Space-Time Variability of Drought Characteristics in Pernambuco, Brazil
Abstract
1. Introduction
2. Materials and Methods
2.1. Study Area and Dataset
2.2. Standardized Precipitation Index
2.3. Drought Assessment Indicators
2.3.1. Drought Frequency
2.3.2. Drought-Affected Area
2.3.3. Drought Intensity
2.4. Modified Mann–Kendall Test
2.5. Sen’s Slope
2.6. Inverse Distance Weighting Method
3. Results and Discussion
3.1. Drought Frequency
3.2. Drought-Affected Area
3.3. Drought Intensity
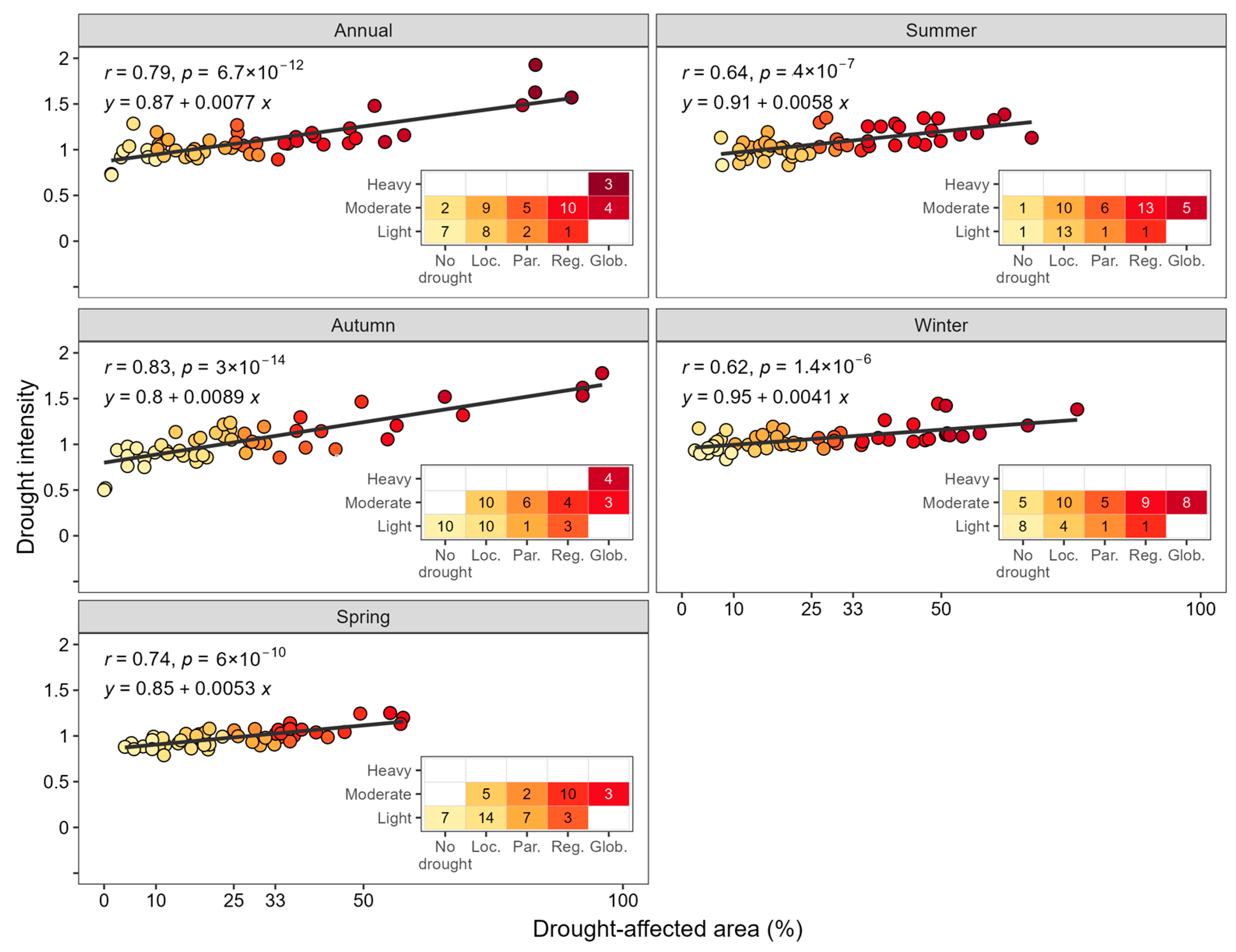
3.4. Relationship between Drought Area and Intensity
4. Conclusions
- The frequency of annual droughts in the state of Pernambuco has become more frequent since the 1990s, with summer having the greatest coverage, followed by winter, autumn, and spring. In addition, it was observed that the annual drought frequency values did not differ statistically between the Sertão, Agreste, and Zona da Mata regions, as well as in summer and spring. This shows uniformity in the increased frequency of drought throughout the state. It is worth noting that the Sertão was the region with the highest proportion of stations with a positive trend for all scales, followed by the Agreste and Zona da Mata. The highest values of magnitude (Sen‘s slope) of the annual drought frequency were observed in the west of the Sertão and the east of the Agreste. On a seasonal scale, the frequency of drought increased more rapidly in the northwest of Pernambuco during the summer and autumn; in the spring to the east of Agreste; and in the winter to the east of Sertão and the center of Agreste.
- A significant annual and seasonal upward trend was observed in the coverage and intensity of drought in the state of Pernambuco. The extent and intensity became even more prominent from the 1990s onwards, as observed in the frequency of droughts. This more widespread and intense drought occurred particularly in the years 1993, 1998, 2010, and 2012. These years are often cited in the literature as the years in which the greatest droughts occurred.
- The relationship between drought area and intensity revealed a linear trend between these characteristics, showing high values of positive correlation between the drought extent and intensity across all time scales considered, indicating that the larger the area affected by drought, the higher the intensity will be.
Author Contributions
Funding
Data Availability Statement
Acknowledgments
Conflicts of Interest
References
- Venancio, L.P.; Filgueiras, R.; Mantovani, E.C.; Amaral, C.H.; Cunha, F.F.; Santos Silva, F.C.; Althoff, D.; Santos, R.A.; Cavatte, P.C. Impact of Drought Associated with High Temperatures on Coffea Canephora Plantations: A Case Study in Espírito Santo State, Brazil. Sci. Rep. 2020, 10, 19719. [Google Scholar] [CrossRef] [PubMed]
- Wilhite, D.A. Chapter 1 Drought as a Natural Hazard: Concepts and Definitions. In Drought Mitigation Center Faculty Publications; Routledge: London, UK, 2000; pp. 3–18. [Google Scholar]
- Uwimbabazi, J.; Jing, Y.; Iyakaremye, V.; Ullah, I.; Ayugi, B. Observed Changes in Meteorological Drought Events during 1981–2020 over Rwanda, East Africa. Sustainability 2022, 14, 1519. [Google Scholar] [CrossRef]
- Douris, J.; Kim, G. Atlas of Mortality and Economic Losses from Weather, Climate and Water Extremes (1970–2019); World Meteorological Organization (WMO): Geneva, Switzerland, 2021. [Google Scholar]
- Sena, A.; Barcellos, C.; Freitas, C.; Corvalan, C. Managing the Health Impacts of Drought in Brazil. Int. J. Environ. Res. Public Health 2014, 11, 10737–10751. [Google Scholar] [CrossRef] [PubMed]
- Mekuria, T. The Effects of Flooding and Drought on Clean Water Accesibility in Ethiopia. Hydraul. Eng. Repos. Karlsr. Ger. 2022, 1, 18–21. [Google Scholar]
- Nasir, M.W.; Toth, Z. Effect of Drought Stress on Potato Production: A Review. Agronomy 2022, 12, 635. [Google Scholar] [CrossRef]
- Hanigan, I.C.; Chaston, T.B. Climate Change, Drought and Rural Suicide in New South Wales, Australia: Future Impact Scenario Projections to 2099. Int. J. Environ. Res. Public Health 2022, 19, 7855. [Google Scholar] [CrossRef] [PubMed]
- Atwoli, L.; Muhia, J.; Merali, Z. Mental Health and Climate Change in Africa. BJPsych. Int. 2022, 19, 86–89. [Google Scholar] [CrossRef]
- Contreras, D.; Voets, A.; Junghardt, J.; Bhamidipati, S.; Contreras, S. The Drivers of Child Mortality During the 2012–2016 Drought in La Guajira, Colombia. Int. J. Disaster Risk Sci. 2020, 11, 87–104. [Google Scholar] [CrossRef]
- Epstein, A.; Bendavid, E.; Nash, D.; Charlebois, E.D.; Weiser, S.D. Drought and Intimate Partner Violence towards Women in 19 Countries in Sub-Saharan Africa during 2011–2018: A Population-Based Study. PLoS Med. 2020, 17, e1003064. [Google Scholar] [CrossRef]
- Zhang, Q.; Yu, H.; Sun, P.; Singh, V.P.; Shi, P. Multisource Data Based Agricultural Drought Monitoring and Agricultural Loss in China. Glob. Planet. Chang. 2019, 172, 298–306. [Google Scholar] [CrossRef]
- Wilhite, D.A.; Sivakumar, M.V.K.; Pulwarty, R. Managing Drought Risk in a Changing Climate: The Role of National Drought Policy. Weather Clim. Extrem. 2014, 3, 4–13. [Google Scholar] [CrossRef]
- Jha, S.; Srivastava, R. Impact of Drought on Vegetation Carbon Storage in Arid and Semi-Arid Regions. Remote Sens. Appl. 2018, 11, 22–29. [Google Scholar] [CrossRef]
- Ntali, Y.M.; Lyimo, J.G. Community Livelihood Vulnerability to Drought in Semi-Arid Areas of Northern Cameroon. Discov. Sustain. 2022, 3, 22. [Google Scholar] [CrossRef]
- Wilhite, D.A.; Glantz, M.H. Understanding: The Drought Phenomenon: The Role of Definitions. Water Int. 1985, 10, 111–120. [Google Scholar] [CrossRef]
- Feng, G.; Chen, Y.; Mansaray, L.R.; Xu, H.; Shi, A.; Chen, Y. Propagation of Meteorological Drought to Agricultural and Hydrological Droughts in the Tropical Lancang–Mekong River Basin. Remote Sens. 2023, 15, 5678. [Google Scholar] [CrossRef]
- Panu, U.S.; Sharma, T.C. Challenges in Drought Research: Some Perspectives and Future Directions. Hydrol. Sci. J. 2002, 47, S19–S30. [Google Scholar] [CrossRef]
- Awchi, T.A.; Kalyana, M.M. Meteorological Drought Analysis in Northern Iraq Using SPI and GIS. Sustain. Water Resour. Manag. 2017, 3, 451–463. [Google Scholar] [CrossRef]
- Van Loon, A.F. Hydrological Drought Explained. WIREs Water 2015, 2, 359–392. [Google Scholar] [CrossRef]
- Marengo, J.A.; Alves, L.M.; Alvala, R.C.S.; Cunha, A.P.; Brito, S.; Moraes, O.L.L. Climatic Characteristics of the 2010–2016 Drought in the Semiarid Northeast Brazil Region. Acad. Bras. Cienc. 2018, 90, 1973–1985. [Google Scholar] [CrossRef]
- Marengo, J.A.; Cunha, A.P.; Soares, W.R.; Torres, R.R.; Alves, L.M.; Barros Brito, S.S.; Cuartas, L.A.; Leal, K.; Ribeiro Neto, G.; Alvalá, R.C.S.; et al. Increase Risk of Drought in the Semiarid Lands of Northeast Brazil Due to Regional Warming above 4 °C. In Climate Change Risks in Brazil; Springer International Publishing: Cham, Switzerland, 2019; pp. 181–200. [Google Scholar]
- Silvia, V.M.d.A.; Patício, M.d.C.M.; Ribeiro, V.H.; Medeiros, R.M. O Desastre Seca No Nordeste Brasileiro. Polêm! Ca 2013, 12, 284–293. [Google Scholar] [CrossRef]
- Utida, G.; Cruz, F.W.; Etourneau, J.; Bouloubassi, I.; Schefuß, E.; Vuille, M.; Novello, V.F.; Prado, L.F.; Sifeddine, A.; Klein, V.; et al. Tropical South Atlantic Influence on Northeastern Brazil Precipitation and ITCZ Displacement during the Past 2300 Years. Sci. Rep. 2019, 9, 1698. [Google Scholar] [CrossRef] [PubMed]
- Marengo, J.A.; Galdos, M.V.; Challinor, A.; Cunha, A.P.; Marin, F.R.; Vianna, M.d.S.; Alvala, R.C.S.; Alves, L.M.; Moraes, O.L.; Bender, F. Drought in Northeast Brazil: A Review of Agricultural and Policy Adaptation Options for Food Security. Clim. Resil. Sustain. 2022, 1, e17. [Google Scholar] [CrossRef]
- Marengo, J.A.; Torres, R.R.; Alves, L.M. Drought in Northeast Brazil—Past, Present, and Future. Theor. Appl. Clim. 2017, 129, 1189–1200. [Google Scholar] [CrossRef]
- Mao, Y.; Zou, Y.; Alves, L.M.; Macau, E.E.N.; Taschetto, A.S.; Santoso, A.; Kurths, J. Phase Coherence between Surrounding Oceans Enhances Precipitation Shortages in Northeast Brazil. Geophys. Res. Lett. 2022, 49, e2021GL097647. [Google Scholar] [CrossRef]
- Dikici, M. Drought Analysis with Different Indices for the Asi Basin (Turkey). Sci. Rep. 2020, 10, 20739. [Google Scholar] [CrossRef] [PubMed]
- Tsakiris, G.; Vangelis, H. Establishing a Drought Index Incorporating Evapotranspiration. Eur. Water 2005, 9, 3–11. [Google Scholar]
- Vicente-Serrano, S.M.; Beguería, S.; López-Moreno, J.I. A Multiscalar Drought Index Sensitive to Global Warming: The Standardized Precipitation Evapotranspiration Index. J. Clim. 2010, 23, 1696–1718. [Google Scholar] [CrossRef]
- Svoboda, M.D.; Fuchs, B.A. Handbook of Drought Indicators and Indices; World Meteorological Organization: Geneva, Switzerland, 2016; Volume 2, ISBN 9263111731. [Google Scholar]
- Van-Rooy, M.P. A Rainfall Anomally Index Independent of Time and Space, Notos. Weather Bur. S. Afr. 1965, 14, 43–48. [Google Scholar]
- Wu, H.; Hayes, M.J.; Weiss, A.; Hu, Q. An Evaluation of the Standardized Precipitation Index, the China-Z Index and the Statistical Z-Score. Int. J. Climatol. 2001, 21, 745–758. [Google Scholar] [CrossRef]
- Katz, R.W.; Glantz, M.H. Anatomy of a Rainfall Index. Mon. Weather Rev. 1986, 114, 764–771. [Google Scholar] [CrossRef]
- Kraus, E.B. Subtropical Droughts and Cross-Equatorial Energy Transports. Mon. Weather Rev. 1977, 105, 1009–1018. [Google Scholar] [CrossRef]
- Bhalme, H.N.; Mooley, D.A. Large-Scale Droughts/Floods and Monsoon Circulation. Mon. Weather Rev. 1980, 108, 1197–1211. [Google Scholar] [CrossRef]
- Byun, H.-R.; Wilhite, D.A. Objective Quantification of Drought Severity and Duration. J. Clim. 1999, 12, 2747–2756. [Google Scholar] [CrossRef]
- Strommen, N.D.; Motha, R.P. An Operational Early Warning Agricultural Weather System. In Planning for Drought; Routledge: London, UK, 2019; pp. 153–162. [Google Scholar]
- McKee, T.B.; Doesken, N.J.; Kleist, J. The Relationship of Drought Frequency and Duration to Time Scales. In Proceedings of the 8th Conference on Applied Climatology, Anaheim, CA, USA, 17–22 January 1993; Volume 17, pp. 179–183. [Google Scholar]
- Wang, Q.; Zhang, R.; Qi, J.; Zeng, J.; Wu, J.; Shui, W.; Wu, X.; Li, J. An Improved Daily Standardized Precipitation Index Dataset for Mainland China from 1961 to 2018. Sci. Data 2022, 9, 124. [Google Scholar] [CrossRef] [PubMed]
- Jain, V.K.; Pandey, R.P.; Jain, M.K.; Byun, H.-R. Comparison of Drought Indices for Appraisal of Drought Characteristics in the Ken River Basin. Weather Clim. Extrem. 2015, 8, 1–11. [Google Scholar] [CrossRef]
- Wu, H.; Svoboda, M.D.; Hayes, M.J.; Wilhite, D.A.; Wen, F. Appropriate Application of the Standardized Precipitation Index in Arid Locations and Dry Seasons. Int. J. Climatol. 2007, 27, 65–79. [Google Scholar] [CrossRef]
- Güner Bacanli, Ü. Trend Analysis of Precipitation and Drought in the Aegean Region, Turkey. Meteorol. Appl. 2017, 24, 239–249. [Google Scholar] [CrossRef]
- Akhtari, R.; Mahdian, M.H.; Morid, S. Assessment of Spatial Analysis of SPI and EDI Drought Indices in Tehran Province. Iran-Water Resour. Res. 2007, 2, 27–38. [Google Scholar]
- Nwayor, I.J.; Robeson, S.M. Exploring the Relationship between SPI and SPEI in a Warming World. Theor. Appl. Clim. 2024, 155, 2559–2569. [Google Scholar] [CrossRef]
- Brasil Neto, R.M.; Santos, C.A.G.; Silva, J.F.C.B.d.C.; Silva, R.M.; Santos, C.A.C.; Mishra, M. Evaluation of the TRMM Product for Monitoring Drought over Paraíba State, Northeastern Brazil: A Trend Analysis. Sci. Rep. 2021, 11, 1097. [Google Scholar] [CrossRef]
- Souza, A.; Neto, A.; Rossato, L.; Alvalá, R.; Souza, L. Use of SMOS L3 Soil Moisture Data: Validation and Drought Assessment for Pernambuco State, Northeast Brazil. Remote Sens. 2018, 10, 1314. [Google Scholar] [CrossRef]
- Inocêncio, T.d.M.; Ribeiro Neto, A.; Oertel, M.; Meza, F.J.; Scott, C.A. Linking Drought Propagation with Episodes of Climate-Induced Water Insecurity in Pernambuco State—Northeast Brazil. J. Arid. Environ. 2021, 193, 104593. [Google Scholar] [CrossRef]
- Silva, T.R.B.F.; Santos, C.A.C.d.; Silva, D.J.F.; Santos, C.A.G.; da Silva, R.M.; de Brito, J.I.B. Climate Indices-Based Analysis of Rainfall Spatiotemporal Variability in Pernambuco State, Brazil. Water 2022, 14, 2190. [Google Scholar] [CrossRef]
- Cunha, A.P.M.A.; Tomasella, J.; Ribeiro-Neto, G.G.; Brown, M.; Garcia, S.R.; Brito, S.B.; Carvalho, M.A. Changes in the Spatial–Temporal Patterns of Droughts in the Brazilian Northeast. Atmos. Sci. Lett. 2018, 19, e855. [Google Scholar] [CrossRef]
- Costa, M.d.S.; Oliveira-Júnior, J.F.d.; Santos, P.J.d.; Correia Filho, W.L.F.; Gois, G.d.; Blanco, C.J.C.; Teodoro, P.E.; Silva Junior, C.A.d.; Santiago, D.d.B.; Souza, E.d.O.; et al. Rainfall Extremes and Drought in Northeast Brazil and Its Relationship with El Niño–Southern Oscillation. Int. J. Climatol. 2021, 41, E2111–E2135. [Google Scholar] [CrossRef]
- Brito, S.S.B.; Cunha, A.P.M.A.; Cunningham, C.C.; Alvalá, R.C.; Marengo, J.A.; Carvalho, M.A. Frequency, Duration and Severity of Drought in the Semiarid Northeast Brazil Region. Int. J. Climatol. 2018, 38, 517–529. [Google Scholar] [CrossRef]
- Cunha, A.P.M.A.; Zeri, M.; Deusdará Leal, K.; Costa, L.; Cuartas, L.A.; Marengo, J.A.; Tomasella, J.; Vieira, R.M.; Barbosa, A.A.; Cunningham, C.; et al. Extreme Drought Events over Brazil from 2011 to 2019. Atmosphere 2019, 10, 642. [Google Scholar] [CrossRef]
- Bacia Hidrográfica Do Rio Goiana e Sexto Grupo de Bacias Hidrográficas de Pequenos Rios Litorâneos—GL6; Agência CONDEPE/FIDEM: Recife, Brazil, 2005.
- Galvincio, J.D.; Moura, M.S.B. Aspectos Climáticos Da Captação de Água de Chuva No Estado de Pernambuco. Rev. Geogr. 2005, 22, 100–116. [Google Scholar]
- Hayes, M.; Svoboda, M.; Wall, N.; Widhalm, M. The Lincoln Declaration on Drought Indices: Universal Meteorological Drought Index Recommended. Bull. Am. Meteorol. Soc. 2011, 92, 485–488. [Google Scholar] [CrossRef]
- Stagge, J.H.; Tallaksen, L.M.; Gudmundsson, L.; Van Loon, A.F.; Stahl, K. Candidate Distributions for Climatological Drought Indices (SPI and SPEI). Int. J. Climatol. 2015, 35, 4027–4040. [Google Scholar] [CrossRef]
- Svensson, C.; Hannaford, J.; Prosdocimi, I. Statistical Distributions for Monthly Aggregations of Precipitation and Streamflow in Drought Indicator Applications. Water Resour. Res. 2017, 53, 999–1018. [Google Scholar] [CrossRef]
- Ximenes, P.d.S.M.P.; Silva, A.S.A.; Ashkar, F.; Stosic, T. Ajuste de Distribuições de Probabilidade à Precipitação Mensal No Estado de Pernambuco—Brasil. Res. Soc. Dev. 2020, 9, e4869119894. [Google Scholar] [CrossRef]
- Ximenes, P.d.S.M.P.; Silva, A.S.A.; Ashkar, F.; Stosic, T. Best-Fit Probability Distribution Models for Monthly Rainfall of Northeastern Brazil. Water Sci. Technol. 2021, 84, 1541–1556. [Google Scholar] [CrossRef] [PubMed]
- Yan, Z.; Zhang, Y.; Zhou, Z.; Han, N. The Spatio-Temporal Variability of Droughts Using the Standardized Precipitation Index in Yunnan, China. Nat. Hazards 2017, 88, 1023–1042. [Google Scholar] [CrossRef]
- R Core Team. A Language and Environment for Statistical Computing. R Foundation for Statistical Computing; R Core Team: Vienna, Austria, 2024. [Google Scholar]
- Mann, H.B. Nonparametric Tests Against Trend. Econometrica 1945, 13, 245. [Google Scholar] [CrossRef]
- Kendall, M.G. Rank Correlation Methods; Charles Griffin & Co. Ltd.: London, UK, 1962; p. 160. [Google Scholar]
- Birsan, M.-V.; Dumitrescu, A.; Micu, D.M.; Cheval, S. Changes in Annual Temperature Extremes in the Carpathians since AD 1961. Nat. Hazards 2014, 74, 1899–1910. [Google Scholar] [CrossRef]
- von Storch, H. Misuses of Statistical Analysis in Climate Research. In Analysis of Climate Variability; Springer: Berlin/Heidelberg, Germany, 1995; pp. 11–26. [Google Scholar]
- Mullick, M.d.R.A.; Nur, R.M.; Alam, M.d.J.; Islam, K.M.A. Observed Trends in Temperature and Rainfall in Bangladesh Using Pre-Whitening Approach. Glob. Planet. Chang. 2019, 172, 104–113. [Google Scholar] [CrossRef]
- Bayazit, M.; Önöz, B. To Prewhiten or Not to Prewhiten in Trend Analysis? Hydrol. Sci. J. 2007, 52, 611–624. [Google Scholar] [CrossRef]
- Chowdhury, R.K.; Beecham, S. Australian Rainfall Trends and Their Relation to the Southern Oscillation Index. Hydrol. Process. 2009, 24, 504–514. [Google Scholar] [CrossRef]
- Douglas, E.M.; Vogel, R.M.; Kroll, C.N. Trends in Floods and Low Flows in the United States: Impact of Spatial Correlation. J. Hydrol. 2000, 240, 90–105. [Google Scholar] [CrossRef]
- Yue, S.; Pilon, P.; Phinney, B. Canadian Streamflow Trend Detection: Impacts of Serial and Cross-Correlation. Hydrol. Sci. J. 2003, 48, 51–63. [Google Scholar] [CrossRef]
- Yue, S.; Wang, C. The Mann-Kendall Test Modified by Effective Sample Size to Detect Trend in Serially Correlated Hydrological Series. Water Resour. Manag. 2004, 18, 201–218. [Google Scholar] [CrossRef]
- Bayley, G.V.; Hammersley, J.M. The “Effective” Number of Independent Observations in an Autocorrelated Time Series. Suppl. J. R. Stat. Soc. 1946, 8, 184. [Google Scholar] [CrossRef]
- Salas, J.D.; Delleur, J.W.; Yevjevich, V.; Lane, W.L. Applied Modeling of Hydrologic Time Series; Water Resources Publications: Littleton, CO, USA, 1980. [Google Scholar]
- Swain, S.; Mishra, S.K.; Pandey, A.; Dayal, D. Spatiotemporal Assessment of Precipitation Variability, Seasonality, and Extreme Characteristics over a Himalayan Catchment. Theor. Appl. Clim. 2022, 147, 817–833. [Google Scholar] [CrossRef]
- Araújo, L.S.; Silva, A.S.A.; Menezes, R.S.C.; Stosic, B.; Stosic, T. Analysis of Rainfall Seasonality in Pernambuco, Brazil. Theor. Appl. Clim. 2023, 153, 137–154. [Google Scholar] [CrossRef]
- Stosic, T.; Tošić, M.; Lazić, I.; Silva Araújo, L.; Silva, A.S.A.; Putniković, S.; Djurdjević, V.; Tošić, I.; Stosic, B. Changes in Rainfall Seasonality in Serbia from 1961 to 2020. Theor. Appl. Clim. 2024, 155, 4123–4138. [Google Scholar] [CrossRef]
- Sen, P.K. Estimates of the Regression Coefficient Based on Kendall’s Tau. J. Am. Stat. Assoc. 1968, 63, 1379–1389. [Google Scholar] [CrossRef]
- Patakamuri, S.K.; O’Brien, N. Modified Versions of Mann Kendall and Spearman’s rho Trend Tests. R Package Version 1.6. 2023. Available online: https://CRAN.R-project.org/package=modifiedmk (accessed on 15 November 2023).
- Shepard, D. A Two-Dimensional Interpolation Function for Irregularly-Spaced Data. In Proceedings of the 1968 23rd ACM National Conference, New York, NY, USA, 27–29 August 1968; ACM Press: New York, NY, USA; pp. 517–524. [Google Scholar]
- Silva, A.S.A.; Stosic, B.; Menezes, R.S.C.; Singh, V.P. Comparison of Interpolation Methods for Spatial Distribution of Monthly Precipitation in the State of Pernambuco, Brazil. J. Hydrol. Eng. 2019, 24, 04018068. [Google Scholar] [CrossRef]
- Sobjak, R.; Souza, E.G.; Bazzi, C.L.; Opazo, M.A.U.; Mercante, E.; Aikes Junior, J. Process Improvement of Selecting the Best Interpolator and Its Parameters to Create Thematic Maps. Precis. Agric. 2023, 24, 1461–1496. [Google Scholar] [CrossRef]
- Robinson, T.P.; Metternicht, G. Testing the Performance of Spatial Interpolation Techniques for Mapping Soil Properties. Comput. Electron. Agric. 2006, 50, 97–108. [Google Scholar] [CrossRef]
- Tiwari, S.; Kumar Jha, S.; Sivakumar, B. Reconstruction of Daily Rainfall Data Using the Concepts of Networks: Accounting for Spatial Connections in Neighborhood Selection. J. Hydrol. 2019, 579, 124185. [Google Scholar] [CrossRef]
- Chutsagulprom, N.; Chaisee, K.; Wongsaijai, B.; Inkeaw, P.; Oonariya, C. Spatial Interpolation Methods for Estimating Monthly Rainfall Distribution in Thailand. Theor. Appl. Clim. 2022, 148, 317–328. [Google Scholar] [CrossRef]
- Cressie, N.A.C. Statistics for Spatial Data; John Wiley & Sons, Inc: Hoboken, NJ, USA, 1993; ISBN 9780471002550. [Google Scholar]
- Wikle, C.K.; Zammit-Mangion, A.; Cressie, N. Spatio-Temporal Statistics with R, 1st ed.; Chapman & Hall/CRC: Boca Raton, FL, USA, 2019; Volume 1. [Google Scholar]
- Gräler, B.; Pebesma, E.; Heuvelink, G. Spatio-Temporal Interpolation Using Gstat. R J. 2016, 8, 204–218. [Google Scholar] [CrossRef]
- Pebesma, E.J. Multivariable Geostatistics in S: The Gstat Package. Comput. Geosci. 2004, 30, 683–691. [Google Scholar] [CrossRef]
- Bivand, R.; Ono, H.; Dunlap, R.; Stigler, M. ClassInt: Choose Univariate Class Intervals. R Package Version 0.1–21. 2013. Available online: http://CRAN.R-project.org/package=classInt (accessed on 15 November 2023).
- Mann, H.B.; Whitney, D.R. On a Test of Whether One of Two Random Variables Is Stochastically Larger than the Other. Ann. Math. Stat. 1947, 18, 50–60. [Google Scholar] [CrossRef]
- Assis, J.M.O.; Sobral, M.d.C.M.; Souza, W.M. Análise de Detecção de Variabilidades Climáticas Com Base Na Precipitação Nas Bacias Hidrográficas Do Sertão de Pernambuco. Rev. Bras. Geogr. Fís. 2012, 5, 630–645. [Google Scholar] [CrossRef]
- Silva, F.J.B.C.; Azevedo, J.R.G. Temporal Trend of Drought and Aridity Indices in Semi-Arid Pernambucano to Determine Susceptibility to Desertification. Braz. J. Water Resour. 2020, 25, e32. [Google Scholar] [CrossRef]
- Rao, V.B.; Hada, K.; Herdies, D.L. On the Severe Drought of 1993 in North-east Brazil. Int. J. Climatol. 1995, 15, 697–704. [Google Scholar] [CrossRef]
- Carmo, M.V.N.S.; Lima, C.H.R. Caracterização Espaço-Temporal Das Secas No Nordeste a Partir Da Análise Do Índice SPI. Rev. Bras. Meteorol. 2020, 35, 233–242. [Google Scholar] [CrossRef]
- Wang, Q.; Wu, J.; Lei, T.; He, B.; Wu, Z.; Liu, M.; Mo, X.; Geng, G.; Li, X.; Zhou, H.; et al. Temporal-Spatial Characteristics of Severe Drought Events and Their Impact on Agriculture on a Global Scale. Quat. Int. 2014, 349, 10–21. [Google Scholar] [CrossRef]
- Silva, A.S.A.; Menezes, R.S.C.; Telesca, L.; Stosic, B.; Stosic, T. Fisher Shannon Analysis of Drought/Wetness Episodes along a Rainfall Gradient in Northeast Brazil. Int. J. Climatol. 2021, 41, E2097–E2110. [Google Scholar] [CrossRef]
- Silva, A.S.A.; Filho, M.C.; Menezes, R.S.C.; Stosic, T.; Stosic, B. Trends and Persistence of Dry–Wet Conditions in Northeast Brazil. Atmosphere 2020, 11, 1134. [Google Scholar] [CrossRef]
- Silva, A.R.; Santos, T.S.; Queiroz, D.É.; Gusmão, M.O.; Silva, T.G.F. Variações No Índice de Anomalia de Chuva No Semiárido. J. Environ. Anal. Prog. 2017, 2, 377–384. [Google Scholar] [CrossRef]
- Duarte, C.C.; Nóbrega, R.S.; Coutinho, R.Q. Análise Climatológica e Dos Eventos Extremos de Chuva No Município Do Ipojuca, Pernambuco. Rev. Geogr. (UFPE) 2015, 32, 158–176. [Google Scholar]
- Hinkle, D.E.; Wiersma, W.; Jurs, S.G. Applied Statistics for the Behavioral Sciences; Houghton Mifflin: Boston, MA, USA, 2003; Volume 663. [Google Scholar]
- Regoto, P.; Dereczynski, C.; Chou, S.C.; Bazzanela, A.C. Observed Changes in Air Temperature and Precipitation Extremes over Brazil. Int. J. Climatol. 2021, 41, 5125–5142. [Google Scholar] [CrossRef]














| Coverage Class of Dry Area | |
|---|---|
| [0, 10%) | No apparent drought |
| [10%, 25%) | Local |
| [25%, 33%) | Partial |
| [33%, 50%) | Regional |
| [50%, 100%] | Global |
| Drought Intensity Class | |
|---|---|
| [0.5, 1) | Light drought |
| [1, 1.5) | Moderate drought |
| [1.5, 2) | Heavy drought |
| [2, +∞) | Extreme drought |
| Scales | Modified Mann–Kendall Test | |||
|---|---|---|---|---|
| Sen Slope | Result | |||
| Annual | 8.90 | 5.66 × 10−19 (****) | 0.67 | Positive Trend |
| Summer | 6.15 | 7.61 × 10−10 (****) | 0.36 | Positive Trend |
| Autumn | 5.47 | 4.45 × 10−8 (****) | 0.54 | Positive Trend |
| Spring | 5.76 | 8.21 × 10−9 (****) | 0.41 | Positive Trend |
| Winter | 9.00 | 2.17 × 10−19 (****) | 0.58 | Positive Trend |
| Scales | Modified Mann–Kendall Test | |||
|---|---|---|---|---|
| Sen Slope | Result | |||
| Annual | 3.38 | 7.17 × 10−4 (***) | 3.35 × 10−3 | Positive Trend |
| Summer | 4.75 | 1.99 × 10−6 (****) | 2.81 × 10−3 | Positive Trend |
| Autumn | 3.51 | 4.49 × 10−4 (***) | 3.71 × 10−3 | Positive Trend |
| Spring | 3.16 | 1.59 × 10−3 (**) | 2.26 × 10−3 | Positive Trend |
| Winter | 3.12 | 1.79 × 10−3 (**) | 2.18 × 10−3 | Positive Trend |
Disclaimer/Publisher’s Note: The statements, opinions and data contained in all publications are solely those of the individual author(s) and contributor(s) and not of MDPI and/or the editor(s). MDPI and/or the editor(s) disclaim responsibility for any injury to people or property resulting from any ideas, methods, instructions or products referred to in the content. |
© 2024 by the authors. Licensee MDPI, Basel, Switzerland. This article is an open access article distributed under the terms and conditions of the Creative Commons Attribution (CC BY) license (https://creativecommons.org/licenses/by/4.0/).
Share and Cite
da Silva Júnior, I.B.; da Silva Araújo, L.; Stosic, T.; Menezes, R.S.C.; da Silva, A.S.A. Space-Time Variability of Drought Characteristics in Pernambuco, Brazil. Water 2024, 16, 1490. https://doi.org/10.3390/w16111490
da Silva Júnior IB, da Silva Araújo L, Stosic T, Menezes RSC, da Silva ASA. Space-Time Variability of Drought Characteristics in Pernambuco, Brazil. Water. 2024; 16(11):1490. https://doi.org/10.3390/w16111490
Chicago/Turabian Styleda Silva Júnior, Ivanildo Batista, Lidiane da Silva Araújo, Tatijana Stosic, Rômulo Simões Cezar Menezes, and Antonio Samuel Alves da Silva. 2024. "Space-Time Variability of Drought Characteristics in Pernambuco, Brazil" Water 16, no. 11: 1490. https://doi.org/10.3390/w16111490
APA Styleda Silva Júnior, I. B., da Silva Araújo, L., Stosic, T., Menezes, R. S. C., & da Silva, A. S. A. (2024). Space-Time Variability of Drought Characteristics in Pernambuco, Brazil. Water, 16(11), 1490. https://doi.org/10.3390/w16111490

