Estimation of Real-Time Rainfall Fields Reflecting the Mountain Effect of Rainfall Explained by the WRF Rainfall Fields
Abstract
1. Introduction
2. Materials and Methods
2.1. Target Area and Storm Events
2.2. WRF
2.3. Estimation Model of Rainfall Field Associated with Elevation
3. Results and Discussion
3.1. WRF Simulation Results
3.2. Results from the Elevation-Associated Rainfall Field Estimation Model
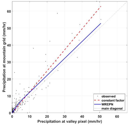
3.3. Validation
4. Conclusions
Supplementary Materials
Author Contributions
Funding
Data Availability Statement
Acknowledgments
Conflicts of Interest
References
- Smith, R.B. The Influence of Mountains on the Atmosphere. Adv. Geophys. 1979, 21, 87–230. [Google Scholar] [CrossRef]
- Barry, R. Mountain Weather and Climate; Routledge: London, UK, 1992; 313p. [Google Scholar]
- Basist, A.; Bell, G.D.; Meentemeyer, V. Statistical Relationships between Topography and Precipitation Patterns. J. Clim. 1994, 7, 1305–1315. [Google Scholar] [CrossRef]
- Singh, P.; Kumar, N. Effect of orography on precipitation in the western Himalayan region. J. Hydrol. 1997, 199, 183–206. [Google Scholar] [CrossRef]
- Weisse, A.K.; Bois, P. Topographic Effects on Statistical Characteristics of Heavy Rainfall and Mapping in the French Alps. J. Appl. Meteorol. Climatol. 2001, 40, 720–740. [Google Scholar] [CrossRef]
- Pelosi, A.; Furcolo, P. An Amplification Model for the Regional Estimation of Extreme Rainfall within Orographic Areas in Campania Region (Italy). Water 2015, 7, 6877–6891. [Google Scholar] [CrossRef]
- Li, Y.; Thompson, J.R.; Li, H. Impacts of Spatial Climatic Representation on Hydrological Model Calibration and Prediction Uncertainty: A Mountainous Catchment of Three Gorges Reservoir Region, China. Water 2016, 8, 73. [Google Scholar] [CrossRef]
- Yang, M.; Zhang, W. Orographic Effects of Geomorphology on Precipitation in a Pluvial Basin of the Eastern Tibetan Plateau. Water 2019, 11, 250. [Google Scholar] [CrossRef]
- Abbate, A.; Papini, M.; Longoni, L. Orographic Precipitation Extremes: An Application of LUME (Linear Upslope Model Extension) over the Alps and Apennines in Italy. Water 2022, 14, 2218. [Google Scholar] [CrossRef]
- Auliagisni, W.; Wilkinson, S.; Elkharboutly, M. Learning from Floods—How a Community Develops Future Resilience. Water 2022, 14, 3238. [Google Scholar] [CrossRef]
- Sein, Z.M.M.; Ullah, I.; Saleem, F.; Zhi, X.; Syed, S.; Azam, K. Interdecadal Variability in Myanmar Rainfall in the Monsoon Season (May–October) Using Eigen Methods. Water 2021, 13, 729. [Google Scholar] [CrossRef]
- Haiden, T.; Pistotnik, G. Intensity-dependent parameterization of elevation effects in precipitation analysis. Adv. Geosci. 2009, 20, 33–38. [Google Scholar] [CrossRef]
- Goovaerts, P. Geostatistical approaches for incorporating elevation into the spatial interpolation of rainfall. J. Hydrol. 2000, 228, 113–129. [Google Scholar] [CrossRef]
- Guan, H.; Wilson, J.L.; Makhnin, O. Geostatistical Mapping of Mountain Precipitation Incorporating Autosearched Effects of Terrain and Climatic Characteristics. J. Hydrometeorol. 2005, 6, 1018–1031. [Google Scholar] [CrossRef]
- Hunter, R.D.; Meentemeyer, R. Climatologically Aided Mapping of Daily Precipitation and Temperature. J. Appl. Meteorol. Climatol. 2005, 44, 1501–1510. [Google Scholar] [CrossRef]
- Daly, C.; Neilson, R.; Phillips, D. A statistical-topographic model for mapping climatological precipitation over mountainous terrain. J. Appl. Meteorol. Climatol. 1994, 33, 140–158. [Google Scholar] [CrossRef]
- Sharples, J.J.; Hutchinson, M.F.; Jellett, D.R. On the Horizontal Scale of Elevation Dependence of Australian Monthly Precipitation. J. Appl. Meteorol. Climatol. 2005, 44, 1850–1865. [Google Scholar] [CrossRef]
- Ohara, N.; Kavvas, M.L.; Kure, S.; Chen, Z.Q.; Jang, S.; Tan, E. Physically Based Estimation of Maximum Precipitation over American River Watershed, California. J. Hydrol. Eng. 2011, 16, 351–361. [Google Scholar] [CrossRef]
- Grell, G.A.; Dudhia, J.; Stauffer, D.R. A Description of the Fifth-Generation Penn State/NCAR Mesoscale Model (MM5) (No. NCAR/TN-398+STR); University Corporation for Atmospheric Research: Boulder, CO, USA, 1994. [Google Scholar] [CrossRef]
- Wu, M.-C.; Yang, S.-C.; Yang, T.-H.; Kao, H.-M. Typhoon Rainfall Forecasting by Means of Ensemble Numerical Weather Predictions with a GA-Based Integration Strategy. Atmosphere 2018, 9, 425. [Google Scholar] [CrossRef]
- Karki, R.; Hasson, S.U.; Gerlitz, L.; Talchabhadel, R.; Schenk, E.; Schickhoff, U.; Scholten, T.; Böhner, J. WRF-based simulation of an extreme precipitation event over the Central Himalayas: Atmospheric mechanisms and their representation by microphysics parameterization schemes. Atmos. Res. 2018, 214, 21–35. [Google Scholar] [CrossRef]
- Patel, P.; Ghosh, S.; Kaginalkar, A.; Islam, S.; Karmakar, S. Performance evaluation of WRF for extreme flood forecasts in a coastal urban environment. Atmos. Res. 2019, 223, 39–48. [Google Scholar] [CrossRef]
- Caumont, O.; Mandement, M.; Bouttier, F.; Eeckman, J.; Brossier, C.L.; Lovat, A.; Nuissier, O.; Laurantin, O. The heavy precipitation event of 14–15 October 2018 in the Aude catchment: A meteorological study based on operational numerical weather prediction systems and standard and personal observations. Nat. Hazards Earth Syst. Sci. 2021, 21, 1135–1157. [Google Scholar] [CrossRef]
- Jankov, I.; Schultz, P.J.; Anderson, C.J.; Koch, S.E. The Impact of Different Physical Parameterizations and Their Interactions on Cold Season QPF in the American River Basin. J. Hydrometeorol. 2007, 8, 1141–1151. [Google Scholar] [CrossRef]
- Hong, S.-Y.; Lee, J.-W. Assessment of the WRF model in reproducing a flash-flood heavy rainfall event over Korea. Atmos. Res. 2009, 93, 818–831. [Google Scholar] [CrossRef]
- Baik, J.; Park, J.; Rye, D.; Choi, M. Geospatial blending to improve spatial mapping of precipitation with high spatial resolution by merging satellite-based and ground-based data. Hydrol. Process. 2016, 30, 2789–2803. [Google Scholar] [CrossRef]
- Haiden, T.; Kann, A.; Pistotnik, G.; Standlbacher, K.; Wittmann, C. Integrated Nowcasting through Comprehensive Analysis (INCA)—System Description; ZAMG Report; Zentralanstalt für Meteorologie und Geodynamik: Vienna, Austria, 2009; 60p. [Google Scholar]
- Ghaemi, E.; Foelsche, U.; Kann, A.; Fuchsberger, J. Evaluation of Integrated Nowcasting through Comprehensive Analysis (INCA) precipitation analysis using a dense rain-gauge network in southeastern Austria. Hydrol. Earth Syst. Sci. 2021, 25, 4335–4356. [Google Scholar] [CrossRef]
- Song, L.; Chen, M.; Gao, F.; Cheng, C.; Chen, M.; Yang, L.; Wang, Y. Elevation Influence on Rainfall and a Parameterization Algorithm in the Beijing Area. J. Meteorol. Res. 2019, 33, 1143–1156. [Google Scholar] [CrossRef]
- Lee, J.; Choi, J.; Jeong, H.; Kim, S. Preliminary Study for Physically Based Estimation of Maximum Precipitation Using the Regional Climate Model in Korea: Reconstruction of Typhoon RUSA Rainfall. J. Korean Soc. Hazard Mitig. 2017, 17, 401–411. (In Korean) [Google Scholar] [CrossRef]
- Choi, J.; Lee, J.; Jeong, H.-G.; Jang, J.; Kim, S. Effect of Improvement of Initial and Boundary Conditions in WRF Model on Simulating Typhoon Rainfall. J. Korean Soc. Hazard Mitig. 2018, 18, 445–454. (In Korean) [Google Scholar] [CrossRef][Green Version]
- Choi, J.; Lee, O.; Jang, S.; Jo, D.-J.; Kim, S. Effect of Sea Surface Temperature on Maximizing Typhoon Rainfall Depth. J. Korean Soc. Hazard Mitig. 2018, 18, 443–452. (In Korean) [Google Scholar] [CrossRef][Green Version]
- Won, J.; Choi, J.; Lee, O.; Kim, S. Evaluation of Rainfall-Event-Simulation Performance of the WRF Model Combined with ERA-Interim Data: Focus on the Rainfall Event in Imjin River Basin in 1999. J. Korean Soc. Hazard Mitig. 2019, 19, 205–213. (In Korean) [Google Scholar] [CrossRef][Green Version]
- Lee, J.; Choi, J.; Lee, O.; Kim, S. Reconstruction of July 2006 Heavy Rainfall Event Series in the Chungju Dam Watershed using a Regional Climate Model. J. Korean Soc. Hazard Mitig. 2019, 19, 331–338. (In Korean) [Google Scholar] [CrossRef]
- Metropolis, N.; Rosenbluth, A.W.; Rosenbluth, M.N.; Teller, A.H.; Teller, E. Equation of State Calculations by Fast Computing Machines. J. Chem. Phys. 1953, 21, 1087–1092. [Google Scholar] [CrossRef]
- Hastings, W.K. Monte Carlo Sampling Methods Using Markov Chains and Their Applications. Biometrika 1970, 57, 97–109. [Google Scholar] [CrossRef]
- Lee, O.; Choi, J.; Won, J.; Kim, S. Uncertainty in nonstationary frequency analysis of South Korea’s daily rainfall peak over threshold excesses associated with covariates. Hydrol. Earth Syst. Sci. 2020, 24, 5077–5093. [Google Scholar] [CrossRef]
- Lee, O.; Seo, J.; Won, J.; Choi, J.; Kim, S. Future extreme heat wave events using Bayesian heat wave intensity-persistence day-frequency model and their uncertainty. Atmos. Res. 2021, 255, 105541. [Google Scholar] [CrossRef]
- Nash, J.E.; Sutcliffe, J.V. River flow forecasting through conceptual models part I—A discussion of principles. J. Hydrol. 1970, 10, 282–290. [Google Scholar] [CrossRef]










| Storm Event | Event 2003 | Event 2007 | Event 2020 |
|---|---|---|---|
| MP | WRF Single-Moment 6-class | WRF Single-Moment 6-class | Thompson scheme |
| CU | New Tiedtke scheme | New Tiedtke scheme | Tiedtke scheme |
| PB | Mellor–Yamada–Janjic scheme | Yonsei University scheme | Yonsei University scheme |
| RA_L | RRTMG scheme | RRTMG scheme | RRTMG scheme |
| RA_S | RRTMG scheme | RRTMG scheme | RRTMG scheme |
| No. | Pixel (Row, Column) | Station ID | Aspect | (km) | (m) |
|---|---|---|---|---|---|
| 1 | (18, 9) (17, 8) | KW 20184190 | NW | 4.2 | 689 |
| 2 | (20, 4) (19, 4) | KW 20184210 | N | 3.0 | 458 |
| 3 | (19,10) (20,11) | KW 20184260 | SE | 4.2 | 518 |
| 4 | (19, 6) (18, 7) | MOE 20184150 | NE | 4.2 | 507 |
| 5 | (7, 9) (8, 8) | AWS 914 | SW | 4.2 | 491 |
| 6 | (21, 4) (22, 5) | AWS 945 | NE | 4.2 | 483 |
| 7 | (21, 4) (22, 5) | AWS 791 | SE | 4.2 | 533 |
| 8 | (22, 8) (23, 7) | AWS 906 | SW | 4.2 | 545 |
| Pixel No. | Mean Rainfall Intensity (mm/h) | EF | |
|---|---|---|---|
| Mountain | Valley | ||
| 1 | 3.6964 | 2.6149 | 1.4136 |
| 2 | 3.4747 | 3.0365 | 1.1443 |
| 3 | 4.1159 | 3.4185 | 1.2040 |
| 4 | 3.1409 | 2.7669 | 1.1352 |
| 5 | 2.5449 | 2.1138 | 1.2039 |
| 6 | 2.5439 | 2.2268 | 1.1424 |
| 7 | 3.6970 | 3.1600 | 1.1699 |
| 8 | 3.2974 | 2.6467 | 1.2458 |
| Event | 2003 and 2007 | 2007 and 2020 | 2020 and 2003 | All Events |
|---|---|---|---|---|
| (-) | 1.62 | 1.65 | 1.55 | 1.65 |
| (mm/h) | 5.85 | 6.44 | 5.77 | 6.70 |
| Event | The Time the Storm Event Occurred | Duration (h) | Rainfall Depth (mm) |
|---|---|---|---|
| 1 | 1 August 2014 22:00 | 76 | 252 |
| 2 | 11 July 2015 14:00 | 49 | 172 |
| 3 | 27 August 2012 20:00 | 27 | 125 |
| 4 | 29 June 2018 21:00 | 103 | 156 |
| 5 | 21 August 2013 19:00 | 80 | 140 |
| 6 | 23 August 2018 01:00 | 39 | 102 |
| 7 | 19 August 2017 13:00 | 86 | 92 |
| No. | Site ID | Latitude (°) | Longitude (°) | Elevation (m) |
|---|---|---|---|---|
| 7 | KW20184210 | 127.5461 | 35.3469 | 630 |
| 10 | KW20184240 | 127.7239 | 35.2842 | 660 |
| 12 | KW20184260 | 127.7864 | 35.3147 | 640 |
| 26 | MOE20184150 | 127.6419 | 35.3597 | 568 |
| 43 | AWS315 | 127.5108 | 35.3067 | 1088 |
| 44 | AWS872 | 127.7564 | 35.3192 | 869 |
| 54 | AWS856 | 127.5982 | 35.1018 | 515 |
Disclaimer/Publisher’s Note: The statements, opinions and data contained in all publications are solely those of the individual author(s) and contributor(s) and not of MDPI and/or the editor(s). MDPI and/or the editor(s) disclaim responsibility for any injury to people or property resulting from any ideas, methods, instructions or products referred to in the content. |
© 2023 by the authors. Licensee MDPI, Basel, Switzerland. This article is an open access article distributed under the terms and conditions of the Creative Commons Attribution (CC BY) license (https://creativecommons.org/licenses/by/4.0/).
Share and Cite
Lee, J.; Lee, O.; Choi, J.; Seo, J.; Won, J.; Jang, S.; Kim, S. Estimation of Real-Time Rainfall Fields Reflecting the Mountain Effect of Rainfall Explained by the WRF Rainfall Fields. Water 2023, 15, 1794. https://doi.org/10.3390/w15091794
Lee J, Lee O, Choi J, Seo J, Won J, Jang S, Kim S. Estimation of Real-Time Rainfall Fields Reflecting the Mountain Effect of Rainfall Explained by the WRF Rainfall Fields. Water. 2023; 15(9):1794. https://doi.org/10.3390/w15091794
Chicago/Turabian StyleLee, Jeonghoon, Okjeong Lee, Jeonghyeon Choi, Jiyu Seo, Jeongeun Won, Suhyung Jang, and Sangdan Kim. 2023. "Estimation of Real-Time Rainfall Fields Reflecting the Mountain Effect of Rainfall Explained by the WRF Rainfall Fields" Water 15, no. 9: 1794. https://doi.org/10.3390/w15091794
APA StyleLee, J., Lee, O., Choi, J., Seo, J., Won, J., Jang, S., & Kim, S. (2023). Estimation of Real-Time Rainfall Fields Reflecting the Mountain Effect of Rainfall Explained by the WRF Rainfall Fields. Water, 15(9), 1794. https://doi.org/10.3390/w15091794

