Optimizing Sampling Strategies for Estimating Riverine Nutrient Loads in the Yiluo River Watershed, China
Abstract
1. Introduction
2. Materials and Methods
2.1. Study Site
2.2. The Data
2.3. Method
2.4. Sampling Scenarios
2.5. Calculating Uncertainty
3. Results
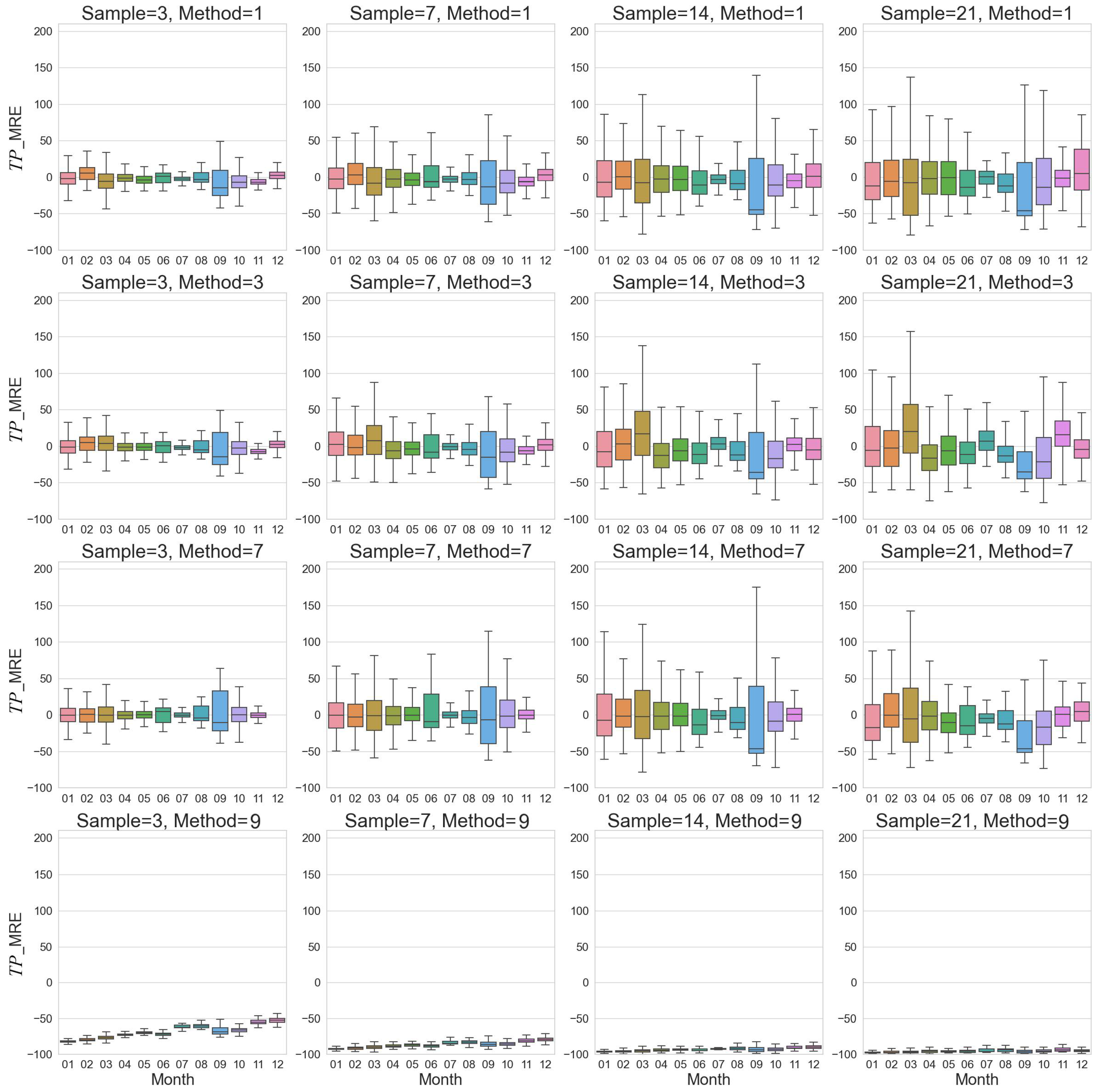
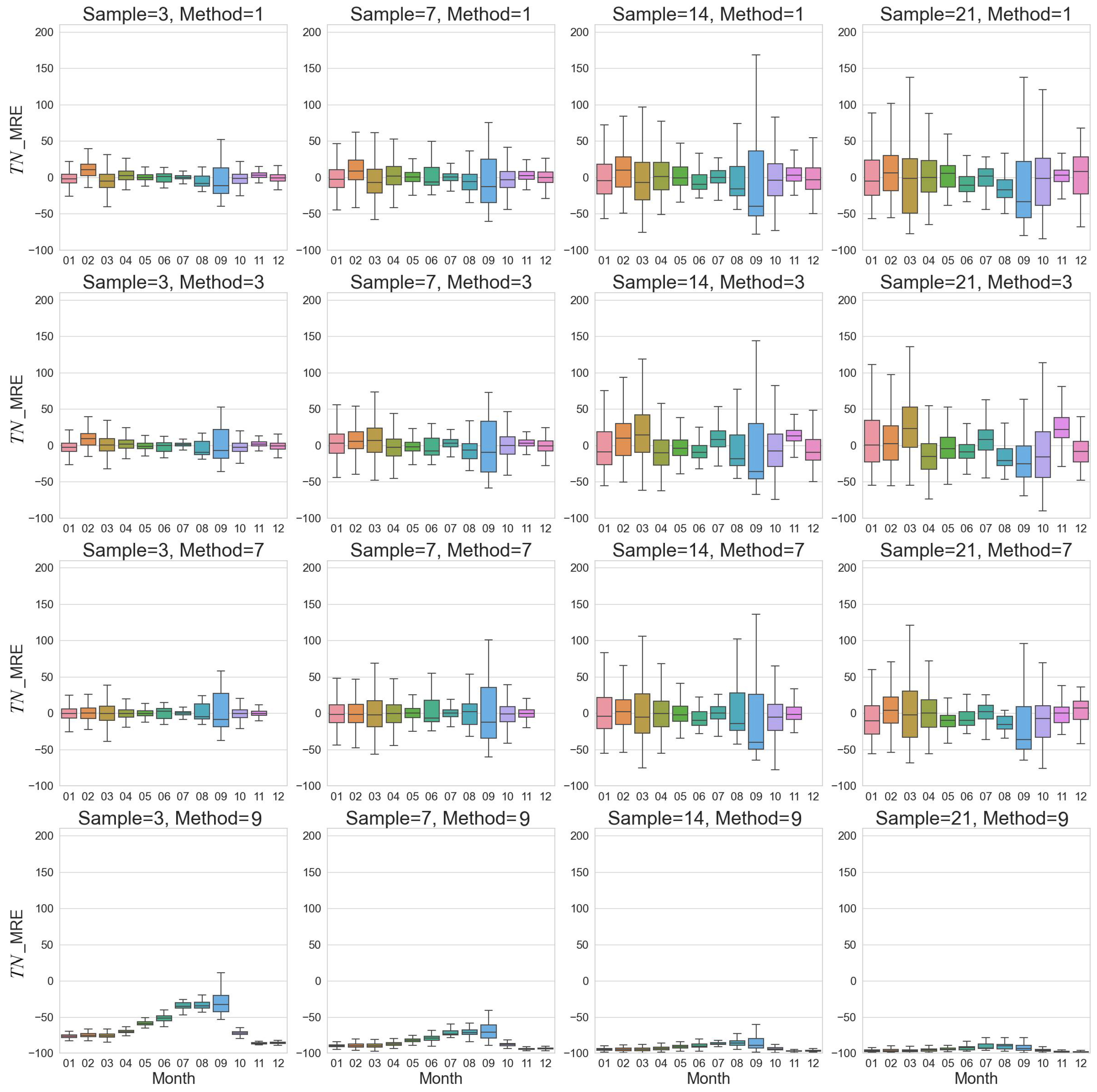
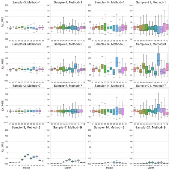
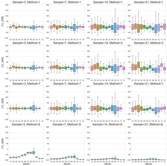
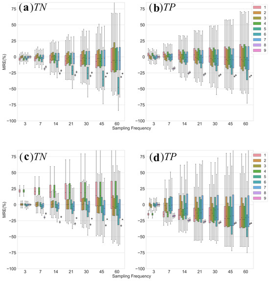
3.1. Influence of Sampling Frequency and Calculation Methods on Annual Load Estimates
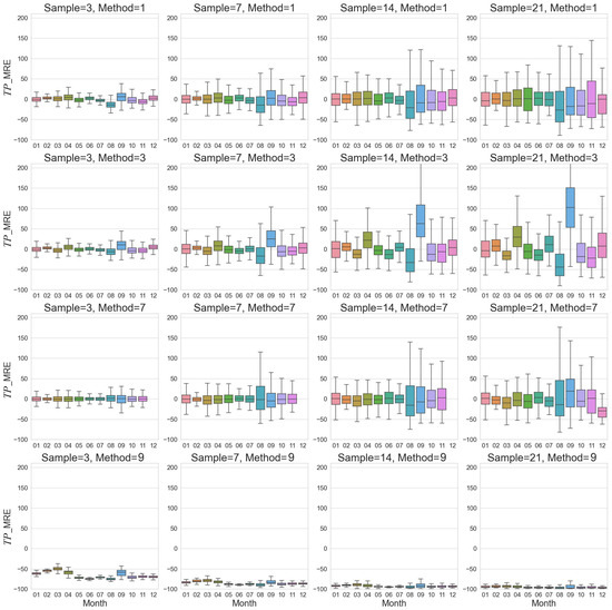
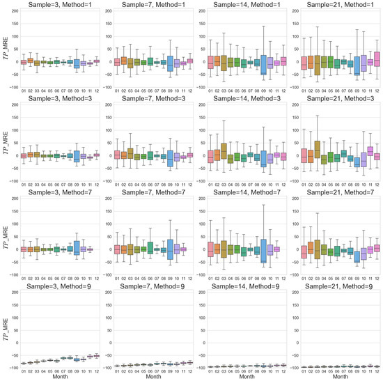
3.2. Seasonal Variations in Load Estimates Uncertainties and Potential Influencing Factors
3.3. Impacts of Extreme Events on Nutrient Export and Its Seasonal Patterns
4. Discussion
4.1. Optimal Methods for Estimating Nutrient Loads
4.2. Optimum Sampling Strategy for Load Estimation
4.3. Impact of Storm Events on Load Estimation
4.4. Selecting a Sampling Strategy to Minimize Uncertainty in Nutrient Loads
5. Conclusions
Supplementary Materials
Author Contributions
Funding
Data Availability Statement
Conflicts of Interest
References
- Van der Grift, B.; Broers, H.P.; Berendrecht, W.; Rozemeijer, J.; Osté, L.; Griffioen, J. High-Frequency Monitoring Reveals Nutrient Sources and Transport Processes in an Agriculture-Dominated Lowland Water System. Hydrol. Earth Syst. Sci. 2016, 20, 1851–1868. [Google Scholar] [CrossRef]
- Birgand, F.; Faucheux, C.; Moatar, F.; Meybeck, M. Uncertainties on Nitrate Water Quality Indicators Associated with Infrequent Sampling in Brittany, France. In Proceedings of the 2009 American Society of Agricultural and Biological Engineers(ASABE), Annual International Meeting, Reno, NV, USA, 21–24 June 2009; American Society of Agricultural and Biological Engineers: St. Joseph, MI, USA, 2009; p. 1. [Google Scholar]
- Verma, S.; Markus, M.; Cooke, R.A. Development of Error Correction Techniques for Nitrate-N Load Estimation Methods. J. Hydrol. 2012, 432, 12–25. [Google Scholar] [CrossRef]
- Liang, K.; Jiang, Y.; Meng, F.-R. Large Discrepancies on Nitrate Loading Estimates from Sparse Measurements by SWAT and Statistical Models at Catchment Scale. In Proceedings of the EGU General Assembly Conference Abstracts, Online, 19–30 April 2021; p. EGU21-10458. [Google Scholar]
- Park, D.; Um, M.-J.; Markus, M.; Jung, K.; Keefer, L.; Verma, S. Insights from an Evaluation of Nitrate Load Estimation Methods in the Midwestern United States. Sustainability 2021, 13, 7508. [Google Scholar] [CrossRef]
- Mosquin, P.L.; Aldworth, J.; Chen, W. Evaluation of the Use of Bias Factors with Water Monitoring Data. Environ. Toxicol. Chem. 2018, 37, 1864–1876. [Google Scholar] [CrossRef] [PubMed]
- Lee, C.J.; Hirsch, R.M.; Crawford, C.G. An Evaluation of Methods for Computing Annual Water-Quality Loads; U.S. Geological Survey: Reston, VA, USA, 2019. [Google Scholar]
- Li, J.; Tian, L.; Wang, Y.; Jin, S.; Li, T.; Hou, X. Optimal Sampling Strategy of Water Quality Monitoring at High Dynamic Lakes: A Remote Sensing and Spatial Simulated Annealing Integrated Approach. Sci. Total Environ. 2021, 777, 146113. [Google Scholar] [CrossRef]
- Moatar, F.; Meybeck, M. Compared Performances of Different Algorithms for Estimating Annual Nutrient Loads Discharged by the Eutrophic River Loire. Hydrol. Process. 2005, 19, 429–444. [Google Scholar] [CrossRef]
- Jiang, Y.; Frankenberger, J.R.; Bowling, L.C.; Sun, Z. Quantification of Uncertainty in Estimated Nitrate-N Loads in Agricultural Watersheds. J. Hydrol. 2014, 519, 106–116. [Google Scholar] [CrossRef]
- Williams, M.R.; King, K.W.; Macrae, M.L.; Ford, W.; Van Esbroeck, C.; Brunke, R.I.; English, M.C.; Schiff, S.L. Uncertainty in Nutrient Loads from Tile-Drained Landscapes: Effect of Sampling Frequency, Calculation Algorithm, and Compositing Strategy. J. Hydrol. 2015, 530, 306–316. [Google Scholar] [CrossRef]
- Worrall, F.; Howden, N.; Burt, T. Assessment of Sample Frequency Bias and Precision in Fluvial Flux Calculations–An Improved Low Bias Estimation Method. J. Hydrol. 2013, 503, 101–110. [Google Scholar] [CrossRef]
- Liu, X.; Dai, X.; Zhong, Y.; Li, J.; Wang, P. Analysis of Changes in the Relationship between Precipitation and Streamflow in the Yiluo River, China. Theor. Appl. Climatol. 2013, 114, 183–191. [Google Scholar] [CrossRef]
- Hou, J.; Qin, T.; Liu, S.; Wang, J.; Dong, B.; Yan, S.; Nie, H. Analysis and Prediction of Ecosystem Service Values Based on Land Use/Cover Change in the Yiluo River Basin. Sustainability 2021, 13, 6432. [Google Scholar] [CrossRef]
- Phillips, J.; Webb, B.; Walling, D.; Leeks, G. Estimating the Suspended Sediment Loads of Rivers in the LOIS Study Area Using Infrequent Samples. Hydrol. Process. 1999, 13, 1035–1050. [Google Scholar] [CrossRef]
- Birgand, F.; Faucheux, C.; Gruau, G.; Augeard, B.; Moatar, F.; Bordenave, P. Uncertainties in Assessing Annual Nitrate Loads and Concentration Indicators: Part 1. Impact of Sampling Frequency and Load Estimation Algorithms. Trans. ASABE 2010, 53, 437–446. [Google Scholar] [CrossRef]
- Cassidy, R.; Jordan, P. Limitations of Instantaneous Water Quality Sampling in Surface-Water Catchments: Comparison with near-Continuous Phosphorus Time-Series Data. J. Hydrol. 2011, 405, 182–193. [Google Scholar] [CrossRef]
- Defew, L.; May, L.; Heal, K. Uncertainties in Estimated Phosphorus Loads as a Function of Different Sampling Frequencies and Common Calculation Methods. Mar. Freshw. Res. 2013, 64, 373–386. [Google Scholar] [CrossRef]
- Quilbé, R.; Rousseau, A.N.; Duchemin, M.; Poulin, A.; Gangbazo, G.; Villeneuve, J.-P. Selecting a Calculation Method to Estimate Sediment and Nutrient Loads in Streams: Application to the Beaurivage River (Québec, Canada). J. Hydrol. 2006, 326, 295–310. [Google Scholar] [CrossRef]
- Ferguson, R. River Loads Underestimated by Rating Curves. Water Resour. Res. 1986, 22, 74–76. [Google Scholar] [CrossRef]
- Reynolds, K.N.; Loecke, T.D.; Burgin, A.J.; Davis, C.A.; Riveros-Iregui, D.; Thomas, S.A.; St. Clair, M.A.; Ward, A.S. Optimizing Sampling Strategies for Riverine Nitrate Using High-Frequency Data in Agricultural Watersheds. Environ. Sci. Technol. 2016, 50, 6406–6414. [Google Scholar] [CrossRef]
- Preston, S.D.; Bierman Jr, V.J.; Silliman, S.E. An Evaluation of Methods for the Estimation of Tributary Mass Loads. Water Resour. Res. 1989, 25, 1379–1389. [Google Scholar] [CrossRef]
- Walling, D.E.; Webb, B.W. Estimating the Discharge of Contaminants to Coastal Waters by Rivers: Some Cautionary Comments. Mar. Pollut. Bull. 1985, 16, 488–492. [Google Scholar] [CrossRef]
- Shih, G.; Abtew, W.; Obeysekera, J. Accuracy of Nutrient Runoff Load Calculations Using Time-Composite Sampling. Trans. ASAE 1994, 37, 419–429. [Google Scholar] [CrossRef]
- Littlewood, I.G. Estimating Contaminant Loads in Rivers: A Review; Institute of Hydrology: Uttarakhand, Italy, 1992. [Google Scholar]
- Richards, R.P.; Holloway, J. Monte Carlo Studies of Sampling Strategies for Estimating Tributary Loads. Water Resour. Res. 1987, 23, 1939–1948. [Google Scholar] [CrossRef]
- Harmel, R.; Cooper, R.; Slade, R.; Haney, R.; Arnold, J. Cumulative Uncertainty in Measured Streamflow and Water Quality Data for Small Watersheds. Trans. ASABE 2006, 49, 689–701. [Google Scholar] [CrossRef]
- Li, W.; Lei, Q.; Yen, H.; Zhai, L.; Hu, W.; Li, Y.; Wang, H. Investigation of watershed nutrient export affected by extreme events and the corresponding sampling frequency. J. Environ. Manag. 2019, 250, 109477. [Google Scholar] [CrossRef]
- Goswami, A.; Paul, P.K.; Rudra, R.; Goel, P.K. Evaluation of statistical models: Perspective of water quality load estimation. J. Hydrol. 2023, 616, 128721. [Google Scholar] [CrossRef]
- Iital, A.; Klõga, M.; Pihlak, M.; Pachel, K.; Zahharov, A.; Loigu, E. Nitrogen content and trends in agricultural catchments in Estonia. Agr. Ecosyst. Environ. 2014, 198, 44–53. [Google Scholar] [CrossRef]
- Rattan, K.J.; Corriveau, J.C.; Brua, R.B.; Culp, J.M.; Yates, A.G.; Chambers, P.A. Quantifying seasonal variation in total phosphorus and nitrogen from prairie streams in the Red River Basin, Manitoba Canada. Sci. Total Environ. 2017, 575, 649–659. [Google Scholar] [CrossRef]
- Elwan, A.; Singh, R.; Patterson, M.; Roygard, J.; Horne, D.; Clothier, B.; Jones, G. Influence of Sampling Frequency and Load Calculation Methods on Quantification of Annual River Nutrient and Suspended Solids Loads. Environ. Monit. Assess. 2018, 190, 78. [Google Scholar] [CrossRef]
- Kronvang, B.; Bruhn, A. Choice of Sampling Strategy and Estimation Method for Calculating Nitrogen and Phosphorus Transport in Small Lowland Streams. Hydrol. Process. 1996, 10, 1483–1501. [Google Scholar] [CrossRef]
- Jones, A.S.; Horsburgh, J.S.; Mesner, N.O.; Ryel, R.J.; Stevens, D.K. Influence of Sampling Frequency on Estimation of Annual Total Phosphorus and Total Suspended Solids Loads 1. J. Am. Water Resour. Assoc. 2012, 48, 1258–1275. [Google Scholar] [CrossRef]
- Carpenter, S.R.; Booth, E.G.; Kucharik, C.J. Extreme precipitation and phosphorus loads from two agricultural watersheds. Limnol. Oceanogr. 2018, 63, 1221–1233. [Google Scholar] [CrossRef]
- Ezzati, G.; Kyllmar, K.; Barron, J. Long-term water quality monitoring in agricultural catchments in Sweden: Impact of climatic drivers on diffuse nutrient loads. Sci. Total Environ. 2023, 864, 160978. [Google Scholar] [CrossRef]
- Lu, C.; Zhang, J.; Tian, H.; Crumpton, W.G.; Helmers, M.J.; Cai, W.J.; Hopkingson, C.S.; Lohrenz, S.E. Increased extreme precipitation challenges nitrogen load management to the Gulf of Mexico. Commun. Earth Environ. 2020, 1, 21. [Google Scholar] [CrossRef]







| Method | Algorithm | Class | Description [Reference] |
|---|---|---|---|
| M_1 | Interpolation | Means of sampled concentration multiplied by discharge [21] | |
| M_2 | Interpolation | Average of instantaneous fluxes [21] | |
| M_3 | Interpolation | Constant concentration before and after sampling [22] | |
| M_4 | Interpolation | Product of the annual flow volume by the arithmetic average of the concentration [23] | |
| M_5 | Interpolation | Product of the annual flow volume by the flow (at the time of sampling)-weighted average of the concentration [24] | |
| M_6 | Interpolation | Linear interpolation of concentrations multiplied by flow continuous flow [9] | |
| M_7 | Ratio | M_5 corrected by a factor taking into account the covariance between the instantaneous fluxes and the flow at the time of sampling, divided by the flow variance [25] | |
| M_8 | Regression | Log–log linear rating curve between concentration and flow [15,25] | |
| M_9 | . | Regression | Method M_8 corrected by a standard error of the estimate of rating curve in log10 units [15,19,20] |
Disclaimer/Publisher’s Note: The statements, opinions and data contained in all publications are solely those of the individual author(s) and contributor(s) and not of MDPI and/or the editor(s). MDPI and/or the editor(s) disclaim responsibility for any injury to people or property resulting from any ideas, methods, instructions or products referred to in the content. |
© 2024 by the authors. Licensee MDPI, Basel, Switzerland. This article is an open access article distributed under the terms and conditions of the Creative Commons Attribution (CC BY) license (https://creativecommons.org/licenses/by/4.0/).
Share and Cite
Zhang, G.; Xu, Y.; Xu, M.; Li, Z.; Qin, S. Optimizing Sampling Strategies for Estimating Riverine Nutrient Loads in the Yiluo River Watershed, China. Water 2024, 16, 1506. https://doi.org/10.3390/w16111506
Zhang G, Xu Y, Xu M, Li Z, Qin S. Optimizing Sampling Strategies for Estimating Riverine Nutrient Loads in the Yiluo River Watershed, China. Water. 2024; 16(11):1506. https://doi.org/10.3390/w16111506
Chicago/Turabian StyleZhang, Guoshuai, Yanxue Xu, Min Xu, Zhonghua Li, and Shunxing Qin. 2024. "Optimizing Sampling Strategies for Estimating Riverine Nutrient Loads in the Yiluo River Watershed, China" Water 16, no. 11: 1506. https://doi.org/10.3390/w16111506
APA StyleZhang, G., Xu, Y., Xu, M., Li, Z., & Qin, S. (2024). Optimizing Sampling Strategies for Estimating Riverine Nutrient Loads in the Yiluo River Watershed, China. Water, 16(11), 1506. https://doi.org/10.3390/w16111506

