Transient Test-Based Techniques for Checking the Sealing of In-Line Shut-Off Valves and Capturing the Effect of Series Junctions—Field Tests in a Real Pipe System
Abstract
:1. Introduction
2. Materials and Methods
2.1. The Dorsale TM and Field Test Description
2.2. The Numerical Model
3. Analysis of the Pressure Signal
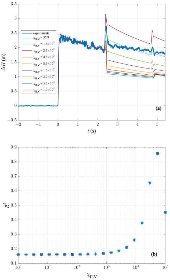
3.1. Assessment of the Sealing of the In-Line Valve by Inverse Transient Analysis (ITA)
3.2. Capturing the Transient Response of a Series Junction by Direct Analysis (DA)
4. Conclusions
Author Contributions
Funding
Data Availability Statement
Acknowledgments
Conflicts of Interest
References
- Creaco, E.; Franchini, M.; Alvisi, S. Optimal placement of isolation valves in water distribution systems based on valve cost and weighted average demand shortfall. Water Resour. Manag. 2010, 24, 4317–4338. [Google Scholar] [CrossRef]
- Yuce, M.I.; Omer, A.F. Hydraulic transients in pipelines due to various valve closure schemes. SN Appl. Sci. 2019, 1, 1110. [Google Scholar] [CrossRef]
- Ayati, A.H.; Haghighi, A.; Lee, P. Statistical review of major standpoints in hydraulic transient-based leak detection. J. Hydraul. Struct. 2019, 5, 1–26. [Google Scholar]
- Xu, X.; Karney, B. An overview of transient fault detection techniques. In Applied Condition Monitoring; Verde, C., Torres, L., Eds.; Springer: Berlin/Heidelberg, Germany, 2017; Volume 7, pp. 13–37. [Google Scholar]
- Che, T.C.; Duan, H.F.; Lee, P.J. Transient wave-based methods for anomaly detection in fluid pipes: A review. Mech. Syst. Signal Process. 2021, 160, 107874. [Google Scholar] [CrossRef]
- Wan, W.; Chen, X.; Zhang, B.; Lian, J. Transient simulation and diagnosis of partial blockage in long-distance water supply pipeline systems. J. Pipeline Syst. Eng. Pract. 2021, 12, 04021016. [Google Scholar] [CrossRef]
- Zhang, Z. Wave tracking method of hydraulic transients in pipe systems with pump shut-off under simultaneous closing of spherical valves. Renew. Energy 2019, 132, 157–166. [Google Scholar] [CrossRef]
- Contractor, D.N. The reflection of waterhammer pressure waves from minor losses. J. Basic Eng. 1965, 87, 445–451. [Google Scholar] [CrossRef]
- Mohapatra, P.; Chaudhry, M.; Kassem, A.; Moloo, J. Detection of partial blockage in single pipelines. J. Hydraul. Eng. 2006, 132, 634–656. [Google Scholar] [CrossRef]
- Brunone, B.; Ferrante, M.; Meniconi, S. Discussion of “Detection of partial blockage in single pipelines” by P. K. Mohapatra, M. H. Chaudhry, A. A. Kassem, and J. Moloo. J. Hydraul. Eng. 2008, 134, 872–874. [Google Scholar] [CrossRef]
- Sattar, A.M.; Chaudhry, M.H.; Kassem, A.A. Partial blockage detection in pipelines by frequency response method. J. Hydraul. Eng. 2008, 134, 76–89. [Google Scholar] [CrossRef]
- Duan, H.F.; Lee, P.J.; Kashima, A.; Lu, J.; Ghidaoui, M.S.; Tung, Y.K. Extended blockage detection in pipes using the system frequency response: Analytical analysis and experimental verification. J. Hydraul. Eng. 2013, 139, 763–771. [Google Scholar] [CrossRef]
- Duan, H.F.; Lee, P.J.; Ghidaoui, M.S.; Tuck, J. Transient wave-blockage interaction and extended blockage detection in elastic water pipelines. J. Fluids Struct. 2014, 46, 2–16. [Google Scholar] [CrossRef]
- Liou, C. Pipeline leak detection by impulse response extraction. J. Fluids Eng. 1998, 120, 833–838. [Google Scholar] [CrossRef]
- Al-Khomairi, A. Leak detection in long pipelines using the least squares method. J. Hydraul. Res. 2008, 46, 392–401. [Google Scholar] [CrossRef]
- Ghazali, M.; Staszewski, W.; Shucksmith, J.; Boxall, J.; Beck, S. Instantaneous phase and frequency for the detection of leaks and features in a pipeline system. Struct. Health Monit. 2011, 10, 351–360. [Google Scholar] [CrossRef]
- Wang, X.; Ghidaoui, M.S.; Lin, J. Identification of multiple leaks in pipeline. III: Experimental results. Mech. Syst. Signal Process. 2019, 130, 395–408. [Google Scholar] [CrossRef]
- Asada, Y.; Kimura, M.; Azechi, I.; Iida, T.; Kubo, N. Transient damping method for narrowing down leak location in pressurized pipelines. Hydrol. Res. Lett. 2020, 14, 41–47. [Google Scholar] [CrossRef]
- Meniconi, S.; Brunone, B.; Frisinghelli, M. On the role of minor branches, energy dissipation, and small defects in the transient response of transmission mains. Water 2018, 10, 187. [Google Scholar] [CrossRef]
- Tuck, J.; Lee, P. Inverse transient analysis for classification of wall thickness variations in pipelines. Sensors 2013, 13, 17057–17066. [Google Scholar] [CrossRef]
- Gong, J.; Lambert, M.F.; Nguyen, S.T.N.; Zecchin, A.; Simpson, A.R. Detecting thinner-walled pipe sections using a spark transient pressure wave generator. J. Hydraul. Eng. 2018, 144, 06017027. [Google Scholar] [CrossRef]
- Capponi, C.; Brunone, B.; Maietta, F.; Meniconi, S. Hydraulic diagnostic kit for the automatic expeditious survey of in-line valve sealing in long, large diameter transmission mains. Water Resour. Manag. 2023, 37, 1931–1945. [Google Scholar] [CrossRef]
- Brunone, B.; Capponi, C.; Meniconi, S. Design criteria and performance analysis of a smart portable device for leak detection in water transmission mains. Measurement 2021, 183, 109844. [Google Scholar] [CrossRef]
- Lee, P.J.; Duan, H.F.; Ghidaoui, M.; Karney, B. Frequency domain analysis of pipe fluid transient behaviour. J. Hydraul. Res. 2013, 51, 609–622. [Google Scholar] [CrossRef]
- Chaudhry, M.H. Applied Hydraulic Transients; Springer: New York, NY, USA, 2014. [Google Scholar]
- Wylie, E.B.; Streeter, V.L. Fluid Transients in Systems; Prentice Hall: Englewood Cliffs, NJ, USA, 1993. [Google Scholar]
- Keramat, A.; Wang, X.; Louati, M.; Meniconi, S.; Brunone, B.; Ghidaoui, M.S. Objective functions for transient based pipeline leakage detection in a noisy environment: Least square and matched-filter. J. Water Resour. Plan. Manag. 2019, 145, 04019042. [Google Scholar] [CrossRef]
- Pezzinga, G. Quasi-2D model for unsteady flow in pipe networks. J. Hydraul. Eng. 1999, 125, 676–685. [Google Scholar] [CrossRef]
- Idel’cik, I.E. Handbook of Hydraulic Resistance; Hemisphere Publishing Corp.: New York, NY, USA, 1986. [Google Scholar]
- Swaffield, J.; Boldy, A. Pressure Surges in Pipe and Duct Systems; Ashgate Publishing Group: Farnham, UK, 1993. [Google Scholar]






Disclaimer/Publisher’s Note: The statements, opinions and data contained in all publications are solely those of the individual author(s) and contributor(s) and not of MDPI and/or the editor(s). MDPI and/or the editor(s) disclaim responsibility for any injury to people or property resulting from any ideas, methods, instructions or products referred to in the content. |
© 2023 by the authors. Licensee MDPI, Basel, Switzerland. This article is an open access article distributed under the terms and conditions of the Creative Commons Attribution (CC BY) license (https://creativecommons.org/licenses/by/4.0/).
Share and Cite
Capponi, C.; Martins, N.M.C.; Covas, D.I.C.; Brunone, B.; Meniconi, S. Transient Test-Based Techniques for Checking the Sealing of In-Line Shut-Off Valves and Capturing the Effect of Series Junctions—Field Tests in a Real Pipe System. Water 2024, 16, 3. https://doi.org/10.3390/w16010003
Capponi C, Martins NMC, Covas DIC, Brunone B, Meniconi S. Transient Test-Based Techniques for Checking the Sealing of In-Line Shut-Off Valves and Capturing the Effect of Series Junctions—Field Tests in a Real Pipe System. Water. 2024; 16(1):3. https://doi.org/10.3390/w16010003
Chicago/Turabian StyleCapponi, Caterina, Nuno M. C. Martins, Dídia I. C. Covas, Bruno Brunone, and Silvia Meniconi. 2024. "Transient Test-Based Techniques for Checking the Sealing of In-Line Shut-Off Valves and Capturing the Effect of Series Junctions—Field Tests in a Real Pipe System" Water 16, no. 1: 3. https://doi.org/10.3390/w16010003
APA StyleCapponi, C., Martins, N. M. C., Covas, D. I. C., Brunone, B., & Meniconi, S. (2024). Transient Test-Based Techniques for Checking the Sealing of In-Line Shut-Off Valves and Capturing the Effect of Series Junctions—Field Tests in a Real Pipe System. Water, 16(1), 3. https://doi.org/10.3390/w16010003

