Spatiotemporal Assessment of Water Pollution for Beira Lake, Sri Lanka
Abstract
1. Introduction
2. Materials and Methods
2.1. Study Area
2.2. Sampling Process
- In situ surface water quality monitoring
- Ex situ surface water quality analysis
2.3. Data Analysis
2.4. Index Analysis
2.4.1. Water Pollution Index
2.4.2. Trophic State Index
2.4.3. Heavy Metal Pollution Index (HPI)
2.5. Modeling of SDD Using QAA
- Estimation of IOPs
- 2.
- Estimation of Kd
- 3.
- Estimation of
- 4.
- Accuracy Assessment of the Model
3. Results and Discussion
3.1. Spatial and Temporal Distribution Characteristics of Water Quality
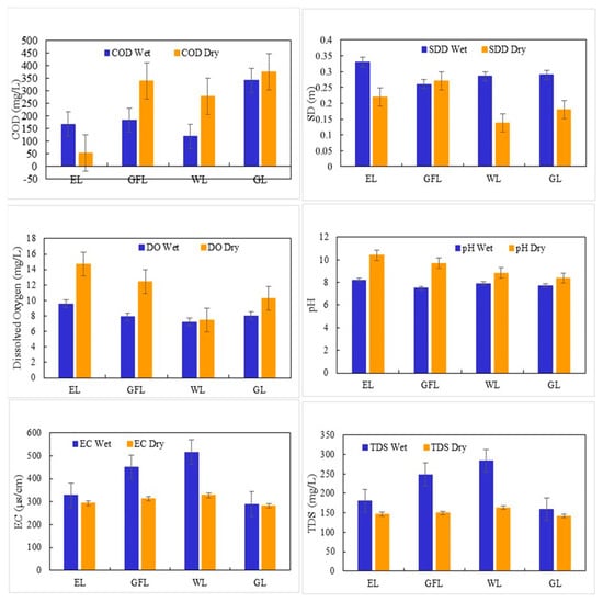
3.1.1. Key Parameters of COD, SD, DO, pH, EC, and TDS
- Chemical Oxygen Demand (COD)
- SDD
- Dissolved Oxygen (DO)
- pH
- EC and TDS
3.1.2. Spatiotemporal Variation in Nitrogen, Phosphorus, Sulphate, Chloride, and Fluoride
- TN, NH3-N, and NO3−-N
- TP, Sulphate, and Chloride
3.1.3. Spatiotemporal Variation of Heavy Metals
- Mercury (Hg)
- Chromium (Cr)
- Lead (Pb)
3.2. Water Quality Assessment Based on Index Analysis
3.2.1. Water Pollution Index (WPI)
3.2.2. Trophic State Index (TSI)
3.2.3. Heavy Metal Pollution Index (HPI)
- Principle Component Analysis between Indices
3.3. Water Quality Comparison in 2016 and 2023, Based on Remote Sensing Data
3.3.1. Changes in Water Transparency
3.3.2. Changes in Trophic State
3.3.3. Accuracy Assessment
3.4. Recommendation for Water Quality Improvement of Beira Lake
3.4.1. Comparison of Water Quality with Different Urban Lakes in Sri Lanka
3.4.2. Key Challenges of Restoring Beira Lake
3.4.3. Recommendations for Improving the Water Quality of Beira Lake
4. Conclusions
Supplementary Materials
Author Contributions
Funding
Data Availability Statement
Acknowledgments
Conflicts of Interest
References
- Tibebe, D.; Kassa, Y.; Melaku, A.; Lakew, S. Investigation of spatio-temporal variations of selected water quality parameters and trophic status of Lake Tana for sustainable management, Ethiopia. Microchem. J. 2019, 148, 374–384. [Google Scholar] [CrossRef]
- Reynaud, A.; Lanzanova, D. A Global Meta-Analysis of the Value of Ecosystem Services Provided by Lakes. Ecol. Econ. 2017, 137, 184–194. [Google Scholar] [CrossRef]
- Persson, J. Urban Lakes and Ponds BT—Encyclopedia of Lakes and Reservoirs; Bengtsson, L., Herschy, R.W., Fairbridge, R.W., Eds.; Springer: Dordrecht, The Netherlands, 2012; pp. 836–839. [Google Scholar] [CrossRef]
- Zhu, W.; Huang, L.; Sun, N.; Chen, J.; Pang, S. Landsat 8-observed water quality and its coupled environmental factors for urban scenery lakes: A case study of West Lake. Water Environ. Res. 2020, 92, 255–265. [Google Scholar] [CrossRef]
- Rahman, K.; Barua, S.; Imran, H.M. Assessment of water quality and apportionment of pollution sources of an urban lake using multivariate statistical analysis. Clean. Eng. Technol. 2021, 5, 100309. [Google Scholar] [CrossRef]
- Jia, Z.; Chang, X.; Duan, T.; Wang, X.; Wei, T.; Li, Y. Water quality responses to rainfall and surrounding land uses in urban lakes. J. Environ. Manag. 2021, 298, 113514. [Google Scholar] [CrossRef]
- Mishra, M.; Singhal, A.; Srinivas, R. Effect of urbanization on the urban lake water quality by using water quality index (WQI). Mater. Today Proc. 2023. [Google Scholar] [CrossRef]
- Yang, Y.; Xu, C.; Cao, X.; Lin, H.; Wang, J. Antibiotic resistance genes in surface water of eutrophic urban lakes are related to heavy metals, antibiotics, lake morphology and anthropic impact. Ecotoxicology 2017, 26, 831–840. [Google Scholar] [CrossRef]
- Wei, Y.; Yuanxi, L.; Yu, L.; Mingxiang, X.; Liping, Z.; Qiuliang, D. Impacts of rainfall intensity and urbanization on water environment of urban lakes. Ecohydrol. Hydrobiol. 2020, 20, 513–524. [Google Scholar] [CrossRef]
- Furtado, A.P.F.V.; de Almeida Monte-Mor, R.C.; de Aguiar do Couto, E. Evaluation of reduction of external load of total phosphorus and total suspended solids for rehabilitation of urban lakes. J. Environ. Manag. 2021, 296, 113339. [Google Scholar] [CrossRef]
- Williams, C.J.; Frost, P.C.; Morales-Williams, A.M.; Larson, J.H.; Richardson, W.B.; Chiandet, A.S.; Xenopoulos, M.A. Human activities cause distinct dissolved organic matter composition across freshwater ecosystems. Glob. Chang. Biol. 2016, 22, 613–626. [Google Scholar] [CrossRef]
- Li, J.; Cheng, H.; Zhang, G.; Qi, S.; Li, X. Polycyclic aromatic hydrocarbon (PAH) deposition to and exchange at the air-water interface of Luhu, an urban lake in Guangzhou, China. Environ. Pollut. 2009, 157, 273–279. [Google Scholar] [CrossRef]
- Xiao, Q.; Duan, H.; Qin, B.; Hu, Z.; Zhang, M.; Qi, T.; Lee, X. Eutrophication and temperature drive large variability in carbon dioxide from China’s Lake Taihu. Limnol. Oceanogr. 2022, 67, 379–391. [Google Scholar] [CrossRef]
- Zhang, L.; Xu, Y.J.; Ma, B.; Jiang, P.; Li, S. Intense methane diffusive emissions in eutrophic urban lakes, Central China. Environ. Res. 2023, 237, 117073. [Google Scholar] [CrossRef] [PubMed]
- Parray, S.Y.; Koul, B.; Shah, M.P. Comparative assessment of dominant macrophytes and limnological parameters of Dal lake and Chatlam wetlands in the Union territory of Jammu & Kashmir, India. Environ. Technol. Innov. 2021, 24, 101978. [Google Scholar] [CrossRef]
- Wang, G.; Liu, S.; Sun, S.; Xia, X. Unexpected low CO2 emission from highly disturbed urban inland waters. Environ. Res. 2023, 235, 116689. [Google Scholar] [CrossRef] [PubMed]
- Kamaladasa, A.I.; Jayatunga, Y.N.A. Trophic status of the restored South-West and non-restored East Beira Lakes. J. Natl. Sci. Found. Sri Lanka 2007, 35, 41–47. [Google Scholar] [CrossRef]
- Ananda, E.A. How to Improve the Quality and Impact of the Environmental Audits—Environmental Audit of Water Pollution in Beria Lake—Colombo Sri Lankan Experience. 2010. Available online: https://environmental-auditing.org/media/5380/wg17-545-sri-lanka-paper.pdf (accessed on 28 August 2013).
- Handapangoda, K.; Heshani, S.; Athukorala, S. Socio-economic impacts of eutrophication in Beira Lake in Colombo, Sri Lanka. In Undergraduate Research Symposium on Environmental Conservation & Management; University of Kelaniya: Kelaniya, Sri Lanka, 2015; pp. 29–30. [Google Scholar]
- Weerasinghe, V.P.A.; Handapangoda, K. Surface water quality analysis of an urban lake; East Beira, Colombo, Sri Lanka. Environ. Nanotechnol. Monit. Manag. 2019, 12, 100249. [Google Scholar] [CrossRef]
- Dharmarathna, D.; Galagedara, R.; Himanujahn, S.; Karunaratne, S.; Athapattu, B. Assessment of pollution state of Beira Lake in Sri Lanka using water quality index, trophic status, and principal component analysis. Aquat. Ecol. 2023, 58, 159–174. [Google Scholar] [CrossRef]
- Effendi, H. River Water Quality Preliminary Rapid Assessment Using Pollution Index. Procedia Environ. Sci. 2016, 33, 562–567. [Google Scholar] [CrossRef]
- Ujjania, N.C.; Dubey, M. Water quality index of estuarine environment. Curr. Sci. 2015, 108, 1430–1433. [Google Scholar]
- Chu, H.J.; He, Y.C. Remote sensing water quality inversion using sparse representation: Chlorophyll-a retrieval from Sentinel-2 MSI data. Remote Sens. Appl. Soc. Environ. 2023, 31, 101006. [Google Scholar] [CrossRef]
- Cao, X.; Zhang, J.; Meng, H.; Lai, Y.; Xu, M. Remote sensing inversion of water quality parameters in the Yellow River Delta. Ecol. Indic. 2023, 155, 110914. [Google Scholar] [CrossRef]
- Lioumbas, J.; Christodoulou, A.; Katsiapi, M.; Xanthopoulou, N.; Stournara, P.; Spahos, T.; Seretoudi, G.; Mentes, A.; Theodoridou, N. Satellite remote sensing to improve source water quality monitoring: A water utility’s perspective. Remote Sens. Appl. Soc. Environ. 2023, 32, 101042. [Google Scholar] [CrossRef]
- Charmalie, N.; Swarna, P. Trophic Status of Beira Lake. Vidyodaya J. Sci. 1997, 7, 33–42. [Google Scholar]
- Pathiratne, A.; Pathiratne, K.A.S.; De Seram, P.K.C. Assessment of biological effects of pollutants in a hyper eutrophic tropical water body, Lake Beira, Sri Lanka using multiple biomarker responses of resident fish, Nile tilapia (Oreochromis niloticus). Ecotoxicology 2010, 19, 1019–1026. [Google Scholar] [CrossRef] [PubMed]
- Perera, N.G.R.; Liyanapathirana, A. Influence of Urban Water Bodies on Microclimate and Thermal Comfort: Case Study of Beira Lake, Colombo. In Proceedings of the Faculty of Architecture International Research Symposium, Koggala, Sri Lanka, 2015; Available online: https://www.researchgate.net/publication/282364911_Influence_of_urban_water_bodies_on_microclimate_and_thermal_comfort_Case_study_of_Beira_Lake_Colombo (accessed on 2 October 2015).
- APHA. Standard Methods: For the Examination of Water and Wastewater, 23rd ed.; American Public Health Association: Washington, DC, USA, 2017. [Google Scholar] [CrossRef]
- Hossain, M.; Patra, P.K. Water pollution index—A new integrated approach to rank water quality. Ecol. Indic. 2020, 117, 106668. [Google Scholar] [CrossRef]
- Sri Lanka Standards Institution. Specification for Potable Water (First Revision)-SLS 614: 2013. 2013; Volume 2013, pp. 1–16. Available online: http://link.springer.com/10.1007/978-3-319-06563-2 (accessed on 28 August 2013).
- Government. The Gazette of the Democratic Socialist Republic of Sri Lanka; the National Environmental (Ambient Water Quality) Regulations, No. 01 of 2019; 2019; Volume PART 1-Sec, no. 26. Authority, pp. 8–9. Available online: http://documents.gov.lk/en/exgazette.php (accessed on 5 November 2019).
- Zhang, F.; Xue, B.; Cai, Y.; Xu, H.; Zou, W. Utility of Trophic State Index in lakes and reservoirs in the Chinese Eastern Plains ecoregion: The key role of water depth. Ecol. Indic. 2023, 148, 110029. [Google Scholar] [CrossRef]
- Carlson, R.E. A trophic state index for lakes. Limnol. Oceanogr. 1977, 22, 361–369. [Google Scholar] [CrossRef]
- Kratzer, C.R.; Brezonik, P.L. A carlson-type trophic state index for nitrogen in florida lakes. Water Resour. Bull. 1982, 17, 713–715. [Google Scholar] [CrossRef]
- Singha, P.; Pal, S. Influence of hydrological state on trophic state in dam induced seasonally inundated flood plain wetland. Ecohydrol. Hydrobiol. 2023, 23, 316–334. [Google Scholar] [CrossRef]
- Sheykhi, V.; Moore, F. Geochemical Characterization of Kor River Water Quality, Fars Province, Southwest Iran. Water Qual. Expo. Health 2012, 4, 25–38. [Google Scholar] [CrossRef]
- Şener, E.; Şener, Ş.; Bulut, C. Assessment of heavy metal pollution and quality in lake water and sediment by various index methods and GIS: A case study in Beyşehir Lake, Turkey. Mar. Pollut. Bull. 2023, 192, 115101. [Google Scholar] [CrossRef] [PubMed]
- WHO. Guidelines for Drinking-Water Quality, 4th ed.; World Health Orgnaization: Geneva, Switzerland, 2022. [Google Scholar]
- Somasundaram, D.; Zhang, F.; Ediriweera, S.; Wang, S.; Yin, Z.; Li, J.; Zhang, B. Patterns, trends and drivers of water transparency in sri lanka using landsat 8 observations and google earth engine. Remote Sens. 2021, 13, 2193. [Google Scholar] [CrossRef]
- Lee, Z.P.; Shang, S.; Hu, C.; Du, K.; Weidemann, A.; Hou, W.; Lin, J.; Lin, G. Secchi disk depth: A new theory and mechanistic model for underwater visibility. Remote Sens. Environ. 2015, 169, 139–149. [Google Scholar] [CrossRef]
- Lee, Z.; Hu, C.; Shang, S.; Du, K.; Lewis, M.; Arnone, R.; Brewin, R. Penetration of UV-visible solar radiation in the global oceans Insights from ocean color remote sensing. J. Geophys. Res. 2013, 118, 4241–4255. [Google Scholar] [CrossRef]
- Gordon, H.R.; Brown, O.B.; Evans, R.H.; Brown, J.W.; Smith, R.C.; Baker, K.S.; Clark, D.K. A Semianalytic Radiance Model of Ocean Color HOWARD. J. Geophys. Res. 1988, 93, 10909–10924. [Google Scholar] [CrossRef]
- Lee, Z.; Carder, K.L.; Arnone, R.A. Deriving inherent optical properties from water color: A multiband quasi-analytical algorithm for optically deep waters. Appl. Opt. 2002, 41, 5755. [Google Scholar] [CrossRef] [PubMed]
- Ramírez-Morales, D.; Pérez-Villanueva, M.E.; Chin-Pampillo, J.S.; Aguilar-Mora, P.; Arias-Mora, V.; Masís-Mora, M. Pesticide occurrence and water quality assessment from an agriculturally influenced Latin-American tropical region. Chemosphere 2021, 262, 127851. [Google Scholar] [CrossRef] [PubMed]
- Chen, X.; Wang, Y.; Cai, Z.; Zhang, M.; Ye, C. Response of the nitrogen load and its driving forces in estuarine water to dam construction in Taihu Lake, China. Environ. Sci. Pollut. Res. 2020, 27, 31458–31467. [Google Scholar] [CrossRef] [PubMed]
- Scherer, N.M.; Gibbons, H.L.; Stoops, K.B.; Muller, M. Phosphorus loading of an urban lake by bird droppings. Lake Reserv. Manag. 1995, 11, 317–327. [Google Scholar] [CrossRef]
- Dissanayake, C.B.; Niwas, J.M.; Weerasooriya, S.V.R. Heavy metal pollution of the mid-canal of Kandy: An environmental case study from Sri Lanka. Environ. Res. 1987, 42, 24–35. [Google Scholar] [CrossRef] [PubMed]
- Hemachandra, S.C.S.M.; Sewwandi, B.G.N. Application of water pollution and heavy metal pollution indices to evaluate the water quality in St. Sebastian Canal, Colombo, Sri Lanka. Environ. Nanotechnol. Monit. Manag. 2023, 20, 100790. [Google Scholar] [CrossRef]
- Kawakami, T.; Mamsl, A.; Sakamoto, M.; Tafu, M.; Honoki, H.; Serikawa, Y. Fish Die-Off and Water Quality in Kandy Lake, a World Heritage Site in Sri Lanka. J. Ecotechnol. Res. 2011, 16, 39–45. [Google Scholar] [CrossRef]












| Season | WPI | TSI | HPI | ||
|---|---|---|---|---|---|
| TSI (TN) | TSI (TP) | TSI (SD) | |||
| Dry | 2.53 ± 1.32 | 88.61 ± 17.58 | 79.41 ± 7.61 | 82.89 ± 4.11 | 38.37 ± 5.62 |
| Wet | 2.38 ± 0.92 | 99.07 ± 3.95 | 129.09 ± 2.79 | 77.64 ± 1.44 | 133.86 ± 2.55 |
| HPI | WPI | TSI-TP | TSI-TN | TSI-SDD | |
|---|---|---|---|---|---|
| HPI | 1 | ||||
| WPI | 0.0491 | 1 | |||
| TSI-TP | −0.09737 | 0.50556 | 1 | ||
| TSI-TN | −0.10311 | 0.49968 | 0.99786 | 1 | |
| TSI-SDD | −0.11893 | −0.2341 | 0.26651 | 0.26875 | 1 |
| HPI | WPI | TSI-TP | TSI-TN | TSI-SDD | |
|---|---|---|---|---|---|
| HPI | 1 | ||||
| WPI | 0.16977 | 1 | |||
| TSI-TP | −0.21585 | −0.25025 | 1 | ||
| TSI-TN | −0.04402 | 0.11843 | 0.08829 | 1 | |
| TSI-SDD | 0.0492 | 0.25124 | 0.15042 | 0.54098 | 1 |
Disclaimer/Publisher’s Note: The statements, opinions and data contained in all publications are solely those of the individual author(s) and contributor(s) and not of MDPI and/or the editor(s). MDPI and/or the editor(s) disclaim responsibility for any injury to people or property resulting from any ideas, methods, instructions or products referred to in the content. |
© 2024 by the authors. Licensee MDPI, Basel, Switzerland. This article is an open access article distributed under the terms and conditions of the Creative Commons Attribution (CC BY) license (https://creativecommons.org/licenses/by/4.0/).
Share and Cite
Prasad, S.; Wei, Y.; Chaminda, T.; Ritigala, T.; Yu, L.; Jinadasa, K.B.S.N.; Wasana, H.M.S.; Indika, S.; Yapabandara, I.; Hu, D.; et al. Spatiotemporal Assessment of Water Pollution for Beira Lake, Sri Lanka. Water 2024, 16, 1616. https://doi.org/10.3390/w16111616
Prasad S, Wei Y, Chaminda T, Ritigala T, Yu L, Jinadasa KBSN, Wasana HMS, Indika S, Yapabandara I, Hu D, et al. Spatiotemporal Assessment of Water Pollution for Beira Lake, Sri Lanka. Water. 2024; 16(11):1616. https://doi.org/10.3390/w16111616
Chicago/Turabian StylePrasad, Sangeeth, Yuansong Wei, Tushara Chaminda, Tharindu Ritigala, Lijun Yu, K. B. S. N. Jinadasa, H. M. S. Wasana, Suresh Indika, Isuru Yapabandara, Dazhou Hu, and et al. 2024. "Spatiotemporal Assessment of Water Pollution for Beira Lake, Sri Lanka" Water 16, no. 11: 1616. https://doi.org/10.3390/w16111616
APA StylePrasad, S., Wei, Y., Chaminda, T., Ritigala, T., Yu, L., Jinadasa, K. B. S. N., Wasana, H. M. S., Indika, S., Yapabandara, I., Hu, D., Makehelwala, M., Weragoda, S. K., Zhu, J., & Zhang, Z. (2024). Spatiotemporal Assessment of Water Pollution for Beira Lake, Sri Lanka. Water, 16(11), 1616. https://doi.org/10.3390/w16111616

