Next Article in Journal
Research on Salt Drainage Efficiency and Anti-Siltation Effect of Subsurface Drainage Pipes with Different Filter Materials
Next Article in Special Issue
Water Composition, Biomass, and Species Distribution of Vascular Plants in Lake Agmon-Hula (LAH) (1993–2023) and Nearby Surroundings: A Review
Previous Article in Journal
Advances in Hydrodynamics of Water Pump Station System
 
 
Font Type:
Arial Georgia Verdana
Font Size:
Aa Aa Aa
Line Spacing:
Column Width:
Background:
Article

Research on Multi-Factor Effects of Nitrogen Loss in Slope Runoff

1
Key Laboratory for Farmland Eco-Environment of Hebei Province, State Key Laboratory of North China Crop Improvement and Regulation, College of Resources and Environmental Sciences, Hebei Agricultural University, Baoding 071001, China
2
Institute of Plant Nutrition, Resources and Environment, Beijing Academy of Agricultural and Forestry Sciences, Beijing 100097, China
3
College of Environmental and Resource Sciences, Shanxi Agriculture University, Taiyuan 030000, China
4
Beijing Miyun District Soil and Water Conservation Workstation, Beijing 101500, China
5
Beijing Gaoling Water Station of Miyun District Water Bureau, Beijing 101500, China
6
Qiqihar Branch of Heilongjiang Academy of Agricultural Sciences, Qiqihar 161000, China
*
Authors to whom correspondence should be addressed.
These authors contributed equally to this work.
Water 2024, 16(10), 1431; https://doi.org/10.3390/w16101431
Submission received: 21 March 2024 / Revised: 11 May 2024 / Accepted: 15 May 2024 / Published: 17 May 2024
(This article belongs to the Special Issue The Role of Vegetation in Freshwater Ecology)

Abstract

To study the characteristics of nitrogen (N) loss on slopes, different vegetation (bare soil, alfalfa), slopes (5°, 10°, 15°), and rainfall intensities (40, 60, 80 mm/h) were set as variable factors in simulated rainfall experiments. Surface runoff accounts for 60.38–96.16% of total runoff and most N loss (57.69–88.67% of NO3-N). Alfalfa can reduce average concentrations of N loss in runoff and reduce N loss in surface runoff by more than 48.29%, as well as subsurface runoff by 3.8%. Average N loss in subsurface runoff exceeds that of surface runoff. Rainfall intensity most affects N loss from surface runoff in bare soil conditions, and slope most affects N loss in subsurface runoff. Rainfall intensity in alfalfa treatments most influences runoff volume and N loss. The comprehensive effects of rainfall intensity, slope, and vegetation cover on the total loss of various forms of nitrogen in surface runoff can be described using a linear correlation equation, with a correlation coefficient between 0.84 and 0.91.

1. Introduction

Chinese per capita land resources are scarce, especially in Beijing, where there is a high population density and rapid social and economic development [1]. Consequently, agricultural land cannot meet local agricultural needs, and farmers are increasingly dependent on growing crops in hilly and mountainous areas where heavy rain is frequent, soil layers are thin, soil erodes, and water runs off [2]. Nutrients are lost from the system, and downstream water bodies are prone to eutrophication [3]. Because farmers also often over-fertilize soils to increase yield, this exacerbates water-body eutrophication. Therefore, it is both theoretically and practically important to identify the factors that influence N loss from soil on slopes to improve agricultural management and any cascading effects on water bodies.
Slope farmland is the main source of soil erosion and sediment in reservoirs [4]. Soil erosion inevitably leads to a significant loss of soil nutrients, resulting in a decrease in agricultural productivity and serious damage to the land that residents rely on for survival. Meanwhile, the loss of nutrients can lead to pollution in the backwater area, resulting in eutrophication of secondary rivers, which is not conducive to sustainable development of the environment throughout a reservoir.
Nitrogen accounts for a large proportion of non-point source pollution caused by soil erosion, mainly carried by runoff and erosion sediment [5]. Non-point source pollution caused by soil nutrient loss is affected by many factors, of which vegetation cover, rainfall intensity, and slope are the most important. Sirjani, and Mahmoodabadi. reported vegetation to reduce nutrient loss, with loss gradually decreasing with increased coverage [6]. Wu et al. reported ryegrass to reduce the kinetic energy of raindrops and slow water flow, improve the shear strength of deeply penetrating roots, and significantly reduce rates of granular nitrogen loss [7], and Korucu et al. reported ryegrass mulching to significantly delay surface runoff, as well as reduce total surface runoff and sediment and ammonium nitrogen (NH4+-N) loss compared with bare soil [8]. Huang et al. reported grass hedges to effectively reduce slope runoff and soil loss [9], Choi et al. reported vegetation to reduce runoff and total nitrogen (TN) loss [10]. Vegetation cover, rainfall erosivity, and soil erodibility are the three most important factors in nitrogen transport [11].
Increased slope increases surface runoff, sediment production, and N loss, and it decreases subsurface runoff and N loss [12]. Concentrations of dissolved TN in runoff fluctuate significantly with slope, with significant correlations between slope, adsorbed N, and sediment yield [13]. With increased slope, runoff depth decreases and runoff velocity increases [14], both runoff and NH4+-N loss increase, and runoff and sediment loss increases [15]. Nutrient concentrations in slope surface runoff increase with increased raindrop kinetic energy and decrease with increased soil infiltration rate [16]. With increased rainfall intensity, the cumulative flow of surface runoff, subsurface runoff, and surface karst zone runoff also increase [17] nitrate leaching in tillage rather than no-till cropping systems [18], and runoff, sediment yield, and related N loss increase significantly [19]. Heavy rainfall during the rainy season mainly drives soil nutrient output and TN loss, nitrate nitrogen (NO3-N) content correlates negatively with rainfall runoff, and NH4+-N correlates positively [20,21].
Based on this research result summary, little research has been performed on the combination of vegetation, slope, and rainfall intensity in the field of soil nitrogen loss on slopes. Therefore, we used an indoor simulation of rainfall to conduct experimental research on the combined effects of vegetation cover, slope, and rainfall intensity. By analyzing the patterns of nitrogen loss in slope soil runoff under different rainfall conditions, the impact of different vegetation covers, slopes, and rainfall intensities on slope soil nitrogen loss can be explored. This analysis provides a theoretical basis to prevent non-point source pollution and treatment of water eutrophication.

2. Materials and Methods

2.1. Test Soil

Test soils (sandy loam brown soils) were collected from a wasteland in the suburbs of Miyun District, Beijing. Soil parameters were pH (6.33), bulk density (1.45 g/cm3), organic matter (9.97 g/kg), TN content (0.45 g/kg), NO3-N content (0.58 mg/kg), and NH4+-N content (1.71 mg/kg). Prior to sampling, undisturbed soil bulk density and moisture content were sequentially measured in 10 cm layers; layers were bagged separately and returned to a glass greenhouse for natural air drying and for removal of large stones and weeds before experimentation. Before loading the soil into a trough, a 5 cm layer of fine sand was spread over the experimental planter trough bottom, over which a layer of gauze was then placed to ensure that the soil could breathe and was permeable, resembling natural conditions. According to natural soil moisture contents and bulk density, test soil was played layer upon layer over the gauze to a depth of 45 cm. The soil was then allowed to stand for a period of time to settle; the soil density was measured with a core cutter, and when approximating natural density, simulated precipitation commenced. Soil moisture content was measured before each simulated rainfall to ensure similar moisture content before each experiment.

2.2. Experimental Design

Simulated rainfall was performed in May–July 2023 at the Beijing Academy of Agriculture and Forestry Sciences, Haidian District, Beijing. The simulated rainfall device (Xi’an Qingyuan Measurement and Control Technology Co., Ltd., Xi’an, China) has a movable, adjustable feature for rain intensity, with a rainfall height of 5 m; it is portable and automatic. Average annual rainfall in Beijing is 537 mm, but it can reach 80–100 mm/h in June–September (Beijing Meteorological Bureau, Beijing, China) [22]. Experimental rainfall intensity was set at 40, 60, and 80 mm/h using two groups of welded steel soil slots, with three runoff slots per group, of 2 m (length) × 0.4 m (width), and 0.5 m (height). The slope was set to 5°, 10°, and 15°. A collection pipe with an edge height of 5 cm was installed at the lower end of the runoff slot to collect surface runoff, and a collection pipe was situated in the middle and bottom of the runoff slot to collect subsurface runoff (Figure 1).
The perennial herbaceous plant alfalfa was selected as vegetation treatment; bare land was set as a control. Roots of alfalfa can penetrate 90 cm into the soil if grown for 2 months, and 180 cm if grown for 5 months; alfalfa is often promoted as a pioneer crop for soil and water conservation. On 10 April 2023, 3 runoff slots were selected according to experimental treatment settings for alfalfa. Three rows of alfalfa were planted in each runoff slot, with 50 cm between them; 0.1 g of alfalfa seeds were evenly sown in each runoff slot, and the soil surface was evenly watered. Once alfalfa germinated, it was irrigated every two days in small volumes to ensure that water evenly penetrated the soil and prevented loss via surface runoff. Weeds in bare soil and alfalfa treatments were regularly cleared.
For test accuracy, each treatment was repeated three times. A total of 12 rainfall events were performed. After the effects of instrument malfunctions and experimental operation errors were eliminated, 10 effective rainfall events remained. Soil runoff troughs were covered with waterproof cloth prior to each rainfall test, followed by calibration of rainfall intensity using four rainfall calibration buckets (diameter 85 mm, height 200 mm) placed around the soil tank. After the waterproof cloth was removed, the time taken to reach the target rainfall intensity and uniformity (>90%) was measured. Through repeat calibration, rainfall intensity reached desired intensity, with a rainfall uniformity > 85%.

2.3. Sample Determination and Data Analysis

During each rainfall test, the initial runoff generation time was recorded, and runoff samples were collected at fixed intervals of 5 min; rainfall continued for 90 min. Slope surface and subsurface runoff samples collected from each rainfall were returned to the laboratory and allowed to stand at room temperature (25 °C) for 4–5 h for precipitation. After precipitation, the amount of sediment was measured, and the nutrient content of the supernatant was immediately determined. The supernatant was collected to determine nutrients (TN (refer to alkaline potassium persulfate digestion–ultraviolet spectrophotometry), NO3-N (refer to filtered ultraviolet spectrophotometry), and NH4+-N (refer to indigo-blue colorimetric method)) contents within 24 h of collection. Soil density was determined using the ring knife method, and soil moisture content was determined by drying [23].
Data were analyzed using Excel for statistics and Origin for plotting. Pearson correlation analysis was performed using R4.3.1 software to examine relationships between slope, vegetation cover, and rainfall intensity and TN, NO3-N, and NH4+-N loss in runoff.

3. Results

3.1. Effect of Rainfall Intensity and Slope on Nitrogen Loss in Slope Surface Runoff

3.1.1. Effect of Rainfall Intensity and Slope on Total Nitrogen Loss in Slope Surface Runoff

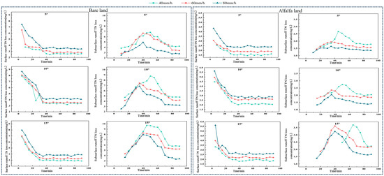
The TN loss in surface runoff first decreased and then tended to stabilize 35 min after rainfall commenced for different rainfall intensities, slopes, and vegetation (Figure 2). For a given slope, surface runoff TN loss on bare soil and alfalfa gradually decreased with increased rainfall intensity. For a given rainfall intensity, TN loss in surface runoff was greatest at 10° and lowest at 5°. Subsurface runoff TN loss gradually increased with increased slope. TN loss in surface runoff in both alfalfa and bare soil treatments was similar at different rainfall intensities and slopes, but TN loss tended to stabilize earlier in alfalfa treatments (within approximately 25 min). For different rainfall intensities and slopes, TN loss in alfalfa treatments first increased and then decreased before stabilizing; the lower the rain intensity, the sooner stabilization tended to occur (at 60 mm/h and 80 mm/h, approximately 40 min, and at 40 mm/h, approximately 45 min (5°), 50 min (10°), and 65 min (15°), respectively). For different slopes, TN loss in subsurface alfalfa treatment runoff was comparable to that for bare soil under the same rainfall intensity and different slope conditions; except for the 5° slope of 40 mm/h treatment, other treatments increased gradually with increased slope.

3.1.2. Effect of Rainfall Intensity and Slope on NO3-N Loss in Surface Runoff

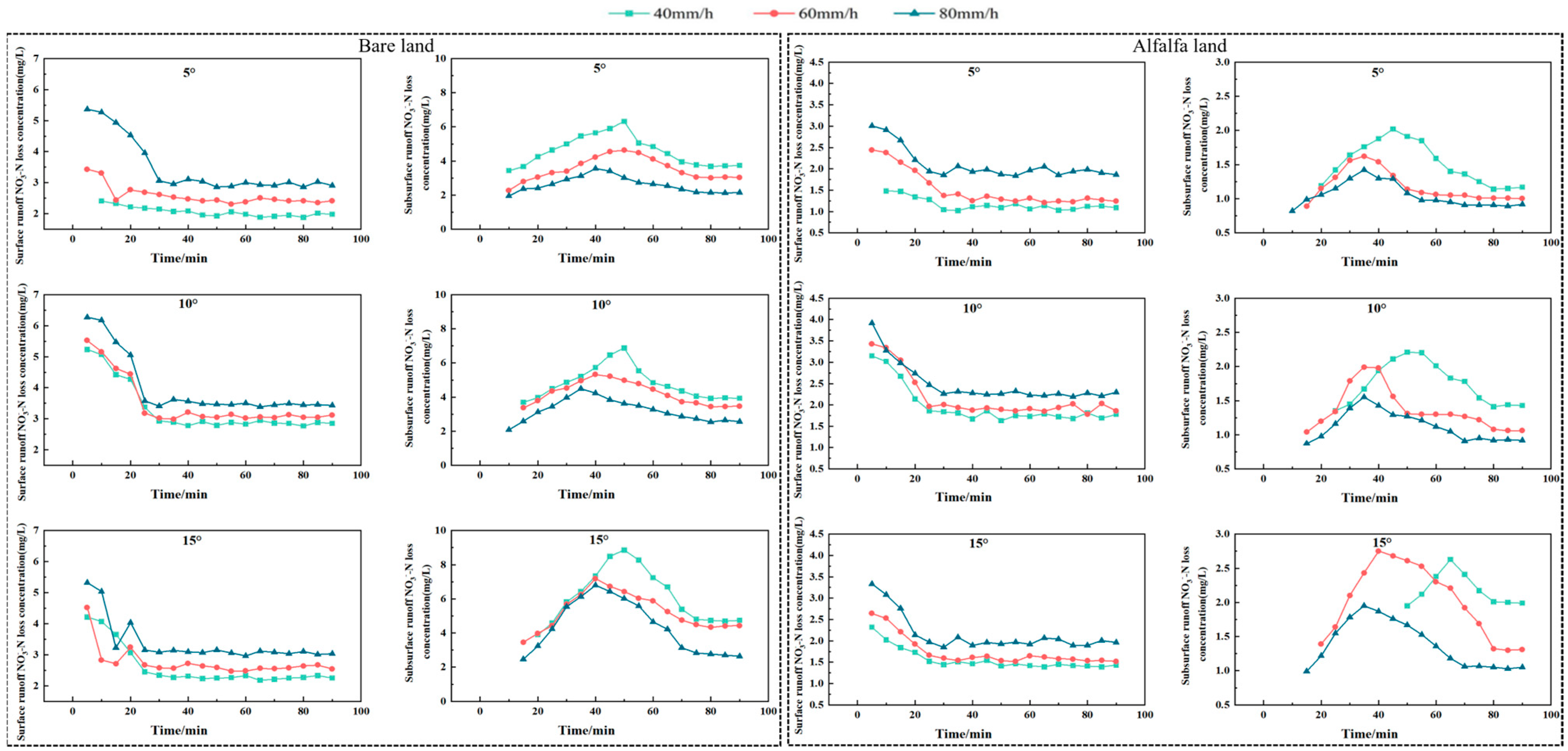
For different rainfall intensities, slopes and vegetation, losses of NO3-N and TN in surface runoff with rainfall duration are similar (Figure 3). At different rainfall intensities, slopes, and with vegetation cover, NO3-N loss in surface runoff first declined slowly and then stabilized approximately 25 min after rainfall commenced. For a given slope, NO3-N loss in surface runoff under bare soil and alfalfa increased with increased rainfall intensity. For a given rainfall intensity, slope affected NO3-N loss in surface runoff under bare soil, and alfalfa was greatest at 10° and lowest at 5°. The NO3-N loss in subsurface runoff under bare soil and alfalfa gradually decreased with increased rainfall intensity and increased with increased slope.

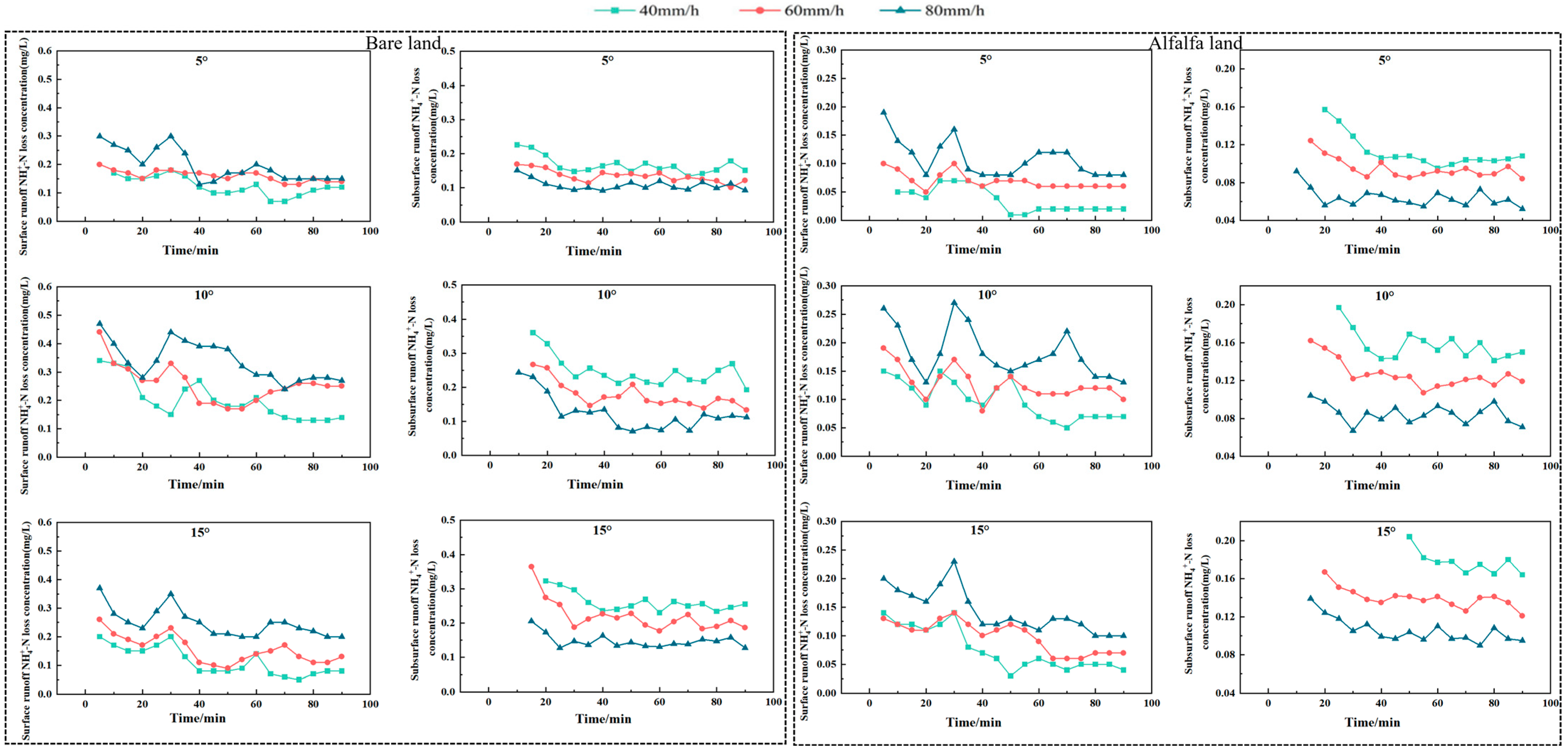
3.1.3. Effect of Rainfall Intensity and Slope on NH4+-N Loss in Surface Runoff

The NH4+-N loss in surface runoff first decreased, then tended to stabilize in bare soil treatments (Figure 4). For a given slope, NH4+-N loss increased with increased rainfall intensity, but variation was slight. For a given rainfall intensity, NH4+-N loss increased with increased slope, peaking at 10°, and then decreased at 15°. The NH4+-N loss in subsurface runoff first decreased and then fluctuated with continued rainfall, stabilizing approximately 20 min after the generation of runoff. For a given slope, NH4+-N loss in subsurface runoff gradually decreased with increased rainfall intensity, especially at 10° and 15°. For a given rainfall intensity, NH4+-N loss in subsurface runoff gradually increased with increased slope. Variation in NH4+-N loss with time in alfalfa treatments was similar for bare soil, but fluctuation in subsurface runoff was greater. For alfalfa treatments for a given slope, NH4+-N loss in subsurface runoff gradually decreased with increased rainfall intensity.

3.2. Nitrogen Loss in Runoff: Slope Characteristics in Bare Soil and Alfalfa Treatments

3.2.1. Nitrogen Loss in Runoff in Bare Soil Treatments

The TN loss in surface runoff at different rainfall intensities and slopes ranged 47.44–447.55 mg (Table 1). For a given rainfall intensity, TN loss was greatest at 10° and lowest at 5°; TN loss in surface runoff at 10° peaked at 447.55 mg 80 mm/h rainfall. For a given slope, TN loss increased with increased rainfall intensity; at 80 mm/h, TN loss was 2.02× that at 60 mm/h. The TN loss in subsurface runoff ranged 8.89–40.45 mg for different rainfall intensities and slopes; TN loss in surface runoff was 1.72–29.60× that of subsurface runoff for the same conditions. There was no obvious relationship between TN loss, rainfall intensity, or slope in subsurface runoff.
Total losses of NO3-N and NH4+-N in surface runoff were 33.03–351.46 mg and 1.38–30.24 mg, respectively. Loss of both in surface runoff increased with rainfall intensity and slope, as did TN; the total loss of NO3-N in surface runoff accounted for 69.62–84.21% of TN loss, and the total NH4+-N loss accounted for 2.91–6.76% of TN loss. Losses of total NO3-N and NH4+-N in subsurface runoff ranged 7.56–32.4 mg and 0.25–1.52 mg, respectively. For any given conditions, the total loss of NO3-N in surface runoff was 1.40–30.09× that of subsurface runoff; the minimum difference in the 5° slope of 40 mm/h was 1.40×. The total NH4+-N loss in surface runoff was 2.06–61.54× that of subsurface runoff. Nitrogen lost in runoff from bare soil conditions was mainly in the form of NO3-N.

3.2.2. Nitrogen Loss in Runoff in Alfalfa Treatments

TN loss in alfalfa surface runoff at different rainfall intensities and slopes ranged 14.56–230.37 mg and varied in the same manner as loss in bare soil (Table 2). However, TN loss of alfalfa runoff was 48.29–69.31% lower than that of bare soil at different rainfall intensities and slopes; this effect decreased with increased rainfall intensity and slope. The TN loss in subsurface runoff ranged 11.52–19.74 mg; TN loss of alfalfa subsurface runoff was 46.97–56.93% lower than that of bare soil at different rainfall intensities and slopes.
Total NO3-N loss in alfalfa treatments in runoff ranged 8.4–177.56 mg at different rainfall intensities and slopes. Compared with bare soil, NO3-N loss in runoff in alfalfa treatments was 49.44–74.57% lower. For different rainfall intensities and slopes, NO3-N loss accounted for 57.69–81.25% of TN loss. For subsurface runoff, NO3-N loss in alfalfa-treatment subsurface runoff was lower than surface runoff, ranging 6.91–14.58 mg. NO3-N loss of alfalfa subsurface runoff was 50.16–62.19% lower than that of bare soil.
NH4+-N loss from alfalfa runoff ranged 0.38–13.1 mg. Compared with bare soil, NH4+-N loss in runoff in alfalfa treatments was 55.03–82.12% lower. NH4+-N loss from alfalfa subsurface runoff ranged 0.43–1.18 mg; the total NH4+-N loss from the 5° slope and 40 mm/h rainfall treatment, 0.90 mg, was higher than that from surface runoff (0.49 mg). For other conditions, the total NH4+-N loss from subsurface runoff was less than that from surface runoff. Alfalfa reduced NH4+-N loss in subsurface runoff by 3.8–22.07% that of bare soil. The proportion of total NH4+-N loss to total TN loss in subsurface runoff, 3.73–6.83%, was higher than that in surface runoff.
With alfalfa cover, N loss in surface runoff occurred mainly as NO3-N. Alfalfa reduced N loss in surface runoff by 48.29–82.12% that of bare soil, and in subsurface runoff, it reduced N loss by 3.8–62.19%.

3.3. Factors Affecting Runoff and Nitrogen Loss on Sloping Land

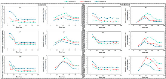
Correlations between rainfall intensity, slope, and average loss of TN, NO3-N, and NH4+-N in surface and subsurface runoff in bare soil conditions are shown in Figure 5a,b. There is a highly significant positive correlation (p < 0.01) between surface runoff, average NO3-N loss, and rainfall intensity, with correlation coefficients (r) of 0.98 and 0.72, respectively (Figure 5a). There is a significant positive correlation (p < 0.05) between average TN and NH4+-N loss in surface runoff and rainfall intensity, with r = 0.68 and 0.66, respectively. However, there is a positive correlation between subsurface runoff and rainfall intensity. Slope has a very significant correlation with average TN loss in subsurface runoff (r = 0.71) and a significant positive correlation with average NO3-N and NH4+-N loss (r = 0.68 and 0.65) (Figure 5b). For bare soil conditions, rainfall intensity mainly affected surface runoff and average N loss. For subsurface runoff, both rainfall intensity and (more significantly) slope significantly affected average N loss.
Correlations between rainfall intensity, slope, and average TN, NO3-N, and NH4+-N losses in alfalfa surface and subsurface runoff are shown in Figure 5c,d. Rainfall intensity has an extremely significant positive correlation with surface runoff, TN, NH4+-N average loss in surface runoff, and total subsurface runoff, with r = 0.98, 0.72, 0.72, and 0.77, respectively, and it had a significant positive correlation with average NO3-N loss in surface runoff (r = 0.69) (Figure 5c). Slope has a significant positive correlation with TN loss in subsurface runoff (r = 0.65), and an extremely significant positive correlation with average NO3-N and NH4+-N loss in subsurface runoff (r = 0.71 and 0.74, respectively) (Figure 5d). Therefore, rainfall intensity mainly affects surface and subsurface runoff loss, as well as average N loss in alfalfa treatments.
Stepwise multiple regression analysis using SPSS 20.0 was performed on measured rainfall data from each trough. Bare land treatments had 0% plant coverage, and alfalfa treatments had 100% plant coverage. Linear relationships between total rainfall loss were analyzed for TN (L1), NO3-N (L2), NH4+-N (L3), TN (S1), NO3-N (S2), and NH4+-N (S3) in surface runoff, based on rainfall intensity (I), slope (S), and vegetation coverage (V). The following relationships were generated:
  • L1 = 0.344I + 0.243S − 6.683V − 10.050 (R = 0.912, F = 529.587);
  • L2 = 0.273I + 0.147S − 5.421V − 7.637 (R = 0.910, F = 516.946);
  • L3 = 0.020I + 0.015S − 0.411V − 0.670 (R = 0.844, F = 264.43);
  • S1 = 0.006 I + 0.029S − 0.5063V + 1.982 (R = 0.507, F = 36.901);
  • S2 = −0.006I − 0.008S − 0.830V − 2.000 (R = 0.520, F = 39.573);
  • S3 = −0.142I + 0.086S − 0.139V + 0.076 (R = 0.216, F = 5.222).
In the formula, L1 represents the total amount of TN loss in surface runoff (mg); L2 is the total amount of NO3-N loss in surface runoff (mg); L3 is the total amount of NH4+-N loss in surface runoff (mg); S1 is the total amount of TN loss in soil flow (mg); S2 is the total amount of NO3-N loss in soil flow (mg); S3 is the total amount of NH4+-N loss in soil flow (mg); I is rainfall intensity (mm/h); V is vegetation coverage (%); and S is slope (°).
Under different plant cover conditions, the correlation coefficients of regression equations for total TN, NO3-N, and NH4+-N loss in in surface runoff were 0.912, 0.910, and 0.844, respectively. However, correlation coefficients of regression equations for total loss of TN, NO3-N, and NH4+-N in soil flow were 0.507, 0.520, and 0.216, respectively. This indicates that multiple regression equations better explain relationships between total loss of TN, NO3-N, and NH4+-N in surface runoff, vegetation cover, rainfall intensity, and slope, while the fitting effect on N loss in subsurface runoff is poor.

4. Discussion

The process of soil N loss involves an interaction between surface soil, rainfall intensity, and runoff, with the N components of surface soil affecting those of runoff. The results are consistent with those of Wang et al. [24]. We report that for different soil conditions (bare or covered in vegetation), TN and NO3-N loss in surface runoff first decreases and then stabilizes, and NH4+-N loss first increases and then stabilizes. This is because NH4+-N is unstable and relatively easy to convert. Loss in surface runoff is influenced by factors such as temperature, oxygen content in water, and microorganisms. Nitrogen loss in surface runoff increases gradually with rainfall intensity because a certain amount of dissolved N exists in surface soil, which is easily transported in runoff when rainfall commences, leading to relatively high N concentrations in surface runoff. With continuous rainfall, N in surface runoff mainly comes from dissolution and the release of soil-soluble N, which is a relatively stable process [25]. Therefore, N loss in surface runoff tends to stabilize. In light rain, this process is relatively slow; therefore, the time required for stabilization time is longer.
Slope affects the amount of water retained in soil and soil loss (especially erosion). Both water and soil transport N [26]. Therefore, N loss is affected by slope, thereby affecting the effect of plant control on N loss in slope farmland. The greatest loss of TN, NO3-N, and NH4+-N occurred on land with a 10° slope (10° > 15° > 5°), possibly because rainfall area decreases at higher gradients, and the rapid runoff that ensues reduces the ability of raindrops to erode the soil, thereby reducing N loss in surface runoff. This is consistent with Hu et al. [27], who reported losses of NO3-N and NH4+-N to vary with slope (0° > 27° > 18° > 9°, and 9° > 0° > 27° > 18°, respectively), and Zhang Jiaqi et al., who reported that for different slope conditions, 25° was critical for N loss [28].
We report TN and NO3-N loss in subsurface runoff to first increase, then decrease, and to then tend to stabilize for different rainfall intensity, soil cover (bare or vegetated), and slope. This is because with runoff progression, soil moisture is subjected to gravity, and the runoff rate gradually increases. Subsurface runoff and soil particles come into full contact, and TN loss in subsurface runoff increases [29]. With continued subsurface runoff, the amount of easily dissolved N on the surfaces of soil particles decreases, and TN loss in subsurface runoff decreases after initially peaking, eventually stabilizing. Zhang et al. reported TN loss in subsurface runoff to first increase, then decrease, and then to stabilize [30]. We report that with bare soil or vegetation cover, TN and NO3-N loss in subsurface runoff initially fluctuates before decreasing to a stable state in vegetated treatments, but this did not occur for bare soil treatments. This may be because during early stages of subsurface runoff (although easily soluble N contents in soil are high), runoff in soil is reduced, soil N is not completely dissolved, and TN and NO3-N loss is relatively low. With continuous rainfall, subsurface runoff in soil gradually increases, N is fully dissolved and released, and TN and NO3-N loss gradually increases. Eventually, subsurface runoff stabilizes, while TN and NO3-N loss gradually increases. NO3-N loss gradually decreases, resulting in TN and NO3-N loss decreasing [31,32]. At different rainfall intensities and slopes, NH4+-N loss in subsurface runoff on bare soils gradually increased with continuous rainfall, while NH4+-N loss in subsurface runoff in alfalfa-covered treatments first increased but then fluctuated. Variation in subsurface runoff and NH4+-N loss at different rainfall intensities affects loss [33]. Vegetation can effectively reduce both soil erosion on sloping farmland and nutrient loss. Fu et al. [34] reported increased vegetation cover to decrease surface runoff on sloping land, similar to our results. Compared with bare soil, TN, NO3-N, and NH4+-N loss in surface runoff in alfalfa treatments was 48.29–69.31%, 49.44–74.57%, and 55.03–82.12% lower, respectively, between different rainfall intensities and slopes. TN, NO3-N, and NH4+-N loss in alfalfa subsurface runoff was lower than that of bare soil by 46.97–56.93%, 50.16–62.19%, and 3.8–22.07% at different rainfall intensities and slopes. The low N loss efficiency of alfalfa gradually decreased with increased rainfall intensity and slope. Alfalfa branches and leaves reduce the impact of raindrops on soil. With increased slope, the interception effect of the above-ground part is reduced because of gravity, and the ability of raindrops to erode the soil increases, reducing control efficiency [35].
We report rainfall intensity to be significantly positively correlated with surface runoff and average N loss in surface runoff, and significantly negatively correlated with average N loss in subsurface runoff. Slope is significantly positively correlated with average N loss in subsurface runoff [36,37]. While significant correlations between rainfall intensity and subsurface runoff have been formerly reported, Duan et al. reported rainfall intensity to not significantly correlate with subsurface runoff [38]. We draw a similar conclusion; under bare soil conditions, rainfall intensity and slope do not significantly correlate with subsurface runoff volume. The results of our study are comparable to those of Guan et al. [39], with multiple regression simulations of the relationship among nitrogen loss and rainfall intensity, slope, and runoff performed. Under bare soil and alfalfa conditions, different N loss amounts showed good simulation results with respect to rainfall intensity, slope, and runoff.
While we collected surface and subsurface runoff samples during 90 min of rainfall, subsurface runoff would persist following this period. Accordingly, runoff volumes and N loss following rainfall are unclear. Continuous monitoring of subsurface runoff following rainfall is required. Additionally, we only explored the loss of N in surface and subsurface runoff; determining the overall movement of N from the soil to the plant requires further investigation. In future work, other agricultural crops or slope protection plants could be selected to examine root–soil complexes, enhance erosion resistance, and effectively intercept runoff generated by rainfall. The selective planting of plants with N-fixing properties can better reduce N in runoff, especially the available N that can be directly used by plants. The overall effect of rainfall intensity throughout the entire process is greater than other factors; we consider rainfall as most affecting N loss on sloping farmland. Therefore, the monitoring of water quality in the Miyun reservoir should be observed following heavy rain and rainstorm events for early detection of possible water-body eutrophication.

5. Conclusions

Based on our experimental simulation of runoff and N loss in bare soil and alfalfa-covered treatments at different slopes and for different rain intensities, we conclude the following:
(1) Under different plant cover conditions, slope runoff in the Miyun Reservoir occurs mainly as surface runoff. The planting of alfalfa can significantly reduce N loss in runoff. Most N is lost in surface runoff, but average N loss in soil runoff exceeds that of surface runoff. Reducing N loss in surface runoff is of practical significance in the Miyun Reservoir. It is recommended to use intercropping planting modes in production to control N loss from this watershed.
(2) Most N in slope runoff is in the form of soluble NO3N. Accordingly, care must be taken when applying N fertilizer. Either less should be applied or it should be applied in combination with organic fertilizer, and it should not be applied before rainfall.

Author Contributions

Conceptualization, L.W., N.W. and Q.Z.; Methodology, L.W. and J.W. (Jiajun Wu); Resources, Z.Y. and L.J.; Software, S.W., J.W. (Jifeng Wang) and M.P.; Supervision, C.Z. and Y.H.; Visualization, L.W.; Writing—Original Draft, N.W., L.W., Q.Z., J.W. (Jiajun Wu), S.W., M.P., Z.Y. and L.J.; Writing—Review and Editing, L.W., N.W., Q.Z., J.W. (Jiajun Wu), S.W., M.P., J.W. (Jifeng Wang), C.Z., Y.H., Z.Y. and L.J. All authors have read and agreed to the published version of the manuscript.

Funding

This research was funded by the innovation Capacity Building of Beijing Academy of Agricultural and Forestry Sciences, grant number KJCX20240506; the National Key R&D Program, grant number 2023YFD150050105; and the Science and Technology Capacity Improvement Project of Beijing Academy of Agricultural and Forestry Sciences, grant number ZHS202304, the Beijing Academy of Agricultural and Forestry Sciences Youth Fund (QNJJ202214), Beijing Academic Program.

Data Availability Statement

Data are contained within the article.

Acknowledgments

We appreciate and thank the reviewers for their helpful comments that led to the overall improvement of the manuscript. We also thank the Journal Editor Board for their help and patience throughout the review process.

Conflicts of Interest

The authors declare no conflicts of interest.

Correction Statement

This article has been republished with a minor correction to the existing affiliation information. This change does not affect the scientific content of the article.

References

  1. Wuepper, D.; Borrelli, P.; Finger, R. Countries and the global rate of soil erosion. Nat. Sustain. 2020, 3, 51–55. [Google Scholar] [CrossRef]
  2. Qian, J.; Zhang, L.; Wang, W.; Liu, Q. Simulated rainfall experiment on the nitrogen loss in sloping vegetable fieles under different conditions of fertilization. J. Water Soil Conserv. 2015, 29, 248–253. [Google Scholar]
  3. Fu, H.; Yu, S.; Huang, G.; Xie, Q.; Chen, T.; Gao, P. Research on distribution characteristics of inorganic nitrogen in Yundang Lake: For prevention and control of the red tide. J. Nat. Disasters 2015, 24, 240–246. [Google Scholar]
  4. Borrelli, P.; Robinson, D.; Fleischer, L.; Lugato, E.; Ballabio, C.; Alewell, C.; Meusburger, K.; Modugno, S.; Schütt, B.; Ferro, V.; et al. An assessment of the global impact of 21st century land use change on soil erosion. Nat. Commun. 2017, 8, 2013. [Google Scholar] [CrossRef] [PubMed]
  5. EI, K.; Zhang, H.; Zhang, P.; Mosandl, R. Soil erosion and surface runoff on different vegetation covers andslope gradients: A field experiment in Southern Shaanxi Province, China. Catena 2013, 105, 1–10. [Google Scholar]
  6. Sirjani, E.; Mahmoodabadi, M. Effects of sheet flow rate and slope gradient on sediment load. Arab. J. Geosci. 2014, 7, 203–210. [Google Scholar] [CrossRef]
  7. Wu, L.; Liu, X.; Yu, Y.; Ma, X. Biochar, grass, and cross-ridge reshaped the surface runoff nitrogen under consecutive rainstorms in loessial sloping lands. Agric. Water Manag. 2022, 261, 107354. [Google Scholar] [CrossRef]
  8. Korucu, T.; Shipitalo, M.; Kaspar, T. Rye cover crop increases earthworm populations and reduces losses of broadcast, fall-applied, fertilizers in surface runoff. Soil Tillage Res. 2018, 180, 99–106. [Google Scholar] [CrossRef]
  9. Huang, C.; Hou, X.; Li, H. An improved minimum cumulative resistance model for risk assessment of agricultural non-point source pollution in the coastal zone. Environ. Pollut. 2022, 312, 120036. [Google Scholar] [CrossRef] [PubMed]
  10. Choi, K.; Lee, S.; Jang, J. Vegetative filter strip (Vfs) applications for runoff and pollution management in the saemangeum area of Korea. Irrig. Drain. 2016, 65, 168–174. [Google Scholar] [CrossRef]
  11. Mutema, M.; Chaplot, V.; Jewitt, G.; Chivenge, P.; Blöschl, G. Annual water, sediment, nutrient, and organic carbon fluxes in river basins: A global meta-analysis as a function of scale. Water Resour. Res. 2015, 51, 8949–8972. [Google Scholar] [CrossRef]
  12. Wang, S.; Wang, X.; Zheng, Y.; Li, Z.; He, T.; Zhang, S.; Yu, X.; Huang, H.; Liu, H.; Memon, T.; et al. Characteristics of nitrogen loss in sloping farmland with purple soil in southwestern China during maize (Zea mays L.) growth stages. Catena 2019, 182, 104169. [Google Scholar] [CrossRef]
  13. Wu, L.; Qiao, S.; Peng, M.; Ma, X. Coupling loss characteristics of runoff-sediment-adsorbed and dissolved nitrogen and phosphorus on bare loess slope. Environ. Sci. Pollut. Res. 2018, 25, 14018–14031. [Google Scholar] [CrossRef] [PubMed]
  14. Bai, Y.; Zha, X.; Zhang, J.; Chen, S. The threshold of nitrogen and phosphorus loss in runoff on degraded Ferralsols of Fujian province, southern China. Environ. Earth Sci. 2020, 79, 395. [Google Scholar] [CrossRef]
  15. Kumar, G.; Kurothe, R.S.; Viswakarma, A.K.; Mandal, D.; Sena, D.R.; Mandal, U.; Pande, V.C.; Dinesh, D. Assessment of soil vulnerability to erosion in different land surface configurations and management practices under semi-arid monsoon climate. Soil Tillage Res. 2023, 230, 105698. [Google Scholar] [CrossRef]
  16. Snyder, J.K.; Woolhiser, D.A. Effects of infiltration on chemical transport into overland flow. Trans. ASAE 1985, 28, 1450–1457. [Google Scholar] [CrossRef]
  17. Wang, S.; Bao, X.; Rong, Y. The influence of rainfall intensity on soil moisture and runoff characteristics in southwestern karst slopes. Res. Agric. Mod. 2020, 41, 889–898. [Google Scholar]
  18. Hess, L.J.; Hinckley, S.; Robertson, G.P.; Matson, P.A. Rainfall intensification increases nitrate leaching from tilled but not no-till cropping systems in the US Midwest. Agric. Ecosyst. Environ. 2020, 290, 106747. [Google Scholar] [CrossRef]
  19. An, M.; Wei, C.; Han, Y. Soil erosion and nutrient loss due to changes in rainfall intensity under different wind directions. Earth Surf. Process. Landf. 2024, 49, 291–303. [Google Scholar] [CrossRef]
  20. Zhang, L.; Huang, Z.; Xiao, W. Characteristics of nitrogen and phosphorus output in runoff and rainfall runoff in Lanlingxi Watershed, Three Gorges Reservoir Area. Huan Jing Ke Xue = Huanjing Kexue 2018, 39, 792–799. [Google Scholar]
  21. Lisetskii, F.N.; Buryak, Z.A. Runoff of Water and Its Quality under the Combined Impact of Agricultural Activities and Urban Development in a Small River Basin. Water 2023, 15, 2443. [Google Scholar] [CrossRef]
  22. Wang, N.; Wang, L.; Jin, L.; Wu, J.; Pang, M.; Wei, D.; Li, Y.; Wang, J.; Xu, T.; Yang, Z.; et al. Rainfall Runoff and Nitrogen Loss Characteristics on the Miyun Reservoir Slope. Water 2024, 16, 786. [Google Scholar] [CrossRef]
  23. Bao, S. Soil Agrochemical Analysis; China Agricultural Publishing: Beijing, China, 2000. [Google Scholar]
  24. Wang, Y.; Dai, Q.; Ding, P. Rapid response of runoff carrying nitrogen loss to extreme rainfall in gentle slope farmland in the karst area of SW China. Water 2022, 14, 3341. [Google Scholar] [CrossRef]
  25. Li, Y.; Jin, L.; Wu, J. Laws Governing Nitrogen Loss and Its Numerical Simulation in the Sloping Farmland of the Miyun Reservoir. Plants 2023, 12, 2042. [Google Scholar] [CrossRef] [PubMed]
  26. Wang, L.; Li, Y.; Wu, J. Effects of the Rainfall Intensity and Slope Gradient on Soil Erosion and Nitrogen Loss on the Sloping Fields of Miyun Reservoir. Plants 2023, 12, 423. [Google Scholar] [CrossRef] [PubMed]
  27. Hu, X.; Zhang, H.; Liu, Q. The effect of ridge slope on dissolved nitrogen and phosphorus loss under simulated rainfall conditions. J. Soil Water Conserv. 2019, 33, 41–46. [Google Scholar]
  28. Zhang, J.; Ma, Y.; Zhang, R.L. The effects of different planting patterns and slopes on nitrogen loss in gneiss hillsides. J. Soil Water Conserv. 2019, 33, 8–13. [Google Scholar]
  29. Wang, H.; Gao, L.; Pang, Z. Surface flow–interflow-coupled nitrogen loss in gray fluvo-aquic farmland soils in the Anhui Section of the Huaihe River Basin, China. Can. J. Soil Sci. 2022, 102, 331–340. [Google Scholar] [CrossRef]
  30. Zhang, L.; Yang, J.; Fan, X. Dynamic simulation of nitrogen and phosphorus loss in soil flow on erosive weathered granite slopes. Soil Water Conserv. Bull. 2018, 38, 156–161. [Google Scholar]
  31. Wu, L.; Long, T.; Cooper, W.J. Temporal and spatial simulation of adsorbed nitrogen and phosphorus nonpoint source pollution load in Xiaojiang watershed of three gorges reservoir area, China. Environ. Eng. Sci. 2012, 29, 238–247. [Google Scholar] [CrossRef]
  32. Wu, X.; Zhang, L.; Yu, X. Impacts of surface runoff and sediment on nitrogen and phosphorus loss in red soil region of southern China. Environ. Earth Sci. 2012, 67, 1939–1949. [Google Scholar] [CrossRef]
  33. Li, Y.; Wang, Y.; Ma, C. Influence of the spatial layout of plant roots on slope stability. Ecol. Eng. 2016, 91, 477–486. [Google Scholar] [CrossRef]
  34. Fu, Z.; Li, C.; Cai, C. Analysis of the Runoff Mechanism of Different Thicknesses of Purple Soil Slope Farmland in the Three Gorges Reservoir Area. Prog. Water Sci. 2011, 22, 680–688. [Google Scholar]
  35. Zhang, X.; Li, P.; Li, Z. A study on the spatiotemporal variation of runoff velocity and sediment yield on convex slopes under different vegetation patterns. J. Soil Water Conserv. 2018, 32, 16–21. [Google Scholar]
  36. Wang, R.; Min, J.; Kronzucker, H.J.; Li, Y.; Shi, W. N and P runoff losses in China’s vegetable production systems:Loss characteristics, impact, and management practices. Sci. Total Environ. 2019, 663, 971–979. [Google Scholar] [CrossRef] [PubMed]
  37. Chen, G.; Elliott, J.A.; Lobb, D.A. Changes in runoff chemistry and soil fertility after multiple years of cattle winter bale feeding on annual cropland on the Canadian prairies. Agric. Ecosyst. Environ. 2017, 240, 1–13. [Google Scholar] [CrossRef]
  38. Duan, J.; Liu, Y.; Tang, C. The response of soil flow in red soil slopes with different underlying surfaces to natural rainfall. J. Water Resour. 2017, 48, 977–985. [Google Scholar]
  39. Guan, R.; Ma, B.; Huang, Z. Experimental study on simulated rainfall of nitrogen and phosphorus loss in farmland in southern Hebei Province. J. Agric. Environ. Sci. 2020, 39, 581–589. [Google Scholar]
Figure 1. Schematic diagram of simulated rainfall equipment.
Figure 1. Schematic diagram of simulated rainfall equipment.
Water 16 01431 g001
Figure 2. Dynamic variation curves of TN loss concentrations in surface runoff and subsurface runoff under different rainfall intensities and slope gradients in bare soil and alfalfa.
Figure 2. Dynamic variation curves of TN loss concentrations in surface runoff and subsurface runoff under different rainfall intensities and slope gradients in bare soil and alfalfa.
Water 16 01431 g002
Figure 3. Dynamic variation curves of NO3-N loss (mg/L) in surface and subsurface runoff for different rainfall intensities and slopes in bare and alfalfa-covered soils.
Figure 3. Dynamic variation curves of NO3-N loss (mg/L) in surface and subsurface runoff for different rainfall intensities and slopes in bare and alfalfa-covered soils.
Water 16 01431 g003
Figure 4. Dynamic variation curves of NH4+-N loss (mg/L) in surface and subsurface runoff for different rainfall intensities and slopes in bare and alfalfa-covered soils.
Figure 4. Dynamic variation curves of NH4+-N loss (mg/L) in surface and subsurface runoff for different rainfall intensities and slopes in bare and alfalfa-covered soils.
Water 16 01431 g004
Figure 5. Correlation analysis of rainfall intensity, slope, and various influencing factors in bare soil and alfalfa treatments. (a) Correlation analysis of rainfall intensity and various influencing factors in bare soil. (b) Correlation analysis of slope and various influencing factors in bare soil. (c) Correlation analysis of rainfall intensity and various influencing factors in alfalfa treatments. (d) Correlation analysis of slope and various influencing factors in alfalfa treatments.
Figure 5. Correlation analysis of rainfall intensity, slope, and various influencing factors in bare soil and alfalfa treatments. (a) Correlation analysis of rainfall intensity and various influencing factors in bare soil. (b) Correlation analysis of slope and various influencing factors in bare soil. (c) Correlation analysis of rainfall intensity and various influencing factors in alfalfa treatments. (d) Correlation analysis of slope and various influencing factors in alfalfa treatments.
Water 16 01431 g005
Table 1. Total amount and morphology of nitrogen loss in runoff from bare soil at different rainfall intensities and slopes.
Table 1. Total amount and morphology of nitrogen loss in runoff from bare soil at different rainfall intensities and slopes.
Rainfall Intensity
(mm/h)
Slope
(°)
TN
(mg)
NO3-N (mg)Proportion of NO3-N in TN (%)NH4+-N
(mg)
Proportion of NH4+-N in TN (%)
Surface runoff40562.9645.3972.092.744.35
1097.3379.0581.224.734.86
1589.1967.0375.152.883.23
605164.78131.1179.578.124.93
10249.12193.6177.7214.365.76
15233.53174.0574.539.754.18
805345290.5184.2116.594.81
10447.55351.4678.5330.246.76
15417.02321.1577.0123.865.72
Subsurface runoff40536.5432.488.671.143.12
1040.130.7976.781.523.79
1538.9131.981.981.43.60
60535.4526.9275.940.992.79
1035.327.1676.941.073.03
1537.730.8681.861.253.32
80537.3528.0975.211.133.03
1040.4529.2672.341.012.50
1535.8528.7680.220.972.71
Table 2. Total nitrogen loss, control efficiency, and proportion of nitrogen in runoff at different rainfall intensities and slopes.
Table 2. Total nitrogen loss, control efficiency, and proportion of nitrogen in runoff at different rainfall intensities and slopes.
Rainfall Intensity
(mm/h)
Slope
(°)
TN
(mg)
TN Reduction
(%)
NO3-N
(mg)
NO3-N Reduction (%)Proportion of NO3-N in TN
(%)
NH4+-N
(mg)
NH4+-N Reduction (%)Proportion of NH4+-N in TN
(%)
Surface runoff40521.366.7114.6767.6868.870.4982.122.30
1036.7562.2429.8662.2381.251.5168.084.11
1535.2160.5226.3460.7074.811.2157.993.44
60577.3453.0755.7057.5272.022.6067.983.36
10119.9351.8687.3854.8772.865.2963.164.41
15115.0750.7383.4252.0772.504.8849.954.24
805172.2550.07137.8552.5580.036.9857.934.05
10230.3748.53177.5649.4877.0813.156.685.69
15215.6648.29162.3849.4475.2910.7355.034.98
Subsurface runoff40517.0853.2612.4561.5772.890.9021.275.27
1017.2756.9313.4156.4577.651.1822.076.83
1519.0651.0214.4954.5876.021.1419.105.98
60515.4756.3610.6260.5568.650.8514.425.49
1015.5356.0110.2762.1966.130.979.736.25
1519.4348.4614.5852.7575.041.0019.425.15
80519.7447.1514.0050.1670.920.8624.054.36
1018.4654.3612.8756.0269.720.983.365.31
1519.0146.9712.0758.0363.490.943.804.94
Disclaimer/Publisher’s Note: The statements, opinions and data contained in all publications are solely those of the individual author(s) and contributor(s) and not of MDPI and/or the editor(s). MDPI and/or the editor(s) disclaim responsibility for any injury to people or property resulting from any ideas, methods, instructions or products referred to in the content.

Share and Cite

MDPI and ACS Style

Wang, L.; Wang, N.; Zhang, Q.; Wu, J.; Wang, S.; Pang, M.; Wang, J.; Zhou, C.; Han, Y.; Yang, Z.; et al. Research on Multi-Factor Effects of Nitrogen Loss in Slope Runoff. Water 2024, 16, 1431. https://doi.org/10.3390/w16101431

AMA Style

Wang L, Wang N, Zhang Q, Wu J, Wang S, Pang M, Wang J, Zhou C, Han Y, Yang Z, et al. Research on Multi-Factor Effects of Nitrogen Loss in Slope Runoff. Water. 2024; 16(10):1431. https://doi.org/10.3390/w16101431

Chicago/Turabian Style

Wang, Lei, Na Wang, Qing Zhang, Jiajun Wu, Shilei Wang, Min Pang, Jifeng Wang, Chao Zhou, Yehui Han, Zhixin Yang, and et al. 2024. "Research on Multi-Factor Effects of Nitrogen Loss in Slope Runoff" Water 16, no. 10: 1431. https://doi.org/10.3390/w16101431

APA Style

Wang, L., Wang, N., Zhang, Q., Wu, J., Wang, S., Pang, M., Wang, J., Zhou, C., Han, Y., Yang, Z., & Jin, L. (2024). Research on Multi-Factor Effects of Nitrogen Loss in Slope Runoff. Water, 16(10), 1431. https://doi.org/10.3390/w16101431

Note that from the first issue of 2016, this journal uses article numbers instead of page numbers. See further details here.

Article Metrics

Back to TopTop