Evaluating the Application of Chitosan-Based Sorbents for the Solid-Phase Adsorption Toxin Tracking of Microcystins in Irrigation Water
Abstract
:1. Introduction
2. Materials and Methods
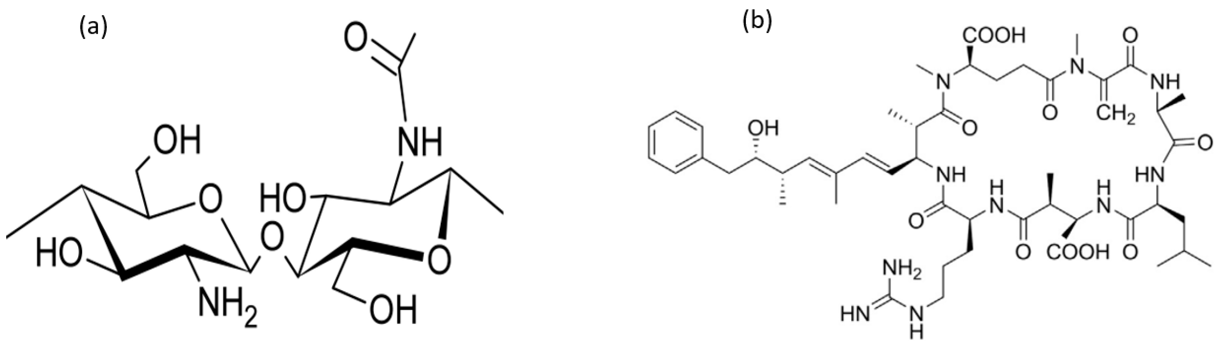
2.1. Chemical and Reagents
2.2. Preparation of Glutaraldehyde-Crosslinked Chitosan Hydrogel
2.3. Preparation of the Glutaraldehyde-Crosslinked Chitosan and Multiwalled Carbon Nanotubes Composite
2.4. Construction of SPATT Bags
2.5. Laboratory Exposures
2.6. Field Deployment of SPATT Samplers
2.7. Toxin Extraction and Analysis from the SPATT Samplers
Chromatographic Conditions
2.8. Physicochemical Parameters
3. Results and Discussion
3.1. Laboratory Exposure in SPATT Bag Format
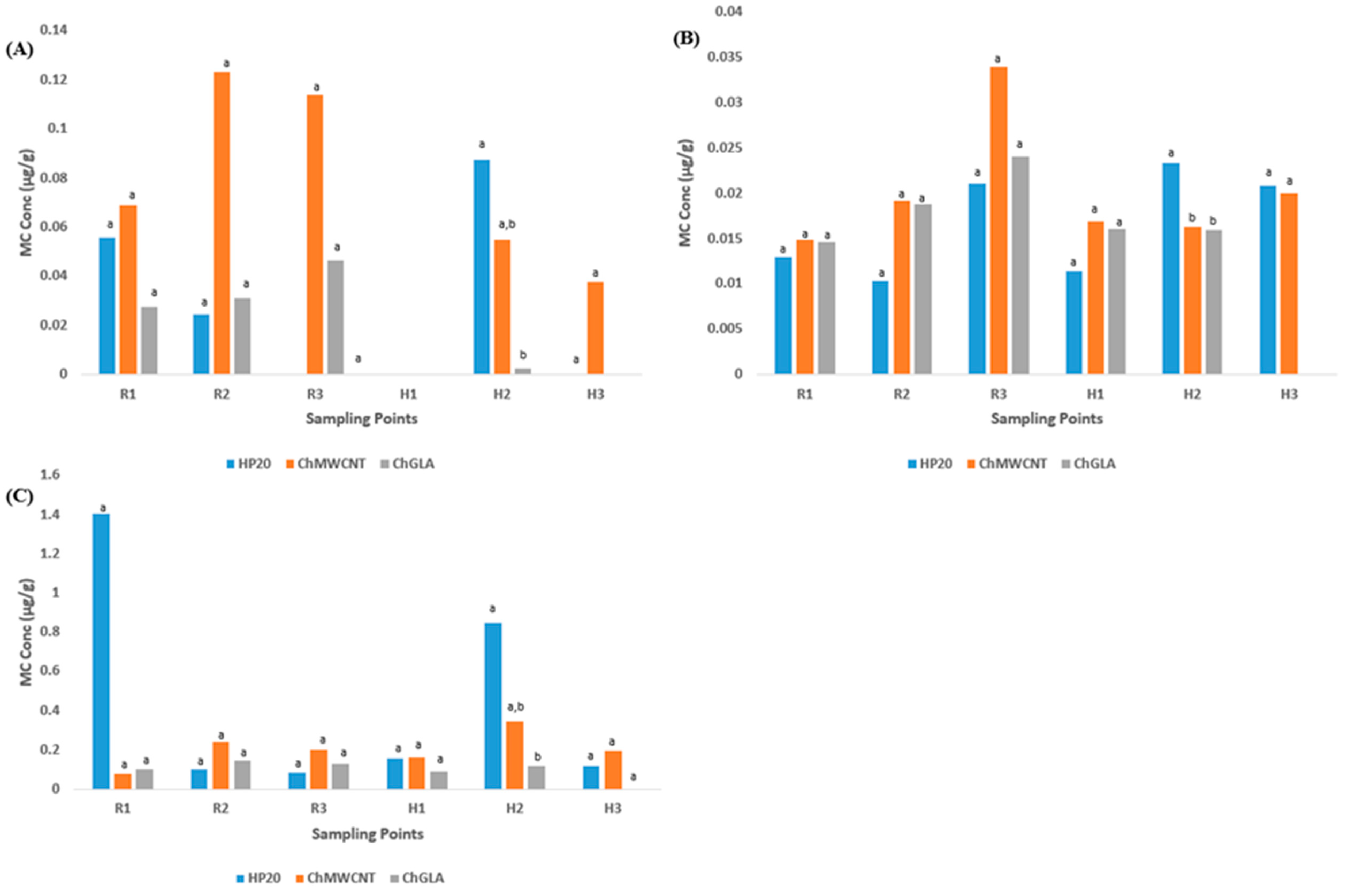
3.2. Levels of MCs Detected by the SPATT Samplers
Samplers’ Adsorption of Different MCs
3.3. Physicochemical Parameters Monitored
3.4. Correlation of Physicochemical Parameters and Microcystin Levels
4. Conclusions
Author Contributions
Funding
Data Availability Statement
Acknowledgments
Conflicts of Interest
References
- Jaša, L.; Sadílek, J.; Kohoutek, J.; Straková, L.; Maršálek, B.; Babica, P. Application of passive sampling for sensitive time-integrative monitoring of cyanobacterial toxins microcystinsin drinking water treatment plants. Water Res. 2019, 153, 108–120. [Google Scholar] [CrossRef] [PubMed]
- Wang, P.; Du, B.; Smith, J.; Lao, W.; Wong, C.S.; Zeng, E.Y. Development and field evaluation of the organic-diffusive gradients in thin-films (o-DGT) passive water sampler for microcystins. Chemosphere 2022, 287, 132079. [Google Scholar] [CrossRef] [PubMed]
- Matthews, M.W.; Bernard, S. Eutrophication and cyanobacteria in South Africa’s standing water bodies: A view from space. S. Afr. J. Sci. 2015, 111, 1–8. [Google Scholar] [CrossRef] [PubMed]
- Sirunda, J.; Oberholster, P.; Wolfaardt, G.; Botes, M.; Truter, C. The assessment of phytoplankton dynamics in two reservoirs in southern africa with special reference to water abstraction for inter-basin transfers and potable water production. Water 2021, 13, 3045. [Google Scholar] [CrossRef]
- Pindihama, G.K.; Gitari, M.W. Cyanobacterial toxins: An emerging threat in South African irrigation water. Water Environ. J. 2020, 34, 506–516. [Google Scholar] [CrossRef]
- Lance, E.; Lepoutre, A.; Savar, V.; Robert, E.; Bormans, M.; Amzil, Z. In situ use of bivalves and passive samplers to reveal water contamination by microcystins along a freshwater-marine continuum in France. Water Res. 2021, 204, 117620. [Google Scholar] [CrossRef]
- Roué, M.; Darius, H.T.; Viallon, J.; Ung, A.; Gatti, C.; Harwood, D.T.; Chinain, M. Application of solid phase adsorption toxin tracking (SPATT) devices for the field detection of Gambierdiscus toxins. Harmful Algae 2018, 71, 40–49. [Google Scholar] [CrossRef]
- Buratti, F.M.; Manganelli, M.; Vichi, S.; Stefanelli, M.; Scardala, S.; Testai, E.; Funari, E. Cyanotoxins: Producing organisms, occurrence, toxicity, mechanism of action and human health toxicological risk evaluation. Arch. Toxicol. 2017, 91, 1049–1130. [Google Scholar] [CrossRef]
- Zhao, H.; Qiu, J.; Fan, H.; Li, A. Mechanism and application of solid phase adsorption toxin tracking for monitoring microcystins. J. Chromatogr. A 2013, 1300, 159–164. [Google Scholar] [CrossRef]
- Miller, A.; Russell, C. Food crops irrigated with cyanobacteria-contaminated water: An emerging public health issue in Canada. Environ. Health Rev. 2017, 60, 58–63. [Google Scholar] [CrossRef]
- Miller, A.; Russell, C.; Wiens, M. Irrigating Food Crops With Water Containing Cyanobacteria Blooms; National Collaborating Centre for Environmental Health: Vancouver, BC, USA, 2017; pp. 1–9. Available online: http://www.ncceh.ca/sites/default/files/Irrigating_Food_Crops_Water_Containing_Cyanobacteria-Oct_2017.pdf (accessed on 30 June 2022).
- Kudela, R.M. Characterization and deployment of Solid Phase Adsorption Toxin Tracking (SPATT) resin for monitoring of microcystins in fresh and saltwater. Harmful Algae 2011, 11, 117–125. [Google Scholar] [CrossRef]
- MacKenzie, L.; Beuzenberg, V.; Holland, P.; McNabb, P.; Selwood, A. Solid phase adsorption toxin tracking (SPATT): A new monitoring tool that simulates the biotoxin contamination of filter feeding bivalves. Toxicon 2004, 44, 901–918. [Google Scholar] [CrossRef]
- Piletska, E.V.; Villoslada, F.N.; Chianella, I.; Bossi, A.; Karim, K.; Whitcombe, M.J.; Piletsky, S.A.; Doucette, G.J.; Ramsdell, J.S. Extraction of domoic acid from seawater and urine using a resin based on 2-(trifluoromethyl)acrylic acid. Anal. Chim. Acta 2008, 610, 35–43. [Google Scholar] [CrossRef]
- Pizarro, G.; Escalera, L.; González-Gil, S.; Franco, J.M.; Reguera, B. Growth, behaviour and cell toxin quota of Dinophysis acuta during a daily cycle. Mar. Ecol. Prog. Ser. 2008, 353, 89–105. [Google Scholar] [CrossRef]
- Zendong, Z.; Herrenknecht, C.; Abadie, E.; Brissard, C.; Tixier, C.; Mondeguer, F.; Séchet, V.; Amzil, Z.; Hess, P. Extended evaluation of polymeric and lipophilic sorbents for passive sampling of marine toxins. Toxicon 2014, 91, 57–68. [Google Scholar] [CrossRef]
- Mashile, G.P.; Nomngongo, P.N. Recent Application of Solid Phase Based Techniques for Extraction and Preconcentration of Cyanotoxins in Environmental Matrices. Crit Rev Anal Chem 2017, 47, 119–126. [Google Scholar] [CrossRef]
- Gang, D.D.; Deng, B.; Lin, L.S. As(III) removal using an iron-impregnated chitosan sorbent. J. Hazard. Mater. 2010, 182, 156–161. [Google Scholar] [CrossRef]
- Crini, G. Recent developments in polysaccharide-based materials used as adsorbents in wastewater treatment. Prog. Polym. Sci. 2005, 30, 38–70. [Google Scholar] [CrossRef]
- Gonçalves, J.O.; Santos, J.P.; Rios, E.C.; Crispim, M.M.; Dotto, G.L.; Pinto, L.A.A. Development of chitosan based hybrid hydrogels for dyes removal from aqueous binary system. J. Mol. Liq. 2017, 225, 265–270. [Google Scholar] [CrossRef]
- Gomez-Maldonado, D.; Filpponen, I.; Vega Erramuspe, I.B.; Johansson, L.; Mori, M.F.; Jayachandra Babu, R.; Waters, M.N.; Peresin, M.S. Development of a β-cyclodextrin-chitosan polymer as active coating for cellulosic surfaces and capturing of microcystin-LR. Surf. Interfaces 2022, 33, 102192. [Google Scholar] [CrossRef]
- Tran, Q.N.; Jin, X.; Doan, N.Q.H. Enhanced removal of extracellular microcystin-LR using chitosan coagulation-ultrafiltration: Performance and mechanisms. J. Environ. Chem. Eng. 2022, 10, 107902. [Google Scholar] [CrossRef]
- Pindihama, G.K.; Gitari, M.W.; Mudzielwana, R.; Madala, N.E. Development of a chitosan-multi-walled carbon nanotubes composite for application in solid-phase adsorption toxin tracking of microcystins. S. Afr. J. Sci. 2023, 119, 1–9. [Google Scholar] [CrossRef]
- Lawton, L.; Marsalek, B.; Padisák, J.; Ingrid, C. Chapter 12. Determination of Cyanobacteria. In Toxic Cyanobacteria in Water: A Guide to Their Public Health Consequences, Monitoring and Management; WHO: Geneva, Switzerland, 1999. [Google Scholar]
- Wood, S.A.; Holland, P.T.; MacKenzie, L. Development of solid phase adsorption toxin tracking (SPATT) for monitoring anatoxin-a and homoanatoxin-a in river water. Chemosphere 2011, 82, 888–894. [Google Scholar] [CrossRef]
- South African National Standard 241-1; Drinking Water Standard. SABS Standard Division: Pretoria, South Africa, 2011; pp. 1–46, ISBN 978-0-626-26115-3.
- World Health Organization. Cyanobacterial Toxins: Microcystin-LR in Drinking Water, Guidelines for Drinking-Water Quality, Addendum to Vol. 2. Health Criteria and Other Supporting Information, 2nd ed.; World Health Organization: Geneva, Switzerland, 1998. [Google Scholar]
- El Bouaidi, W.; Enaime, G.; Loudiki, M.; Yaacoubi, A.; Douma, M.; Ounas, A.; Lübken, M. Adsorbents Used for Microcystin Removal from Water Sources: Current Knowledge and Future Prospects. Processes 2022, 10, 1235. [Google Scholar] [CrossRef]
- Schmidt, J.R.; Wilhelm, S.W.; Boyer, G.L. The fate of microcystins in the environment and challenges for monitoring. Toxins 2014, 6, 3354–3387. [Google Scholar] [CrossRef]
- Pavagadhi, S.; Tang, A.L.L.; Sathishkumar, M.; Loh, K.P.; Balasubramanian, R. Removal of microcystin-LR and microcystin-RR by graphene oxide: Adsorption and kinetic experiments. Water Res. 2013, 47, 4621–4629. [Google Scholar] [CrossRef]
- DWAF. Water Quality Guidelines Volume 4 Agricultural Use: Irrigation Department of Water Affairs and Forestry. 1996; Volume 4. Available online: http://www.dwa.gov.za/IWQS/wq_guide/edited/Pol_saWQguideFRESHIrrigationvol4.pdf (accessed on 30 June 2023).
- Ayers, R.S.; Westcot, D.W. Water Quality for Agricultura FAO 29; Food and Agriculture Organization of the United Nations: Rome, Italy, 1985. [Google Scholar]
- Kansas Department of Health and Environment (KDHE). Chlorophyll A Criteria for Public Water Supply Lakes or Reservoirs; Kansas Department of Health and Environment: Topeka, KS, USA, 2011. [Google Scholar]
- de la Cruz, A.; Logsdon, R.; Lye, D.; Guglielmi, S.; Rice, A.; Kannan, M.S. Harmful Algae Bloom Occurrence in Urban Ponds: Relationship of Toxin Levels with Cell Density and Species Composition. J. Earth Environ. Sci. 2017, 25, 704–726. [Google Scholar]
- Howard, M.D.A.; Nagoda, C.; Kudela, R.M.; Hayashi, K.; Tatters, A.; Caron, D.A.; Busse, L.; Brown, J.; Sutula, M.; Stein, E.D. Microcystin prevalence throughout lentic waterbodies in coastal southern California. Toxins 2017, 9, 231. [Google Scholar] [CrossRef]
- Okogwu, O.I.; Ugwumba, A.O. Cyanobacteria abundance and its relationship to water quality in the Mid-Cross river floodplain, Nigeria. Rev. Biol. Trop. 2009, 57, 33–43. [Google Scholar]









| Site | Sampling Point | Description |
|---|---|---|
| Hartbeespoort | H1 | Farm dam |
| H2 | Canal | |
| H3 | Farm dam | |
| Roodeplaat | R1 | Canal |
| R2 | Farm dam | |
| R3 | Farm dam |
| Parameter | Sampling Point | ||||||
|---|---|---|---|---|---|---|---|
| H1 | H2 | H3 | R1 | R2 | R3 | ||
| MC grab (µg L−1) | Min | 0.112 | 0.144 | 0.178 | 0.099 | 0.126 | 3.316 |
| Max | 0.597 | 0.173 | 0.910 | 0.130 | 0.493 | 4.037 | |
| Mean ± SD | 0.28 ± 0.22 | 0.15 ± 0.01 | 0.66 ± 0.34 | 0.12 ± 0.01 | 0.25 ± 0.17 | 3.75 ± 0.31 | |
| Month | Grab (µg·L−1) | ChGLA (µg·g−1) | ChMWCNT (µg·g−1) | Diaion® HP-20 (µg·g−1) |
|---|---|---|---|---|
| January 2022 | 0.812 ± 1.242 | 0.116 ± 0.095 | 0.139 ± 0.105 | 0.108 ± 0.072 |
| July 2022 | 0.897 ± 1.465 | 0.603 ± 0.627 | 1.062 ± 1.226 | 0.849 ± 0.637 |
| p-Value | 0.494 | 0.0193 * | 0.0273 * | 0.0129 * |
| Parameter | Sampling Point | DWAF (1996b) | ||||||
|---|---|---|---|---|---|---|---|---|
| H1 | H2 | H3 | R1 | R2 | R3 | |||
| EC (us/cm) | Min | 434.8 | 414.1 | 395.2 | 325.1 | 330.1 | 262.7 | 0 *–400.0 |
| Max | 818.7 | 463.1 | 592.4 | 369.4 | 335.9 | 296.5 | ||
| Mean ± SD | 678.9 * ± 212.2 | 445.0 * ± 26.9 | 462.8 * ± 112.3 | 352.3 ± 23.8 | 332.8 ± 2.9 | 274.9 ± 18.8 | ||
| TDS (mg/L) | Min | 213.6 | 203.4 | 194.2 | 159.8 | 162.3 | 129.2 | 0 *–260.0 |
| Max | 401.7 | 227.4 | 290.8 | 181.5 | 165.1 | 145.8 | ||
| Mean ± SD | 333.2 * ± 103.9 | 218.5 ± 13.2 | 227.3 ± 55.0 | 173.1 ± 11.7 | 163.6 ± 1.4 | 135.2 ± 9.2 | ||
| pH | Min | 7.88 | 7.5 | 8.04 | 6.94 | 7.94 | 8.73 | 6.5 *–8.4 |
| Max | 8.93 | 8.65 | 9.03 | 8.13 | 8.59 | 9.23 | ||
| Mean ± SD | 8.5 * ± 0.5 | 8.1 ± 0.6 | 8.7 * ± 0.5 | 7.4 ± 0.7 | 8.3 ± 0.3 | 8.9 * ± 0.3 | ||
| DO (mg/L) | Min | 8.9 | 5.44 | 9.65 | 2.35 | 7.34 | 13.49 | n.a. |
| Max | 10.27 | 11.39 | 14.37 | 9.42 | 11.95 | 14.9 | ||
| Mean ± SD | 9.7 ± 0.7 | 8.6 ± 3.0 | 12.5 ± 2.5 | 7.0 ± 4.0 | 10.3 ± 2.6 | 14.4 ± 0.8 | ||
| Temp °C | Min | 16.04 | 16.4 | 16.7 | 13.8 | 14.6 | 14.7 | n.a. |
| Max | 36.5 | 26 | 30.1 | 20.2 | 29 | 29.6 | ||
| Mean ± SD | 23.3 ± 11.4 | 19.7 ± 5.4 | 21.2 ± 7.7 | 16.0 ± 3.6 | 19.5 ± 8.2 | 20.3 ± 8.1 | ||
| Turbidity (ntu) | Min | 31.37 | 4.7 | 29.45 | 9.34 | 21.86 | 27.73 | n.a. |
| Max | 71.25 | 9.28 | 80 | 11.83 | 35.28 | 36.14 | ||
| Mean ± SD | 49.3 ± 20.3 | 6.5 ± 2.4 | 54.6 ± 25.3 | 10.3 ± 1.3 | 28.3 ± 6.7 | 32.5 ± 4.3 | ||
| Phosphates (mg/L) | Min | 0 | 0.8 | 0 | 0.4 | 0.4 | 0 | 0–2 ** |
| Max | 0.68 | 1 | 1.05 | 1.08 | 1.2 | 0.73 | ||
| Mean ± SD | 0.2 ± 0.4 | 0.9 ± 0.1 | 0.4 ± 0.6 | 0.8 ± 0.4 | 0.9 ± 0.4 | 0.2 ± 0.4 | ||
| Nitrates (mg/L) | Min | 3 | 8 | 0 | 7 | 5 | 0 | <5 * (as inorganic N) |
| Max | 16 | 10 | 5 | 8 | 6 | 6 | ||
| Mean ± SD | 10.3 * ± 6.7 | 9.0 * ± 1.0 | 3.0 ± 2.6 | 7.3 * ± 0.6 | 5.7 * ± 0.6 | 2.0 ± 3.5 | ||
| Chlo a (mg/L) | Min | 0.9627 | 0 | 21.252 | 4.665 | 22.807 | 6.665 | n.a. |
| Max | 18.735 | 19.253 | 56.204 | 21.326 | 108.85 | 35.84 | ||
| Mean ± SD | 8.0 ± 9.4 | 6.6 ± 10.9 | 40.5 ± 17.7 | 11.3 ± 8.8 | 54.3 ± 47.4 | 20.1 ± 14.7 | ||
| EC (us/cm) | TDS (mg/L) | pH | DO (mg/L) | Temp °C | Turbidity (ntu) | PO42− (mg/L) | NO32− (mg/L) | † Chlo a (mg/L) | Grab (µg/L) | ChGLA (µg/g) | ChMWCNT (µg/g) | HP-20 (µg/g) | |
|---|---|---|---|---|---|---|---|---|---|---|---|---|---|
| EC (us/cm) | -- | ||||||||||||
| TDS (mg/L) | 1.000 ** | -- | |||||||||||
| pH | 0.130 | 0.130 | -- | ||||||||||
| DO (mg/L) | −0.213 | −0.213 | 0.755 ** | -- | |||||||||
| Temp °C | 0.014 | 0.014 | −0.188 | −0.237 | -- | ||||||||
| Turbidity (ntu) | 0.117 | 0.117 | 0.434 | 0.439 | 0.326 | -- | |||||||
| PO42− (mg/L) | −0.234 | −0.234 | −0.723 ** | −0.622 ** | 0.469 * | −0.454 | -- | ||||||
| NO32− (mg/L) | 0.692 ** | 0.692 ** | −0.122 | −0.496 * | −0.179 | −0.342 | 0.088 | -- | |||||
| Chlo a (mg/L) | −0.226 | −0.226 | 0.377 | 0.383 | −0.324 | 0.234 | −0.329 | −0.290 | -- | ||||
| Grab (µg/L) | −0.465 | −0.465 | 0.500 * | 0.630 ** | 0.023 | 0.197 | −0.404 | −0.585 * | 0.005 | -- | |||
| ChGLA (µg/g) | −0.366 | −0.366 | 0.540 * | 0.692 ** | −0.403 | 0.103 | −0.605 * | −0.575 * | 0.313 | 0.784 ** | -- | ||
| ChMWCNT (µg/g) | −0.406 | −0.406 | 0.551 * | 0.690 ** | −0.356 | 0.296 | −0.638 ** | −0.660 ** | 0.308 | 0.764 ** | 0.978 ** | -- | |
| HP-20 (µg/g) | −0.272 | −0.272 | −0.046 | 0.192 | −0.572 * | −0.398 | −0.108 | −0.033 | −0.054 | 0.017 | 0.090 | 0.159 | -- |
Disclaimer/Publisher’s Note: The statements, opinions and data contained in all publications are solely those of the individual author(s) and contributor(s) and not of MDPI and/or the editor(s). MDPI and/or the editor(s) disclaim responsibility for any injury to people or property resulting from any ideas, methods, instructions or products referred to in the content. |
© 2023 by the authors. Licensee MDPI, Basel, Switzerland. This article is an open access article distributed under the terms and conditions of the Creative Commons Attribution (CC BY) license (https://creativecommons.org/licenses/by/4.0/).
Share and Cite
Pindihama, G.K.; Gitari, M.W.; Mudzielwana, R.; Madala, N.E. Evaluating the Application of Chitosan-Based Sorbents for the Solid-Phase Adsorption Toxin Tracking of Microcystins in Irrigation Water. Water 2024, 16, 41. https://doi.org/10.3390/w16010041
Pindihama GK, Gitari MW, Mudzielwana R, Madala NE. Evaluating the Application of Chitosan-Based Sorbents for the Solid-Phase Adsorption Toxin Tracking of Microcystins in Irrigation Water. Water. 2024; 16(1):41. https://doi.org/10.3390/w16010041
Chicago/Turabian StylePindihama, Glynn K., Mugera W. Gitari, Rabelani Mudzielwana, and Ntakadzeni E. Madala. 2024. "Evaluating the Application of Chitosan-Based Sorbents for the Solid-Phase Adsorption Toxin Tracking of Microcystins in Irrigation Water" Water 16, no. 1: 41. https://doi.org/10.3390/w16010041
APA StylePindihama, G. K., Gitari, M. W., Mudzielwana, R., & Madala, N. E. (2024). Evaluating the Application of Chitosan-Based Sorbents for the Solid-Phase Adsorption Toxin Tracking of Microcystins in Irrigation Water. Water, 16(1), 41. https://doi.org/10.3390/w16010041

