameter that compares timescales and summarizes the dynamics of the sinking tracer in ETM formation and that can be used across systems.

1. Introduction

Estuarine exchange flow, driven directly by longitudinal density gradients [1] and indirectly by tidally asymmetric flows [2], provides the foundational circulation and transport for estuaries and fjords (Figure 1). These flows carry freshwater seaward, typically in an upper surface layer, with dense saline waters replacing those outflows at depth. This exchange produces flushing and dispersion of river-sourced scalars. Sinking particles, whether they are biotic or abiotic, can result in trapping and retention within the estuary [2], forming the estuarine turbidity maximum (ETM), a localized maximum of suspended particulate matter concentration in an estuary. While naturally occurring, ETMs are frequently associated with deteriorated ecological and physical conditions, including ecological dead zones due to either decreased light or increased organic matter decomposition, naval navigation challenges, and other water quality problems [3]. This study aims to investigate this sinking particle trapping phenomenon and how it relates to ETMs by looking at both a sinking tracer in isolation and sinking detritus within a planktonic ecosystem.
ETMs have been the subject of modeling studies for several decades. In 1978, ref. [4] used an idealized numerical model to investigate ETM formation and found it to be a function of settling velocity and the strength of the estuarine circulation. In 1980, researchers began to realize that ETMs could also be tidally caused [5]. Later studies found that there may be seasonal effects driving ETMs, especially for sediments deposited during large flooding events from winter storms [6]. While some estuaries develop ETMs from bathymetry or lateral trapping processes, most basic ETM dynamics can be described using a constant settling velocity [4,5,7]. A summary is provided in the review in [3], where one of their concluding thoughts is that more fundamental research in suspended particulate matter (SPM) dynamics is needed to be able to classify estuaries by their ETMs. Further, one of the main remaining questions those authors found in their review is, “How do the fast dynamics of SPM in the water column and the slow dynamics of the bottom pool interact to determine ETM locations and variability, and what processes govern the dynamics of the mobile bottom pool?” [3]. The analyses presented in this paper are motivated in part by this call for additional research on ETMs and how sinking particles contribute to these accumulations.
Sinking detritus can lead to hypoxic (low-oxygen) regions of the estuary, in addition to ETMs. For example, the Hood Canal section of the Puget Sound has seasonal periods of low dissolved oxygen [8], leading to fish kills and other ecosystem impacts [9]. One of the causes of hypoxic regions is the sinking of dead organic material that originally grew in the high-irradiance surface layer and is then decomposed at depth by aerobic microorganisms that use up the oxygen. Field studies have detected patchiness in dissolved oxygen levels in the depths of the Hood Canal [10]. An investigation of the interaction of detritus sinking with estuarine exchange flow will help to develop an understanding of the physical and biological processes that lead to oxygen depletion in the Hood Canal and other similar fjordic and estuarine systems. While we do not study the formation of hypoxia directly, it serves as a motivation for this work, which we hope will inform the further study of sinking decaying matter that leads to hypoxic regions via biological oxygen demand.
In order to capture dynamics similar to those in Puget Sound, we simulate a partially mixed estuarine system, with a density-driven circulation dominating the along-estuary net transport, which is reflective of the fjord-like systems of the Puget Sound region [2,9]. The exchange flow increases the longitudinal dispersion of passive tracers but traps sinking particles that enter the lower layer [2]. This study aims to investigate this sinking particle trapping phenomena and how it relates to ETMs/sinking particle/detritus accumulation, as well as to look to the future to understand how physical changes to the estuary will alter these ETMs.
The tool of this study is a numerical model of a two-layer estuary that divides the estuary into longitudinal compartments. This model was originally used by [11] to investigate residence times in the Salish Sea estuary by advecting a passive, non-sinking tracer. We expanded the box model in [11] with a sinking tracer to understand the relationship between particle sinking and exchange flow. First, we explore the implications of varying parameters in this model for estuarine turbidity maximum/sinking particle accumulation in a system inspired by, but not strictly tied to, the Puget Sound. We next assess the planktonic ecosystem impacts of sinking detritus with the Peter–Parker Model, which adds a biological component that tracks nutrients, phytoplankton, zooplankton, and detritus (NPZD) [12] concentrations through time with the Total Exchange Flow (TEF) box model [11]. Then, we break apart the mechanisms leading to these accumulations by using a timescale analysis and compare the accumulations of systems with and without biology. Lastly, we characterize the flow of the model with a dimensionless parameter that summarizes the dynamics of the sinking tracer and can be used across systems.

2. Methods

2.1. Base: Total Exchange Flow Box Model

The fundamental model in this study is a box model for Total Exchange Flow (TEF), as developed by Parker MacCready [11]. TEF is defined as the “sub-tidal volume flux integrated over a salinity range” [13]. For our system of study, we assume a two-layer exchange flow consisting of a shallow and deep layer [13]. River flow drives the shallow layer seaward, and the density gradient brings in the deep oceanic layer. Tidal currents then mix these shallow and deep layers vertically. Together, these processes comprise the TEF [13]. In this work, the advective fluxes are quantified by the Knudsen relation [14] (as in the original TEF framework from [13]), and the mixing between the shallow and deep layers is quantified by the Cokelet and Stewart efflux/reflux method [15]. The salinity distribution, which drives this TEF model, is obtained from the Chatwin solution [16] and follows the paradigm that the flow is predominantly density driven while tidal effects are limited to mixing. Note that there have been earlier similar box models of estuarine circulation [17], but this paper utilizes the approach in [11], which slightly modifies the grid staggering and utilizes the efflux/reflux method.
The box model reinterpretation of TEF for a tracer C is defined in Figure 2 and as follows:
d C s i d V s d t = ( 1 a s i 1 ) q s i 1 C s i 1 Q s i C s i + a d i + 1 q d i + 1 C d i + q r i C r i v d C d i d V d d t = ( 1 a d i + 1 ) q d i + 1 C d i + 1 Q d i C d i + a s i 1 q s i 1 C s i
C is the general tracer concentration in either the shallow ( C s ) or deep ( C d ) layer at x-location i, d V is the volume per box in the shallow (s) or deep (d) layer, Q is the flow (defined in Equation (3) with units of m 3 s 1 ), q s and q d are the rate of volume transport, which are a fraction of the flows calculated using the Cokelet and Stewart efflux–reflux theory (defined in Equation (2), from [15], also with units of m 3 s 1 ) using a s and a d , which are fractions of the flow solved to ensure mass and volume conservation (defined in Equation (4) [15]), a q is a flow rate in which both the fraction ( a s or a d ) and the total possible flow rate ( q s or q d ) vary according the details given below, and C r i v is the concentration of the scalar from the river transported by the rate of freshwater volume transport (‘river flux’) q r i (units m 3 s 1 ). As written, the river can input concentration into the estuary at any x-location. For this study, we only implement the river flux at X = 0 km , so, at all other locations, q r i = 0 m 3 s 1 . The exchanges in Equation (1) are illustrated in Figure 2. The flows/fluxes are related by Cokelet and Stewart salt and volume conservation [11,15]. The Cokelet and Stewart method separates the vertical fluxes as efflux and reflux, where efflux is the flow upward from the deep layer to the shallow layer ( a d i + 1 q d i + 1 in Figure 2) and reflux is the flow downward from the shallow to the deep layer ( a s i 1 q s i 1 in Figure 2). The net transport from longitudinal and vertical mixing only (no river flow) sums to
Q s i = 1 a s i 1 q s i 1 + a d i + 1 q d i + 1 Q d i = 1 a d i + 1 q d i + 1 + a s i 1 q s i 1
where Q s i and Q d i combine the flow of the efflux or reflux, respectively, and the remaining longitudinal flow in each respective layer in Figure 2 [11]. Figure 3 shows the efflux/reflux method and how the flows in Equation (2) fit together. Note that the flows are located on the faces of the boxes, whereas the concentrations are at the center.
These flows depend on both the salinity distribution and the river flow. The flow divisions, with Q s being in the direction toward the ocean (shallow) and Q d being toward the river head (deep), are based on the Knudsen relation [13,14]:
Q s i = Q r S d i S d i S s i , Q d i = Q r S s i S d i S s i
where S i is salinity (distinct from the tracer studied, C i ) at location i either in the shallow (subscript s) or deep (subscript d) layer of the estuary and Q r is the cumulative river flow along x. The following flow ratios ( a s and a d ) determine how much of the flow in Equation (3) mixes vertically as determined by the Cokelet Stewart method:
a s i = S s i S d i S d i + 1 S d i S d i + 1 S s i , a d i = S d i S s i S s i S s i 1 S d i S s i 1
where S is the salinity either heading longitudinally in (deep, d) or longitudinally out (shallow, s) of the estuary at x-locations denoted in the superscripts [15]. Note that, to match the stencil in Figure 2, the superscripts would need to be incremented accordingly. The along-estuary salinity distribution is externally specified and defined by the Chatwin solution [16]. Equation (4) results in vertical exchanges that are roughly equal and opposite and approach zero near the ocean boundary (Figure 4). Approaching the upstream boundary, the upwards efflux approaches the upstream lower layer flux as is required by mass conservation, and the downwards reflux quickly approaches zero at the boundary.

2.2. Variation 1: Sinking Tracer Model

To investigate particle sinking, we added another flux in the base TEF model from the shallow layer to the deep layer, making the passive tracer now a sinking tracer. Thus, Equation (1) changes to the following:
d C s i d V s d t = ( 1 a s i 1 ) q s i 1 C s i 1 Q s i C s i + a d i + 1 q d i + 1 C d i + q r i C r i v Q s e t C s i d C d i d V d d t = ( 1 a d i + 1 ) q d i + 1 C d i + 1 Q d i C d i + a s i 1 q s i 1 C s i + Q s e t C s i
where Q s e t is the settling flow rate, C s i is the tracer concentration in the surface layer at x-location i, and C d i is the tracer concentration in the deep layer at x-location i. To numerically implement this in the box model, the sinking rate is applied to a surface area through which the tracer is settling. In other words,
Q s e t = w s A s
where A s is shallow surface area and w s is the sinking speed. The sinking terms are not denoted in Figure 2, but act to increase the downwards reflux (or counteract the upwards efflux). In the deep layer, we assume that all mass is retained in the water column, with no accumulation in the bed. This is equivalent to assuming that particles that reach the bed are immediately re-suspended. As a result, no sinking flux needs be specified out of the lower layer. At the upstream boundary, we do not allow settling from the most-upward estuary cell in the upper layer because such settling would add mass to an inactive cell in the lower layer due to the staggering of cells in the upper and lower layer (see Figure 2). Thus, there is no deposition, but this is consistent with the simplicity of the model.
We set the depth of each layer ( h s , h d ) to 20 m each, the spacing in x in the numerical model or the length of each box ( d x ) is 500 m, and the length of the estuary (L) is set to 50 km. The width (B) is the dimension into and out of the page in Figure 2 and does not vary longitudinally or vertically. Thus, the box volumes are defined as d V s = B h s d x in the shallow layer and d V d = B h d d x in the deep layer, giving n = 2 100 grid cells.
For the sinking tracer study we examined cases with a tracer input of 1 μ M (0.0645 gL 1 ) at the river ( C r i v = 1 μ M ) enforced with a Dirichlet boundary condition. A Dirichlet boundary condition is also applied at the ocean ( C o c n = 0), so this study only looks at the effects of a terrestrially sourced sinking tracer in the estuary. These parameters are summarized in Table 1.

2.3. Variation 2: The Peter–Parker Model

To study the ecological impact of ETMs, we implemented a Nutrient–Phytoplankton–Zooplankton–Detritus (NPZD) model into the base TEF box model, with settling only active for the detritus component of the model. We used the NPZD model from [12], which is a variation of the Nutrient-Phytoplankton-Zooplankton idealized models first developed by Peter Franks [18]. This particular model includes a detritus box and is tuned for the pacific northwest [12]. The NPZD model provides a basic ecosystem structure with nutrients being taken up by phytoplankton, which is, in turn, grazed by zooplankton. Detritus provides a mechanism for waste to return to the nutrient pool. The nutrient component of the model should be based on whatever nutrient is limiting to phytoplankton growth; in our implementation, we consider this to be nitrogen, reflective of the limiting factor in the Salish Sea [12,19]. Figure 5 summarizes the NPZD relationships written in Equation (7): nutrients are taken up by phytoplankton and allow for growth, phytoplankton excrete nutrients and become detritus due to reasons other than grazing, phytoplankton are consumed by zooplankton grazing, but a fraction of the phytoplankton are lost to detritus due to “messy eating” of the zooplankton, zooplankton become detritus, and the detritus sinks and remineralizes back to nutrients.
The equations for the dynamics shown in Figure 5 are as follows:
d N d t = μ i n s t ( E ( t , z ) , N ) P + ( 1 ϵ ) ( 1 f e g e s t ) I ( P ) Z + r D d P d t = μ i n s t ( E ( t , z ) , N ) P I ( P ) Z m P d Z d t = ϵ I ( P ) Z ξ Z 2 d D d t = ( 1 ϵ ) f e g e s t I ( P ) Z + m P + ξ Z 2 r D w s d D d z
where μ i n s t is the instantaneous phytoplankton growth rate, which depends on irradiance and nutrients, E is photosynthetically available radiation (irradiance) and is time and depth dependent, ϵ is zooplankton growth efficiency, f e g e s t is the fraction of losses egested of phytoplankton by zooplankton (“messy eating”), I is zooplankton ingestion/grazing of phytoplankton, r is remineralization rate of detritus to nutrients, m is non-grazing phytoplankton mortality, ξ is zooplankton mortality, and w s is detritus sinking rate [12]. The growth ( μ i n s t ) and grazing (I) rates are parameters that change in time based on available resources:
μ i n s t ( E , N ) = μ 0 N k s + N α E μ 0 2 + α 2 E 2
where μ 0 is maximum instantaneous growth rate, k s is half-saturation for nitrate uptake, and α is the initial slope of the growth-light curve. Further,
I ( P ) = I 0 P 2 K s 2 + P 2
where I 0 is maximum ingestion rate and K s is half-saturation for ingestion. Irradiance (E) is time-dependent to reflect the day/night light cycle:
E ( t ) = E 0 2 1 + c o s ( 2 π t )
E 0 is maximum light, and t is in days.
So, treating N, P, Z, and D as passive scalars, we put the Peter Model (NPZD, Equation (7)) into the Parker Model (TEF, Equation (1)) to form the Peter–Parker Model:
d ( N s i d V s ) d t = ( 1 a s i 1 ) q s i 1 N s i 1 Q s i N s i + a d i + 1 q d i + 1 N d i + q r i N r i v + d V s μ i n s t i ( E s , N s i ) P s i + ( 1 ϵ ) ( 1 f e g e s t ) I i ( P s i ) Z s i + r D s i d ( N d i d V d ) d t = ( 1 a d i + 1 ) q d i + 1 N d i + 1 Q d i N d i + a s i 1 q s i 1 N s i + d V d μ i n s t i ( E d i , N d i ) P d i + ( 1 ϵ ) ( 1 f e g e s t ) I i ( P d i ) Z d i + r D d i d ( P s i d V s ) d t = ( 1 a s i 1 ) q s i 1 P s i 1 Q s i P s i + a d i + 1 q d i + 1 P d i + d V s μ i n s t i ( E s , N s i ) P s i I i ( P s i ) Z s i m P s i d ( P d i d V d ) d t = ( 1 a d i + 1 ) q d i + 1 P d i + 1 Q d i P d i + a s i 1 q s i 1 P s i + d V d μ i n s t i ( E d i , N d i ) P d i I i ( P d i ) Z d i m P d i d ( Z s i d V s ) d t = ( 1 a s i 1 ) q s i 1 Z s i 1 Q s i Z s i + a d i + 1 q d i + 1 Z d i + d V s ϵ I i ( P s i ) Z s i ξ Z s i 2 d ( Z d i d V d ) d t = ( 1 a d i + 1 ) q d i + 1 Z d i + 1 Q d i Z d i + a s i 1 q s i 1 Z s i + d V d ϵ I i ( P d i ) Z d i ξ Z d i 2 d ( D s i d V s ) d t = ( 1 a s i 1 ) q s i 1 D s i 1 Q s i D s i + a d i + 1 q d i + 1 D d i Q s e t D s i + d V s ( 1 ϵ ) f e g e s t I i ( P s i ) Z s i + m P s i + ξ Z s i 2 r D s i d ( D d i d V d ) d t = ( 1 a d i + 1 ) q d i + 1 D d i + 1 Q d i D d i + a s i 1 q s i 1 D s i + Q s e t D s i + d V d ( 1 ϵ ) f e g e s t I i ( P d i ) Z d i + m P d i + ξ Z d i 2 r D d i
where all the parameters are the same as in Equations (1) and (7). The values we used for the parameters are summarized in Table 1.
The boundary conditions for the biological components of the Peter–Parker Model are as follows. First, the nutrients are only supplied in the river ( N r i v = 5 μ M N ) and the ocean nutrients boundary condition is 0. The tests all had initial phytoplankton and zooplankton concentrations of 0.01 μ M N throughout the estuary as a starting population and boundary condition. We assumed no river or ocean sourcing of phytoplankton, zooplankton, or detritus. The model is solved with an explicit forward Euler numerical method with Dirichlet boundary conditions on N, P, Z, and D. While this upwind scheme does introduce slight numerical diffusion, in this study, comparative data are more important than absolute accuracy. We ran the model to an approximate steady state before analysis, to be discussed below (200 days).
We allow the shallow layer detritus to sink to the deep layer; the sinking detritus progresses directly from the shallow concentration to the deep due to the same settling flux Q s e t as above (Equation (6)). We assume that detritus that reaches the bed is re-suspended (no net flux).
The light availability for the deep phytoplankton is limited based on the water above and the shading caused by the shallow population. This changes Equation (10) to the following:
E s ( t ) = E 0 2 1 + c o s ( 2 π t ) E d i ( t ) = E 0 2 1 + c o s ( 2 π t ) e a t t s w H s a t t p P s i ( t p ) H s
where E s is irradiance in the shallow layer, E d i is irradiance in the deep layer at location i, a t t s w is the light attenuation of seawater, a t t P is the light attenuation by phytoplankton, P s i ( t p ) is the phytoplankton location in the shallow layer at location i from the previous time step t p , and H s is the depth of the shallow layer.

3. Results: Effects of Sinking Speed on Tracer or Detritus Accumulation

We first present concentration results from a sinking tracer in the TEF box model (Equation (1)) without any biological considerations (Variation 1 above). We then present the effects of detritus sinking as it interacts with the ecosystem with results from the Peter–Parker Model (Variation 2 above).
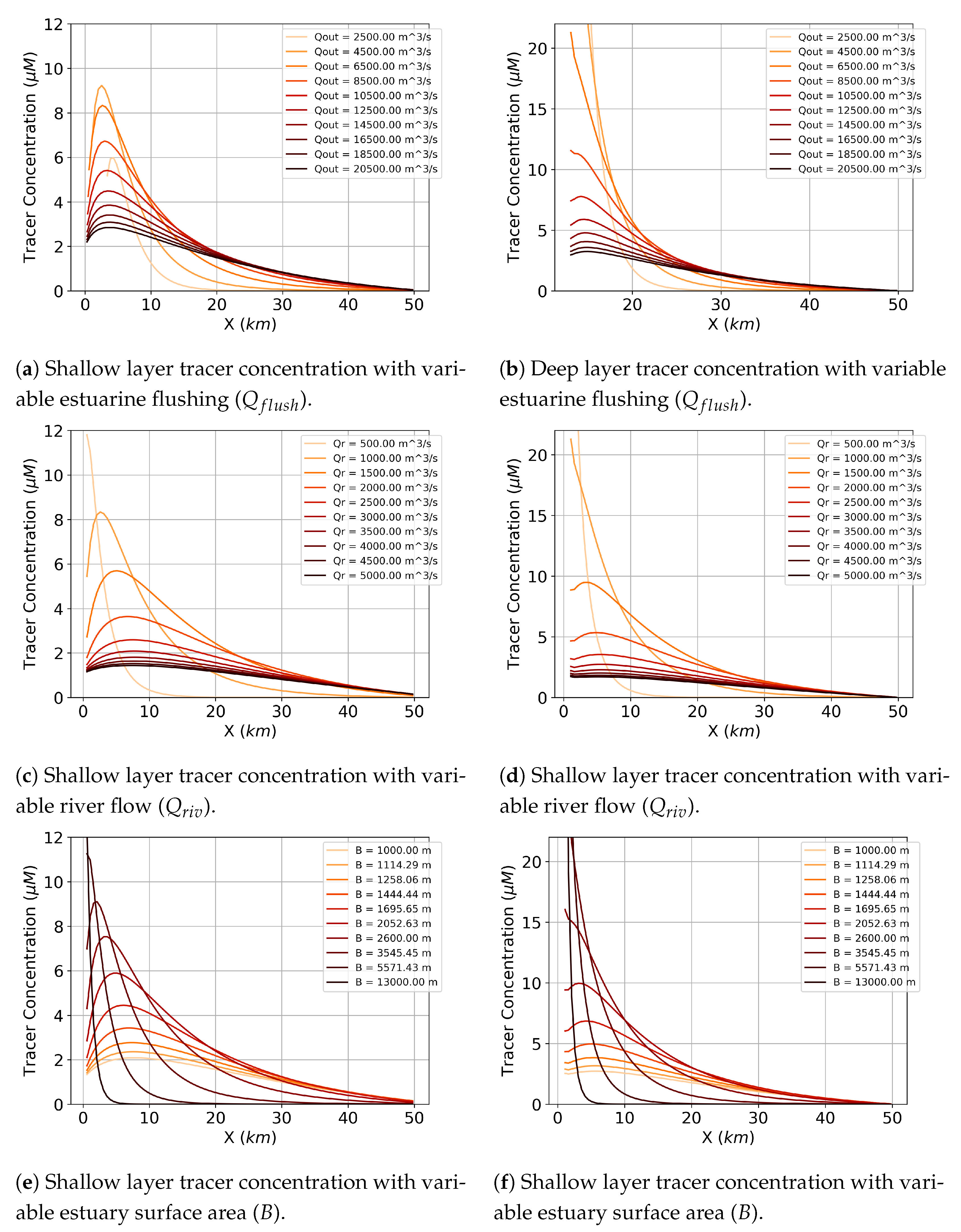
The tracer concentration profiles results for varying sinking while holding all other parameters constant (Figure 6) indicate that there is accumulation of the sinking tracer near the river ( X = 0 km ) in both the shallow and deep layer for certain sinking speeds. We define accumulation as when the concentration surpasses the river input value of 1 μ M. Without sinking, w s = 0 md 1 ; the tracer advects out or mixes down from its box and does not get above the river input concentration. Interestingly, the peak concentration increases with increased sinking rate to reach an inflection point at around 15 md 1 in both the shallow and the deep layer, after which the peak grows unbounded at X = 0 km (does not reach steady state within the 200 days of simulation time). In the deep layer, there is accumulation regardless of sinking speed, but the amount increases and becomes unbounded above the same sinking speed as the shallow layer. The deep layer always has a higher peak concentration than the shallow layer. Also, the locations of these peak concentrations shift toward the river with increasing sinking speed in both layers.
Why do sinking particles (Figure 6) lead to accumulation in the estuary? Following one particle starting in the shallow layer of the box model (Figure 2), as it sinks out of the shallow layer into the deep, it then is pushed back towards the river ( X = 0 km ). This happening to a group of particles leads to high concentration in the deep layer up-estuary ( X = 0 km ). Some of that accumulated concentration is moved back into the shallow layer via efflux. The balance between the sinking and efflux creates a type of vertical circular eddy motion, which maintains the tracer concentration at a higher value than the river input of 1 μ M in both the shallow and deep layer at X = 0 km . The peak also occurs near X = 0 km because that is where there is increased vertical mixing activity via efflux (Figure 4). When sinking passes a certain threshold of around 15 md 1 , the effects of the efflux are diminished in the shallow layer as the efflux is no longer sufficient to balance the sinking flux anywhere in the estuary and the system grows unbounded (does not reach steady state within the simulation time of 200 days).
For large settling velocities, the peak concentration is constrained spatially by the up-estuary boundary condition at X = 0 km and the mass conservation of the system: as tracer is not allowed to leave the system, it is pushed against X = 0 with higher sinking speeds, resulting in narrower peaks. For sinking speeds less than 15 md 1 , steady state is reached, and the peak appears downstream of the boundary. Note that 15 md 1 is quite low; marine snow can be 36 md 1 [20]. If we compare the sinking speed to a ratio of the sinking flux to the vertical mixing flux, Q s e t a d q d , where Q s e t is the sinking flux (defined in Equation (6)) and a d q d is the vertical flux (arrow pointing from deep to shallow in Figure 2), sinking speeds greater than 15 md 1 correspond to when the ratio of settling flux to vertical flux is greater than 0.5. Thus, this balance of sinking and vertical flux is determining when the system accumulates unboundedly: the sinking flux must be at most 50% of the vertical flux to reach steady state.
Peak concentrations move closer to the river ( X = 0 km ) because that is where the sinking tracer concentration is being sourced. So, the faster a particle sinks, the closer it will sink to its source because it is sinking faster than the estuarine flow, which otherwise would move it further from its source. This is further investigated with timescales in the following section.
When incorporating a biological model to evaluate sinking detritus, we also see this phenomenon with the peak detritus concentration in the estuary (Figure 7). Increasing detritus sinking speed leads to an increased detritus peak concentration that moves closer to the river end of the estuary ( X = 0 km ). Also, the detritus grows unbounded (does not reach steady state) with a sinking speed above w s = 40 md 1 .
Increasing the sinking rate ( w s ) of detritus from the shallow to the deep layer leads to an increase in phytoplankton (P) concentration in both the shallow and deep layer (Figure 8a,b) for all sinking speeds. P concentration reaches a maximum in both the shallow and deep layer at around X = 8 km and the location of this peak does not significantly change with increasing sinking speed, contrary to the peak detritus concentration. Nutrient concentration follows a similar pattern: increasing detritus sinking speed leads to increased nutrient concentrations with peaks that do not move with increased sinking speed. Peak nutrient concentration occurs between 0 and 5 km.
Increased detritus influences phytoplankton and nutrient peak concentration because more detritus accumulating in one spot of the estuary leads to more nutrients available to the phytoplankton via remineralization. As long as the location of the nutrients does not change, which is the case with increasing detritus sinking speed and constant remineralization rate (Figure 8c,d), the location of the phytoplankton will not change. Increasing nutrient concentration does not change the rate of nutrient uptake by the phytoplankton and, thus, does not change the location of the peak. But their peaks themselves increase with the increase in detritus/nutrient supply.
As demonstrated above, the passive tracer accumulates indefinitely for sinking speeds greater than 15 md 1 due to the balance of the sinking and vertical mixing flux. With biology, however, there are additional fluxes keeping the concentration from growing indefinitely (growth, grazing, remineralization, etc.). Thus, detritus and nutrients grow unboundedly for sinking speeds greater than 40 md 1 in the deep layer, but phytoplankton does not grow unboundedly regardless of sinking speed. This is because there is a carrying capacity represented in the Michaelis–Menten phytoplankton growth expression (Equation (8)), which restricts unlimited phytoplankton growth even with unlimited nutrients N k s + N , where k s is half-saturation N uptake by P. We explore the interplay of these physical–biological interactions in the following timescales section.
Interestingly, the peak detritus location moves closer to the river with higher detritus sinking speeds even though we only source nutrients in the river, not detritus. Phytoplankton will follow nutrients due to its nutrient-dependent growth rate, and zooplankton will then follow the phytoplankton. Detritus concentration is high where concentrations of phytoplankton and zooplankton are high. Where the detritus is formed via biological processes is then the source of the sinking tracer, as in Figure 6, and, as occurs with the sinking tracer, the interaction of the detritus sinking and exchange flow leads to accumulation. Figure 9 shows the biological contribution to d D d t , which includes sources from zooplankton “messy eating”, phytoplankton and zooplankton mortality, and sinks from remineralization (Equations (7) and (11)). This demonstrates that the source for the detritus is shifted 8–15 km downstream of the river mouth and distributed over a broader reach of the estuary, as compared to the river-sourced sinking tracer considered in the previous section. Regardless, the peak detritus is positioned based on a balance between efflux and sinking, which occurs near X = 0 km , especially for larger sinking speeds. This results in a location for the peak detritus concentration that moves upstream as sinking increases. This is further explored with the timescale analysis in the following section.

4. Discussion: Timescale Analysis

To understand the processes that lead to the different concentration states, we perform a timescales analysis similar to those reviewed in [21]. For this discussion, we focus on the cases that reach steady state.

4.1. Timescales Definitions

We introduce the following timescales that are used in the analysis of the sinking tracer and sinking detritus in the estuary. The timescales are detailed below and summarized in Table 2. We use the timescales to directly compare the processes that contribute to the sinking tracer and detritus concentration. A faster timescale means that a process is the fastest to occur and is dominant in determining the ETM.
We first introduce a sinking timescale based on the time it takes for the concentration to sink from the shallow to the deep layer:
τ s i n k = h s w s
where h s is the depth of the shallow layer and w s is the sinking speed. Next are timescales for the vertical mixing, or the time for concentration to efflux up to the shallow from the deep layer ( τ e f f ) and the time for concentration to reflux down from the shallow layer to the deep ( τ r e f ). These timescales are calculated at each box and, thus, are determined at location i:
τ e f f i = d V s Q e f f n e t = d V s | q s i 1 a s i 1 + q d i + 1 a d i + 1 | τ r e f i = d V d Q r e f n e t = d V d | q s i 1 a s i 1 q d i + 1 a d i + 1 |
where Q e f f n e t is the net flow from the deep to the shallow layer, Q r e f n e t is the net flow from the shallow to the deep layer, and the remaining variables are defined as in Equations (2) and (4). There are also timescales for the flow of the estuary, or the time for the concentration to flow out towards the ocean ( τ o u t ) and the time for the concentration to flow in towards the river ( τ i n ) at location i. We calculated these timescales using the volume of each box over the flow at those boxes:
τ o u t i = d V s Q s i τ i n i = d V d Q d i
where the variables are as defined in Equation (3). Lastly, we introduce an estuarine dispersion timescale ( τ d i s p ), or the time for the concentration peak to be reduced by longitudinal and vertical mixing alone at location i. We start with a definition for the timescale [22]:
τ d i s p i = L 2 c d i s p K d i s p i
where L is the length of the estuary, K d i s p is the estuarine dispersion coefficient, and c d i s p is a dispersion multiplication factor, which usually ranges from 30 to 120 [22,23]. For this study, we set c d i s p = 1 to focus on some direct comparisons of processes in the system. We solve for K d i s p using the following equations:
K d i s p = u 2 H 2 K z u = Δ Q x B H Q i n n e t + Q o u t n e t B H K z = Q z H B L Q e f f + Q r e f H B L K d i s p = Q i n n e t + Q o u t n e t 2 Q e f f + Q r e f L B H K d i s p i = ( 1 a s i 1 ) q s i 1 + ( 1 a d i + 1 ) q d i + 1 2 a s i 1 q s i 1 + a d i + 1 q d i + 1 L B H
where u is the velocity in the estuary in the x-direction, H is the total depth of the estuary, Δ Q x is the difference in horizontal flow, Q i n n e t is the net flow moving into the estuary (the fraction not being effluxed up in Figure 3), Q o u t n e t is the net flow moving out of the estuary (the fraction not refluxed down in Figure 3), K z is vertical eddy diffusivity, Q z is all vertical flow, Q e f f is the flow moving upwards (the fraction effluxed up in Figure 3), and Q r e f is the flow moving downwards (the fraction refluxed down in Figure 3). Then we plug the K d i s p equation into Equation (16):
τ d i s p i = V a s i 1 q s i 1 + a d i + 1 q d i + 1 c d i s p ( 1 a s i 1 ) q s i 1 + ( 1 a d i + 1 ) q d i + 1 2
where V is the total volume of the estuary ( V = B H L ) and a and q are defined as in Equations (2)–(4).
For the detritus analysis, we take biological timescales from the Peter–Parker Model that relate to detritus only (D equations in Equation (7) [12]) in addition to the same timescales as above. We start with the messy eating timescale, or the time it takes for bits of phytoplankton missed by zooplankton to become detritus:
τ m e s s y , ( s , d ) i = 1 ( 1 ϵ ) f e g e s t I s , d i
where the variables are as defined in Equation (9). The time for phytoplankton to die from causes other than grazing (mortality timescale) is
τ P m o r t = 1 m
Similarly, the time for zooplankton to die from higher predation or other mortality is
τ Z m o r t , ( s , d ) = Z s , d i ξ
This timescale depends on the current concentration of zooplankton to accommodate the units of ξ . Lastly, the remineralization timescale or the time for detritus to turn into nutrients is
τ r e m i n = 1 r

4.2. Sinking Tracer Timescales

Looking at the timescales while changing the sinking speed of the tracer only (Figure 10), the fastest (smallest-value) timescale is the longitudinal exchange in the shallow layer when w s ≈ 7–30 md 1 . In the deep layer, the longitudinal exchange timescale is the fastest timescale up to w s = 15 md 1 , after which it abruptly increases. This means that the dominant process leading to the concentration profile at these sinking speeds is longitudinal exchange. In the shallow layer, the sinking timescale becomes faster with increasing sinking speed but is always the second fastest timescale. In the deep layer, the sinking timescale approaches the reflux timescale when w s > 15 md 1 , which also corresponds to when the system no longer reaches a steady state. Thus, the balance between vertical mixing, advection, and settling is critical in determining when the model reaches a steady state. In the shallow layer, the vertical mixing timescale decreases with increasing sinking speed and becomes closer in value to the sinking and longitudinal exchange timescales, so vertical mixing becomes more important with increasing sinking speed. The dispersion timescale increases with increasing sinking speed, reflecting a reduction in the contribution of longitudinal dispersion that results in the more “peaky” concentration distributions in Figure 6.

4.3. Sinking Detritus Timescales

In the shallow layer, Z mortality and longitudinal exchange are the fastest timescales for detritus sinking speeds less than 40 md 1 (Figure 11a). The sinking timescale decreases with increasing sinking speed, however, and therefore increases with influence on the detritus concentration. This highlights the interplay of sinking speed and the D concentration. A smaller sinking speed corresponds to a larger sinking timescale, which means that there is more time for the peak concentrations to spread out and results in a larger dispersion timescale. In the deep layer (Figure 11b), Z mortality and advection timescales are the fastest until w s 25 md 1 , after which sinking and vertical mixing are the fastest timescales. Above w s = 25 md 1 , physical processes are the most significant for detritus concentration in the deep layer. Conversely, biological processes in the shallow layer play an important role in detritus formation for all sinking speeds shown.

4.4. Sinking Tracer vs. Sinking Detritus

Several differences occur between the accumulation of sinking tracers or detritus, as discussed in the previous section. For one, the lack of a settling velocity ( w s = 0 md 1 ) does not mean that there is no detritus accumulation (Figure 7) like it does for the non-biological sinking tracer (Figure 6) because there are other sources that can lead to detritus accumulation other than just sinking (P mortality, messy eating, etc.). Also, detritus accumulates and reaches a steady state up to a sinking speed of 40 md 1 , whereas the sinking speed of the sinking tracer accumulates unboundedly for sinking speeds greater than w s = 15 md 1 . This shows that sinking detritus has a larger range of sinking speeds, which accumulate in the estuary before growing unboundedly, than a sinking tracer due to how detritus interacts in an ecosystem in addition to sinking via zooplankton/phytoplankton sources or nutrient remineralization losses (Equation (7)).
In addition, the peak locations of tracer and detritus accumulations differ with the same sinking speed (Figure 12). In this example, the sinking tracer peak location is closer to the river end of the estuary ( X = 0 km ) than the peak detritus (for w s = 8 md 1 ). If settling velocity were to be increased (or decreased), the peaks would shift up-estuary (down-estuary) due to the vertical cycling between the two layers and the required balance between efflux and settling for the peak to establish. In all cases, however, the detritus peak is shifted down-estuary due to the fact that its source is distributed along the upper layer through phytoplankton and zooplankton populations (Figure 9). The longitudinal shift in peak concentration (shown in Figure 12) introduces a new timescale that describes the characteristic ecosystem cycling time, as the system converts nutrients to phytoplankton to zooplankton and then into the detritus pool (acknowledging that some detritus is also formed directly from the phytoplankton). From the perspective of a water parcel that enters at the river, these ecological processes can be thought of as a time-lag in the creation of detritus.
We further quantify the difference in these peak locations with the following timescale:
τ d i f f = ( X D m a x X C m a x ) B L Q f l u s h
where τ d i f f is the lag timescale, which leads to the difference between the peak locations at the same sinking speed, X D m a x is the X location of the peak D (detritus) concentration, and X C m a x is the X location of the peak C (tracer) concentration. τ d i f f can be interpreted as a characteristic cycling time for the ecosystem.
We see in Figure 13 that, in the shallow layer, this timescale is clustered around 1.2 days, but then decreases as the settling velocity increases beyond the steady-state transition. For these larger settling velocities, the peak concentration of both detritus and sinking tracer is constrained by the boundary at X = 0 km and, thus, this transport timescale is no longer relevant. For the cases with a steady-state and well-defined peak in detritus (settling velocity less than about 30 md 1 ), it is clear that the ecosystem cycles from nutrients through phytoplankton and zooplankton into detritus with a characteristic timescale of a little over 1 day. At the same time, large settling velocities are able to reduce the longitudinal difference in the location of the peak (between detritus and non-biological setting tracers) due to the tight cycling between the upper and lower layers at the upstream end of the estuary (Figure 4).

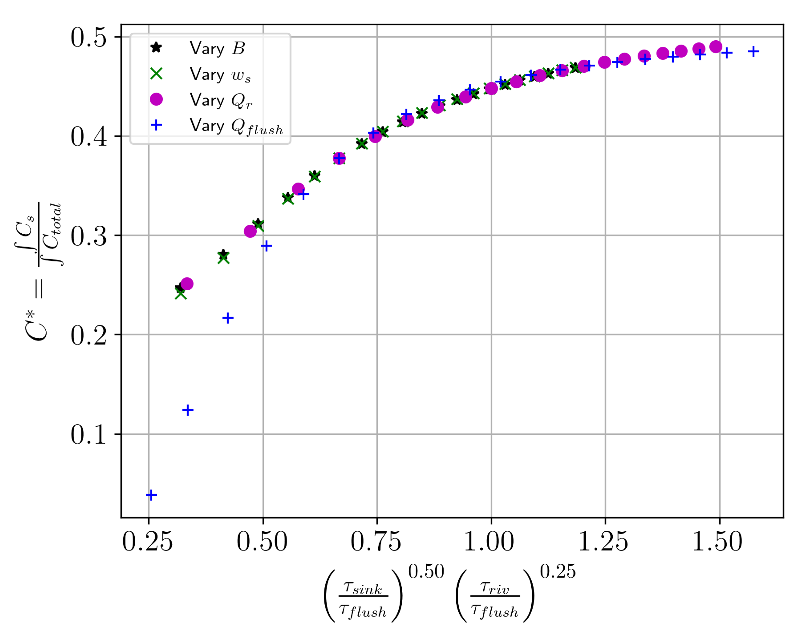
5. Summarizing the Behavior with a Dimensionless Group

Through some further evaluations of varying sinking speed ( w s ), estuarine flushing rate ( Q f l u s h ), estuary width (B), and river flow rate ( Q r ), we found that increasing sinking speed and width and decreasing flushing rate and river flow lead to increased ETM magnitude, but only up to certain values of each parameter before the system does not reach a steady state (see Appendix A for additional details). Through dimensional analysis, we obtained the following dimensionless group:
w s B L Q r 0.50 Q f l u s h Q r 0.75 = τ s i n k τ f l u s h 0.5 τ r i v τ f l u s h 0.25
using general timescales τ r i v = V Q r , τ s i n k = h w s , and τ f l u s h = V Q f l u s h , where V = B L h is total estuary volume and h is depth. We validated this group by using the estuary length (L) as a constant parameter and dimensionless concentration C = C s C t o t a l , which represents the integrated shallow layer concentration normalized to the total integrated concentration (shallow+deep) (Figure 14). C focuses on the strength of the concentration peak in the estuary while taking away the x-dependence of the ETMs. The dimensionless concentration C increases as the shallow and total integrated concentrations approach each other. Thus, C alone does not tell us the location of the peak concentration, but allows us to compare the state of concentration in the estuary. We performed this dimensionless analysis on both the sinking tracer and sinking detritus studies and found the outcomes to be similar, so we present the results from the tracer study only here to reduce redundancies.
Figure 14 shows that varying Q f l u s h , B, Q r , or w s will result in the same state in the estuary, C . This dimensionless group connects three timescales, which represent three fluxes in the system: the estuarine flux, the sinking flux, and the river flux. The ratio of sinking to exchange flow and the ratio of river flow to exchange flow are the two drivers of the system, with the former having a stronger exponential dependence than the latter. As such, increasing flushing has a similar effect as reducing sinking and increasing flushing has a similar effect to reducing river flow. These relationships are not one to one, so increasing flushing has a stronger effect than decreasing river flow or sinking. Flushing has this extra complexity because of how the flow is defined (Equation (3)): the in- and outflow ( Q s and Q d ) depend on a fraction of the river flow that varies with the salinity difference taken at different locations in the estuary. Thus, unlike estuary width, sinking speed, and river flow, this parameter varies in space and cannot be combined with the others as cleanly.
This parameter informs the relative importance of particle sinking, estuary surface area, estuary flow, and river flow for accumulation of scalars in an estuary. As discussed above, particle sinking influences accumulation because of the interplay of sinking and vertical mixing. Varying estuarine flushing ( Q f l u s h ) rate also leads to accumulation because, when the overall advection scheme is slower, the effects of the sinking tracers are more pronounced. In other words, if the estuary is flushing slower, the sinking tracer has more time to accumulate in the bottom layer. Thus, it is able to efflux back upwards with more ease and present more accumulation in both the shallow and deep layers. Accumulation occurs with varying estuarine surface area (B) due to similar logic as with reduced flushing rate; when the river flow is held constant but the estuary is larger, the effects of the river on the longitudinal exchange in the estuary are reduced. Thus, the sinking tracer has more time to accumulate in both layers. Lastly, accumulation occurs with decreased river flow ( Q r ) for the same reason as altering estuary size and flushing; when the river is faster, the tracer has less time to settle and accumulate.

6. Conclusions

We would like to highlight several key findings from this work that establish the differences between ETM dynamics when considering a sinking tracer versus sinking detritus in an estuary. In both cases, the concentration of sinking tracer or detritus accumulates in an estuary because the sinking of the tracer is in balance with the vertical mixing (efflux) of the system at some location along the estuary. The peak concentration of a river-sourced sinking tracer moves towards the river with increased sinking speed because it comes into balance with the efflux further upstream and creates a narrower vertical recirculation. The peak concentration of sinking detritus in a system where nutrients are sourced in the river moves towards the river with increased sinking speed as well, but the peak is displaced down-estuary. This shift in the position of the ETM is a result of the biological processes that govern the creation of detritus, which is tied to the peaks of phytoplankton and zooplankton. This shift in the peak is created by a temporal lag for nutrients to turn into detritus in the biological model. As nutrients are taken up by phytoplankton, which are, in turn, consumed by zooplankton, down-estuary transport in the surface layer means that the source of detritus (whether from messy eating or mortality) is shifted downstream from the river by a distance related to the surface-layer advection and the characteristic cycling timescale of the ecosystem.
Accumulation increases until a distinct sinking speed for both sinking tracer and detritus, after which the peak does not reach a steady state. The sinking speed after which this happens is smaller for sinking tracer than detritus. The peak accumulates unboundedly after the ratio of the sinking flux to the vertical flux surpasses 0.5 due to the retention of mass at the upstream boundary and the rapid recycling of a sinking tracer between the lower and upper layers (a balance between efflux and settling). It is interesting to note that the other components of the ecological model (e.g., phytoplankton) maintain a steady state at the same sinking speed due to the other ecological controls on each component (e.g., grazing by zooplankton).
We break apart the contributions of the processes in our model by analyzing timescales. The fastest timescale indicates the process that is most influential on the concentration profiles. Longitudinal mixing is the shortest timescale for the sinking tracer in the shallow layer. In the deep layer, the shortest timescale switches from longitudinal exchange to vertical mixing and sinking at the same point at which the system switches from steady state to unbounded. With detritus, zooplankton mortality and longitudinal mixing are the fastest timescales in the shallow layer. In the deep layer, zooplankton mortality is also the fastest timescale up to a certain sinking speed and the physical timescales follow similar dynamics as the sinking tracer; this indicates that adding biology to the system influences the processes that determine the concentration in the shallow layer.
The peak concentration occurs at a different location in the estuary at the same sinking speed because of the time lag of biological processes. This time lag is about 1 day for steady-state cases, but it devolves for cases which grow unboundedly because they all peak up-estuary at X = 0 km , where vertical mixing activity is the strongest.
Lastly, sinking tracer concentration depends on four different variables, which were summarized in a single nondimensional parameter (Section 5). This parameter allows us to directly compare the impacts of the individual attributes of the estuary on ETMs. For instance, given an estuary of a certain size and river flow rate, we can determine how fast a particle needs to sink to accumulate.

Author Contributions

Conceptualization, L.E. and M.S.; methodology, L.E. and M.S.; software, L.E.; validation, L.E.; formal analysis, L.E. and M.S.; investigation, L.E. and M.S.; resources, L.E.; data curation, L.E.; writing—original draft preparation, L.E.; writing—review and editing, M.S.; visualization, L.E.; supervision, M.S.; project administration, M.S.; funding acquisition, L.E. and M.S. All authors have read and agreed to the published version of the manuscript.

Funding

L.E. and M.S. would like to acknowledge National Science Foundation Graduate Research Fellowship Program (NSF-GRFP) for funding this work under grant DGE2146752.

Data Availability Statement

Data can be reproduced using modeling scripts at the following GitHub repository: lmengel422/The-Peter–Parker-Model, DOI: 10.5281/zenodo.12169937.

Acknowledgments

L.E. named the Peter–Parker Model after two great mentors during her PhD, Peter J.S. Franks and Parker MacCready. They were instrumental for inspiration, assistance with model setup, and overall advice; she offers huge thanks to them both. Thanks also to Albert Ruhi and Evan Variano for editorial suggestions to a previous version of this manuscript and to the anonymous reviewers whose suggestions greatly improved this text.

Conflicts of Interest

The authors declare no conflicts of interest.

Abbreviations

The following abbreviations are used in this manuscript:
ETMEstuarine Turbidity Maximum
NPZDNutrient–Phytoplankton–Zooplankton–Detritus
SPMSuspended Particulate Matter
TEFTotal Exchange Flow

Appendix A

Appendix A.1. Varying Flushing, River Flow, and Estuary Surface Area

Figure A1. Sinking tracer concentration profiles when varying one parameter but holding all others constant. Results from this used to develop the dimensionless group in Section 5.
Figure A1. Sinking tracer concentration profiles when varying one parameter but holding all others constant. Results from this used to develop the dimensionless group in Section 5.
Water 16 02084 g0a1

Appendix A.2. Development of Dimensionless Group

The results above show that certain sinking speeds, estuarine flushing rate, estuary size (width), and river flow lead to distinct sinking tracer concentrations. We obtain the same concentration profile by varying different parameters of the model and holding others constant. (Specifically, the concentration profiles when altering sinking and B are identical, even though we altered different parameters.) This suggests that there is a relationship among the parameters. We set out to find this relationship by developing a dimensionless group. We know that the model should be able to be described by a finite number of dimensionless groups, based on the way it is formulated.
Thus, using the Buckingham Pi theorem, we define the following dimensionless groups from Equation (1):
d i m 1 = B L , d i m 2 = Q f l u s h Q r , d i m 3 = w s L 2 Q r
We define these dimensionless groups so that no more than two parameters are varying at a time. We next combine these dimensionless groups into one parameter. This parameter informs the relative importance of tracer sinking, estuary surface area, estuary flow, and river flow on accumulation intensity in an estuary. We present the non-dimensional concentration, which we call C . C focuses on the strength of the concentration peak in the estuary while taking away the x-dependence of the ETMs. Thus, it summarizes the state of the estuary in a way that can be easily compared across multiple cases. For C , we use the relationship of the integral of shallow layer concentration to the total concentration, C = C s C t o t a l . For C , we non-dimensionalize the concentration of the shallow layer as our metric to compare the different cases, but the results hold for the shallow and the deep layer.
We hypothesize that C is determined by a function that is a product of these dimensionless groups, C = i = 1 3 d i m i a i . We performed a linear regression on the log of this equation to determine the values of the coefficients ( a i ) and obtained
C d i m 1 0.50 d i m 2 0.75 d i m 3 0.50 = w s B L Q r 0.50 Q f l u s h Q r 0.75
Since d i m 1 and d i m 3 had the same coefficient, this suggests that they collapse into their own group.

References

  1. Hansen, D.V.; Rattray, M., Jr. Gravitational Circulation in Straits and Estuaries; Technical Report; Department of Oceanography, University of Washington: Seattle, WA, USA, 1966. [Google Scholar]
  2. Geyer, W.R.; MacCready, P. The Estuarine Circulation. Annu. Rev. Fluid Mech. 2014, 46, 175–197. [Google Scholar] [CrossRef]
  3. Burchard, H.; Schuttelaars, H.M.; Ralston, D.K. Sediment Trapping in Estuaries. Annu. Rev. Mar. Sci. 2018, 10, 371–395. [Google Scholar] [CrossRef] [PubMed]
  4. Festa, J.F.; Hansen, D.V. Turbidity maxima in partially mixed estuaries: A two-dimensional numerical model. Estuar. Coast. Mar. Sci. 1978, 7, 347–359. [Google Scholar] [CrossRef]
  5. Allen, G.P.; Salomon, J.C.; Bassoullet, P.; Du Penhoat, Y.; de Grandpré, C. Effects of tides on mixing and suspended sediment transport in macrotidal estuaries. Sediment. Geol. 1980, 26, 69–90. [Google Scholar] [CrossRef]
  6. Sanford, L.P.; Suttles, S.E.; Halka, J.P. Reconsidering the physics of the Chesapeake Bay estuarine turbidity maximum. Estuaries 2001, 24, 655–669. [Google Scholar] [CrossRef]
  7. Burchard, H.; Baumert, H. The formation of estuarine turbidity maxima due to density effects in the salt wedge. A hydrodynamic process study. J. Phys. Oceanogr. 1998, 28, 309–321. [Google Scholar] [CrossRef]
  8. Emmett, R.; Llansó, R.; Newton, J.; Thom, R.; Hornberger, M.; Morgan, C.; Levings, C.; Copping, A.; Fishman, P. Geographic signatures of North American West Coast estuaries. Estuaries 2012, 23, 765–792. [Google Scholar] [CrossRef]
  9. Babson, A.L.; Kawase, M.; MacCready, P. Seasonal and Interannual Variability in the Circulation of Puget Sound, Washington: A Box Model Study. Atmos.-Ocean. 2003, 44, 29–45. [Google Scholar] [CrossRef]
  10. Feely, R.A.; Alin, S.R.; Newton, J.; Sabine, C.L.; Warner, M.; Devol, A.; Krembs, C.; Maloy, C. The combined effects of ocean acidification, mixing, and respiration on pH and carbonate saturation in an urbanized estuary. Estuar. Coast. Shelf Sci. 2010, 88, 442–449. [Google Scholar] [CrossRef]
  11. MacCready, P.; McCabe, R.M.; Siedlecki, S.A.; Lorenz, M.; Giddings, S.N.; Bos, J.; Albertson, S.; Banas, N.S.; Garnier, S. Estuarine Circulation, Mixing, and Residence Times in the Salish Sea. J. Geophys. Res. Ocean. 2021, 126, e2020JC016738. [Google Scholar] [CrossRef]
  12. Banas, N.S.; Lessard, E.J.; Kudela, R.M.; MacCready, P.; Peterson, T.D.; Hickey, B.M.; Frame, E. Planktonic growth and grazing in the Columbia River plume region: A biophysical model study. J. Geophys. Res.-Ocean. 2009, 114, C00B13. [Google Scholar] [CrossRef]
  13. MacCready, P. Calculating Estuarine Exchange Flow Using Isohaline Coordinates. J. Phys. Oceanogr. 2011, 41, 1116–1124. [Google Scholar] [CrossRef]
  14. Burchard, H.; Bolding, K.; Feistel, R.; Graewe, U.; Klingbeil, K.; MacCready, P.; Mohrholz, V.; Umlauf, L.; van der Lee, E.M. The Knudsen theorem and the Total Exchange Flow analysis framework applied to the Baltic Sea. Prog. Oceanogr. 2018, 165, 268–286. [Google Scholar] [CrossRef]
  15. Cokelet, E.D.; Stewart, R.J. The Exchange of Water in Fjords - the Efflux/reflux Theory of Advective Reaches Separated by Mixing Zones. J. Geophys. Res.-Ocean. 1985, 90, 7287–7306. [Google Scholar] [CrossRef]
  16. Chatwin, P.C. Some remarks on the maintenance of the salinity distribution in estuaries. Estuar. Coast. Mar. Sci. 1976, 4, 555–566. [Google Scholar] [CrossRef]
  17. Officer, C.B. Box Models Revisited. In Estuarine and Wetland Processes: With Emphasis on Modeling; Hamilton, P., Macdonald, K.B., Eds.; Springer: Boston, MA, USA, 1980; pp. 65–114. [Google Scholar] [CrossRef]
  18. Franks, P.; Wroblewski, J.S.; Flierl, G.R. Behavior of a Simple Plankton Model with Food-Level Acclimation by Herbivores. Mar. Biol. 1986, 91, 121–129. [Google Scholar] [CrossRef]
  19. Davis, K.A.; Banas, N.S.; Giddings, S.N.; Siedlecki, S.A.; MacCready, P.; Lessard, E.J.; Kudela, R.M.; Hickey, B.M. Estuary-enhanced upwelling of marine nutrients fuels coastal productivity in the U.S. Pacific Northwest. J. Geophys. Res. Ocean. 2014, 119, 8778–8799. [Google Scholar] [CrossRef]
  20. Asper, V.L. Measuring the flux and sinking speed of marine snow aggregates. Deep. Sea Res. Part A Oceanogr. Res. Pap. 1987, 34, 1–17. [Google Scholar] [CrossRef]
  21. Lucas, L.V.; Deleersnijder, E. Timescale Methods for Simplifying, Understanding and Modeling Biophysical and Water Quality Processes in Coastal Aquatic Ecosystems: A Review. Water 2020, 12, 2717. [Google Scholar] [CrossRef]
  22. Fischer, H.B. Mixing and Dispersion in Estuaries. Annu. Rev. Fluid Mech. 1976, 8, 107–133. [Google Scholar] [CrossRef]
  23. Taylor, G.I. Dispersion of soluble matter in solvent flowing slowly through a tube. Proc. R. Soc. London. Ser. A Math. Phys. Sci. 1953, 219, 186–203. [Google Scholar]
Figure 1. Schematic of longitudinal exchange. Q r is the river flow, Q i n is the flow into the estuary, and Q o u t is the cumulative outflow consisting of the inflow and the river flow. Replicated with slight modifications from [2].
Figure 1. Schematic of longitudinal exchange. Q r is the river flow, Q i n is the flow into the estuary, and Q o u t is the cumulative outflow consisting of the inflow and the river flow. Replicated with slight modifications from [2].
Water 16 02084 g001
Figure 2. Simplification taken for the box model experiment, showing only three x-locations and vertical separation denoted by the dashed gray line. Reproduced with modification from [11]. For explanation, see Equation (1).
Figure 2. Simplification taken for the box model experiment, showing only three x-locations and vertical separation denoted by the dashed gray line. Reproduced with modification from [11]. For explanation, see Equation (1).
Water 16 02084 g002
Figure 3. Flows and the efflux/reflux method used in the TEF box model (Figure 2) recreated with modification from [11]. For explanation, see Equation (2).
Figure 3. Flows and the efflux/reflux method used in the TEF box model (Figure 2) recreated with modification from [11]. For explanation, see Equation (2).
Water 16 02084 g003
Figure 4. Efflux (up)/reflux (down) fractions throughout the estuary for the test cases presented in this study. For explanation, see Equation (4).
Figure 4. Efflux (up)/reflux (down) fractions throughout the estuary for the test cases presented in this study. For explanation, see Equation (4).
Water 16 02084 g004
Figure 5. Nitrogen flow diagram to phytoplankton, zooplankton, and detritus (NPZD) summarized in Equation (7). Recreated with slight modification from [12].
Figure 5. Nitrogen flow diagram to phytoplankton, zooplankton, and detritus (NPZD) summarized in Equation (7). Recreated with slight modification from [12].
Water 16 02084 g005
Figure 6. Concentration of tracer distributed along the estuary after 200 days with varying sinking rates ( w s ). The lines of a lighter shade correspond to concentrations obtained with lower detritus sinking speeds. This shade increases in darkness with increasing detritus sinking speed.
Figure 6. Concentration of tracer distributed along the estuary after 200 days with varying sinking rates ( w s ). The lines of a lighter shade correspond to concentrations obtained with lower detritus sinking speeds. This shade increases in darkness with increasing detritus sinking speed.
Water 16 02084 g006
Figure 7. Varying detritus sinking speed effects on detritus concentration profiles after 200 days of simulation time. X = 0 km marks where the river enters the estuary and X = 50 km marks the ocean. An increasing value of each sinking speed is denoted with a darker shade of orange line. The left-hand panel is for the shallow layer; the right-hand panel is for the deep layer.
Figure 7. Varying detritus sinking speed effects on detritus concentration profiles after 200 days of simulation time. X = 0 km marks where the river enters the estuary and X = 50 km marks the ocean. An increasing value of each sinking speed is denoted with a darker shade of orange line. The left-hand panel is for the shallow layer; the right-hand panel is for the deep layer.
Water 16 02084 g007
Figure 8. Varying detritus sinking speed effects on phytoplankton (a,b) and nutrient (c,d) concentration profiles after 200 days of simulation time. X = 0 km marks where the river enters the estuary and X = 50 km marks the ocean. Increasing value of each parameter denoted with a darker shade of orange line. The left-hand panel is for the shallow layer; the right-hand panel is for the deep layer.
Figure 8. Varying detritus sinking speed effects on phytoplankton (a,b) and nutrient (c,d) concentration profiles after 200 days of simulation time. X = 0 km marks where the river enters the estuary and X = 50 km marks the ocean. Increasing value of each parameter denoted with a darker shade of orange line. The left-hand panel is for the shallow layer; the right-hand panel is for the deep layer.
Water 16 02084 g008
Figure 9. Distribution of the biological contributions to d D d t in the shallow layer for a variety of sinking speeds. Biological contributions include sources from zooplankton “messy eating”, phytoplankton and zooplankton mortality, and sinks from remineralization—see Equations (7) and (11).
Figure 9. Distribution of the biological contributions to d D d t in the shallow layer for a variety of sinking speeds. Biological contributions include sources from zooplankton “messy eating”, phytoplankton and zooplankton mortality, and sinks from remineralization—see Equations (7) and (11).
Water 16 02084 g009
Figure 10. Timescales (d) for each case shown in Figure 6 taken at the location of the peak concentration. Black stars represent sinking timescales, purple dots are vertical mixing timescales, blue pluses are longitudinal exchange (advection) timescales, and green crosses are dispersion timescales. We intentionally truncated the y-axis at 5 days, to focus on the interactions of the fastest timescales and the x-axis at 25 md 1 to focus on the cases which reach steady state. Timescales defined as in Table 2.
Figure 10. Timescales (d) for each case shown in Figure 6 taken at the location of the peak concentration. Black stars represent sinking timescales, purple dots are vertical mixing timescales, blue pluses are longitudinal exchange (advection) timescales, and green crosses are dispersion timescales. We intentionally truncated the y-axis at 5 days, to focus on the interactions of the fastest timescales and the x-axis at 25 md 1 to focus on the cases which reach steady state. Timescales defined as in Table 2.
Water 16 02084 g010
Figure 11. Timescales (d) for each case shown in Figure 7. Purple markers/lines denote physical processes, green denotes biological, and black denotes sinking. Marker type denotes the timescale: purple squares are for the vertical mixing timescale, purple triangles are for the longitudinal exchange (advection) timescale, purple circles are for the dispersion timescale, green squares are messy eating, green upside-down triangles are Z mortality, green circles are P mortality, green stars are remineralization, and black stars are sinking. Each of the timescales which have x-dependence were calculated at the location of the peak D concentration for each case. We intentionally truncated the y-axis at 5 days, to focus on the interactions of the fastest timescales and the x-axis at 40 md 1 to focus on the cases which reach steady state. Timescales defined as in Table 2.
Figure 11. Timescales (d) for each case shown in Figure 7. Purple markers/lines denote physical processes, green denotes biological, and black denotes sinking. Marker type denotes the timescale: purple squares are for the vertical mixing timescale, purple triangles are for the longitudinal exchange (advection) timescale, purple circles are for the dispersion timescale, green squares are messy eating, green upside-down triangles are Z mortality, green circles are P mortality, green stars are remineralization, and black stars are sinking. Each of the timescales which have x-dependence were calculated at the location of the peak D concentration for each case. We intentionally truncated the y-axis at 5 days, to focus on the interactions of the fastest timescales and the x-axis at 40 md 1 to focus on the cases which reach steady state. Timescales defined as in Table 2.
Water 16 02084 g011
Figure 12. Sinking tracer (solid line, units μ M) and sinking detritus (dashed line, units μ M N) concentrations with the same sinking speed ( w s = 8 md 1 ) in the shallow (a) and deep (b) layer.
Figure 12. Sinking tracer (solid line, units μ M) and sinking detritus (dashed line, units μ M N) concentrations with the same sinking speed ( w s = 8 md 1 ) in the shallow (a) and deep (b) layer.
Water 16 02084 g012
Figure 13. Values of the introduced timescale τ d i f f , which quantifies the lag leading to the difference in peak D and C locations. Red bars correspond to τ d i f f in the shallow layer and and vertical line corresponds to the steady-state threshold of the system when run to 200 days.
Figure 13. Values of the introduced timescale τ d i f f , which quantifies the lag leading to the difference in peak D and C locations. Red bars correspond to τ d i f f in the shallow layer and and vertical line corresponds to the steady-state threshold of the system when run to 200 days.
Water 16 02084 g013
Figure 14. Relationship between the dimensionless group τ s i n k τ f l u s h 0.5 τ r i v τ f l u s h 0.25 and the dimensionless summary of the shallow layer concentration C s C t o t a l ( C ). Black stars refer to values obtained by varying estuary width (B), green crosses are from varying sinking speed ( w s ), purple dots are from varying river flow ( Q r ), and blue pluses are from varying flushing rate ( Q f l u s h ). All of these variations were taken while holding the other parameters constant.
Figure 14. Relationship between the dimensionless group τ s i n k τ f l u s h 0.5 τ r i v τ f l u s h 0.25 and the dimensionless summary of the shallow layer concentration C s C t o t a l ( C ). Black stars refer to values obtained by varying estuary width (B), green crosses are from varying sinking speed ( w s ), purple dots are from varying river flow ( Q r ), and blue pluses are from varying flushing rate ( Q f l u s h ). All of these variations were taken while holding the other parameters constant.
Water 16 02084 g014
Table 1. Model parameters, separated between parameters in the base model: parameters in the sinking tracer model only (Variation 1), parameters in both models (1 and 2), and parameters in the Peter–Parker Model only (Variation 2). Most biological parameter values obtained from [12].
Table 1. Model parameters, separated between parameters in the base model: parameters in the sinking tracer model only (Variation 1), parameters in both models (1 and 2), and parameters in the Peter–Parker Model only (Variation 2). Most biological parameter values obtained from [12].
ModelNameUnitsValue/DefinitionDescription
Base d V s m 3 B H s d x Volume shallow box
d V d m 3 B H d d x Volume deep box
V s m 3 B H s L Volume shallow section
V d m 3 B H d L Volume deep section
d x m501.54Length each box
Lkm50Length entire estuary
H s m20Depth shallow layer
H d m20Depth deep layer
Bkm3Estuary width
q s m 3 s 1 Equation (2)Shallow layer rate of volume transport
q d m 3 s 1 Equation (2)Deep layer rate of volume transport
Q s m 3 s 1 Equation (3)Shallow layer flow
Q d m 3 s 1 Equation (3)Deep layer flow
a s Equation (4)Fraction of flow refluxed down
a d Equation (4)Fraction of flow effluxed up
q r m 3 s 1 1000River rate of volume transport
Q r m 3 s 1 6500Cumulative river flow
1 C r i v μ M N1Sinking tracer river loading concentration
C o c n μ M N0Sinking tracer ocean loading concentration
1 and 2 w s m d 1 VariableTracer or D sinking speed
n d a y s d200Simulation time
2 μ i n s t d 1 Equation (8)Instantaneous P growth rate
μ 0 d 1 2.2Max inst. P growth rate
k s μ M N4.6Half-saturation N uptake by P
α ( Wm 2 ) 1   d 1 0.06Initial slope growth-light curve
E W m 2 Equation (10)Photosynthetically available radiation
E 0 W m 2 200Maximum light
a t t s w m 1 0.13Light attenuation seawater
a t t P m 1 ( μ M N ) 1 0.018Light attenuation by P
m d 1 0.1Non-grazing P mortality
I d 1 Equation (9)Z ingestion of P
I 0 d 1 4.8Max Z ingestion rate of P
K s μ M N3Half-saturation Z ingestion of P
ξ d 1 ( μ M N ) 1 2.0Z mortality
ϵ 0.3Z growth efficiency
f e g e s t 0.5Fraction losses Z egested
r d 1 0.1Remineralization rate
N r i v μ M N5River nutrients
N o c n μ M N0N ocean boundary condition
P r i v μ M N0.01P river seed population
P o c n μ M N0.01P ocean seed population
Z r i v μ M N0.01Z river seed populations
Z o c n μ M N0.01Z ocean seed populations
D r i v μ M N0D river boundary conditions
D o c n μ M N0D ocean boundary conditions
Table 2. Summary of timescales to understand behavior as written in Equations (13)–(22).
Table 2. Summary of timescales to understand behavior as written in Equations (13)–(22).
NameProcessFormula
SinkingTime for concentration to sink from the shallow to deep layer τ s i n k = h s w s
Vertical MixingTime for concentration to efflux to shallow from deep ( τ e f f ) or reflux to deep from shallow ( τ r e f ) at location i τ e f f i = d V s | q s i 1 a s i 1 + q d i + 1 a d i + 1 |
τ r e f i = d V d | q s i 1 a s i 1 q d i + 1 a d i + 1 |
Longitudinal ExchangeTime for concentration to flow out towards the ocean ( τ o u t ) or in towards the river ( τ i n ) at location i τ o u t i = d V s Q s i
τ i n i = d V d Q d i
Estuarine DispersionTime for concentration peak to be reduced by the longitudinal and vertical mixing at location i as described in
Equations (16)–(18)
τ d i s p i = V a s i 1 q s i 1 + a d i + 1 q d i + 1 c d i s p ( 1 a s i 1 ) q s i 1 + ( 1 a d i + 1 ) q d i + 1 2
Messy EatingTime for the fraction of phytoplankton missed by zooplankton to become detritus τ m e s s y , s i = 1 ( 1 ϵ ) f e g e s t I s i
τ m e s s y , d i = 1 ( 1 ϵ ) f e g e s t I d i
P MortalityTime for phytoplankton to become detritus from methods other than grazing τ P m o r t = 1 m
Z Mortality/Higher PredationTime for zooplankton to become detritus due to mortality or higher predation τ Z m o r t , s i = Z s i ξ
τ Z m o r t , d i = Z d i ξ
RemineralizationTime for detritus to become nutrients τ r e m i n = 1 r
Disclaimer/Publisher’s Note: The statements, opinions and data contained in all publications are solely those of the individual author(s) and contributor(s) and not of MDPI and/or the editor(s). MDPI and/or the editor(s) disclaim responsibility for any injury to people or property resulting from any ideas, methods, instructions or products referred to in the content.

Share and Cite

MDPI and ACS Style

Engel, L.; Stacey, M. Timescales of Ecological Processes, Settling, and Estuarine Transport to Create Estuarine Turbidity Maxima: An Application of the Peter–Parker Model. Water 2024, 16, 2084. https://doi.org/10.3390/w16152084

AMA Style

Engel L, Stacey M. Timescales of Ecological Processes, Settling, and Estuarine Transport to Create Estuarine Turbidity Maxima: An Application of the Peter–Parker Model. Water. 2024; 16(15):2084. https://doi.org/10.3390/w16152084

Chicago/Turabian Style

Engel, Lilian, and Mark Stacey. 2024. "Timescales of Ecological Processes, Settling, and Estuarine Transport to Create Estuarine Turbidity Maxima: An Application of the Peter–Parker Model" Water 16, no. 15: 2084. https://doi.org/10.3390/w16152084

APA Style

Engel, L., & Stacey, M. (2024). Timescales of Ecological Processes, Settling, and Estuarine Transport to Create Estuarine Turbidity Maxima: An Application of the Peter–Parker Model. Water, 16(15), 2084. https://doi.org/10.3390/w16152084

Note that from the first issue of 2016, this journal uses article numbers instead of page numbers. See further details here.

Article Metrics

Back to TopTop