Groundwater Dynamics in African Endorheic Basins in Arid to Semi-Arid Transition Zones: The Batha Aquifer System, NE Chad
Abstract
1. Introduction
2. Materials and Methods
2.1. Study Area
2.1.1. Geography, Orography, Climate, and Soils
2.1.2. Geological Settings
2.2. Available Data
2.3. Analytical Procedures
3. Results
3.1. Hydrogeological System
3.2. Geochemistry of Major Ions
3.2.1. Piper Diagram
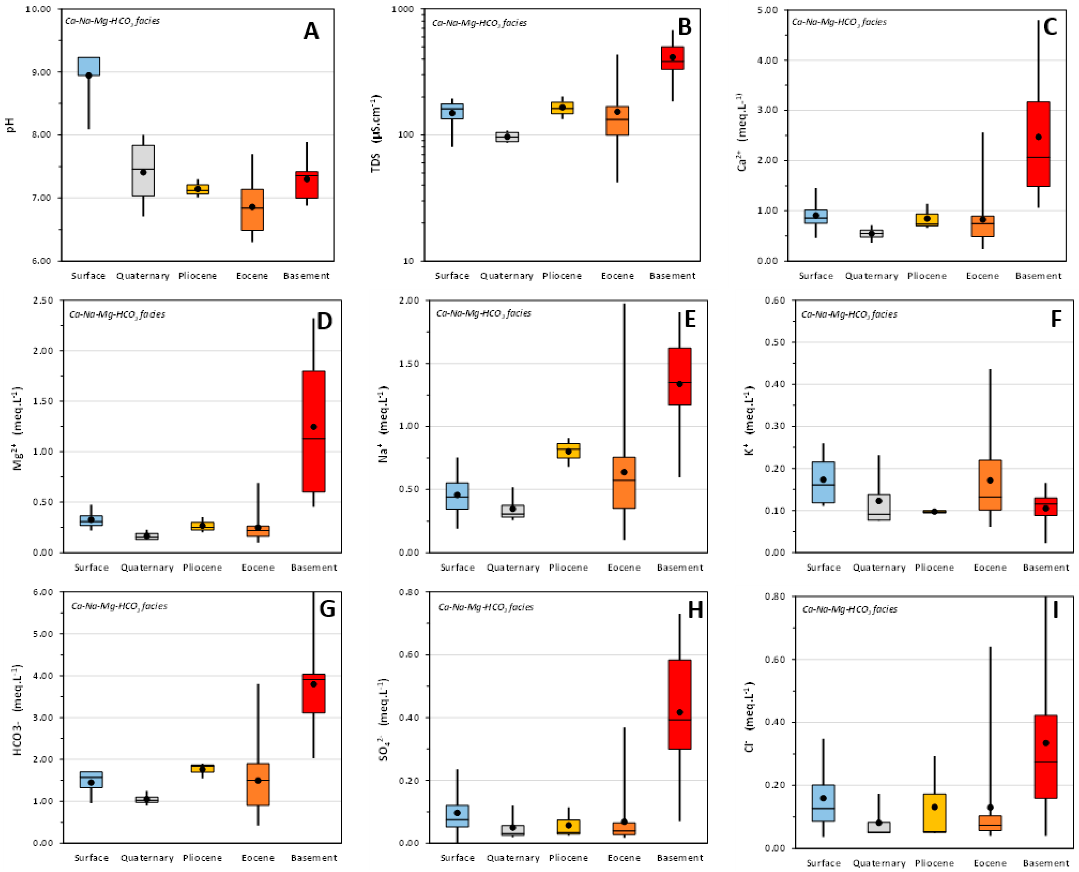
3.2.2. Ca-HCO3 or Ca-Na-Mg-HCO3 Facies
3.2.3. Na-HCO3 or Na-Ca-HCO3 Facies
3.2.4. Na-SO4 or Na-Ca-Mg-SO4 Facies
3.2.5. Mixed Facies
3.2.6. Spatial Distribution
3.3. Water Quality
- –
- Safe Zones: Low SAR and low EC values, indicating water with low sodium content and low salinity, which is generally well suited for irrigation (S1C1, S1C2).
- –
- Sodicity Hazard Zone: High SAR values but low EC, suggesting a risk of sodium-related issues in the soil despite low salinity (S3C1, S3C2).
- –
- Salinity Hazard Zone: High EC values regardless of SAR, indicating a risk of soil salinity issues (all C3 and C4 zones).
- –
- Combined Sodicity and Salinity Hazard Zone: High SAR and high EC values, signaling a risk of both sodium-related and salinity issues in the soil (all combinations of S3–S4 with C3–C4 zones).
4. Discussion
4.1. Origin of the Mineralization
4.2. Ionic Equilibrium
4.3. Contribution of Base Exchanges to Ionic Equilibria
4.4. Indices of Saturation
4.5. Assessment of Aquifer Recharge
4.5.1. Regional Rainfall Signature
4.5.2. Groundwater Recharge Process
4.5.3. Residence Time
4.6. Conceptual Model of the Batha Hydrogeological System
5. Conclusions
Author Contributions
Funding
Data Availability Statement
Acknowledgments
Conflicts of Interest
References
- Burke, K. The Chad Basin: An Active Intra-Continental Basin. In Developments in Geotectonics, Sedimentary Basins of Continental Margins and Cratons; Bott, M.H.P., Ed.; Elsevier: Amsterdam, The Netherlands, 1976; pp. 197–206. [Google Scholar] [CrossRef]
- Bristow, C.; Armitage, S. Dune ages in the sand deserts of the southern Sahara and Sahel. Quat. Int. 2016, 410, 46–57. [Google Scholar] [CrossRef]
- Drake, N.; Candy, I.; Breeze, P.; Armitage, S.; Gasmi, N.; Schwenninger, J.; Peat, D.; Manning, K. Sedimentary and geomorphic evidence of Saharan megalakes: A synthesis. Quat. Sci. Rev. 2022, 276, 107318. [Google Scholar] [CrossRef]
- Servant, M.; Servant, S. Les formations lacustres et les diatomées du Quaternaire recent du fond de la cuvette tchadienne. Rev. Geogr. Phys. Geol. Dyn. 1970, 13, 6–76. [Google Scholar]
- Magrin, G. Crise climatique et mutations de l’agriculture: L’émergence d’un grenier céréalier entre Tchad et Chari. In Annales de Géographie; Armand Colin: Paris, France, 1996; pp. 620–644. [Google Scholar]
- Maharana, P.; Abdel-Lathif, A.Y.; Pattnayak, K.C. Observed climate variability over Chad using multiple observational and reanalysis datasets. Glob. Planet. Change 2018, 162, 252–265. [Google Scholar] [CrossRef]
- Thomas, N.; Nigam, S. Twentieth-Century Climate Change over Africa: Seasonal Hydroclimate Trends and Sahara Desert Expansion. J. Clim. 2018, 31, 3349–3370. [Google Scholar] [CrossRef]
- Peel, M.C.; Finlayson, B.L.; McMahon, T.A. Updated world map of the Köppen-Geiger climate classification. Hydrol. Earth Syst. Sci. 2007, 11, 1633–1644. [Google Scholar] [CrossRef]
- Carmouze, J. Originalité de la régulation saline du Lac Tchad. C. R. Acad. Sci. Sér. D Sci. Nat. 1972, 275, 1871–1874. [Google Scholar]
- Chantraine, J.-M. Evolution hydrochimique du lac Tchad de septembre 1973 à septembre 1975 au cours d’une phase de décrue. Cah. Orstom. Hydrobiol. 1978, 12, 3–17. [Google Scholar]
- Isiorho, S.A.; Matisof, G. Groundwater recharge from Lake Chad. Limnol. Oceanogr. 1990, 35, 931–938. [Google Scholar] [CrossRef]
- Olivry, J.-C.; Chouret, A.; Vuillaume, G.; Lemoalle, J.; Bricquet, J.-P. Hydrologie du lac Tchad; Orstom: Paris, France, 1996; Volume N°12, p. 302. [Google Scholar]
- Bader, J.-C.; Lemoalle, J.; Leblanc, M. Modèle hydrologique du Lac Tchad. Hydrol. Sci. J. 2011, 56, 411–425. [Google Scholar] [CrossRef]
- Abderamane, H.; Razack, M.; Vassolo, S. Hydrogeochemical and isotopic characterization of the groundwater in the Chari-Baguirmi depression, Republic of Chad. Environ. Earth Sci. 2013, 69, 2337–2350. [Google Scholar] [CrossRef]
- Fontes, J.C.; Maglione, G.; Roche, M.A. Données isotopiques préliminaires sur les rapports du lac Tchad avec les nappes de la bordure nord-est. Cah. Orstom. Hydrobiol. 1969, 6, 17–34. [Google Scholar]
- Leduc, C.; Sabljak, S.; Taupin, J.-D.; Marlin, C.; Favreau, G. Estimation de la recharge de la nappe quaternaire dans le Nord-Ouest du bassin du lac Tchad (Niger oriental) à partir de mesures isotopiques. C. R. Acad. Sci.-Ser. IIA Earth Planet. Sci. 2000, 330, 355–361. [Google Scholar] [CrossRef]
- Wang, P.; Yu, J.; Zhang, Y.; Liu, C. Groundwater recharge and hydrogeochemical evolution in the Ejina Basin, northwest China. J. Hydrol. 2013, 476, 72–86. [Google Scholar] [CrossRef]
- Si, J.; Feng, Q.; Wen, X.; Su, Y.; Xi, H.; Chang, Z. Major ion chemistry of groundwater in the extreme arid region northwest China. Environ. Geol. 2009, 57, 1079–1087. [Google Scholar]
- Yang, H.; Wei, J.; Shi, K. Hydrochemical and Isotopic Characteristics and the Spatiotemporal Differences of Surface Water and Groundwater in the Qaidam Basin, China. Water 2024, 16, 169. [Google Scholar] [CrossRef]
- Edmunds, W.M.; Guendouz, A.H.; Mamou, A.; Moulla, A.; Shand, P.; Zouari, K. Groundwater evolution in the Continental Intercalaire aquifer of southern Algeria and Tunisia: Trace element and isotopic indicators. Appl. Geochem. 2003, 18, 805–822. [Google Scholar] [CrossRef]
- Farid, I.; Zouari, K.; Rigane, A.; Beji, R. Origin of the groundwater salinity and geochemical processes in detrital and carbonate aquifers: Case of Chougafiya basin (Central Tunisia). J. Hydrol. 2015, 530, 508–532. [Google Scholar] [CrossRef]
- Abdelfadel, F.; Hilali, M.; Fontaine, C.; El Albani, A.; Mahboub, A.; Eloy, L.; Labanowski, J.; Benaissi, L.; Razack, M. Hydrogeology of a Complex Aquifer System in Semi-Arid Mountainous Region: The Eastern Upper Guir Basin in the High Atlas (Morocco). Water 2020, 12, 2849. [Google Scholar] [CrossRef]
- Furi, W.; Razack, M.; Abiye, T.A.; Kebede, S.; Legesse, D. Hydrochemical characterization of complex volcanic aquifers in a continental rifted zone: The Middle Awash basin, Ethiopia. Hydrogeol. J. 2021, 20, 385–400. [Google Scholar] [CrossRef]
- Aboubaker, M.; Jalludin, M.; Razack, M. Hydrochemistry of a complex volcano-sedimentary aquifer using major ions and environmental isotopes data: Dalha basalts aquifer, southwest of Republic of Djibouti. Environ. Earth Sci. 2013, 70, 3335–3349. [Google Scholar] [CrossRef]
- Ahmed, I.M.; Jalludin, M.; Razack, M. Hydrochemical and Isotopic Assessment of Groundwater in the Goda Mountains Range System. Republic of Djibouti (Horn of Africa). Water 2020, 12, 2004. [Google Scholar] [CrossRef]
- Chacha, N.; Njau, K.N.; Lugomela, G.V.; Muzuka, A.N.N. Groundwater age dating and recharge mechanism of Arusha aquifer, northern Tanzania: Application of radioisotope and stable isotope techniques. Hydrogeol. J. 2018, 26, 2693–2706. [Google Scholar] [CrossRef]
- Dogramaci, S.; Skrzypek, G.; Dodson, W.; Grierson, P.F. Stable isotope and hydrochemical evolution of groundwater in the semi-arid Hamersley Basin of subtropical northwest Australia. J. Hydrol. 2012, 475, 281–293. [Google Scholar] [CrossRef]
- Al-Ahmadi, M.E. Hydrochemical characterization of groundwater in wadi Sayyah, Western Saudi Arabia. Appl. Water Sci. 2013, 3, 721–732. [Google Scholar] [CrossRef]
- Maskooni, E.K.; Hashemi, H.; Kompanizare, M.; Arasteh, P.D.; Vagharfard, H.; Berndtsson, R. Assessment of hydro-geochemical properties of groundwater under the effect of desalination wastewater discharge in an arid area. Environ. Sci. Pollut. Res. 2021, 28, 6176–6194. [Google Scholar] [CrossRef] [PubMed]
- Keesari, T.; Sinha, U.K.; Saha, D.; Dwivedi, S.; Shukla, R.R.; Mohokar, H.; Roy, A. Isotope and hydrochemical systematics of groundwater from a multi-tiered aquifer in the central parts of Indo-Gangetic Plains, India—Implications for groundwater sustainability and security. Sci. Total. Environ. 2021, 789, 147860. [Google Scholar] [CrossRef] [PubMed]
- Janicot, S.; Sultan, B. Intra-seasonal modulation of convection in the West African Monsoon. Geophys. Res. Lett. 2001, 28, 523–526. [Google Scholar] [CrossRef]
- Barbé, L.L.; Lebel, T.; Tapsoba, D. Rainfall Variability in West Africa during the Years 1950–1990. J. Clim. 2002, 15, 187–202. [Google Scholar] [CrossRef]
- Davidson, O.; Halsnæs, K.; Huq, S.; Kok, M.; Metz, B.; Sokona, Y.; Verhagen, J. The development and climate nexus: The case of sub-Saharan Africa. Clim. Policy 2003, 3, S97–S113. [Google Scholar] [CrossRef]
- Bell, M.A.; Lamb, P.J. Integration of Weather System Variability to Multidecadal Regional Climate Change: The West African Sudan–Sahel Zone, 1951–1998. J. Clim. 2006, 19, 5343–5365. [Google Scholar] [CrossRef]
- Stige, L.C.; Stave, J.; Chan, K.-S.; Ciannelli, L.; Pettorelli, N.; Glantz, M.; Herren, H.R.; Stenseth, N.C. The effect of climate variation on agro-pastoral production in Africa. Proc. Natl. Acad. Sci. USA 2006, 103, 3049–3053. [Google Scholar] [CrossRef] [PubMed]
- Lebel, T.; Ali, A. Recent trends in the Central and Western Sahel rainfall regime (1990–2007). J. Hydrol. 2009, 375, 52–64. [Google Scholar] [CrossRef]
- Pias, J. Les Formations Sédimentaires Tertiaires et Quaternaires de la Cuvette Tchadienne et Les Sols Qui en Dérivent; Orstom: Paris, France, 1970; Volume 43, p. 425. [Google Scholar]
- Schneider, J.-L. Géologie et Hydrogéologie de la République du Tchad. Ph.D. Thesis, University of Avignon, Avignon, France, 1989; p. 549. [Google Scholar]
- Schneider, J.L.; Wolff, J.-P. Carte Géologique et Cartes Hydrogéologiques à 1/1,500,000 de la République du Tchad: Mémoire Explicatif (Vol.1, N° 209); BRGM Publisher: Orléans, France, 1992. [Google Scholar]
- Lajaunie, M.L.; Serrat Capdevila, A.; Mumssen, Y.; Candela Lledó, L.; Salehi Siavashan, N. A groundwater model for the Lake Chad basin: Integrating data and understanding of water resources at the basin scale. Cooperation for International Waters in Africa (CIWA), World Bank. Tech. Rep. 2020, 184, 153–168. [Google Scholar]
- Bellion, Y. Histoire Géodynamique Post-Paléozoique de l’Afrique de l’Ouest d’après l’étude de Quelques Bassins Sédimentaires (Sénégal, Taoudenni, Iullemmeden, Tchad). Ph.D. Thesis, University Avignon, Avignon, France, 1987; 295p. [Google Scholar]
- Guiraud, R.; Maurin, J.-C. Early Cretaceous rifts of Western and Central Africa: An overview. Tectonophysics, Geodynamics of Rifting, Volume II Case History Studies on Rifts: North and South America and Africa. Tectonophysics 1992, 213, 153–168. [Google Scholar] [CrossRef]
- Black, R.; Liegeois, J.-P. Cratons, mobile belts, alkaline rocks and continental lithospheric mantle: The Pan-African testimony. J. Geol. Soc. 1993, 150, 89–98. [Google Scholar] [CrossRef]
- Kusnir, I.; Moutaye, H.A. Ressources minérales du Tchad: Une revue. J. Afr. Earth Sci. 1997, 24, 549–562. [Google Scholar] [CrossRef]
- Moupeng, B. Le lac Fitri: Dynamique du Système Hydrographique Quaternaire et Actuel (Sahel Tchadien). Ph.D. Thesis, University of Aix-Marseille, Marseille, France, 2006; p. 150. [Google Scholar]
- Schuster, M.; Roquin, C.; Moussa, A.; Ghienne, J.-F.; Duringer, P.; Bouchette, F.; Durand, A.; Allenbach, B. Shorelines of the Holocene Megalake Chad (Africa, Sahara) investigated with very high resolution satellite imagery (Pléiades): Example of the Goz Kerki paleo-spit. Rev. Fr. Photogramm. Télédétect. 2014, 208, 63–68. [Google Scholar] [CrossRef]
- Moussa, A. Les Séries Sédimentaires Fluviatiles, Lacustres et Éoliennes du Bassin du Tchad Depuis le Miocène Terminal. Ph.D. Thesis, University of Strasbourg, Strasbourg, France, 2010; p. 250. [Google Scholar]
- Schuster, M.; Duringer, P.; Ghienne, J.-F.; Roquin, C.; Sepulchre, P.; Moussa, A.; Lebatard, A.-E.; Mackaye, H.T.; Likius, A.; Vignaud, P.; et al. Chad Basin: Paleoenvironments of the Sahara since the Late Miocene. C. R. Geosci. 2009, 341, 603–611. [Google Scholar] [CrossRef]
- Amaral, P.G.C.; Vincens, A.; Guiot, J.; Buchet, G.; Deschamps, P.; Doumnang, J.; Sylvestre, F. Palynological evidence for gradual vegetation and climate changes during the “African Humid Period” termination at 13°N from a Mega-Lake Chad sedimentary sequence. Clim. Past 2013, 9, 223–241. [Google Scholar] [CrossRef]
- Centre de Documentation et d’Informations Géographiques CDIG. Available online: http://reseau-tchad.org/siteau/ (accessed on 18 December 2023).
- AIEA/WMO. Global Network of Isotopes in Precipitation. The GNIP Database. 2018. Available online: https://nucleus.iaea.org/ (accessed on 18 December 2023).
- Piper, A.M. A graphic procedure in the geochemical interpretation of water-analyses. Eos Trans. Am. Geophys. Union 1944, 25, 914–928. [Google Scholar]
- Vidal, N.P.; Manful, C.F.; Pham, T.H.; Stewart, P.; Keough, D.; Thomas, R. The use of XLSTAT in conducting principal component analysis (PCA) when evaluating the relationships between sensory and quality attributes in grilled foods. MethodsX 2020, 7, 100835. [Google Scholar] [CrossRef]
- Xanke, J.; Ender, A.; Grimmeisen, F.; Goeppert, N.; Goldscheider, N. Hydrochemical evaluation of water resources and human impacts on an urban karst system, Jordan. Hydrogeol. J. 2020, 28, 2173–2186. [Google Scholar] [CrossRef]
- Che, Q.; Su, X.; Wang, S.; Zheng, S.; Li, Y. Hydrochemical Characteristics and Evolution of Groundwater in the Alluvial Plain (Anqing Section) of the Lower Yangtze River Basin: Multivariate Statistical and Inversion Model Analyses. Water 2021, 13, 2403. [Google Scholar] [CrossRef]
- Manov, G.G.; Bates, R.G.; Hamer, W.J.; Acree, S. Values of the constants in the Debye—Hückel equation for activity coefficients1. J. Am. Chem. Soc. 1943, 65, 1765–1767. [Google Scholar] [CrossRef]
- Risacher, F.; Fritz, B. Estimation des variations en fonction de la température des produits de solubilité des principaux sels des milieux évaporitiques. Sci. Géol. Bull. 1984, 37, 229–237. [Google Scholar]
- WHO. Guidelines for Drinking-Water Quality: Fourth Edition Incorporating the First and Second Addenda; World Health Organization: Geneve, Switzerland, 2022. [Google Scholar]
- Kumar, M.; Kumari, K.; Ramanathan, A.; Saxena, R. A comparative evaluation of groundwater suitability for irrigation and drinking purposes in two intensively cultivated districts of Punjab, India. Environ. Geol. 2007, 53, 553–574. [Google Scholar] [CrossRef]
- Abderamane, H.; Ketchemen-Tandia, B.; Nlend, B.Y.; Arrakhais, A.B. Hydrogeochemical and isotopic characterization of the groundwater in the Dababa area (Chad). Afr. J. Environ. Sci. Technol. 2016, 10, 451–466. [Google Scholar] [CrossRef]
- Ndoye, S.; Fontaine, C.; Gaye, C.B.; Razack, M. Groundwater Quality and Suitability for Different Uses in the Saloum Area of Senegal. Water 2018, 10, 1837. [Google Scholar] [CrossRef]
- Bon, A.F.; Abderamane, H.; Mboudou, G.E.; Doua, S.A.; Banakeng, L.A.; Boyomo, S.B.B.; Piih, S.L.; Damo, B.W. Parametrization of groundwater quality of the Quaternary aquifer in N’Djamena (Chad), Lake Chad Basin: Application of numerical and multivariate analyses. Environ. Sci. Pollut. Res. 2021, 28, 12300–12320. [Google Scholar] [CrossRef] [PubMed]
- Kadjangaba, E.; Bongo, D.; Le Bandoumel, M. Adequacy of Water Use Resources for Drinking and Irrigation, Study Case of Sarh City, Capital of Moyen-Chari Province, CHAD. Open J. Mod. Hydrol. 2022, 13, 1–21. [Google Scholar] [CrossRef]
- Alogayell, H.M.; El-Bana, E.M.M.; Abdelfattah, M. Groundwater Quality and Suitability Assessment for Irrigation Using Hydrogeochemical Characteristics and Pollution Indices: A Case Study of North Al-Quwayiyah Governorate, Central Saudi Arabia. Water 2023, 15, 3321. [Google Scholar] [CrossRef]
- Hasan, M.S.U.; Rai, A.K. Suitability of the Lower Ganga basin groundwater for irrigation, using hydrogeochemical parameters and land-use dynamics. Environ. Sci. Pollut. Res. 2023, 30, 116831–116847. [Google Scholar] [CrossRef]
- Jarray, H.; Hamzaoui-Azaza, F.; Zammouri, M.; Ouessar, M.; Barbieri, M.; Carrey, R.; Soler, A.; Guastaldi, E.; Sahal, S. Geochemical evaluation of groundwater quality and its suitability for drinking and irrigation purposes in arid and semiarid regions: The case of Zeuss-Koutine and a part of Mio-Plio-Quaternary aquifers (SE Tunisia). Phys. Chem. Earth Parts A/B/C 2023, 132, 103483. [Google Scholar] [CrossRef]
- Patel, P.S.; Pandya, D.M.; Shah, M. A systematic and comparative study of Water Quality Index (WQI) for groundwater quality analysis and assessment. Environ. Sci. Pollut. Res. 2023, 30, 54303–54323. [Google Scholar] [CrossRef] [PubMed]
- Ayers, R.; Westcot, D. FAO irrigation and drainage paper. Water Qual. Agric. 1985, 29, 8–96. [Google Scholar]
- Simsek, C.; Gunduz, O. IWQ Index: A GIS-Integrated Technique to Assess Irrigation Water Quality. Environ. Monit. Assess. 2007, 128, 277–300. [Google Scholar] [CrossRef] [PubMed]
- Park, C.S.; O’connor, G.A. Salinity effects on hydraulic properties of soils. Soil Sci. 1980, 130, 167–174. [Google Scholar] [CrossRef]
- Abu-Sharar, T.M.; Bingham, F.T.; Rhoades, J.D. Stability of soil aggregates as affected by electrolyte concentration and composition. Soil Sci. Soc. Am. J. 1987, 51, 309–314. [Google Scholar] [CrossRef]
- Kumar, S.; Prasad, K.S.H.; Bundela, D.S. Effect of Sodicity on Soil–Water Retention and Hydraulic Properties. J. Irrig. Drain. Eng. 2020, 146, 04020004. [Google Scholar] [CrossRef]
- Richards, L.A. Diagnosis and Improvement of Saline Alkali Soils, Agriculture, Handbook 60; U.S. Department of Agriculture: Washington, DC, USA, 1954; Volume 160. [Google Scholar] [CrossRef]
- FAO. Water quality for agriculture. In Water Quality Guidelines; Food and Agricultural Organization: Rome, Italy, 1994. [Google Scholar]
- Mandal, S.K.; Dutta, S.K.; Pramanik, S.; Kole, R.K. Assessment of river water quality for agricultural irrigation. Int. J. Environ. Sci. Technol. 2018, 16, 451–462. [Google Scholar] [CrossRef]
- Alsubih, M.; Mallick, J.; Islam, A.R.M.T.; Almesfer, M.K.; Ben Kahla, N.; Talukdar, S.; Ahmed, M. Assessing Surface Water Quality for Irrigation Purposes in Some Dams of Asir Region, Saudi Arabia Using Multi-Statistical Modeling Approaches. Water 2022, 14, 1439. [Google Scholar] [CrossRef]
- Amrani, S.; Hinaje, S.; El Fartati, M.; Gharmane, Y.; Yaagoub, D. Assessment of groundwater quality for drinking and irrigation in the Timahdite–Almis Guigou area (Middle Atlas, Morocco). Appl. Water Sci. 2022, 12, 82. [Google Scholar] [CrossRef]
- Evangelou, V.P. Environmental Soil and Water Chemistry: Principles and Applications; Wiley: Hoboken, NJ, USA, 1998; 592p. [Google Scholar]
- Kalavrouziotis, I.; Drakatos, P. Irrigation of certain Mediterranean plants with heavy metals. Int. J. Environ. Pollut. 2002, 18, 294. [Google Scholar] [CrossRef]
- Gibbs, R.J. Mechanisms Controlling World Water Chemistry. Science 1970, 170, 1088–1090. [Google Scholar] [CrossRef]
- Xiao, J.; Jin, Z.; Zhang, F.; Wang, J. Major ion geochemistry of shallow groundwater in the Qinghai Lake catchment, NE Qinghai-Tibet Plateau. Environ. Earth Sci. 2012, 67, 1331–1344. [Google Scholar] [CrossRef]
- Khan, N.; Malik, A.; Nehra, K. Groundwater hydro-geochemistry, quality, microbiology and human health risk assessment in semi-arid area of Rajasthan, India: A chemometric approach. Environ. Monit. Assess. 2021, 193, 234. [Google Scholar] [CrossRef] [PubMed]
- Shirke, K.D.; Kadam, A.K.; Pawar, N.J. Temporal variations in hydro-geochemistry and potential health risk assessment of groundwater from lithological diversity of semi-arid region, Western Gujarat, India. Appl. Water Sci. 2020, 10, 156. [Google Scholar] [CrossRef]
- García, G.M.; Hidalgo, M.d.V.; Blesa, M.A. Geochemistry of groundwater in the alluvial plain of Tucum n province, Argentina. Hydrogeol. J. 2001, 9, 597–610. [Google Scholar] [CrossRef]
- McLean, W.; Jankowski, J.; Lavitt, N. Groundwater quality and sustainability in an alluvial aquifer, Australia. In Groundwater: Past Achievements and Future Challenges; Balkema: Dordrecht, The Netherlands, 2000; pp. 567–573. [Google Scholar]
- Chebotarev, I.I. Metamorphism of natural waters in the crust of weathering. Geochim. Cosmochim. Acta 1995, 8, 22–48. [Google Scholar] [CrossRef]
- Goni, I.; Fellman, E.; Edmunds, W. Rainfall geochemistry in the Sahel region of northern Nigeria. Atmos. Environ. 2001, 35, 4331–4339. [Google Scholar] [CrossRef]
- Craig, H. Isotopic Variations in Meteoric Waters. Science 1961, 133, 1702–1703. [Google Scholar] [CrossRef] [PubMed]
- Song, F.; Nlend, B.; Boum-Nkot, S.N.; Huneau, F.; Ndondo, G.N.; Garel, E.; Leydier, T.; Celle, H.; Djieugoue, B.; Ntamak-Nida, M.-J.; et al. Groundwater Resources of the Transboundary Quaternary Aquifer of the Lake Chad Basin: Towards a Better Management via Isotope Hydrology. Resources 2023, 12, 138. [Google Scholar] [CrossRef]
- Nour, A.M.; Huneau, F.; Ali, A.M.; Saleh, H.M.; Boum-Nkot, S.N.; Nlend, B.; Djebebe-Ndjiguim, C.; Foto, E.; Sanoussi, R.; Araguas-Araguas, L.; et al. Shallow Quaternary groundwater in the Lake Chad basin is resilient to climate change but requires sustainable management strategy: Results of isotopic investigation. Sci. Total. Environ. 2022, 851, 158152. [Google Scholar] [CrossRef] [PubMed]
- Yahouza, L.; Issoufou, S.; Babaye, M.S.A.; Métral, B.; Ousmane, B. Contribution of stable isotopes of water (18O and 2H) to the characterization of goulbi N’kaba valley aquifer, region of Maradi in the republic of Niger. Int. J. Hydrol. 2018, 2, 560–565. [Google Scholar] [CrossRef]
- Allies, A.; Demarty, J.; Olioso, A.; Moussa, I.B.; Issoufou, H.B.-A.; Velluet, C.; Bahir, M.; Maïnassara, I.; Oï, M.; Chazarin, J.-P.; et al. Evapotranspiration Estimation in the Sahel Using a New Ensemble-Contextual Method. Remote Sens. 2020, 12, 380. [Google Scholar] [CrossRef]
- Vassolo, S.; Gröschke, M.; Koeniger, P.; Neukum, C.; Seehausen, L.; Witt, L.; Ronnelngar, M.; Daïra, D. Groundwater recharge processes in the Lake Chad Basin based on isotopic and chemical data. Hydrogeol. J. 2023, 32, 149–165. [Google Scholar] [CrossRef]
- Mook, W.G. Isotopes de L’environnement Dans le Cycle Hydrologique; AIEA: Vienna, Austria, 2001; Volume I, Chapter 8. [Google Scholar]
- Allison, G.; Hughes, M. The use of environmental chloride and tritium to estimate total recharge to an unconfined aquifer. Soil Res. 1978, 16, 181–195. [Google Scholar] [CrossRef]
- Hubert, P.; Olive, P.; Ravailleau, S. Estimation pratique de l’âge des eaux souterraines par le tritium. Reseau 1996, 9, 523–533. [Google Scholar] [CrossRef]
- IAEA (International Atomic Energy Agency). Tritium and other Environmental Isotopes in the Hydrological Cycle; Technical Reports Series No. 73; IAEA Publisher: Vienna, Austria, 1967. [Google Scholar]
- Salem, O.; Visser, J.H.; Dray, M.; Gonfiantini, R. Arid-Zone Hydrology: Investigations with Isotope Techniques; IAEA: Vienna, Austria, 1980; pp. 165–179. [Google Scholar]
- Cook, P.G.; Jolly, I.D.; Leaney, F.W.; Walker, G.R.; Allan, G.L.; Fifield, L.K.; Allison, G.B. Unsaturated zone tritium and chlorine 36 profiles from southern Australia: Their use as tracers of soil water movement. Water Resour. Res. 1994, 30, 1709–1719. [Google Scholar] [CrossRef]
- Liu, T.-K. Estimating Flow and Recharge Rates of Groundwater in Western Taiwan Using Radiocarbon and Tritium. Radiocarbon 1995, 37, 531–542. [Google Scholar] [CrossRef]
- Scanlon, B.R.; Healy, R.W.; Cook, P.G. Choosing appropriate techniques for quantifying groundwater recharge. Hydrogeol. J. 2002, 10, 18–39. [Google Scholar] [CrossRef]





















| T °C | EC | TDS | pH | Ca2+ | Mg2+ | Na+ | K+ | HCO3− | F− | Cl− | NO3− | SO42− | ||
|---|---|---|---|---|---|---|---|---|---|---|---|---|---|---|
| Surface waters | Average | 25.4 | 180.0 | 149.2 | 8.9 | 18.2 | 4.0 | 10.5 | 6.8 | 88.5 | 0.3 | 5.7 | 10.7 | 4.6 |
| Median | 25.8 | 186.5 | 161.2 | 9.2 | 17.2 | 3.7 | 10.1 | 6.3 | 96.1 | 0.4 | 4.5 | 5.8 | 3.6 | |
| SD | 2.8 | 65.9 | 49.2 | 0.6 | 8.2 | 1.3 | 5.4 | 2.8 | 21.6 | 0.1 | 4.8 | 14.6 | 4.8 | |
| Minimum | 21.6 | 94.0 | 80.1 | 8.1 | 9.2 | 2.7 | 4.4 | 4.4 | 58.0 | 0.2 | 1.3 | 0.0 | 0.0 | |
| Maximum | 28.3 | 253,0 | 194.1 | 9.2 | 29.1 | 5.8 | 17.3 | 10.2 | 103.7 | 0.4 | 12.4 | 31.1 | 11.3 | |
| Samples | 4 | 4 | 4 | 4 | 4 | 4 | 4 | 4 | 4 | 4 | 4 | 4 | 4 | |
| Ancient Quaternary | Average | 32.1 | 114.3 | 96.8 | 7.4 | 10.9 | 2.0 | 8.0 | 4.8 | 64.1 | 0.2 | 2.9 | 1.6 | 2.4 |
| Median | 32.4 | 112.0 | 96.3 | 7.5 | 11.0 | 1.9 | 7.1 | 3.6 | 62.5 | 0.1 | 1.8 | 1.4 | 1.5 | |
| SD | 2.6 | 13,4 | 10.5 | 0.6 | 2.9 | 0.6 | 2.7 | 2.9 | 9.0 | 0.1 | 2.2 | 1.5 | 2.3 | |
| Minimum | 29 | 102 | 86,68 | 6.7 | 7.4 | 1.56 | 5.94 | 2.97 | 54.91 | 0.1 | 1.72 | 0 | 0.89 | |
| Maximum | 34.8 | 131 | 107,99 | 8 | 14.32 | 2.75 | 11.92 | 9.05 | 76.26 | 0.3 | 6.16 | 3.53 | 5.78 | |
| Samples | 4 | 4 | 4 | 4 | 4 | 4 | 4 | 4 | 4 | 4 | 4 | 4 | 4 | |
| Recent Quaternary | Average | 29.7 | 4056.1 | 4127.9 | 8.0 | 129.7 | 86.1 | 947.3 | 35.1 | 628.0 | 0.4 | 141.3 | 88.1 | 2071.9 |
| Median | 31.4 | 2910.0 | 2625.1 | 7.9 | 58.4 | 21.5 | 585.7 | 21.3 | 434.4 | 0.0 | 59.2 | 7.3 | 457.6 | |
| SD | 3.6 | 4110.2 | 4514.2 | 0.7 | 165.7 | 115.8 | 1049.6 | 27.2 | 643,6 | 0,6 | 205.9 | 194.0 | 3007.5 | |
| Minimum | 21.8 | 507.0 | 393.1 | 6.9 | 2.3 | 1.8 | 82.0 | 10.8 | 128.1 | 0.0 | 3.7 | 0.0 | 10.7 | |
| Maximum | 32.8 | 12,480.0 | 13,734,3 | 9.4 | 467.7 | 351.8 | 3153.0 | 92.2 | 2430.6 | 1.6 | 630.3 | 613.9 | 8574.0 | |
| Samples | 11 | 11 | 11 | 11 | 11 | 11 | 11 | 11 | 11 | 11 | 11 | 11 | 11 | |
| CT | Average | 32.1 | 213.6 | 183.8 | 7.0 | 17.7 | 3.3 | 21.5 | 6.3 | 108.4 | 0.2 | 4.7 | 13.0 | 8.8 |
| Median | 32.5 | 174.0 | 145.5 | 6.9 | 15.4 | 2.8 | 16.1 | 5.2 | 99.1 | 0.2 | 3.0 | 2.3 | 2.2 | |
| SD | 1.6 | 135.0 | 117.2 | 0.5 | 12.3 | 2.2 | 17.0 | 4.0 | 55.7 | 0.1 | 4.7 | 23.6 | 17.9 | |
| Minimum | 27.4 | 53.0 | 42.1 | 6.3 | 4.8 | 1.0 | 2.3 | 1.9 | 25.6 | 0.0 | 1.4 | 0.0 | 0.8 | |
| Maximum | 34.2 | 646.0 | 552.0 | 8.0 | 56.0 | 11.3 | 72.0 | 17.1 | 235.5 | 0.5 | 22.7 | 80.2 | 81.5 | |
| Samples | 28 | 28 | 28 | 28 | 28 | 28 | 28 | 28 | 28 | 28 | 28 | 28 | 28 | |
| Basement | Average | 31.7 | 726.9 | 694.8 | 7.5 | 35.8 | 12.7 | 132.4 | 6.4 | 369.7 | 0.9 | 15.6 | 40.7 | 80.7 |
| Median | 32.0 | 474.5 | 415.4 | 7.4 | 28.0 | 8.9 | 50.9 | 4.6 | 228.2 | 0.4 | 14.4 | 19.0 | 25.2 | |
| SD | 1.5 | 1025.2 | 998.3 | 0.6 | 24.9 | 7.6 | 291.2 | 7.3 | 489.0 | 1.4 | 13.3 | 46.8 | 217.5 | |
| Minimum | 29.1 | 187.0 | 183.9 | 6.6 | 6.7 | 5.5 | 13.7 | 0.9 | 123.9 | 0.0 | 1.4 | 0.0 | 3.4 | |
| Maximum | 34.5 | 4240.0 | 4133.2 | 9.0 | 96.2 | 28.2 | 1137.9 | 30.8 | 2043.8 | 4.4 | 51.4 | 119.9 | 835.0 | |
| Samples | 14 | 14 | 14 | 14 | 14 | 14 | 14 | 14 | 14 | 14 | 14 | 14 | 14 | |
| WHO 2022 | 750 | 500 | 6.5–8.5 | 75 | 30 | 200 | 100 | 200 | 1.5 | 250 | 50 | 250 |
| Parameters of Irrigation Water Quality | Category | Surface (n = 4) | Q (n = 15) | Pliocene (n = 3) | CT (n = 28) | Basement (n = 15) | % (65 Samples) |
|---|---|---|---|---|---|---|---|
| EC (μS. cm−1) | Excellent | 4 | 5 | 3 | 28 | 13 | 82% |
| Permissible | 4 | 1 | 8% | ||||
| Doubtfull | 6 | 1 | 10% | ||||
| SAR | Excellent | 4 | 9 | 3 | 28 | 14 | 89% |
| Permissible | |||||||
| Doubtfull | 6 | 1 | 11% |
| Samples | Minimum | Maximum | Mean | SD | |||||||||
|---|---|---|---|---|---|---|---|---|---|---|---|---|---|
| 2H | 18O | 3H | 2H | 18O | 3H | 2H | 18O | 3H | 2H | 18O | 3H | ||
| Quaternary | 15 | −37.3 | −4.99 | −15.2 | −1.53 | −27.73 | −3.62 | 7.18 | 0.96 | ||||
| 9 | 0.1 | 3.31 | 1.54 | 1.22 | |||||||||
| Pliocene | 3 | −38.2 | −4.62 | −35.3 | −4.49 | −36.87 | −4.55 | ||||||
| 2 | 0.1 | 0.15 | 0.12 | ||||||||||
| CT | 28 | −45.2 | −6.44 | −16.2 | −2.66 | −31.11 | −4.32 | 8.41 | 0.93 | ||||
| 20 | 0.02 | 7.1 | 1.65 | 1.87 | |||||||||
| Basement | 16 | −32.3 | −5.31 | −14.0 | −2.44 | −26.08 | −3.87 | 4.67 | 0.75 | ||||
| 11 | 0.05 | 3.98 | 2.45 | 1.32 | |||||||||
Disclaimer/Publisher’s Note: The statements, opinions and data contained in all publications are solely those of the individual author(s) and contributor(s) and not of MDPI and/or the editor(s). MDPI and/or the editor(s) disclaim responsibility for any injury to people or property resulting from any ideas, methods, instructions or products referred to in the content. |
© 2024 by the authors. Licensee MDPI, Basel, Switzerland. This article is an open access article distributed under the terms and conditions of the Creative Commons Attribution (CC BY) license (https://creativecommons.org/licenses/by/4.0/).
Share and Cite
Arrakhais, A.B.; Hamit, A.; Fontaine, C.; Abdelfadel, F.; Dinar, M.; Razack, M. Groundwater Dynamics in African Endorheic Basins in Arid to Semi-Arid Transition Zones: The Batha Aquifer System, NE Chad. Water 2024, 16, 2067. https://doi.org/10.3390/w16142067
Arrakhais AB, Hamit A, Fontaine C, Abdelfadel F, Dinar M, Razack M. Groundwater Dynamics in African Endorheic Basins in Arid to Semi-Arid Transition Zones: The Batha Aquifer System, NE Chad. Water. 2024; 16(14):2067. https://doi.org/10.3390/w16142067
Chicago/Turabian StyleArrakhais, Abakar Bourma, Abderamane Hamit, Claude Fontaine, Fatima Abdelfadel, Moustapha Dinar, and Moumtaz Razack. 2024. "Groundwater Dynamics in African Endorheic Basins in Arid to Semi-Arid Transition Zones: The Batha Aquifer System, NE Chad" Water 16, no. 14: 2067. https://doi.org/10.3390/w16142067
APA StyleArrakhais, A. B., Hamit, A., Fontaine, C., Abdelfadel, F., Dinar, M., & Razack, M. (2024). Groundwater Dynamics in African Endorheic Basins in Arid to Semi-Arid Transition Zones: The Batha Aquifer System, NE Chad. Water, 16(14), 2067. https://doi.org/10.3390/w16142067

