Optimizing Bioethanol (C2H5OH) Yield of Sweet Sorghum Varieties in a Semi-Arid Environment: The Impact of Deheading and Deficit Irrigation
Abstract
1. Introduction
2. Materials and Methods
2.1. Experimental Site and Climate Condition
2.2. Irrigation Water Characteristics and Applications
2.3. Crop Material, Planting, Deheading, and Chemical Fertilizer Application
2.4. Harvest, Yield, and Their Components
2.5. Varietal Tolerance
2.6. Experimental Design and Statistical Analysis
3. Results
3.1. Deficit Applications Effect on Sweet Sorghum
3.2. Varieties’ Effects
3.3. Deheading Time Effect on Sweet Sorghum
3.4. Sweet Sorghum Drought Tolerance and Crop Water Productivity
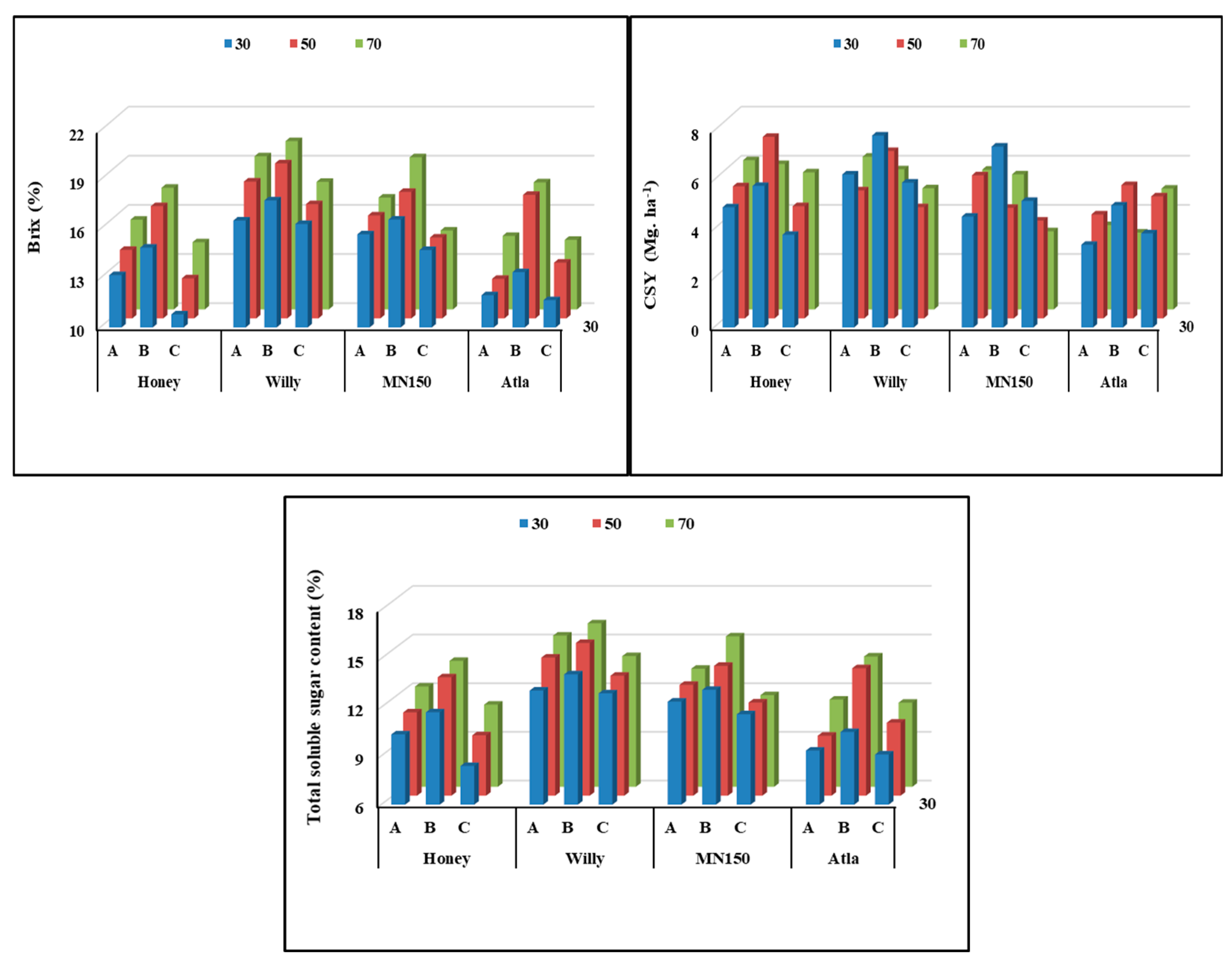
3.5. Water Deficit Levels, Cultivated Varieties, and Deheading Time Interactions Effect
4. Discussion
5. Conclusions
Author Contributions
Funding
Data Availability Statement
Conflicts of Interest
References
- RFA, Renewable Fuels Association. Fuel Ethanol Industry Guidelines, Specifications and Procedures. Available online: https://d35t1syewk4d42.cloudfront.net/file/1989/Fuel-Ethanol-Industry-Guidelines-Specifications-2018.pdf (accessed on 4 July 2020).
- Almodares, A.; Hadi, M.R. Production of bioethanol from sweet sorghum: A review. Afr. J. Agric. Res. 2009, 4, 772–780. [Google Scholar]
- Flach, A.; Lieberz, B.; Rossetti, S. EU Biofuels Annual, Global Agricultural Information Network; USDA Foreign Agricultural Service: Washington, DC, USA, 2017.
- Davila-Gomez, F.J.; Chuck-Hernandez, C.; Perez-Carrillo, E.; Rooney, W.L.; Serna-Saldivar, S.O. Evaluation of bioethanol production from five different varieties of sweet and forage sorghums (Sorghum bicolor (L.) Moench). Ind. Crop. Prod. 2011, 33, 611–616. [Google Scholar] [CrossRef]
- Smith, G.A.; Buxton, D.R. Temperate zone sweet sorghum ethanol production potential. Bioresour. Technol. 1993, 43, 71–75. [Google Scholar] [CrossRef]
- Regassa, T.H.; Wortmann, C.S. Sweet sorghum as a bioenergy crop: Literature review. Biomass Bioenergy 2014, 64, 348–355. [Google Scholar] [CrossRef]
- Hills, F.; Lewellen, R.; Skoyen, I. Sweet sorghum cultivars for alcohol production. Calif. Agric. 1990, 44, 14–16. [Google Scholar] [CrossRef]
- Li, H.; Han, X.; Liu, H.; Hao, J.; Jiang, W.; Li, S. Silage Fermentation on Sweet Sorghum Whole Plant for Fen-Flavor Baijiu. Foods 2021, 10, 1477. [Google Scholar] [CrossRef] [PubMed]
- Luhnow, D.; Samor, G. As Brazil Fills Up on Ethanol, It Weans Off Energy Imports. Wall Street Journal, 9 January 2006. Available online: https://www.wsj.com/articles/SB113676947533241219 (accessed on 5 October 2020).
- Ekefre, D.E.; Mahapatra, A.K.; Latimore, M., Jr.; Bellmer, D.D.; Jena, U.; Whitehead, G.J.; Williams, A.L. Evaluation of three cultivars of sweet sorghum as feedstocks for ethanol production in the Southeast United States. Heliyon 2017, 3, e00490. [Google Scholar] [CrossRef] [PubMed]
- Vermerris, W.; Rainbolt, C.; Wright, D.; Newman, Y. Production of Biofuel Crops in Florida: Sweet Sorghum. Available online: http://edis.ifas.ufl.edu;2007 (accessed on 1 August 2019).
- Ahmad Dar, R.; Ahmad Dar, E.; Kaura, A.; Gupta Phutelac, U. Sweet sorghum—A promising alternative feedstock for biofuel production. Renew. Sust. Energ. Rev. 2018, 82, 4070–4090. [Google Scholar] [CrossRef]
- Perrier, L.; Rouan, L.; Jaffuel, S.; Clément-Vidal, A.; Roques, S.; Soutiras, A.; Baptiste, C.; Bastianelli, D.; Fabre, D.; Dubois, C.; et al. Plasticity of sorghum stem biomass accumulation in response to water deficit: A multiscale analysis from internode tissue to plant level. Front. Plant Sci. 2017, 8, 1516. [Google Scholar] [CrossRef]
- Borrell, A.K.; Mullet, J.E.; George-Jaeggli, B.; van Oosterom, E.J.; Hammer, G.L.; Klein, P.E.; Jordan, D.R. Drought adaptation of stay-green sorghum is associated with canopy development, leaf anatomy, root growth, and water uptake. J. Exp. Bot. 2014, 65, 6251–6263. [Google Scholar] [CrossRef]
- Fuhrer, J. Agroecosystem responses to combinations of elevated CO2, ozone, and global climate change. Agric. Eco. Environ. 2003, 97, 1–20. [Google Scholar]
- Almodares, A.; Sepahi, A. Comparison among sweet sorghum cultivars, lines and hybrids for sugar production. Ann. Plant Physiol. 1996, 10, 50–55. [Google Scholar]
- Almodares, A.; Sepahi, A.; Dalilitajary, H.; Gavami, R. Effect of phenological stages on biomass and carbohydrate contents of sweet sorghum cultivars. Ann. Plant Physiol. 1994, 8, 42–48. [Google Scholar]
- Reddy, B.V.S.; Ramesh, S.; Reddy, P.S.; Ramaiah, B.; Salimath, P.M.; Kachapur, R. Sweet Sorghum—A Potential Alternate Raw Material for Bio-ethanol and Bio-energy. Int. Sorghum Millets Newsl. 2005, 46, 79–86. [Google Scholar]
- Almodares, A.; Hadi, M.R.; Ahmadpour, H. Sorghum stem yield and soluble cabohdrates under phonological stages and salinity levels. Afr. J. Biotech. 2008, 7, 4051–4055. [Google Scholar]
- Dercas, N.; Liakatas, A. Water and radiation effect on sweet sorghum productivity. Water Resour. Manag. 2007, 21, 1585–1600. [Google Scholar] [CrossRef]
- Mastrorilli, M.; Katergji, N.; Rana, G. Water efficiency and stress on grain sorghum at different reproductive stages. Agric. Water Manag. 1995, 28, 23–34. [Google Scholar] [CrossRef]
- Garofalo, P.; Rinaldi, M. Water- use efficiency of irrigated biomass sorghum in a Mediterranean environment. Span. J. Agric. Res. 2013, 11, 1153–1169. [Google Scholar] [CrossRef]
- Cotton, C.; Burrow, G.; Acosta-Martinez, V.; Moore-Kucera, J. Biomass and Cellulosic ethanol production of forage sorghum under limited water conditions. Bioenergy Res. 2013, 6, 711–718. [Google Scholar] [CrossRef]
- Campi, P.; Navarro, A.; Palumbo, A.D.; Solimando, M.; Lonigro, A.; Mastrorilli, M. Productivity of energy sorghum irrigated with reclaimed wastewaters. Ital. J. Agron. 2014, 9, 115–119. [Google Scholar] [CrossRef]
- Aydinsakir, K.; Erdurmus, C. Influence of different drip irrigation methods and irrigation levels on sweet sorghum. Fresenius Environ. Bull. 2021, 30, 1465–1475. [Google Scholar]
- Jensen, J.K.; Wilkerson, C.G. Brachypodium as an experimental system for the study of stem parenchyma biology in grasses. PLoS ONE 2017, 12, e0173095. [Google Scholar] [CrossRef] [PubMed]
- Jebril, J.; Wang, D.; Rozeboom, K.; Tesso, T. Grain sink removal increases stalk juice yield, sugar accumulation, and biomass in sweet sorghum [Sorghum bicolor (L.) Moench]. Ind. Crop. Prod. 2021, 173, 114089. [Google Scholar] [CrossRef]
- Cai, H.; Dunn, J.B.; Wang, Z.; Han, J.; Wang, M.Q. Life-cycle energy use and greenhouse gas emissions of production of bioethanol from sorghum in the United States. Biotechnol. Biofuels 2013, 6, 141. [Google Scholar] [CrossRef] [PubMed]
- Mathur, S.; Umakanth, A.V.; Tonapi, V.A.; Sharma, R.; Sharma, M.K. Sweet sorghum as biofuel feedstock: Recent advances and available resources. Biotechnol. Biofuels 2017, 10, 146. [Google Scholar] [CrossRef] [PubMed]
- Zhang, C.X.; Xie, G.D.; Li, S.M.; Ge, L.Q.; He, T.T. The productive potentials of sweet sorghum ethanol in China. Appl. Energy 2010, 87, 2360–2368. [Google Scholar] [CrossRef]
- Yu, M.; Li, J.; Li, S.; Du, R.; Jiang, Y.; Fan, G.; Zhao, G.; Chang, S. A cost-effective integrated process to convert solid-state fermented sweet sorghum bagasse into cellulosic ethanol. Appl. Energy 2014, 115, 331–336. [Google Scholar] [CrossRef]
- Blaney, H.F.; Criddle, W.D. Determining Consumptive Use and Irrigation Water Requirements; USDA Technical Bulletin 1275; U.S. Department of Agriculture: Beltsville, MD, USA, 1962; p. 59.
- Jensen, M.E. Design and Operation of Farm Irrigation System; ASAE: St. Joseph, MI, USA, 1983; p. 82. [Google Scholar]
- Wortmann, C.S.; Liska, A.J.; Ferguson, R.B.; Lyon, D.J.; Klein, R.N.; Dweikat, I. Dry land performance of sweet sorghum and grain crops for biofuel in Nebraska. Agron. J. 2010, 102, 319–326. [Google Scholar] [CrossRef]
- Rutto, L.; Xu, Y.; Brandt, M.; Ren, S.; Kering, M. Juice, Ethanol, and Grain Yield Potential of Five Sweet Sorghum (Sorghum bicolor [L.] Moench) Cultivars. J. Sustain. Bioenergy Syst. 2013, 3, 113–118. [Google Scholar] [CrossRef]
- Teetor, V.H.; Duclos, D.V.; Wittenberg, E.T.; Young, K.M.; Chawhuaymak, J.; Riley, M.R.; Ray, D.T. Effects of planting date on sugar and ethanol yield of sweet sorghum grown in Arizona. Ind. Crop. Prod. 2011, 34, 1293–1300. [Google Scholar] [CrossRef]
- Liu, R.; Li, J.; Shen, F. Refining bioethanol from stalk juice of sweet sorghum by immobilized yeast fermentation. Renew. Energy 2008, 33, 1130–1135. [Google Scholar] [CrossRef]
- Fernandez, G.C.J. Effective selection criteria for assessing plant stress tolerance. In Proceedings of the International Symposium on Adaptation of Vegetables and Other Food Crops in Temperature and Water Stress, Tainan, Taiwan, 13–18 August 1992. [Google Scholar] [CrossRef]
- Hesadi, P.; Taleghian, D.F.; Shiranirad, A.; Daneshian, J.; Jalilyan, A. Selection for drought tolerance in sugar beet genotypes (Beta vulgaris L.). Biol. Forum 2015, 7, 1189–1204. [Google Scholar]
- Snedecor, G.V.; Cochran, W.G. Statistical Methods, 6th ed.; Iowa State University Digital Press: Amess, IA, USA, 1967; Available online: https://www.scirp.org/(S(i43dyn45teexjx455qlt3d2q))/reference/ReferencesPapers.aspx?ReferenceID=653663 (accessed on 20 June 2022).
- Steel, R.G.; Torrie, H.H. Principles and Procedures of Statistics, 2nd ed.; McGraw Hill: New York, NY, USA, 1980; Available online: https://www.scirp.org/(S(i43dyn45teexjx455qlt3d2q))/reference/ReferencesPapers.aspx?ReferenceID=383208 (accessed on 18 May 2021).
- Mstat, C. Users Guide: A Microcomputer Program for the Design, Management and Analysis of Agronomic Research Experiments. Michigan University: East Lousing, MI, USA, 1989. [Google Scholar]
- Bellmer, D.D.; Huhnke, R.L.; Whitele, R.; Godsey, C. The untapped potential of sweet sorghum as a bioenergy feedstock. Biofuels 2010, 4, 563–573. [Google Scholar] [CrossRef]
- Ellet, B.; Harrison, M.D.; O’Hara, I.M. Chapter 2: Sweet sorghum field trials. In Sweet Sorghum: Opportunities for a New, Renewable Fuel and Food Industry in Australia; Publisher Rural Industries Research and Development Corporation: Kingston, Australia, 2013; pp. 18–36. [Google Scholar]
- Akman, H.; Zhang, C.; Ejeta, G. Physio-morphological, biochemical, and anatomical traits of drought-tolerant and susceptible sorghum cultivars under pre and post anthesis drought. Physiol. Plant. 2021, 172, 912–921. [Google Scholar] [CrossRef] [PubMed]
- Almodares, A.; Mostafafi, D.S.M. Effects of planting date and time of nitrogen application on yield and sugar content of sweet sorghum. J. Environ. Biol. 2006, 27, 601–605. [Google Scholar] [PubMed]
- Zhao, Y.L.; Dolat, A.; Steinberger, Y.; Wang, X.; Osman, A.; Xie, G.H. Biomass yield and changes in chemical composition of sweet sorghum cultivars grown for biofuel. Field Crop Res. 2009, 111, 55–64. [Google Scholar] [CrossRef]
- Rajendran, C.; Ramamoorthy, K.; Backiyarani, S. Effect of deheading on juice quality characteristics and sugar yield of sweet sorghum. J. Agron. Crop Sci. 2000, 185, 23–26. [Google Scholar] [CrossRef]
- Kering, M.K.; Temu, V.W.; Rutto, L.K. Nitrogen fertilizer and panicle removal in sweet sorghum production: Effect on biomass, juice yield and soluble sugar content. J. Sustain. Bioenergy Syst. 2017, 07, 14–26. [Google Scholar] [CrossRef][Green Version]
- Xie, T.; Su, P.; Shan, L. Photosynthetic characteristics and water use efficiency of sweet sorghum under different watering regimes. Pak. J. Bot. 2010, 42, 3981–3994. [Google Scholar]
- Zegada-Lizarazu, W.; Monti, A. Are we ready to cultivate sweet sorghum as a bioenergy feedstock? A review on field management practices, Biomass Bioenergy 2012, 40, 1–12. [Google Scholar] [CrossRef]
- Mastrorilli, M.; Katerji, N.; Rana, G. Productivity and water use efficiency of sweet sorghum as affected by soil water deficit occurring at different vegetative growth stages. Eur. J. Agron. 1999, 11, 207–215. [Google Scholar] [CrossRef]








| Water Deficit | Plant Fresh Weight (g) | No. of Leaves | No. of Nodes | Stalk Fresh Weight (g) | Stalk Height (cm) | |||||
|---|---|---|---|---|---|---|---|---|---|---|
| 1st Season | 2nd Season | 1st Season | 2nd Season | 1st Season | 2nd Season | 1st Season | 2nd Season | 1st Season | 2nd Season | |
| 30% | 935.5 a | 951.0 a | 18 a | 17 a | 17 a | 16 a | 720.6 a | 738.1 a | 230.9 a | 234.1 a |
| 50% | 872.8 b | 902.7 b | 16 b | 16 b | 15 b | 15 b | 649.6 b | 649.0 b | 202.1 b | 215.7 b |
| 70% | 767.6 c | 789.3 c | 15 c | 14 c | 14 c | 13 c | 591.8 c | 601.2 c | 184.6 c | 186.4 c |
| L.S.D. | 33.1 | 48.1 | 1 | 1 | 1 | 1 | 25.8 | 26.4 | 7.5 | 8.0 |
| Water Deficit | Brix (%) | Total Soluble Sugar Content (%) | Stalk Dry Yield (Mg ha−1) | Stalk Fresh Yield (Mg ha−1) | ||||
|---|---|---|---|---|---|---|---|---|
| 1st Season | 2nd Season | 1st Season | 2nd Season | 1st Season | 2nd Season | 1st Season | 2nd Season | |
| 30% | 14.46 c | 14.39 c | 11.36 c | 11.30 c | 71.90 a | 72.64 a | 120.33 a | 123.26 a |
| 50% | 15.89 b | 15.67 b | 12.51 b | 12.34 b | 64.28 b | 61.52 b | 108.49 b | 108.38 b |
| 70% | 16.82 a | 17.04 a | 13.27 a | 13.45 a | 58.84 c | 60.07 c | 98.83 c | 100.40 c |
| L.S.D. | 0.35 | 0.48 | 0.28 | 0.25 | 4.10 | 3.97 | 4.30 | 6.31 |
| Water Deficit | CSY (Mg ha−1) | Theoretical Ethanol Yield (L ha−1) | ||
|---|---|---|---|---|
| 1st Season | 2nd Season | 1st Season | 2nd Season | |
| 30% | 5.25 a | 5.46 ab | 3072.45 a | 3196.12 a |
| 50% | 5.27 a | 5.51 a | 3082.00 a | 3221.93 a |
| 70% | 5.05 a | 5.15 b | 2951.55 a | 3015.22 a |
| L.S.D. | N.S. | 0.29 | N.S. | N.S. |
| Varieties | Plant Fresh Weight (g) | No. of Leaves | No. of Nodes | Stalk Fresh Weight (g) | Stalk Height (cm) | |||||
|---|---|---|---|---|---|---|---|---|---|---|
| 1st Season | 2nd Season | 1st Season | 2nd Season | 1st Season | 2nd Season | 1st Season | 2nd Season | 1st Season | 2nd Season | |
| Honey | 891.1 a | 883.2 a | 16 b | 16 b | 15 b | 14 c | 712.7 a | 710.0 a | 237.3 a | 336.1 a |
| Willy | 834.4 b | 840.0 b | 19 a | 18 a | 18 a | 17 a | 654.3 b | 656.1 b | 228.0 b | 230.0 b |
| MN1500 | 850.6 b | 829.4 b | 14 c | 14 d | 13 c | 13 d | 623.0 c | 627.2 bc | 175.7 c | 170.1 d |
| Atlas | 858.4 ab | 861.1 ab | 16 b | 15 c | 15 b | 15 b | 625.9 bc | 614.7 c | 182.5 c | 185.0 c |
| L.S.D. | 38.3 | 39.1 | 1 | 1 | 1 | 1 | 29.8 | 37.1 | 8.7 | 8.9 |
| Varieties | Brix (%) | Total Soluble Sugar Content (%) | Stalk Dry Yield (Mg ha−1) | Stalk Fresh Yield (Mg ha−1) | ||||
|---|---|---|---|---|---|---|---|---|
| 1st Season | 2nd Season | 1st Season | 2nd Season | 1st Season | 2nd Season | 1st Season | 2nd Season | |
| Honey | 14.38 c | 14.24 c | 11.29 c | 11.18 c | 68.37 a | 61.74 b | 119.03 a | 118.57 a |
| Willy | 18.09 a | 17.98 a | 14.30 a | 14.21 a | 65.42 ab | 60.23 b | 109.27 b | 109.57 b |
| MN1500 | 16.32 b | 16.45 b | 12.87 b | 12.97 b | 62.59 b | 63.20 a | 104.05 c | 104.74 b |
| Atlas | 14.10 c | 14.20 c | 11.06 c | 11.14 c | 63.64 ab | 62.72 ab | 104.52 bc | 102.65 b |
| L.S.D. | 0.41 | 0.43 | 0.33 | 0.35 | 4.74 | 5.41 | 4.97 | 7.83 |
| Varieties | CSY (Mg ha−1) | Theoretical Ethanol Yield (L ha−1) | ||
|---|---|---|---|---|
| 1st Season | 2nd Season | 1st Season | 2nd Season | |
| Honey | 5.46 ab | 6.07 ab | 3195.64 ab | 3550.62 b |
| Willy | 5.95 a | 6.65 a | 3480.60 a | 3892.19 a |
| MN1500 | 5.07 b | 5.13 b | 2968.82 b | 2998.30 c |
| Atlas | 4.32 c | 4.25 c | 2529.11 c | 2488.04 d |
| L.S.D. | 0.51 | 0.59 | 299.90 | 304.10 |
| Head Cutting Time | Plant Fresh Weight (g) | No. of Leaves | No. of Nodes | Stalk Fresh Weight (g) | Stalk Height (cm) | |||||
|---|---|---|---|---|---|---|---|---|---|---|
| 1st Season | 2nd Season | 1st Season | 2nd Season | 1st Season | 2nd Season | 1st Season | 2nd Season | 1st Season | 2nd Season | |
| A | 834.3 b | 837.7 a | 15 c | 15 c | 14 c | 14 c | 645.5 a | 647.3 a | 214.6 a | 215.3 a |
| B | 861.8 ab | 859.4 a | 16 b | 16 b | 15 b | 15 b | 670.4 a | 669.2 a | 198.7 bc | 197.0 bc |
| C | 879.8 a | 881.0 a | 17 a | 17 a | 16 a | 16 a | 646.1 a | 647.6 a | 204.4 c | 203.0 c |
| L.S.D. | 33.1 | N.S. | 1 | 1 | 1 | 1 | N.S. | N.S. | 7.5 | 8.0 |
| Head Cutting Time | Brix (%) | Total Soluble Sugar Content (%) | Stalk Dry Yield (Mg ha−1) | Stalk Fresh Yield (Mg ha−1) | ||||
|---|---|---|---|---|---|---|---|---|
| 1st Season | 2nd Season | 1st Season | 2nd Season | 1st Season | 2nd Season | 1st Season | 2nd Season | |
| A | 15.40 b | 15.51 b | 12.12 b | 12.21 b | 63.79 a | 64.30 a | 107.80 a | 108.10 a |
| B | 17.42 a | 17.63 a | 13.75 a | 13.93 a | 66.66 a | 63.78 a | 111.95 a | 111.76 a |
| C | 14.36 c | 14.42 c | 11.27 c | 11.32 c | 64.57 a | 65.02 a | 107.90 a | 108.15 a |
| L.S.D. | 0.35 | 0.48 | 0.28 | 0.25 | N.S. | N.S. | N.S. | N.S. |
| Head Cutting Time | CSY (Mg ha−1) | Theoretical Ethanol Yield (L ha−1) | ||
|---|---|---|---|---|
| 1st Season | 2nd Season | 1st Season | 2nd Season | |
| A | 5.08 b | 5.09 b | 2974.10 b | 2980.53 b |
| B | 5.92 a | 6.34 a | 3460.47 a | 3711.05 a |
| C | 4.66 c | 4.66 c | 2728.76 bc | 2728.69 bc |
| L.S.D. | 0.44 | 0.29 | 259.70 | 265.12 |
| STI | Varieties | |||
|---|---|---|---|---|
| Honey | Willy | MN1500 | Atlas | |
| Stalk yield | 0.0004 | 0.0009 | 0.0009 | 0.0011 |
| CSY | −0.0028 | −0.0036 | −0.0006 | 0.0391 |
Disclaimer/Publisher’s Note: The statements, opinions and data contained in all publications are solely those of the individual author(s) and contributor(s) and not of MDPI and/or the editor(s). MDPI and/or the editor(s) disclaim responsibility for any injury to people or property resulting from any ideas, methods, instructions or products referred to in the content. |
© 2024 by the authors. Licensee MDPI, Basel, Switzerland. This article is an open access article distributed under the terms and conditions of the Creative Commons Attribution (CC BY) license (https://creativecommons.org/licenses/by/4.0/).
Share and Cite
Alsanad, M.A.; Emara, E.I.R. Optimizing Bioethanol (C2H5OH) Yield of Sweet Sorghum Varieties in a Semi-Arid Environment: The Impact of Deheading and Deficit Irrigation. Water 2024, 16, 1456. https://doi.org/10.3390/w16101456
Alsanad MA, Emara EIR. Optimizing Bioethanol (C2H5OH) Yield of Sweet Sorghum Varieties in a Semi-Arid Environment: The Impact of Deheading and Deficit Irrigation. Water. 2024; 16(10):1456. https://doi.org/10.3390/w16101456
Chicago/Turabian StyleAlsanad, Mohammed A., and Eman I. R. Emara. 2024. "Optimizing Bioethanol (C2H5OH) Yield of Sweet Sorghum Varieties in a Semi-Arid Environment: The Impact of Deheading and Deficit Irrigation" Water 16, no. 10: 1456. https://doi.org/10.3390/w16101456
APA StyleAlsanad, M. A., & Emara, E. I. R. (2024). Optimizing Bioethanol (C2H5OH) Yield of Sweet Sorghum Varieties in a Semi-Arid Environment: The Impact of Deheading and Deficit Irrigation. Water, 16(10), 1456. https://doi.org/10.3390/w16101456

